Theoretical Study on Low-Chirp Directly Modulated DFB Lasers with (110)-Oriented Quantum Well
Abstract
1. Introduction
2. Theoretical
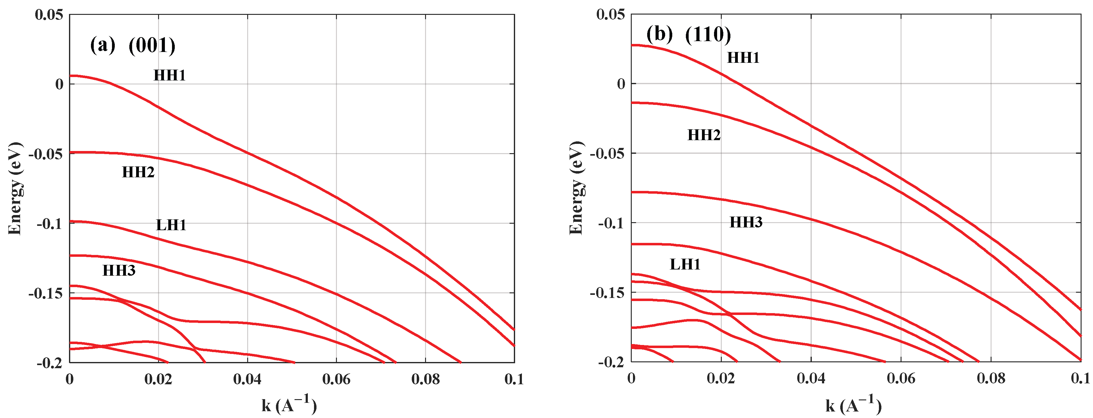
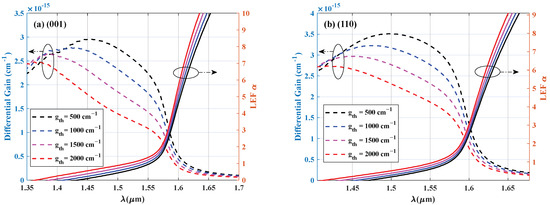
3. Numerical Simulation
4. Conclusions
Author Contributions
Funding
Institutional Review Board Statement
Informed Consent Statement
Data Availability Statement
Conflicts of Interest
Appendix A
References
- Matsui, Y.; Schatz, R.; Che, D.; Khan, F.; Kwakernaak, M.; Sudo, T. Low-chirp isolator-free 65-GHz-bandwidth directly modulated lasers. Nat. Photonics 2021, 15, 59–63. [Google Scholar] [CrossRef]
- Verbist, J.; Verplaetse, M.; Srivinasan, S.; De Heyn, P.; De Keulenaer, T.; Pierco, R.; Vaernewyck, R.; Vyncke, A.; Absil, P.; Torfs, G.; et al. First real-time 100-Gb/s NRZ-OOK transmission over 2 km with a silicon photonic electro-absorption modulator. In Proceedings of the Optical Fiber Communication Conference, Los Angeles, CA, USA, 19–23 March 2017; Optica Publishing Group: Washington, DC, USA; p. Th5C-4. [Google Scholar]
- Kobayashi, W.; Ito, T.; Yamanaka, T.; Fujisawa, T.; Shibata, Y.; Kurosaki, T.; Kohtoku, M.; Tadokoro, T.; Sanjoh, H. 50-Gb/s direct modulation of a 1.3-μm InGaAlAs-based DFB laser with a ridge waveguide structure. IEEE J. Sel. Top. Quantum Electron. 2013, 19, 1500908. [Google Scholar] [CrossRef]
- Uomi, K. A Tutorial at OFC 2019: Ultra High-Speed Quantum-Well Semiconductor Lasers. In Proceedings of the 2019 Optical Fiber Communications Conference and Exhibition (OFC), San Diego, CA, USA, 3–7 March 2019; pp. 1–61. [Google Scholar]
- Kanazawa, S.; Yamazaki, H.; Nakanishi, Y.; Ueda, Y.; Kobayashi, W.; Muramoto, Y.; Ishii, H.; Sanjoh, H. 214-Gb/s 4-PAM operation of flip-chip interconnection EADFB laser module. J. Light. Technol. 2016, 35, 418–422. [Google Scholar] [CrossRef]
- Lange, S.; Wolf, S.; Lutz, J.; Altenhain, L.; Schmid, R.; Kaiser, R.; Schell, M.; Koos, C.; Randel, S. 100 GBd intensity modulation and direct detection with an InP-based monolithic DFB laser Mach–Zehnder modulator. J. Light. Technol. 2018, 36, 97–102. [Google Scholar] [CrossRef]
- Billia, L.; Zhu, J.; Ranganath, T.; Bour, D.P.; Corzine, S.W.; Hofler, G. 40-Gb/s EA modulators with wide temperature operation and negative chirp. IEEE Photonics Technol. Lett. 2005, 17, 49–51. [Google Scholar] [CrossRef]
- Nakahara, K.; Tsuchiya, T.; Kitatani, T.; Shinoda, K.; Taniguchi, T.; Kikawa, T.; Aoki, M.; Mukaikubo, M. 40-Gb/s Direct Modulation With High Extinction Ratio Operation of 1.3-µm InGaAlAs Multiquantum Well Ridge Waveguide Distributed Feedback Lasers. IEEE Photonics Technol. Lett. 2007, 19, 1436–1438. [Google Scholar] [CrossRef]
- Otsubo, K.; Matsuda, M.; Okumura, S.; Uetake, A.; Ekawa, M.; Yamamoto, T. Low-driving-current high-speed direct modulation up to 40 Gb/s using 1.3-μm semi-insulating buried-heterostructure AlGaInAs-MQW distributed reflector (DR) lasers. In Proceedings of the Optical Fiber Communication Conference, San Diego, CA, USA, 22–26 March 2009; p. OThT6. [Google Scholar]
