Sign in to use this feature.

Years

Between: -

Subjects

remove_circle_outline
remove_circle_outline
remove_circle_outline
remove_circle_outline
remove_circle_outline
remove_circle_outline

Journals

Article Types

Countries / Regions

Search Results (19)

Search Parameters:
Keywords = QBB

Order results
Result details
Results per page
Select all
Export citation of selected articles as:
21 pages, 2803 KB  
Article
Pharmacogenomics and Pharmacometabolomics in Precision Tramadol Prescribing for Enhanced Pain Management: Evidence from QBB and EMR Data
by Dhoha Dhieb, Najeha Anwardeen, Dinesh Velayutham, Mohamed A. Elrayess, Puthen Veettil Jithesh and Kholoud Bastaki
Pharmaceuticals 2025, 18(7), 971; https://doi.org/10.3390/ph18070971 - 27 Jun 2025
Viewed by 2381
Abstract
Background/Objectives: Tramadol is an opioid frequently prescribed for moderate to severe pain and has seen a global increase in use. This presents numerous challenges in clinical management. This study aims to elucidate metabolic signatures associated with tramadol consumption, enhancing predictive capabilities for [...] Read more.
Background/Objectives: Tramadol is an opioid frequently prescribed for moderate to severe pain and has seen a global increase in use. This presents numerous challenges in clinical management. This study aims to elucidate metabolic signatures associated with tramadol consumption, enhancing predictive capabilities for therapeutic outcomes and optimizing patient-specific treatment plans. Methods: Data were obtained from the Qatar Biobank (QBB), focusing on pharmacogenomic variants associated with tramadol use and prescription trends. A cohort of 27 individuals who were administered daily tramadol doses between 100 and 400 mg with available metabolomic profiles were selected. The pharmacokinetics of tramadol were evaluated in relation to specific CYP2D6 genetic variants. Comparative pharmacometabolomic profiles were generated for tramadol users versus a control group of 54 non-users. Additionally, prescription data encompassing tramadol formulations were collected from the electronic medical records (EMR) system of the major public hospital network in Qatar (Hamad Medical Corporation) to discern prescribing patterns. Results: From January 2019 to December 2022, tramadol prescriptions varied, with chronic pain as the primary indication, followed by acute pain. Pharmacogenomic analysis indicated that CYP2D6 allele variations significantly impacted tramadol and O-desmethyltramadol glucuronide levels, notably in ‘normal metabolizers’. Metabolomic analysis revealed distinct metabolic profiles in tramadol users, with significant variations in phosphatidylcholine, histidine, and lysine pathways compared to controls, highlighting tramadol’s unique biochemical impacts. Conclusions: This study underscores the importance of integrating genetic and omics-based approaches to enhance tramadol’s efficacy and safety. These findings support personalized pain management strategies, enhancing treatment outcomes for both chronic and acute pain. Full article
(This article belongs to the Special Issue Pharmacogenomics for Precision Medicine)
Show Figures

Figure 1

17 pages, 421 KB  
Article
Red Meat Consumption, Iron Status, and Cardiometabolic Risk in Qatari Adults: A Cross-Sectional Gender-Stratified Analysis from the QPHI-QBB Data in Qatar
by Hanaa Mousa, Nadin M. Abdel Razeq, Yasmen Khial and Reema Tayyem
Foods 2025, 14(12), 2134; https://doi.org/10.3390/foods14122134 - 18 Jun 2025
Viewed by 3331
Abstract
Background: Red meat, a significant source of heme iron, may influence iron status and metabolic health, particularly in Qatar, where consumption is high. Understanding these associations is essential for addressing iron deficiency and cardiovascular risk in this population. Methods: We conducted a cross-sectional [...] Read more.
Background: Red meat, a significant source of heme iron, may influence iron status and metabolic health, particularly in Qatar, where consumption is high. Understanding these associations is essential for addressing iron deficiency and cardiovascular risk in this population. Methods: We conducted a cross-sectional study using data from 13,778 Qatari adults enrolled in the Qatar Biobank (men: n = 5770; women: n = 8008). Red meat intake was assessed via the Food Frequency Questionnaire and categorized as low (≤1/month), moderate (2–4/month), and high (≥5/month) intake. Hematological and metabolic biomarkers were analyzed. Two-sample t-tests compared biomarker levels by gender. Multiple linear regression examined associations between red meat intake and iron profile indicators, adjusting for age, gender, supplement use, diabetes, hypercholesterolemia, and hypertension. Results: High red meat consumption was associated with increased ferritin (Coef = 134.685, p < 0.001) and hemoglobin (Coef = 0.918, p = 0.017). Males showed higher hemoglobin (14.8–14.9 vs. 12.4–12.5 g/dL, p < 0.0001) and total cholesterol (5.17 ± 1.10 vs. 5.02 ± 1.01 mmol/L, p = 0.0125). TIBC showed no significant gender differences across categories (p > 0.15) but varied significantly within each gender across red meat consumption categories (males: p < 0.0000; females: p < 0.0000). Conclusions: Higher red meat intake is associated with improved iron status, particularly ferritin levels, and gender-specific effects on hemoglobin and cholesterol levels. Moderate red meat intake may support iron health while maintaining a favorable lipid profile. Full article
Show Figures

