Next Article in Journal
Development and Characterization of Compression-Molded Chitosan Composite Films Reinforced with Silica and Titania Fillers
Next Article in Special Issue
Component Energy Modelling for Machine Tools
Previous Article in Journal
Integrable Post-Fabrication Annealing Treatment for Polymer-Based Capacitive Micromachined Ultrasonic Transducers: Performance Impacts
 
 
Font Type:
Arial Georgia Verdana
Font Size:
Aa Aa Aa
Line Spacing:
Column Width:
Background:
Article

Investigations on the Effect of Fluid Jet to Wheel Speed Ratio on Specific Grinding Energy

by
Ablie Njie
1,2,
Tobias Hüsemann
1,2 and
Bernhard Karpuschewski
1,2,*
1
MAPEX Center for Materials and Processes, University of Bremen, Bibliothek Str. 1, 28359 Bremen, Germany
2
Division Manufacturing Technologies, Leibniz Institute for Materials Engineering—IWT, Badgasteiner Str. 3, 28359 Bremen, Germany
*
Author to whom correspondence should be addressed.
J. Manuf. Mater. Process. 2026, 10(1), 18; https://doi.org/10.3390/jmmp10010018
Submission received: 2 December 2025 / Revised: 29 December 2025 / Accepted: 30 December 2025 / Published: 6 January 2026
(This article belongs to the Special Issue Advanced and Sustainable Machining)

Abstract

The use of metalworking fluid (MWF) in surface grinding is essential, but its supply contributes notably to the process energy demand. This study investigates the effect of the fluid jet to wheel speed ratio qs on specific grinding energy and associated CO2 emissions. Experiments with grinding wheels of different grit sizes (F60–F120) were conducted at cutting speeds of 35 and 60 m/s. Critical specific material removal rates Qw, crit were determined by taper grinding, with the onset of grinding burn identified by Barkhausen noise analysis. Based on these values and the grinding wheel width, specific process energies etotal were derived from grinding, pump, and machine base load. F120 wheels showed no systematic dependence of Qw, crit on qs, whereas for coarser F80 and F60 wheels, decreasing qs from 1.0 to 0.6 increased Qw, crit by 13–27% at 35 m/s and decreased it by 33–35% at 60 m/s. The most efficient process (F60, 35 m/s, qs = 0.6) required 152.8 J/mm3, the least efficient (F120, 60 m/s, qs = 0.8) 333.1 J/mm3. Because CO2 emissions scale with etotal, the relative differences in energy directly indicate relative differences in CO2 output. An illustrative case study shows that adjusting qs alone (F80, 35 m/s) lowers annual emissions from 0.284 t to 0.206 t, a reduction of approximately 27%. These findings highlight the influence of qs on grinding efficiency and process energy demand.

1. Introduction

Grinding typically represents the final machining step for hardened mechanical components, such as shafts and gears, where any damage must be strictly avoided due to the high part value. During this operation, the workpieces are exposed to a combined thermomechanical load, with heat generation being the dominant factor [1,2]. Consequently, thermal alterations may develop in the subsurface, commonly manifesting as tempering zones [3]. These phenomena, generally referred to as grinding burn, can induce tensile residual stresses, hardness reductions due to tempering, or, in some cases, hardness increases caused by phase transformations and re-hardening at the surface [4,5,6,7]. Such changes can significantly impair functional properties, including wear resistance, and may lead to premature component failure in service [8,9]. In current industrial practice, thermal effects are commonly identified after grinding, with methods such as Barkhausen noise measurements being widely applied [2]. To maintain optimal functional properties and minimize thermomechanical damage during grinding, the application of metal working fluids (MWF) is essential due to their combined cooling and lubricating effects. Previous studies have shown that the efficiency of MWF delivery to the grinding contact zone depends on parameters such as flow rate, jet velocity, jet coherence determined by nozzle geometry, and nozzle positioning [10]. These parameters govern the MWF’s ability to penetrate the air barrier surrounding the rotating grinding wheel, enabling effective jet entrainment and heat dissipation, thereby influencing thermomechanical stresses and the risk of grinding burn [11,12,13,14,15]. Beyond these fluid-dynamic considerations, the grinding wheel’s topography and porosity significantly affect MWF transport. Coarser and more porous wheels (e.g., F60 and F80) provide larger pore volumes and more open surface structures, facilitating MWF penetration into the contact zone and increasing local flow rates [16,17,18,19]. Their pronounced macro- and microstructure may also strengthen air-barrier formation, requiring higher jet velocities for effective MWF delivery [11,12]. In contrast, fine-grained wheels such as F120 present smoother surfaces and lower pore volumes, resulting in fewer pathways for MWF entrainment and a weaker air barrier [15]. From a sustainability perspective, a demand-oriented MWF supply is advantageous, as it allows reductions in system size, pump power, disposal costs, and overall energy consumption. CO2 emissions can be estimated from the total energy demand of the grinding process Etotal and the corresponding CO2 equivalent, see Equation (1).
C O 2   e m i s s i o n = E t o t a l C O 2   e q u i v a l e n t
The total energy demand Etotal is derived from the total specific grinding energy etotal and the material volume removed VW, see Equation (2):
E t o t a l = e t o t a l V W
This relationship highlights the importance of understanding the total process energy Etotal, as CO2 emissions are directly proportional to it and its individual components, such as etotal. Accordingly, examining Etotal provides a valuable perspective on process efficiency and environmental impact. The total specific energy etotal is composed of the spindle-specific energy es, pump-specific energy ep, and base load energy ebl, each calculated from the corresponding electrical power per machined volume element, see Equation (3):
e t o t a l = e s + e p + e b l = P s Q W + P p Q W + P b l Q W [ W s mm 3 ]
Besides the base load Pbl (fundamental energy demand for hydraulics, etc.) of the grinding machine, the electrical energy which is converted into kinetic energy (rotational motion of the spindle with partial power PS) and the energy required for the actual grinding process (process energy—position of spindle power PS), the supply of the MWF to the contact zone accounts for a large proportion of the total energy needed, as a result of high required hydraulic power (pump power PP), see Figure 1 (blue segment) [20].
A promising approach to reducing CO2 emissions in the grinding process is to lower the jet velocity of the metalworking fluid (MWF). The pump power PP, which represents the energy delivered to the fluid per unit time, can be determined for an incompressible fluid in steady flow, see Equation (4):
P P = Q M W F ρ M W F g h N o z z l e
Using the MWF flowrate QMWF, the density of the MWF ρMWF, the gravitional acceleration g, and the height of the MWF-nozzle hNozzle. The flow rate itself can be approximated using the continuity equation, see Equation (5):
Q M W F = A N o z z l e v j e t
with ANozzle being the nozzle outlet cross-section and vjet the MWF jet velocity. From these relationships, it is evident that the pump power is directly proportional to the jet velocity, such that reducing vjet results in a corresponding decrease in PP. In the current state of the art, the speed ratio of qs = 0.6–1.0 between MWF velocity vjet and conventional cutting speed vc of the grinding wheel, which is calculated according to Equation (6), is considered the optimal setting parameter for the MWF supply [12,14,16,21].
q s = v j e t v c
However, the topography and the pore structure of different grinding wheel specifications are not considered in these recommendations (e.g., open-pored ceramic corundum wheels with grit sizes F60, F80, or F120 grit sizes). Since wheel porosity, surface roughness, and air-barrier formation directly influence MWF entrainment, the interaction between the MWF jet and the wheel surface is expected to differ between wheel specifications. Furthermore, insufficient research has been conducted on determining the most efficient speed ratio at higher cutting speeds (e.g., 60 m/s), under constant conditions of the jet shape and nozzle positioning.
To address the identified gaps in understanding the influence of metalworking fluid supply on grinding efficiency and CO2 emissions, this study systematically investigates the effect of the fluid jet to wheel speed ratio qs in combination with different grinding wheel specifications (F120, F80, F60) and at two technologically relevant cutting speeds. A conventional speed of 35 m/s was selected as a representative baseline for standard grinding operations, while 60 m/s reflects a higher performance level that is increasingly used in modern grinding and is fully compatible with the thermal and mechanical limits of the open-pored ceramic corundum wheels employed in this work. This choice enables assessing whether established optimal MWF to wheel speed ratios remain valid at elevated cutting speeds, where air-barrier formation, MWF entrainment, and wheel topography may interact differently. Critical material removal rates were determined experimentally, and the corresponding specific process energies were calculated to quantify the relationship between qs, wheel topography, cutting speed, and overall process efficiency. This approach allows evaluating the potential for optimizing MWF supply not only to improve grinding performance but also to reduce pump power demand and, consequently, CO2 emissions associated with the grinding process.

