Sign in to use this feature.

Years

Between: -

Subjects

remove_circle_outline
remove_circle_outline
remove_circle_outline
remove_circle_outline
remove_circle_outline
remove_circle_outline
remove_circle_outline
remove_circle_outline
remove_circle_outline

Journals

remove_circle_outline
remove_circle_outline
remove_circle_outline
remove_circle_outline
remove_circle_outline
remove_circle_outline
remove_circle_outline
remove_circle_outline
remove_circle_outline
remove_circle_outline
remove_circle_outline
remove_circle_outline
remove_circle_outline
remove_circle_outline
remove_circle_outline

Article Types

Countries / Regions

remove_circle_outline
remove_circle_outline
remove_circle_outline
remove_circle_outline
remove_circle_outline
remove_circle_outline
remove_circle_outline

Search Results (1,401)

Search Parameters:
Keywords = Q&A communities

Order results
Result details
Results per page
Select all
Export citation of selected articles as:
34 pages, 2498 KB  
Article
A Dynamic Clustering Routing Protocol for Multi-Source Forest Sensor Networks
by Wenrui Yu, Zehui Wang and Wanguo Jiao
Forests 2026, 17(1), 62; https://doi.org/10.3390/f17010062 (registering DOI) - 31 Dec 2025
Abstract
The use of wireless sensor networks (WSNs) enables multidimensional and high-precision forest environment monitoring around the clock. However, the limited energy supply of sensor nodes using solely batteries is insufficient to support long-term data collection. Furthermore, since the complex terrain, dense vegetation, and [...] Read more.
The use of wireless sensor networks (WSNs) enables multidimensional and high-precision forest environment monitoring around the clock. However, the limited energy supply of sensor nodes using solely batteries is insufficient to support long-term data collection. Furthermore, since the complex terrain, dense vegetation, and variable weather in forests present unique challenges, relying on a single energy source is insufficient to ensure a stable energy supply for sensor nodes. Combining multiple energy sources is a promising way which has not been well studied. In this paper, to effectively utilize multiple energy sources, we propose a novel dynamic clustering routing protocol which considers the inherent diversity and intermittency of energy sources of the WSN in the forest. First, to address the inconsistency in residual energy caused by uneven energy harvesting among sensor nodes, a cluster head selection weight function is developed, and a dynamic weight-based cluster head election algorithm is proposed. This mechanism effectively prevents low-energy nodes from being selected as cluster heads, thereby maximizing the utilization of harvested energy. Second, a Q-learning-based adaptive hybrid transmission scheme is introduced, integrating both single-hop and multi-hop communication. The scheme dynamically optimizes intra-cluster transmission paths based on the current network state, reducing energy consumption during data transmission. The simulation results show that the proposed routing algorithm significantly outperforms existing methods in total network energy consumption, network lifetime, and energy balance. These advantages make it particularly suitable for forest environments characterized by strong fluctuations in harvested energy. In summary, this work provides an energy-efficient and adaptive routing solution suitable for forest environments with fluctuating energy availability. Full article
(This article belongs to the Section Forest Inventory, Modeling and Remote Sensing)
22 pages, 7712 KB  
Article
Adaptive Edge Intelligent Joint Optimization of UAV Computation Offloading and Trajectory Under Time-Varying Channels
by Jinwei Xie and Dimin Xie
Drones 2026, 10(1), 21; https://doi.org/10.3390/drones10010021 - 31 Dec 2025
Abstract
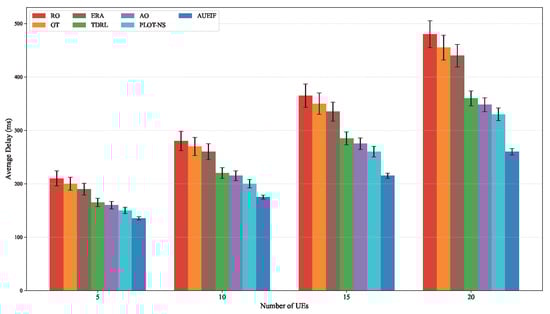
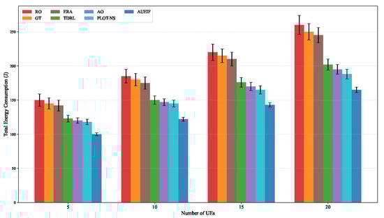
With the rapid development of mobile edge computing (MEC) and unmanned aerial vehicle (UAV) communication networks, UAV-assisted edge computing has emerged as a promising paradigm for low-latency and energy-efficient computation. However, the time-varying nature of air-to-ground channels and the coupling between UAV trajectories [...] Read more.
With the rapid development of mobile edge computing (MEC) and unmanned aerial vehicle (UAV) communication networks, UAV-assisted edge computing has emerged as a promising paradigm for low-latency and energy-efficient computation. However, the time-varying nature of air-to-ground channels and the coupling between UAV trajectories and computation offloading decisions significantly increase system complexity. To address these challenges, this paper proposes an Adaptive UAV Edge Intelligence Framework (AUEIF) for joint UAV computation offloading and trajectory optimization under dynamic channels. Specifically, a dynamic graph-based system model is constructed to characterize the spatio-temporal correlation between UAV motion and channel variations. A hierarchical reinforcement learning-based optimization framework is developed, in which a high-level actor–critic module is responsible for generating coarse-grained UAV flight trajectories, while a low-level deep Q-network performs fine-grained optimization of task offloading ratios and computational resource allocation in real time. In addition, an adaptive channel prediction module leveraging long short-term memory (LSTM) networks is integrated to model temporal channel state transitions and to assist policy learning and updates. Extensive simulation results demonstrate that the proposed AUEIF achieves significant improvements in end-to-end latency, energy efficiency, and overall system stability compared with conventional deep reinforcement learning approaches and heuristic-based schemes while exhibiting strong robustness against dynamic and fluctuating wireless channel conditions. Full article
(This article belongs to the Special Issue Advances in AI Large Models for Unmanned Aerial Vehicles)
Show Figures