Figure 1

11 pages, 1329 KB  
Article
Association between Diabetes and Levels of Micronutrients in Qatar—A Case–Control Study
by Nada Soliman, Ruba Almishal, Basant Elsayed, Ayaaz Ahmed, Sara Al-Amri, Aisha Al-Kuwari, Shaikha Al-Muhannadi, Muhammed Nadeer and Tawanda Chivese
Biomedicines 2023, 11(11), 3045; https://doi.org/10.3390/biomedicines11113045 - 14 Nov 2023
Cited by 5 | Viewed by 2018
Abstract
Objective: The objectives of this study were to investigate associations between micronutrient levels and diabetes and to explore the association in individuals with controlled and uncontrolled diabetes. Methods: A case–control study, matched on age and gender, was performed on participants with (cases) and [...] Read more.
Objective: The objectives of this study were to investigate associations between micronutrient levels and diabetes and to explore the association in individuals with controlled and uncontrolled diabetes. Methods: A case–control study, matched on age and gender, was performed on participants with (cases) and without diabetes (controls), who were Qatari or long-term residents (≥15 years of residence). Participants with diabetes were divided into those with controlled and uncontrolled diabetes using an HbA1c cutoff of 7%. Levels of micronutrients were measured from serum and categorized into normal and abnormal levels. Results: A total of 1118 participants (374 cases and 744 controls) were included with a mean age of 41.7 years (SD 9.9), of whom 53.9% were female. Of those with diabetes, 229 had controlled diabetes and 145 had uncontrolled diabetes. Compared to those without diabetes, participants with diabetes had significantly lower mean magnesium (0.80 mmol/L (SD 0.07) vs. 0.84 mmol/L (SD 0.06), respectively, p < 0.001). Lower magnesium and iron were observed in participants with uncontrolled compared to participants with controlled diabetes. After multivariable logistic regression, diabetes was associated with hypomagnesemia (OR 3.2, 95% CI 3.4–213.9) and low iron (OR 1.49, 95% CI 1.03–2.15). Uncontrolled diabetes showed stronger odds of association with hypomagnesemia (OR 5.57, 95% CI 3.65–8.52). Conclusion: In an affluent setting in the MENA region, diabetes was associated with low magnesium and low iron, and this association was stronger in individuals with uncontrolled diabetes. Full article
Show Figures