2. Materials and Methods

To systematically investigate the influence of the fluid jet to wheel speed ratio qs on specific grinding energy with respect to grinding wheel specification, two sets of experiments were conducted. The first series examined different grit sizes (F120, F80, F60) at a conventional cutting speed of vc = 35 m/s. In a second series, the effect of an increased cutting speed of vc = 60 m/s was analyzed. Figure 2 summarizes the varied parameters, illustrates the speed ratio, and shows the surface topographies of the grinding wheels used.
The rouse-nozzles used in the experiments were originally developed by Rouse et al. [22] and Webster et al. [14] to produce coherent fluid jets with minimal effort. This is achieved through an optimized internal contour that promotes favorable fluid-dynamic behavior. For this study, the nozzles with a rectangular outlet cross-section were 3D-printed from resin using stereolithography, as shown in Figure 3.
The outlet cross-section of the nozzles is rectangular, with a width BNozzle of 35 mm adapted to the grinding wheel to ensure uniform wetting over its 30 mm width, and a height HNozzle. The area of the nozzle outlet is thus given by ANozzle = BNozzle·HNozzle. By adjusting the height for a specific flow rate QMWF of 70 L/min, the corresponding jet velocity vjet can be set. This enabled the realization of speed ratios qs = vjet/vc of 1.0, 0.8, and 0.6 at cutting speeds of vc of 35 m/s and 60 m/s. By substituting Equation (6) into Equation (5) and considering the rectangular nozzle cross-section, the required nozzle heights can be calculated using Equation (7):
H N o z z l e , i = Q M W F B N o z z l e v c , i q s , i
Table 1 summarizes the six MWF-nozzles and their corresponding HNozzle values, calculated for a constant flow rate of 70 L/min and a fixed nozzle width of 35 mm.
After production, the outlet cross-sections of all six 3D-printed MWF-nozzles were examined under a Zeiss light microscope (Zeiss, Oberkochen, Germany), see Figure 4.
The nozzles were not post-processed. Deviations from the nominal BNozzle and HNozzle dimensions were minimal, with maximum differences of 1.46 mm and 0.066 mm, respectively. These minor variations correspond to a maximum change in jet velocity of only 0.05 m/s, which is negligible for this study. All grinding tests were carried out on the surface grinding machine Blohm Profimat 412 HSG (Blohm Jung GmbH, Hamburg, Germany), as shown in Figure 5a. The taper grinding experiments were performed according to [23] and are schematically illustrated in Figure 5b. In Figure 5b, the depth of cut ae is indicated in green, the cutting speed vc in red, and the tangential feed speed in blue. During the experiments, the depth of cut ae was continuously increased from 10 µm to 200 µm, while the tangential feed speed vft was kept constant within a single grinding pass at 3000, 4000, or 6000 mm/min. This approach enabled achieving specific material removal rates Qw of up to 10, 13.33, and 20 mm3/mm·s, thereby generating different thermomechanical loads within a single grinding operation. An oil-based metalworking fluid (MWF) was supplied through tangential MWF-nozzles at a constant flow rate QMWF = 70 l/min. The nozzle position and angle were kept constant for all experiments, in accordance with [24]. For each test condition, the corresponding MWF-nozzle, adapted to the MWF supply adapter produced in-house by 3D printing from resin (stereolithography), was mounted in the machining area. The flow rate QMWF was adjusted based on the nozzle outlet cross-section using a manual control dial on the grinding machine, allowing continuous regulation of the pump output of the hydraulic MWF system. The actual flow rate was continuously monitored using an inline flow meter with a digital display. To ensure a constant MWF supply during the grinding experiments, the MWF pressure pMWF at the adapter located directly upstream of the nozzle was recorded continuously. Case-hardened workpieces, width × length × height = 20 mm × 80 mm × 30 mm, made of AISI 5120 (20MnCr5) supplied by ABRAMS Premium Stahl (Abrams Industries GmbH & Co. KG, Osnabrück, Germany), with a case-hardening depth of 1.2 mm and a hardness of 710 HV at a depth of 200 µm, were used for the experiments. Each grinding test was performed three times to ensure statistical validity. Prior to each test, the workpieces were pre-ground (ae = 2 × 50 µm, vft = 500 mm/min) to ensure uniform initial conditions and consistent material removal. Ceramic-bonded corundum grinding wheels with a diameter of 400 mm (Tyrolit, Schwaz, Austria: SU33A120II10PVB1, SU33A80II10PVB1, SU33A60II10PVB1) were employed and dressed using a single-point diamond dresser (Riegger, Stuttgart, Germany; aed = 3 × 30 µm, Ud = 3). During the grinding experiments, tangential Ft and normal Fn forces were recorded using a Kistler dynamometer (type 9255B, Kistler, Winterthur, Switzerland). Base load power Pbl, which remained constant at 4 kW, and pump power PP were measured using a Yokogawa WT500 power analyzer (Yokogawa, Tokyo, Japan). After grinding, the thermal effects associated with grinding burn were evaluated. Barkhausen noise measurements were applied to enable a quantitative and non-destructive assessment of thermally induced surface and near-surface alterations.