- Liu, G.; Zhao, G.; Zhang, G.; Liu, Y.; Lu, Q.; Guo, W. Experimental demonstration of directly modulated DFB lasers with negative chirp over wide temperature operation. J. Light. Technol. 2020, 38, 3663–3669. [Google Scholar] [CrossRef]
- Hakki, B.W. Evaluation of transmission characteristics of chirped DFB lasers in dispersive optical fiber. J. Light. Technol. 1992, 10, 964–970. [Google Scholar] [CrossRef]
- Suematsu, Y.; Adams, A.R. Handbook of Semiconductor Lasers and Photonic Integrated Circuits; Chapman & Hall: Boca Raton, FL, USA, 1994. [Google Scholar]
- Warm, S.; Bunge, C.-A.; Wuth, T.; Petermann, K. Electronic dispersion precompensation with a 10-Gb/s directly modulated laser. IEEE Photonics Technol. Lett. 2009, 21, 1090–1092. [Google Scholar] [CrossRef]
- Matsui, Y.; Mahgerefteh, D.; Zheng, X.; Liao, C.; Fan, Z.; McCallion, K.; Tayebati, P. Chirp-managed directly modulated laser (CML). IEEE Photonics Technol. Lett. 2006, 18, 385–387. [Google Scholar] [CrossRef]
- Coldren, L.A.; Corzine, S.W.; Mashanovitch, M.L. Diode Lasers and Photonic Integrated Circuits; John Wiley & Sons: Hoboken, NJ, USA, 2012. [Google Scholar]
- Yamanaka, T.; Yoshikuni, Y.; Yokoyama, K.; Lui, W.; Seki, S. Theoretical study on enhanced differential gain and extremely reduced linewidth enhancement factor in quantum-well lasers. IEEE J. Quantum Electron. 1993, 29, 1609–1616. [Google Scholar] [CrossRef]
- Liu, J.; Li, J.; Xi, Y.; Li, X.; Ke, C.; Wang, Y.; Fu, Z. L-band directly modulated laser for 10G PONs. In Proceedings of the 2016 Progress in Electromagnetic Research Symposium (PIERS), Shanghai, China, 8–11 August 2016; p. 2718. [Google Scholar]
- Arakawa, Y.; Yariv, A. Theory of gain, modulation response, and spectral linewidth in AlGaAs quantum well lasers. IEEE J. Quantum Electron. 2003, 21, 1666–1674. [Google Scholar] [CrossRef]
- Yamanaka, T.; Yoshikuni, Y.; Lui, W.; Yokoyama, K.; Seki, S. Theoretical analysis of extremely small linewidth enhancement factor and enhanced differential gain in modulation-doped strained quantum-well lasers. Appl. Phys. Lett. 1993, 62, 1191–1193. [Google Scholar] [CrossRef]
- Ohtoshi, T.; Kuroda, T.; Niwa, A.; Tsuji, S. Dependence of optical gain on crystal orientation in surface-emitting lasers with strained quantum wells. Appl. Phys. Lett. 1994, 65, 1886–1887. [Google Scholar] [CrossRef]
- Li, J.; Gao, F.; Zhao, J. Active Region Design With Different Crystal Orientations for High-Speed DFB Laser. IEEE Photonics J. 2023, 16, 1–8. [Google Scholar] [CrossRef]
- Piprek, J.; Abraham, P.; Bowers, J.E. Self-consistent analysis of high-temperature effects on strained-layer multiquantum-well InGaAsP-InP lasers. IEEE J. Quantum Electron. 2002, 36, 366–374. [Google Scholar] [CrossRef]
- Ahn, D. Optical gain of a quantum-well laser with non-Markovian relaxation and many-body effects. IEEE J. Quantum Electron. 1996, 32, 960–965. [Google Scholar] [CrossRef]