Figure 1

20 pages, 9783 KB  
Article
A New Charge-Ordered Molecular Conductor: κ-(BEDT-TTF)2K+(18-crown-6)[CoII(NCS)4]∙(H2O)
by Andrei A. Bardin, Tatiana G. Prokhorova and Lev I. Buravov
Crystals 2023, 13(10), 1504; https://doi.org/10.3390/cryst13101504 - 16 Oct 2023
Viewed by 2267
Abstract
A new molecular conductor, i.e., κ-(BEDT-TTF)2K+(18-crown-6)[CoII(NCS)4]∙(H2O), is semiconductive with substantial charge gap values (ΔE) of 0.57 eV (measured) and 0.37 eV (calculated). There is a full band separation despite formal [...] Read more.
A new molecular conductor, i.e., κ-(BEDT-TTF)2K+(18-crown-6)[CoII(NCS)4]∙(H2O), is semiconductive with substantial charge gap values (ΔE) of 0.57 eV (measured) and 0.37 eV (calculated). There is a full band separation despite formal average charge on BEDT-TTF of +0.5 and κ(kappa)-type packing of BEDT-TTF dimers that favors high conductivity. X-ray crystal structure analysis reveals complete charge ordering with full Coulomb charge on unique BEDT-TTF radical cations A (QA = +1), while unique molecules B are uncharged (QB = 0). Geometries of A (flat) and B (bent) differ considerably and are in accordance with the ascribing charges. Charge segregation is enhanced by forming tight face-to-face BEDT-TTF dimers AA (QAA = +2) and BB (QBB = 0). Strongly interacting double-charged dimers AA form “superstripes” running along a that are interleaved along b with chains of neutral dimers BB. Peculiar extremely thick (13.7 Å) four-decker insulating anion layers cast strong Coulomb potential onto the conductive layers predetermining charge localization in the latter. Full article
(This article belongs to the Special Issue New Spin on Metal-Insulator Transitions)
Show Figures

Figure 1

15 pages, 1197 KB  
Article
Association between Dietary Patterns and Cognitive Function among Qatari Adults: A Cross-Sectional Analysis of the Qatar Biobank Study
by Sundus Fituri and Zumin Shi
Nutrients 2023, 15(18), 4053; https://doi.org/10.3390/nu15184053 - 19 Sep 2023
Cited by 2 | Viewed by 3496
Abstract
This study aimed to assess the association between dietary patterns and cognitive function among Qatari adults. In a cross-sectional analysis, data on 1000 Qatari adults attending the Qatar Biobank Study (QBB) aged ≥18 years were obtained. Using factor analysis, dietary patterns were constructed [...] Read more.
This study aimed to assess the association between dietary patterns and cognitive function among Qatari adults. In a cross-sectional analysis, data on 1000 Qatari adults attending the Qatar Biobank Study (QBB) aged ≥18 years were obtained. Using factor analysis, dietary patterns were constructed based on habitual dietary intake assessed by food frequency questionnaires (FFQs). The mean reaction time (MRT) derived from self-administered touch screen tests was used as an indicator of cognitive function. The association between dietary patterns and MRT was investigated using linear regression. The mean age of the participants was 35.8 (SD 10.3) years, and the mean MRT was 715.3 (SD 204.1) milliseconds. Three dietary patterns were identified. The “traditional” dietary pattern, characterized by high intakes of white rice, mixed dishes and soups/starters possibly high in saturated fat and sodium, was positively associated with MRT. In the multivariable model, comparing the highest to lowest quartiles of the traditional pattern, the regression coefficient for MRT was 50.0 (95% CI 16.9, 83.1; p for trend 0.001). There was an effect modification of diabetes and age on the association between the “modern” dietary pattern and MRT. The “convenient” dietary pattern was not associated with cognition. In conclusion, the traditional rice-based dietary pattern may be associated with poor cognitive function. Full article
(This article belongs to the Special Issue Effects of Dietary Intake on Cognitive Function)
Show Figures

Figure 1

21 pages, 5456 KB  
Article
G-Rep: Gaussian Representation for Arbitrary-Oriented Object Detection
by Liping Hou, Ke Lu, Xue Yang, Yuqiu Li and Jian Xue
Remote Sens. 2023, 15(3), 757; https://doi.org/10.3390/rs15030757 - 28 Jan 2023
Cited by 83 | Viewed by 6102
Abstract
Typical representations for arbitrary-oriented object detection tasks include the oriented bounding box (OBB), the quadrilateral bounding box (QBB), and the point set (PointSet). Each representation encounters problems that correspond to its characteristics, such as boundary discontinuity, square-like problems, representation ambiguity, and isolated points, [...] Read more.
Typical representations for arbitrary-oriented object detection tasks include the oriented bounding box (OBB), the quadrilateral bounding box (QBB), and the point set (PointSet). Each representation encounters problems that correspond to its characteristics, such as boundary discontinuity, square-like problems, representation ambiguity, and isolated points, which lead to inaccurate detection. Although many effective strategies have been proposed for various representations, there is still no unified solution. Current detection methods based on Gaussian modeling have demonstrated the possibility of resolving this dilemma; however, they remain limited to OBB. To go further, in this paper, we propose a unified Gaussian representation called G-Rep to construct Gaussian distributions for OBB, QBB, and PointSet, which achieves a unified solution to various representations and problems. Specifically, PointSet- or QBB-based object representations are converted into Gaussian distributions and their parameters are optimized using the maximum likelihood estimation algorithm. Then, three optional Gaussian metrics are explored to optimize the regression loss of the detector because of their excellent parameter optimization mechanisms. Furthermore, we also use Gaussian metrics for sampling to align label assignment and regression loss. Experimental results obtained on several publicly available datasets, such as DOTA, HRSC2016, UCAS-AOD, and ICDAR2015, show the excellent performance of the proposed method for arbitrary-oriented object detection. Full article
(This article belongs to the Special Issue Oriented Object Detection in Aerial Image)
Show Figures