3. Results

3.1. Influence of the Speed Ratio qs on the Critical Specific Material Removal Rate Q’w, crit

For each of the 54 grinding tests, the critical specific material removal rate Qw, crit up to the occurrence of grinding burn was determined by Barkhausen noise measurements. Therefore, each characteristic trend of the Barkhausen noise amplitude along the grinding path of the taper grinding workpieces was recorded by a Stresstech Rollscan R350 (Stresstech, Vaajakoski, Finland; sensor: S8508; voltage: 5 V; frequency: 125 Hz; filter range: 70 Hz–200 Hz; air signal: 5.4 mp) and analyzed graphically. To calibrate the amplitude profiles, taper grinding processes were carried out, and metallographic cross-sections were prepared. For the case-hardened steel AISI 5120 (20MnCr5), it was found that the first slight tempering zones consistently appear at the inflection point of the Barkhausen noise amplitude curve and intensify progressively with increasing depth of cut along the taper grinding path. In Figure 6, the green area indicates undamaged material, the red area shows the affected (tempered) zone, and the dotted line marks the inflection point of the amplitude curve.
The fast and non-destructive analysis using Barkhausen noise measurement is therefore employed to reliably detect grinding burn. The critical specific material removal rate Qw, crit for each grinding test was calculated based on the critical depth of cut ae, crit, which was determined from the geometry of the grinded ramp and the distance traveled along the measured path before grinding burn occurred. The corresponding tangential feed speed vft was also considered, see Equation (8):
Q w , c r i t = a e , c r i t v f t
Depending on the quality of the MWF supply into the contact zone, the inflection point and thus the onset of grinding burn occurred at varying distances along the grinding path. Improved MWF supply enhances better cooling and lubrication effects [24], allowing higher specific material removal rates to be achieved before grinding burn occurs. Consequently, the influence of the fluid jet to wheel speed ratio qs on the MWF supply, under varying cutting speeds and grinding wheel topographies, can be effectively demonstrated. The calculated critical specific material removal rate of each grinding test and its two repeats was averaged. At a cutting speed of 35 m/s, the F120 grinding wheel shows no clear dependency between the speed ratio qs and the critical specific material removal rate, see Figure 7. The dashed arrows highlight the changes in the critical specific material removal rate across the investigated speed ratios and grinding wheel specifications. Across the three speed ratios 1.0, 0.8, and 0.6, the measured values fluctuate without a consistent direction. Although the standard deviations are not particularly high, their magnitude relative to the small changes in the mean values prevents the identification of a reliable trend. In contrast, the F80 and F60 wheels exhibit a distinct influence of the speed ratio. For the fine grit size F120, absolute variations in Qw, crit across the investigated speed ratios remained small and non-systematic at both cutting speeds. Therefore, no percentage change is reported for this wheel specification. For both F80 and F60 specifications, the critical specific material removal rate increases steadily as the speed ratio decreases from 1.0 to 0.6. For grit size F60, the mean critical specific material removal rate increased from Qw, crit ≈ 2.42 mm3/mm·s at qs = 1.0 to ≈ 2.74 mm3/mm·s at qs = 0.6, corresponding to an increase of approximately 13%. For grit size F80, Qw, crit increased from ≈ 2.25 mm3/mm·s to ≈ 2.86 mm3/mm·s, which corresponds to an increase of approximately 27%. The variation is sufficiently low to confirm this trend, and the more porous wheels achieve higher critical specific material removal rates than the finer F120 wheel.
At a cutting speed of 60 m/s, the behavior of the F120 wheel again shows no identifiable dependency between the speed ratio qs and the critical specific material removal rate, see Figure 8. The dashed arrows mark the corresponding changes in the critical specific material removal rate. The values at the three speed ratios 1.0, 0.8, and 0.6 fluctuate in both directions, and the standard deviations remain at a level that does not allow a consistent trend to be derived. For the more porous F80 and F60 wheels, the standard deviations are somewhat higher than at 35 m/s, yet still sufficiently small to clearly reveal the underlying trend. In contrast to the observations at lower cutting speeds, the critical specific material removal rate now decreases systematically as the speed ratio is reduced from 1.0 to 0.6. For grit size F60, Qw, crit decreased from ≈ 3.34 mm3/mm·s at qs = 1.0 to ≈ 2.24 mm3/mm·s at qs = 0.6, corresponding to a reduction of approximately 33%. For grit size F80, a decrease from ≈ 2.8 mm3/mm·s to ≈ 1.83 mm3/mm·s was observed, representing a reduction of approximately 35%. Despite this reversal of the trend direction, the F80 and F60 wheels again reach higher critical specific material removal rates than the F120 wheel.
Overall, the results show that the influence of the speed ratio qs on the critical specific material removal rate strongly depends on both the cutting speed and the porosity of the grinding wheel. For the fine grit size F120, no consistent trend can be identified at either cutting speed. The mean values at the three speed ratios 1.0, 0.8, and 0.6 show slight upward and downward fluctuations, but these changes remain small in magnitude and do not follow a systematic direction. The standard deviations, although moderate, are sufficiently large relative to these small variations to prevent the identification of a clear dependency. This behavior can be explained by the low pore volume and smooth surface topography of the F120 wheel. Due to its fine grain structure, the wheel provides fewer pathways for MWF entrainment and forms only a weak air barrier. As a result, variations in the jet to wheel speed ratio have only a minor effect on the actual MWF penetration into the contact zone, which explains why the small shifts in the mean values are still too small to indicate a systematic trend. In contrast, the more porous F80 and F60 wheels exhibit clear and reproducible trends. At 35 m/s, the critical specific material removal rate increases continuously as the speed ratio decreases, whereas at 60 m/s, the trend reverses and the critical specific material removal rate decreases with lower speed ratios. Across both cutting speeds, the F80 and F60 wheels consistently achieve higher critical specific material removal rates than the finer F120 wheel. These observations can be explained by the interaction between MWF jet entrainment and air-barrier formation. At lower cutting speeds, reduced jet reflection and improved entrainment enhance MWF penetration into the contact zone, enabling higher material removal rates at lower speed ratios. At higher cutting speeds, however, the intensified air barrier increasingly deflects slower jets, limiting MWF access to the contact zone and thereby reducing the achievable critical specific material removal rates when the speed ratio is decreased.