- Niwa, A.; Ohtoshi, T.; Kuroda, T. Orientation dependence of optical properties in long wavelength strained quantum-well lasers. IEEE J. Select. Top. Quantum Electron 1995, 1, 211–217. [Google Scholar] [CrossRef]
- Li, J.; Zhao, J.; Gao, F. Numerical investigation of optical and photoelectric properties for 850 nm VCSELs with arbitrary crystal orientation. Crystals 2022, 12, 1459. [Google Scholar] [CrossRef]
- Govind, P.A. Nonlinear Fiber Optics (Optics and Photonics); Academic Press: San Diego, CA, USA, 2001. [Google Scholar]
- Hardin, R.H. Applications of the split-step Fourier method to the numerical solution of nonlinear and variable coefficient wave equations. Siam Rev. 1973, 15, 423. [Google Scholar]
- Hancock, J. Jitter—Understanding it, measuring it, eliminating it part 1: Jitter fundamentals. High Freq. Electron. 2004, 4, 44–50. [Google Scholar]
- Li, X. Optoelectronic Devices: Design, Modeling, and Simulation; Cambridge University Press: Cambridge, UK, 2009. [Google Scholar]








| (001) Orientation | Band Edge | Below the Band Edge (50 meV) |
|---|---|---|
| DOS Value | 2.872 × 1017 m−2eV−1 | 11.94 × 1017 m−2eV−1 |
| Parameters | Symbol (Unit) | Value |
|---|---|---|
| Cavity length | 150 | |
| Grating coupling coefficient | 100 | |
| Active region thickness | 48 | |
| Carrier lifetime | 0.3 | |
| Optical Confinement factor | 0.08 | |
| Internal loss | 10 | |
| Linewidth enhancement factor | 2.434, 1.408 | |
| Reflectivity of front facet | 0.003 | |
| Reflectivity of rear facet | 0.95 | |
| Effective index without injection | 3.18 | |
| Grating period | 248.0 |
Disclaimer/Publisher’s Note: The statements, opinions and data contained in all publications are solely those of the individual author(s) and contributor(s) and not of MDPI and/or the editor(s). MDPI and/or the editor(s) disclaim responsibility for any injury to people or property resulting from any ideas, methods, instructions or products referred to in the content. |
© 2025 by the authors. Licensee MDPI, Basel, Switzerland. This article is an open access article distributed under the terms and conditions of the Creative Commons Attribution (CC BY) license (https://creativecommons.org/licenses/by/4.0/).
Share and Cite
Li, J.; Hu, M.; Su, X.; Liu, Y.; Zhan, K. Theoretical Study on Low-Chirp Directly Modulated DFB Lasers with (110)-Oriented Quantum Well. Photonics 2025, 12, 647. https://doi.org/10.3390/photonics12070647
Li J, Hu M, Su X, Liu Y, Zhan K. Theoretical Study on Low-Chirp Directly Modulated DFB Lasers with (110)-Oriented Quantum Well. Photonics. 2025; 12(7):647. https://doi.org/10.3390/photonics12070647
Chicago/Turabian StyleLi, Jianwei, Mengzhu Hu, Xinyang Su, Yanting Liu, and Ke Zhan. 2025. "Theoretical Study on Low-Chirp Directly Modulated DFB Lasers with (110)-Oriented Quantum Well" Photonics 12, no. 7: 647. https://doi.org/10.3390/photonics12070647
APA StyleLi, J., Hu, M., Su, X., Liu, Y., & Zhan, K. (2025). Theoretical Study on Low-Chirp Directly Modulated DFB Lasers with (110)-Oriented Quantum Well. Photonics, 12(7), 647. https://doi.org/10.3390/photonics12070647