Figure 1

10 pages, 647 KB  
Article
Rice Intake Is Associated with Longer Reaction Time and Interacts with Blood Lipids and Hypertension among Qatari Adults
by Arwa Elrahmani, Farah Youssef, Haidi Elsayed, Nada Mohamed, Tahra El-Obeid and Zumin Shi
Life 2023, 13(1), 251; https://doi.org/10.3390/life13010251 - 16 Jan 2023
Cited by 3 | Viewed by 4787
Abstract
We aimed to assess the association between rice intake and cognitive function among Qatari adults and test the interactions with health conditions. Data from 1000 adults aged ≥18 years old who attended the Qatar Biobank (QBB) study were used. Rice dietary intake was [...] Read more.
We aimed to assess the association between rice intake and cognitive function among Qatari adults and test the interactions with health conditions. Data from 1000 adults aged ≥18 years old who attended the Qatar Biobank (QBB) study were used. Rice dietary intake was measured by a food frequency questionnaire (FFQ), and mean reaction time (MRT) was used as an indicator of cognitive function. Linear regression and structure equation models were used. The mean rice consumption was 7.6 times/week (SD 2.0). The sample had a mean MRT of 717 milliseconds (SD 205). Rice consumption was positively associated with MRT. Across the quartiles of rice intake, the regression coefficients (95% CI) for MRT were 0.0 (reference), 22.4 (−7.8, 52.6), 36.3 (5.1, 67.5), and 34.5 (2.6, 66.4). There was a significant interaction between rice intake and hypertension, BMI, and blood lipids in relation to MRT. The association between rice intake and MRT was only observed among those with hypertension, overweight/obesity, low LDL, and low total cholesterol levels. Serum magnesium did not mediate the association. High rice consumption was associated with a higher MRT, especially among those with hypertension, overweight/obesity, low LDL, and or low total cholesterol levels. Further longitudinal studies are needed to confirm the findings. Full article
(This article belongs to the Special Issue Feature Paper in Physiology and Pathology)
Show Figures

Figure 1

13 pages, 1269 KB  
Article
The Genetic Spectrum of Maturity-Onset Diabetes of the Young (MODY) in Qatar, a Population-Based Study
by Asma A. Elashi, Salman M. Toor, Ilhame Diboun, Yasser Al-Sarraj, Shahrad Taheri, Karsten Suhre, Abdul Badi Abou-Samra and Omar M. E. Albagha
Int. J. Mol. Sci. 2023, 24(1), 130; https://doi.org/10.3390/ijms24010130 - 21 Dec 2022
Cited by 15 | Viewed by 7429
Abstract
Maturity-onset diabetes of the young (MODY) is a rare monogenic form of diabetes mellitus. In this study, we estimated the prevalence and genetic spectrum of MODY in the Middle Eastern population of Qatar using whole-genome sequencing (WGS) of 14,364 subjects from the population-based [...] Read more.
Maturity-onset diabetes of the young (MODY) is a rare monogenic form of diabetes mellitus. In this study, we estimated the prevalence and genetic spectrum of MODY in the Middle Eastern population of Qatar using whole-genome sequencing (WGS) of 14,364 subjects from the population-based Qatar biobank (QBB) cohort. We focused our investigations on 14 previously identified genes ascribed to the cause of MODY and two potentially novel MODY-causing genes, RFX6 and NKX6-1. Genetic variations within the 16 MODY-related genes were assessed for their pathogenicity to identify disease-causing mutations. Analysis of QBB phenotype data revealed 72 subjects (0.5%) with type 1 diabetes, 2915 subjects (20.3%) with type 2 diabetes and 11,377 (79.2%) without diabetes. We identified 22 mutations in 67 subjects that were previously reported in the Human Genetic Mutation Database (HGMD) as disease-causing (DM) or likely disease causing (DM?) for MODY. We also identified 28 potentially novel MODY-causing mutations, predicted to be among the top 1% most deleterious mutations in the human genome, which showed complete (100%) disease penetrance in 34 subjects. Overall, we estimated that MODY accounts for around 2.2–3.4% of diabetes patients in Qatar. This is the first population-based study to determine the genetic spectrum and estimate the prevalence of MODY in the Middle East. Further research to characterize the newly identified mutations is warranted. Full article
(This article belongs to the Special Issue Diabetes: Molecular Mechanisms)
Show Figures