3.2. Calculation of the Specific Process Energy

The critical specific material removal rates Qw, crit solely give information about the productivity of the grinding processes. In order to value their efficiency, the specific process energies are taken into account. The total specific process energy etotal of a grinding process consists of the spindle energy es, the pump energy ep, and the base load energy of the machine ebl [20]. Due to the experimental setup used, the grinding power Pg replaces the spindle power Ps in the calculation of the total energy. Each summand is calculated from the applied power and the critical material removal rate of each process, see Equation (9):
e t o t a l = e g + e p + e b l = P g Q w , c r i t + P p Q w , c r i t + P b l Q w , c r i t [ J mm 3 = W s mm 3 ]
The grinding power Pg is calculated from the critical tangential grinding force Ft, crit, measured by the dynamometer, and the tangential feed speed vft, see Equation (10).
P g = F t , c r i t v f t
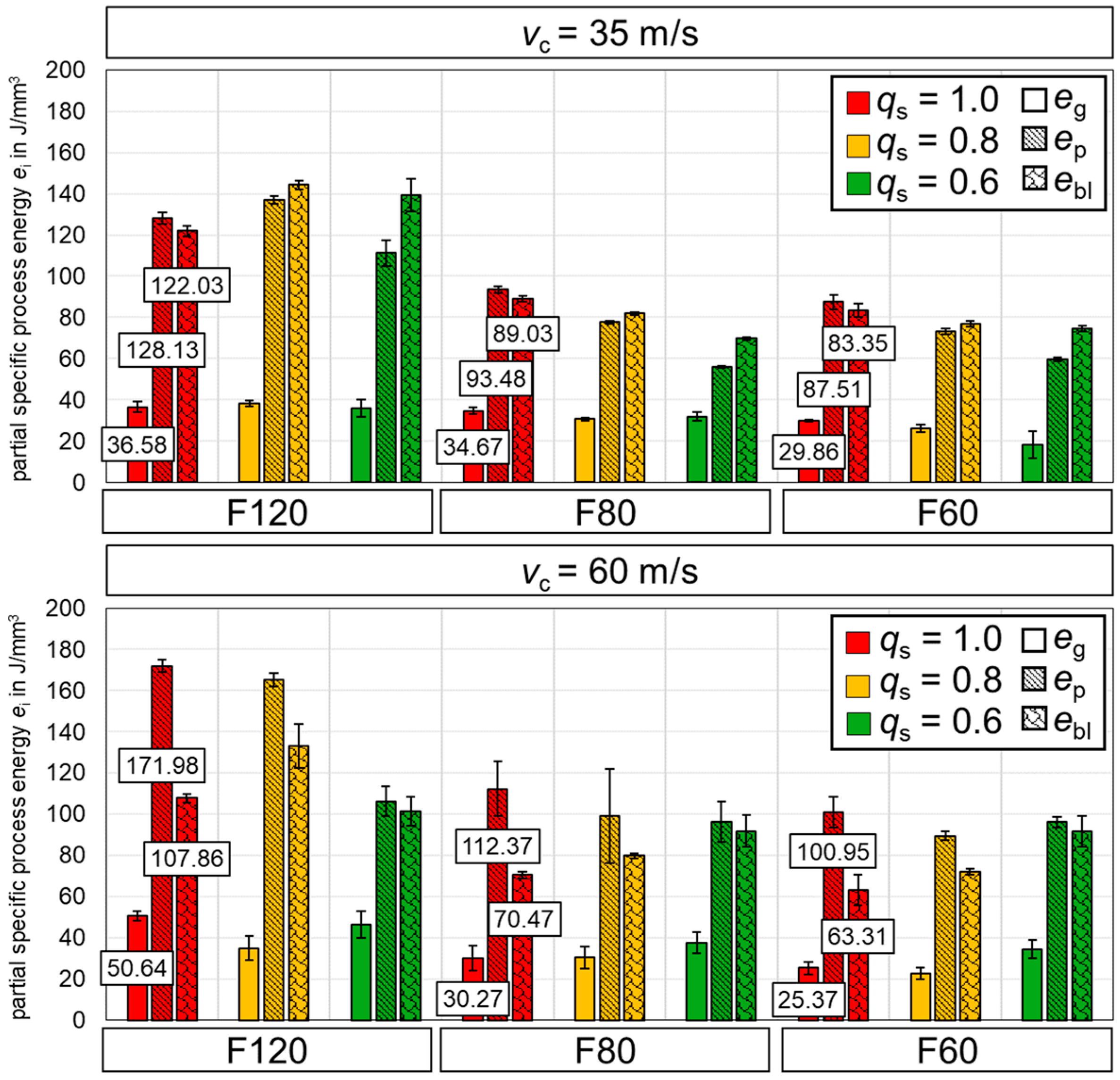
The pump power as well as the base load were measured with the power analyzer WT500 (Yokogawa, Tokyo, Japan). The base load remained constant throughout each test (Pbl = 4 kW). Qw, crit is calculated as the product of the critical depth of cut obtained through Barkhausen noise analysis, the associated tangential feed speed, and the grinding wheel width. Depending on the power input and the material removed before grinding burn occurs, the partial specific process energies vary for each grinding test, see Figure 9.
The ratio between grinding power and the critical specific material removal rate remains nearly constant across all grinding tests, as both the critical tangential force Ft, crit and Qw, crit are governed by the ramp position and the corresponding critical depth of cut. In contrast, the specific pump energy and base load energy depend strongly on the fluid jet to wheel speed ratio qs and cutting speed, see Figure 9. Since the volumetric flow rate QMWF is the product of nozzle cross-section and jet velocity, the hydraulic power demand of the MWF pump scales with fluid velocity. Consequently, lower speed ratios and lower cutting speeds (e.g., qs = 0.6 at 35 m/s) enable higher Qw, crit and reduced pump and total specific energy, whereas higher qs or elevated cutting speeds (60 m/s) increase the hydraulic and total energy due to higher jet velocities and limited MWF penetration. The specific base load energy ebl follows the same trend, as the base load power remains constant while Qw, crit varies, resulting in the lowest ebl for processes with the highest Qw, crit. Across all energy components, standard deviations increase slightly at higher cutting speeds for grit sizes F120 and F60, with a more pronounced increase for F80. By summing all partial energy contributions, the total specific process energy etotal is obtained, see Figure 10.
The grinding process using grit size F60 at 35 m/s, a tangential feed speed of 4000 mm/min, and qs = 0.6 exhibits the lowest etotal of 152.75 J/mm3, representing the most energy-efficient configuration. In contrast, the process using grit size F120 at 60 m/s and qs = 0.8 shows the highest etotal of 333.13 J/mm3, more than twice the energy per unit volume of material removed. These trends reflect the interplay between achievable material removal rates, MWF supply efficiency, and the associated pump and base load contributions. Coarser grit wheels (F80 and F60) generally achieve higher Qw, crit and lower total specific energy than F120. At higher cutting speeds, increased jet velocities elevate pump energy requirements, partially offsetting the benefits of higher Qw, crit. At lower speeds, reduced jet velocities allow more efficient MWF entrainment and lower pump energy. Overall, these observations illustrate the strong coupling between the fluid jet to wheel speed ratio, achievable material removal rates, and the corresponding energy components.