Figure 1

15 pages, 3718 KB  
Article
Characterizing Aqueous Cd2+ Removal by Plant Biochars from Qinghai–Tibet Plateau
by Wenxuan Li, Xueli Wang, Haizhen Kong and Dan Zhang
Water 2022, 14(24), 4085; https://doi.org/10.3390/w14244085 - 14 Dec 2022
Cited by 4 | Viewed by 2104
Abstract
Increased anthropogenic activities have caused cadmium pollution in Qinghai–Tibet Plateau, which is harmful to human health. This paper investigated aqueous Cd2+ adsorption using biochar of three typical vegetation types in cold and arid areas of the Qinghai–Tibet Plateau: (i) Chinese wolfberry (GBB), [...] Read more.
Increased anthropogenic activities have caused cadmium pollution in Qinghai–Tibet Plateau, which is harmful to human health. This paper investigated aqueous Cd2+ adsorption using biochar of three typical vegetation types in cold and arid areas of the Qinghai–Tibet Plateau: (i) Chinese wolfberry (GBB), (ii) highland barley (QBB), and (iii) seabuckthorn (SBB). In order to investigate the effect of pyrolysis temperature on the performance of biochar for cadmium adsorption, three types of biochar were prepared at 350 °C, 500 °C, and 650 °C. The as-prepared biochar was characterized by scanning electron microscopy (SEM), Thermogravimetric (TG), Fourier transform infrared spectroscopy (FT-IR), and Brauer–Emmett–Teller (BET) analysis. The results showed that the biochar prepared at 650 °C had the best adsorption capacity. Compared with QBB and SBB, the GBB had a higher Cd2+ adsorption capacity of 19.48 mg/g. Moreover, the effects of biochar dosage, experimental temperature, and biochar preparation temperature on the adsorption of Cd2+ by biochar and the interaction between the factors were investigated using Box–Behnken Design (BBD). As a result, the amount of biochar dosage showed the most obvious influence on Cd2+ adsorption capacity, followed by sample preparation temperature and experimental adsorption temperature. This study paves the way for the design of biochar for Cd2+ adsorption in wastewater. Full article
(This article belongs to the Special Issue Water Treatment and Emerging Contaminants)
Show Figures

Figure 1

20 pages, 3525 KB  
Article
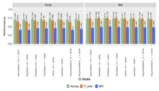
Cardiovascular Disease Diagnosis from DXA Scan and Retinal Images Using Deep Learning
by Hamada R. H. Al-Absi, Mohammad Tariqul Islam, Mahmoud Ahmed Refaee, Muhammad E. H. Chowdhury and Tanvir Alam
Sensors 2022, 22(12), 4310; https://doi.org/10.3390/s22124310 - 7 Jun 2022
Cited by 72 | Viewed by 12228
Abstract
Cardiovascular diseases (CVD) are the leading cause of death worldwide. People affected by CVDs may go undiagnosed until the occurrence of a serious heart failure event such as stroke, heart attack, and myocardial infraction. In Qatar, there is a lack of studies focusing [...] Read more.
Cardiovascular diseases (CVD) are the leading cause of death worldwide. People affected by CVDs may go undiagnosed until the occurrence of a serious heart failure event such as stroke, heart attack, and myocardial infraction. In Qatar, there is a lack of studies focusing on CVD diagnosis based on non-invasive methods such as retinal image or dual-energy X-ray absorptiometry (DXA). In this study, we aimed at diagnosing CVD using a novel approach integrating information from retinal images and DXA data. We considered an adult Qatari cohort of 500 participants from Qatar Biobank (QBB) with an equal number of participants from the CVD and the control groups. We designed a case-control study with a novel multi-modal (combining data from multiple modalities—DXA and retinal images)—to propose a deep learning (DL)-based technique to distinguish the CVD group from the control group. Uni-modal models based on retinal images and DXA data achieved 75.6% and 77.4% accuracy, respectively. The multi-modal model showed an improved accuracy of 78.3% in classifying CVD group and the control group. We used gradient class activation map (GradCAM) to highlight the areas of interest in the retinal images that influenced the decisions of the proposed DL model most. It was observed that the model focused mostly on the centre of the retinal images where signs of CVD such as hemorrhages were present. This indicates that our model can identify and make use of certain prognosis markers for hypertension and ischemic heart disease. From DXA data, we found higher values for bone mineral density, fat content, muscle mass and bone area across majority of the body parts in CVD group compared to the control group indicating better bone health in the Qatari CVD cohort. This seminal method based on DXA scans and retinal images demonstrate major potentials for the early detection of CVD in a fast and relatively non-invasive manner. Full article
(This article belongs to the Section Biomedical Sensors)
Show Figures

Figure 1

22 pages, 11060 KB  
Article
Whole-Genome Sequencing of 100 Genomes Identifies a Distinctive Genetic Susceptibility Profile of Qatari Patients with Hypertension
by Alsamman M. Alsamman, Hakeem Almabrazi and Hatem Zayed
J. Pers. Med. 2022, 12(5), 722; https://doi.org/10.3390/jpm12050722 - 29 Apr 2022
Cited by 6 | Viewed by 3882
Abstract
Essential hypertension (EH) is a leading risk condition for cardiovascular and renal complications. While multiple genes are associated with EH, little is known about its genetic etiology. Therefore, this study aimed to screen for variants that are associated with EH in 100 hypertensive/100 [...] Read more.
Essential hypertension (EH) is a leading risk condition for cardiovascular and renal complications. While multiple genes are associated with EH, little is known about its genetic etiology. Therefore, this study aimed to screen for variants that are associated with EH in 100 hypertensive/100 control patients comprising Qatari individuals using GWASs of whole-genome sequencing and compare these findings with genetic data obtained from more than 10,000 published peer-reviewed studies on EH. The GWAS analysis performed with 21,096 SNPs revealed 38 SNPs with a significant ≥4 log-p value association with EH. The two highest EH-associated SNPs (rs921932379 and rs113688672) revealed a significance score of ≥5 log-p value. These SNPs are located within the inter-genic region of GMPS-SETP14 and ISCA1P6-AC012451.1, respectively. Text mining yielded 3748 genes and 3078 SNPs, where 51 genes and 24 SNPs were mentioned in more than 30 and 10 different articles, respectively. Comparing our GWAS results to previously published articles revealed 194 that are unique to our patient cohort; of these, 13 genes that have 26 SNPs are the most significant with ≥4 log-p value. Of these genes, C2orf47-SPATS2L contains nine EH-associated SNPs. Most of EH-associated genes are related to ion gate channel activity and cardiac conduction. The disease–gene analysis revealed that a large number of EH-associated genes are associated with a variety of cardiovascular disorders. The clustering analysis using EH-associated SNPs across different ethnic groups showed high frequency for the minor allele in different ethnic groups, including Africans, East Asians, and South Asians. The combination of GWAS and text mining helped in identifying the unique genetic susceptibility profile of Qatari patients with EH. To our knowledge, this is the first small study that searched for genetic factors associated with EH in Qatari patients. Full article
(This article belongs to the Section Omics/Informatics)
Show Figures