3.3. Consideration of the Carbon Footprint

Based on the differences in specific process energy identified in Section 3.2, the resulting impact on the carbon footprint of the grinding process is evaluated in the following. CO2 emissions are calculated based on the total energy demand of the grinding process Etotal and the CO2 emission factor, see Equation (1). The total energy demand Etotal is expressed as the product of the total specific energy etotal and the removed material volume VW, see Equation (2). As stated in the Introduction, CO2 emissions are directly proportional to the total process energy Etotal and, consequently, to its individual energy components such as etotal. Therefore, differences in CO2 emissions can be directly inferred from differences in energy demand. Therefore, differences in CO2 emissions can be directly inferred from differences in energy demand. For illustrative purposes, an exemplary calculation of annual CO2 emissions for the production of the workpieces is provided. The workpieces (width × height × depth = 20 mm × 30 mm × 80 mm) are processed in four grinding operations: two rough grinding strokes (ae, rough = 0.1 mm) and two fine grinding strokes (ae, fine = 0.05 mm). This results in a removed material volume of 416 mm3 per workpiece. Assuming a production of 100 workpieces per day, 5 days per week, and 52 weeks per year, the total removed material volume VW amounts to 10,816,000 mm3.

3.3.1. Comparison of the Most and Least Efficient Grinding Tests

As shown in Figure 11, the total specific energy etotal for the most and least efficient grinding processes differs by 54%. Under the assumption of a constant CO2 emission factor, this difference directly translates into a 54% difference in CO2 emissions.
To machine the case study volume of Vw = 10,816,000 mm3, the least efficient process (etotal = 333.1 J/mm3) requires a total energy demand Etotal of 1.001 MWh. Using a CO2 emission factor of 0.435 t CO2/MWh, as prescribed in [25], this corresponds to an annual CO2 output of 0.435 t. In contrast, the most efficient process (etotal = 152.8 J/mm3) requires only 0.459 MWh, resulting in an annual CO2 output of 0.199 t. It should be noted that different grinding wheels (with varying grit sizes), cutting speeds, and tangential feed speeds were used. Nevertheless, these calculations serve primarily to illustrate the magnitude of CO2 savings and confirm that the relative difference in etotal directly determines the relative difference in CO2 emissions.

3.3.2. Comparison of CO2 Emissions by Adjusting Only qs

To investigate the potential for reducing CO2 emission solely by adjusting the fluid jet to wheel speed ratio, two grinding processes using the same grinding wheel (grit size F80) and cutting speed of 35 m/s are compared, with speed ratios qs of 1 and 0.6, see Figure 12.
The process with a speed ratio qs of 0.6 has been shown to be more efficient due to its lower specific energy consumption. Applying the respective process energies to the calculation example, the resulting annual CO2 emissions are 0.206 t for a speed ratio of 0.6 and 0.284 t for a speed ratio of 1. The more efficient process thus achieves a reduction in CO2 emissions of approximately 27%. These efficiency gains also result in lower power consumption costs.