Figure 1

19 pages, 3218 KB  
Article
Matching Drug Metabolites from Non-Targeted Metabolomics to Self-Reported Medication in the Qatar Biobank Study
by Karsten Suhre, Nisha Stephan, Shaza Zaghlool, Chris R. Triggle, Richard J. Robinson, Anne M. Evans and Anna Halama
Metabolites 2022, 12(3), 249; https://doi.org/10.3390/metabo12030249 - 16 Mar 2022
Cited by 16 | Viewed by 4879
Abstract
Modern metabolomics platforms are able to identify many drug-related metabolites in blood samples. Applied to population-based biobank studies, the detection of drug metabolites can then be used as a proxy for medication use or serve as a validation tool for questionnaire-based health assessments. [...] Read more.
Modern metabolomics platforms are able to identify many drug-related metabolites in blood samples. Applied to population-based biobank studies, the detection of drug metabolites can then be used as a proxy for medication use or serve as a validation tool for questionnaire-based health assessments. However, it is not clear how well detection of drug metabolites in blood samples matches information on self-reported medication provided by study participants. Here, we curate free-text responses to a drug-usage questionnaire from 6000 participants of the Qatar Biobank (QBB) using standardized WHO Anatomical Therapeutic Chemical (ATC) Classification System codes and compare the occurrence of these ATC terms to the detection of drug-related metabolites in matching blood plasma samples from 2807 QBB participants for which we collected non-targeted metabolomics data. We found that the detection of 22 drug-related metabolites significantly associated with the self-reported use of the corresponding medication. Good agreement of self-reported medication with non-targeted metabolomics was observed, with self-reported drugs and their metabolites being detected in a same blood sample in 79.4% of the cases. On the other hand, only 29.5% of detected drug metabolites matched to self-reported medication. Possible explanations for differences include under-reporting of over-the-counter medications from the study participants, such as paracetamol, misannotation of low abundance metabolites, such as metformin, and inability of the current methods to detect them. Taken together, our study provides a broad real-world view of what to expect from large non-targeted metabolomics measurements in population-based biobank studies and indicates areas where further improvements can be made. Full article
(This article belongs to the Special Issue Metabolomics Data Analysis and Quality Assessment)
Show Figures

Figure 1

9 pages, 980 KB  
Article
Higher Habitual Nuts Consumption Is Associated with Better Cognitive Function among Qatari Adults
by Hajer Nafea, Omnia Abdelmegid, Sara Qaddourah, Zainab Abdulwahab, Joyce Moawad and Zumin Shi
Nutrients 2021, 13(10), 3580; https://doi.org/10.3390/nu13103580 - 13 Oct 2021
Cited by 7 | Viewed by 6271
Abstract
The association between nuts intake and cognitive function is inconclusive. We aimed to investigate the association between habitual nuts consumption and cognition among Qatari adults. Data from 1000 participants aged >20 years who attended Qatar Biobank (QBB) were used. Nuts consumption was assessed [...] Read more.
The association between nuts intake and cognitive function is inconclusive. We aimed to investigate the association between habitual nuts consumption and cognition among Qatari adults. Data from 1000 participants aged >20 years who attended Qatar Biobank (QBB) were used. Nuts consumption was assessed by a food frequency questionnaire (FFQ). Blood samples were measured for magnesium, lipids and glucose. Mean reaction time (MRT) was used as an indicator of cognitive function. Linear regression was used to assess the association. A total of 21.1% of the participants reported consuming nuts ≥4–6 times/week (high consumption) while 40.2% reported consuming ≤1 time/month (low consumption). The mean MRT was 715.6 milliseconds (SD 204.1). An inverse association was found between nuts consumption and MRT. Compared to those with a low consumption, high consumption of nuts had a regression coefficient of −36.9 (95% CI −68.1 to −5.8) after adjusting for sociodemographic and lifestyle factors. The inverse association between nuts and MRT was mainly seen among those >50 years. There was an interaction between nuts consumption and hypertension. The association between nuts consumption and MRT was not mediated by hypertension, diabetes, or serum magnesium. Habitual higher consumption of nuts is positively associated with cognitive function, especially among old adults. Full article
(This article belongs to the Special Issue Dietary Patterns and Cognitive Function)
Show Figures