4. Discussion

The results presented in Section 3.1, Section 3.2 and Section 3.3 provide a comprehensive overview of how the fluid jet to wheel speed ratio qs influences grinding performance, energy consumption, and the associated carbon footprint. In Section 3.1, the critical specific material removal rates Qw, crit were determined for different grinding wheels and cutting speeds. At 35 m/s, decreasing speed ratios qs increase Qw, crit for coarser wheels (F80 and F60) due to improved MWF entrainment, whereas at 60 m/s the trend reverses as slower jets are deflected by an intensified air barrier. Fine grit wheels (F120) show no systematic dependency of Qw, crit on qs, with comparatively low achievable material removal rates. Section 3.2 shows that variations in qs predominantly affect the thermal and hydraulic energy demand, while the ratio between grinding power and Qw, crit remains nearly constant. Lower speed ratios (e.g., qs = 0.6) at 35 m/s achieve higher Qw, crit and lower pump and total specific energy, whereas at 60 m/s the same qs coincides with lower Qw, crit and increased total energy due to limited MWF penetration. Base load energy follows the same dependency. Section 3.3 implicates the carbon footprint of the grinding process. CO2 emissions scale proportionally with total energy Etotal, and comparison of the most and least efficient processes shows a 54% difference in etotal, corresponding to a 54% difference in annual CO2 emissions. For 10,816,000 mm3 of material, this translates to 0.435 t CO2 for the least efficient and 0.199 t CO2 for the most efficient process. Adjusting qs alone for F80 wheels at 35 m/s reduces annual CO2 emissions from 0.284 t to 0.206 t (~27%), illustrating that changes in etotal directly translate into equivalent changes in emissions. Building on these results, several aspects warrant further investigation. In particular, the influence of the fluid jet to wheel speed ratio qs when using medium porous grinding wheels compared to open-pore grinding wheels needs to be clarified. Moreover, the point at which the inversion of the trend occurs, where lower jet speeds begin to negatively affect process efficiency, should be determined. Finally, the effect of the air barrier on the interaction between the MWF and the grinding wheel, depending on the fluid jet to wheel speed ratio qs, needs to be investigated in future research. Addressing these aspects will contribute to a deeper understanding of the mechanisms of interaction and, ultimately, to the design of more energy-efficient grinding processes.

5. Conclusions

This study investigated the influence of the fluid jet to wheel speed ratio (qs) on grinding performance, energy demand, and associated CO2 emissions in surface grinding. Using taper grinding experiments, critical specific material removal rates were determined for grinding wheels with different grit sizes (F60–F120) at cutting speeds of 35 m/s and 60 m/s, with the onset of grinding burn identified by Barkhausen noise analysis. Based on these critical limits, the total specific process energy was quantified by considering grinding, pump, and machine base load contributions. The results demonstrate that the effectiveness of qs strongly depends on both cutting speed and wheel topography, leading to substantial differences in achievable material removal rates and energy efficiency. Consequently, optimizing qs offers significant potential to improve grinding efficiency and reduce the carbon footprint of grinding processes, particularly for coarser and more porous grinding wheels.

Key Findings

  • F120 (fine grit):
    No systematic effect of qs on critical specific material removal rate (Qw, crit) at either cutting speed. Minor fluctuations only.
  • F80 and F60 (coarser grit):
    35 m/s: Decreasing qs from 1.0 → 0.6 increases Qw, crit:
    F60: ≈ 2.42 → 2.74 mm3/mm·s → +13%
    F80: ≈ 2.25 → 2.86 mm3/mm·s → +27%
    60 m/s: Same reduction decreases Qw, crit:
    F60: ≈ 3.34 → 2.24 mm3/mm·s → −33%
    F80: ≈ 2.8 → 1.83 mm3/mm·s → −35%
  • Specific process energy (etotal):
    Most efficient: F60, 35 m/s, qs = 0.6 → 152.8 J/mm3
    Least efficient: F120, 60 m/s, qs = 0.8 → 333.1 J/mm3
  • Carbon footprint (CO2):
    Adjusting qs alone (F80, 35 m/s) reduces annual CO2 emissions from 0.284 t → 0.206 t (~27% reduction). This demonstrates that relative changes in etotal directly translate into equivalent changes in CO2 output.
The fluid jet to wheel speed ratio (qs) significantly affects both productivity and overall grinding efficiency. For fine grit wheels (F120), only minor, non-systematic variations in Qw, crit were observed at both cutting speeds, while coarser wheels (F80 and F60) showed a strong dependency. At 35 m/s, decreasing qs from 1.0 to 0.6 increased Qw, crit by approximately 13% for F60 and 27% for F80. Conversely, at 60 m/s the same reduction decreased Qw, crit by 33% for F60 and 35% for F80. Analysis of specific process energy etotal confirms these trends. The most efficient process (F60, 35 m/s, qs = 0.6) required 152.8 J/mm3, whereas the least efficient (F120, 60 m/s, qs = 0.8) required 333.1 J/mm3. The ratio between grinding power and Qw, crit remains nearly constant, indicating that variations in qs predominantly affect thermal and hydraulic energy demand rather than mechanical cutting load. Lower speed ratios (qs = 0.6) at 35 m/s allow high Qw, crit and reduced pump and total specific energy, whereas at 60 m/s the same low speed ratios coincide with lower Qw, crit and increased total energy due to limited MWF penetration. The specific base load energy follows a similar trend. Applying these results to a case-study production volume, adjusting qs alone for F80 wheels at 35 m/s reduces annual CO2 emissions from 0.284 t to 0.206 t (~27%), demonstrating that relative changes in etotal directly translate into equivalent changes in emissions. Overall, optimizing qs enhances grinding efficiency, reduces energy consumption, and lowers the carbon footprint, particularly for coarser grit wheels, emphasizing the strong coupling between fluid jet to wheel speed, achievable material removal rates, energy components, and the resulting environmental impact.

Author Contributions

Conceptualization, A.N. and T.H.; methodology, A.N. and T.H.; investigation, A.N.; resources, B.K.; data curation, A.N.; writing—original draft preparation, A.N.; writing—review and editing, T.H. and B.K.; visualization, A.N.; supervision, T.H. and B.K.; project administration, T.H. and B.K.; funding acquisition, B.K. All authors have read and agreed to the published version of the manuscript.

Funding

This research received no external funding.

Data Availability Statement

The data presented in this study are available on request from the corresponding author.

Acknowledgments

The authors gratefully acknowledge the support of the German Association for Grinding Technology (FGS) and the collaborating industrial partners. The grinding wheels used in this study were provided by Tyrolit AG, which enabled the experimental investigations.

Conflicts of Interest

The authors declare that they have no known competing financial interests or personal relationships that could have appeared to influence the work reported in this paper.

References

  1. Kohls, E.; Heinzel, C.; Eich, M. Evaluation of hardness and residual stress changes of AISI 4140 steel due to thermal load during surface grinding. J. Manuf. Mater. Process. 2021, 5, 73. [Google Scholar] [CrossRef]
  2. Srivastava, A.; Awale, A.; Vashista, M.; Yusufzai, M.Z.K. Monitoring of thermal damages upon grinding of hardened steel using Barkhausen noise analysis. J. Mech. Sci. Technol. 2020, 34, 2145–2151. [Google Scholar] [CrossRef]
  3. Brinksmeier, E.; Brockhoff, T. Utilization of grinding heat as a new heat treatment process. CIRP Ann.–Manuf. Technol. 1996, 45, 283–286. [Google Scholar] [CrossRef]
  4. Brinksmeier, E. Process and Workpiece Quality in Fine Machining; Fortschritt-Bericht VDI: Düsseldorf, Germany, 1991; Series 3, No. 234; ISBN 9783181434024. (In German) [Google Scholar]
  5. Meyer, D.; Wagner, A. Influence of metalworking fluid additives on the thermal conditions in grinding. CIRP Ann.–Manuf. Technol. 2016, 65, 313–316. [Google Scholar] [CrossRef]
  6. Rowe, W.B.; Black, S.C.E.; Mills, B.; Qi, H.S.; Morgan, M.N. Experimental investigation of heat transfer in grinding. CIRP Ann.–Manuf. Technol. 1995, 44, 329–332. [Google Scholar] [CrossRef]
  7. Schwienbacher, S. Influence of Grinding Burn on Flank Load-Carrying Capacity of Case-Hardened Gears. Ph.D. Thesis, Technical University of Munich, Munich, Germany, 2008. DNB-ID: 988280167. (In German). [Google Scholar]
  8. Jawahir, I.S.; Brinksmeier, E.; M’Saoubi, R.; Aspinwall, A.K.; Outeiro, J.C.; Meyer, D.; Umbrello, D.; Jayal, A.D. Surface integrity in material removal processes: Recent advances. CIRP Ann.–Manuf. Technol. 2011, 60, 603–626. [Google Scholar] [CrossRef]
  9. Field, M.; Koster, W. Optimizing grinding parameters to combine high productivity with high surface integrity. CIRP Ann.–Manuf. Technol. 1978, 27, 523–528. [Google Scholar]
  10. Morgan, M.N.; Jackson, A.R.; Wu, H.; Baines-Jones, V.; Batako, A.; Rowe, W.B. Optimization of fluid application in grinding. CIRP Ann.–Manuf. Technol. 2008, 57, 363–366. [Google Scholar] [CrossRef]
  11. Akiyama, T.; Shibata, J.; Yonetsu, S. Behaviour of grinding fluid in the gap of the contact area between a grinding wheel and a workpiece. In Proceedings of the 5th International Conference on Production Engineering, Tokyo, Japan, 29–31 March 1984; pp. 52–57. [Google Scholar]
  12. Ott, H.W. Supply systems for cooling lubricants in grinding. In Cutting Fluids in Machining; 1991; pp. 1–17. (In German) [Google Scholar]
  13. Denkena, B.; Becker, J.; Jung, M.; Catoni, F. Optimization of the cooling conditions in continuous generating grinding of gears. In Proceedings of the 3rd International Conference and Exhibition on Design and Production of Dies and Molds, Bursa, Turkey, 17–19 June 2004; pp. 339–344. [Google Scholar]
  14. Webster, J.A.; Cui, C.; Mindek, R.B. Grinding fluid application system design. CIRP Ann.–Manuf. Technol. 1995, 44, 333–338. [Google Scholar] [CrossRef]
  15. Alberdi, R.; Sanchez, J.; Pombo, I.; Ortega, N. Strategies for optimal use of fluids in grinding. Int. J. Mach. Tools Manuf. 2011, 51, 491–499. [Google Scholar] [CrossRef]
  16. Heinzel, C.; Meyer, D.; Kolkwitz, B.; Eckebrecht, J. Advanced approach for a demand-oriented fluid supply in grinding. CIRP Ann.–Manuf. Technol. 2015, 64, 333–336. [Google Scholar] [CrossRef]
  17. Heinzel, C.; Kirsch, B.; Meyer, D.; Webster, J. Interactions of grinding tool and supplied fluid. CIRP Ann. 2020, 69, 624–645. [Google Scholar] [CrossRef]
  18. Schneider, M. Alternative Cooling-Lubricant Technologies for Process Optimization in Grinding; BMBF Research Report; Federal Ministry of Education and Research: Berlin, Germany, 2011. (In German) [Google Scholar]
  19. Widmann, D. Reduction of cooling lubricant usage in grinding. Ind. Diam. Rundsch. 2006, 40, 74–76, 78. (In German) [Google Scholar]
  20. Kolkwitz, B. Influence of Thermal Load on Work Result and Energy Efficiency in Grinding. Ph.D. Thesis, University of Bremen, Bremen, Germany, October 2020. ISBN 978-3-8440-7625-7. (In German). [Google Scholar]
  21. Tawakoli, T.; Hadad, M.; Sadeghi, M.H.; Daneshi, A.; Sadeghi, B. Minimum Quantity Lubrication in Grinding. J. Clean. Prod. 2011, 19, 2088–2099. [Google Scholar] [CrossRef]
  22. Rouse, H.; Howe, J.W.; Metzler, D.E. Experimental investigation of fire monitors and nozzles. Trans. Am. Soc. Civ. Eng. 1952, 117, 1147–1175. [Google Scholar] [CrossRef]
  23. Guba, N.; Hüsemann, T.; Heinzel, C. Influence of metal working fluid supply conditions on the thermal process limit for grinding of hardened steel. CIRP J. Manuf. Sci. Technol. 2025, 59, 235–245. [Google Scholar] [CrossRef]
  24. Meyer, D.; Schumski, L.; Guba, N.; Espenhahn, B.; Hüsemann, T. Relevance of the region of interaction between the tool and the metalworking fluid for the cooling effect in grinding. CIRP Ann.–Manuf. Technol. 2022, 71, 301–304. [Google Scholar] [CrossRef]
  25. Federal Office for Economic Affairs and Export Control (BAFA). Information Sheet: CO2 Emission Factors 2025. Federal Office for Economic Affairs and Export Control, Eschborn, 2025. Available online: https://www.bafa.de/SharedDocs/Downloads/DE/Energie/eew_infoblatt_co2_faktoren_2025.pdf (accessed on 1 November 2025). (In German).
Figure 1. Representative profile of active electrical power consumption of a grinding machine.
Figure 1. Representative profile of active electrical power consumption of a grinding machine.
Jmmp 10 00018 g001
Figure 2. Experimental parameters, speed ratio, and surface topographies of the grinding wheels used with different grit sizes.
Figure 2. Experimental parameters, speed ratio, and surface topographies of the grinding wheels used with different grit sizes.
Jmmp 10 00018 g002
Figure 3. In-house 3D-printed MWF-nozzles with internal rouse-profile geometry and rectangular outlet cross-section.
Figure 3. In-house 3D-printed MWF-nozzles with internal rouse-profile geometry and rectangular outlet cross-section.
Jmmp 10 00018 g003
Figure 4. Measured cross-sections of the 3D-printed MWF-nozzles.
Figure 4. Measured cross-sections of the 3D-printed MWF-nozzles.
Jmmp 10 00018 g004
Figure 5. Experimental setup and grinding process (taper grinding).
Figure 5. Experimental setup and grinding process (taper grinding).
Jmmp 10 00018 g005
Figure 6. Graphical analysis of the Barkhausen noise measurements.
Figure 6. Graphical analysis of the Barkhausen noise measurements.
Jmmp 10 00018 g006
Figure 7. Critical specific material removal rates for different speed ratios and grit sizes (vc = 35 m/s).
Figure 7. Critical specific material removal rates for different speed ratios and grit sizes (vc = 35 m/s).
Jmmp 10 00018 g007
Figure 8. Critical specific material removal rates for different speed ratios and grit sizes (vc = 60 m/s).
Figure 8. Critical specific material removal rates for different speed ratios and grit sizes (vc = 60 m/s).
Jmmp 10 00018 g008
Figure 9. Partial specific process energies ei for different speed ratios and grit sizes.
Figure 9. Partial specific process energies ei for different speed ratios and grit sizes.
Jmmp 10 00018 g009
Figure 10. Specific process energies etotal for different speed ratios and grit sizes.
Figure 10. Specific process energies etotal for different speed ratios and grit sizes.
Jmmp 10 00018 g010
Figure 11. Comparison of the highest and lowest specific process energies.
Figure 11. Comparison of the highest and lowest specific process energies.
Jmmp 10 00018 g011
Figure 12. Comparison of specific process energies by only adjusting qs.
Figure 12. Comparison of specific process energies by only adjusting qs.
Jmmp 10 00018 g012
Table 1. HNozzles of the MWF-nozzles.
Table 1. HNozzles of the MWF-nozzles.
MWF-nozzle ivc, i [m/s]qs, iHNozzle, i [mm]
MWF-nozzle 1 3510.952
MWF-nozzle 2350.81.19
MWF-nozzle 3350.61.587
MWF-nozzle 46010.55
MWF-nozzle 5600.80.694
MWF-nozzle 6600.60.926
Disclaimer/Publisher’s Note: The statements, opinions and data contained in all publications are solely those of the individual author(s) and contributor(s) and not of MDPI and/or the editor(s). MDPI and/or the editor(s) disclaim responsibility for any injury to people or property resulting from any ideas, methods, instructions or products referred to in the content.