Figure 1

18 pages, 2895 KB  
Article
Numerical Simulations of Flows in a Cerebral Aneurysm Using the Lattice Boltzmann Method with the Half-Way and Interpolated Bounce-Back Schemes
by Susumu Osaki, Kosuke Hayashi, Hidehito Kimura, Takeshi Seta, Takashi Sasayama and Akio Tomiyama
Fluids 2021, 6(10), 338; https://doi.org/10.3390/fluids6100338 - 25 Sep 2021
Cited by 2 | Viewed by 3560
Abstract
Lattice Boltzmann simulations and a velocity measurement of flows in a cerebral aneurysm reconstructed from MRA (magnetic resonance angiography) images of an actual aneurysm were carried out and the numerical results obtained using the bounce-back schemes were compared with the experimental data to [...] Read more.
Lattice Boltzmann simulations and a velocity measurement of flows in a cerebral aneurysm reconstructed from MRA (magnetic resonance angiography) images of an actual aneurysm were carried out and the numerical results obtained using the bounce-back schemes were compared with the experimental data to discuss the effects of the numerical treatment of the no-slip boundary condition of the complex boundary shape of the aneurysm on the predictions. The conclusions obtained are as follows: (1) measured data of the velocity in the aneurysm model useful for validation of numerical methods were obtained, (2) the numerical stability of the quadratic interpolated bounce-back scheme (QBB) in the flow simulation of the cerebral aneurysm is lower than those of the half-way bounce-back (HBB) and the linearly interpolated bounce-back (LBB) schemes, (3) the flow structures predicted using HBB and LBB are comparable and agree well with the experimental data, and (4) the fluctuations of the wall shear stress (WSS), i.e., the oscillatory shear index (OSI), can be well predicted even with the jaggy wall representation of HBB, whereas the magnitude of WSS predicted with HBB tends to be smaller than that with LBB. Full article
(This article belongs to the Special Issue Lattice Boltzmann Method in Computational Fluid Dynamics)
Show Figures

Figure 1

12 pages, 718 KB  
Article
Sleeping Duration, Napping and Snoring in Association with Diabetes Control among Patients with Diabetes in Qatar
by Hiba Bawadi, Asma Al Sada, Noof Al Mansoori, Sharifa Al Mannai, Aya Hamdan, Zumin Shi and Abdelhamid Kerkadi
Int. J. Environ. Res. Public Health 2021, 18(8), 4017; https://doi.org/10.3390/ijerph18084017 - 12 Apr 2021
Cited by 12 | Viewed by 4557
Abstract
Background: Poor glycemic control is associated with chronic life-threatening complications. Several studies have revealed that sleep status is associated with glycemic control. Aim: to examine the association between sleep duration, quality and glycemic control among adults with diabetes. Methods: Data on 2500 participants [...] Read more.
Background: Poor glycemic control is associated with chronic life-threatening complications. Several studies have revealed that sleep status is associated with glycemic control. Aim: to examine the association between sleep duration, quality and glycemic control among adults with diabetes. Methods: Data on 2500 participants aged 18–60 years were collected from the Qatar Biobank (QBB). Sleep duration and quality were assessed by a self-completed health and lifestyle questionnaire, and glycemic control was assessed using HbA1c. Logistic regression was used to assess the association between sleep duration, napping, snoring and poor glycemic control. Results: After adjusting for age and gender, sleep duration was not associated with poor glycemic control. Lack of association persisted after controlling for smoking, physical activity, education, BMI, fruit and vegetable intake, insulin and medication use. However, sleeping for long hours at night (≥8 h) had a trend in increasing the risk of poor glycemic control (OR = 1.28; 95% CI: 0.94–1.74). Napping was positively associated with poor glycemic control. After adjusting for age and gender, patients who reported “sometimes, frequently, or always” napping had more than 30% increased risk of poor control as compared to patients who reported “never/rarely” napping. Snoring was not associated with poor glycemic control among the study sample when adjusted for age and gender (p = 0.61). Other factors were found to be associated with a better glycemic control such as female, high educational and high physical activity level. Conclusions: our results suggest that napping may be an independent risk factor for a poor glycemic control in diabetes; further investigations are required. Full article
Show Figures

Figure 1

Back to TopTop