Share and Cite

MDPI and ACS Style

Njie, A.; Hüsemann, T.; Karpuschewski, B. Investigations on the Effect of Fluid Jet to Wheel Speed Ratio on Specific Grinding Energy. J. Manuf. Mater. Process. 2026, 10, 18. https://doi.org/10.3390/jmmp10010018

AMA Style

Njie A, Hüsemann T, Karpuschewski B. Investigations on the Effect of Fluid Jet to Wheel Speed Ratio on Specific Grinding Energy. Journal of Manufacturing and Materials Processing. 2026; 10(1):18. https://doi.org/10.3390/jmmp10010018

Chicago/Turabian Style

Njie, Ablie, Tobias Hüsemann, and Bernhard Karpuschewski. 2026. "Investigations on the Effect of Fluid Jet to Wheel Speed Ratio on Specific Grinding Energy" Journal of Manufacturing and Materials Processing 10, no. 1: 18. https://doi.org/10.3390/jmmp10010018

APA Style

Njie, A., Hüsemann, T., & Karpuschewski, B. (2026). Investigations on the Effect of Fluid Jet to Wheel Speed Ratio on Specific Grinding Energy. Journal of Manufacturing and Materials Processing, 10(1), 18. https://doi.org/10.3390/jmmp10010018

Article Metrics

Back to TopTop