Figure 1

21 pages, 1330 KB  
Article
A Clustering and Reinforcement Learning-Based Handover Strategy for LEO Satellite Networks in Power IoT Scenarios
by Jin Shao, Weidong Gao, Kuixing Liu, Rantong Qiao, Haizhi Yu, Kaisa Zhang, Xu Zhao and Junbao Duan
Electronics 2026, 15(1), 174; https://doi.org/10.3390/electronics15010174 - 30 Dec 2025
Abstract
Communication infrastructure in remote areas struggles to deliver stable, high-quality services for power systems. Low Earth Orbit (LEO) satellite networks offer an effective solution through their low latency and extensive coverage. Nevertheless, the high orbital velocity of LEO satellites combined with massive user [...] Read more.
Communication infrastructure in remote areas struggles to deliver stable, high-quality services for power systems. Low Earth Orbit (LEO) satellite networks offer an effective solution through their low latency and extensive coverage. Nevertheless, the high orbital velocity of LEO satellites combined with massive user access frequently leads to signaling congestion and degradation of service quality. To address these challenges, this paper proposes a LEO satellite handover strategy based on Quality of Service (QoS)-constrained K-Means clustering and Deep Q-Network (DQN) learning. The proposed framework first partitions users into groups via the K-Means algorithm and then imposes an intra-group QoS fairness constraint to refine clustering and designate a cluster head for each group. These cluster heads act as proxies that execute unified DQN-driven handover decisions on behalf of all group members, thereby enabling coordinated multi-user handover. Simulation results demonstrate that, compared with conventional handover schemes, the proposed strategy achieves an optimal balance between performance and signaling overhead, significantly enhances system scalability while ensuring long-term QoS gains, and provides an efficient solution for mobility management in future large-scale LEO satellite networks. Full article
Show Figures

Figure 1

15 pages, 4861 KB  
Article
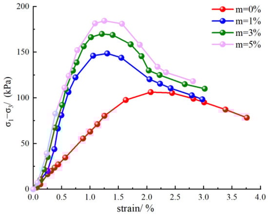
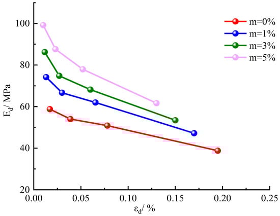
Sustainable Ground Improvement of Stabilized Loess Using Coal Slag: Laboratory Investigation on Mechanical Characteristics
by Haifeng Li, Xin Bai, Chaolin Yan, Lei Zhu, Dan Qin, Mengfei Qu, Guanfei Liu and Zi Zeng
Sustainability 2026, 18(1), 301; https://doi.org/10.3390/su18010301 - 27 Dec 2025
Viewed by 130
Abstract
Coal slag is a common byproduct during the operation of fossil-fired power plants. It often becomes a type of solid waste if no suitable utilization is performed. This study experimentally investigated the dynamic characteristics of mixtures of Q2 Lishi loess incorporating coal slag, [...] Read more.
Coal slag is a common byproduct during the operation of fossil-fired power plants. It often becomes a type of solid waste if no suitable utilization is performed. This study experimentally investigated the dynamic characteristics of mixtures of Q2 Lishi loess incorporating coal slag, with the aim of developing a sustainable method for loess improvement and waste disposal associated with the Sustainable Development Goals (SDGs). The loess samples underwent unconfined compressive strength (UCS) testing and dynamic triaxial assessments to obtain the mechanical performance at coal slag proportions of 0%, 1%, 3%, and 5%. Microstructural characteristics were examined using field-emission scanning electron microscopy (FE-SEM). The results indicate that the inclusion of coal slag significantly enhances both UCS and dynamic modulus, with strength improvements reaching up to 73.6% at a 5% slag content. A minimum slag content of 3% effectively reduced pore connectivity and facilitated improved load transfer within the soil matrix, whereas further increases in slag content produced marginal gains in mechanical properties. This approach directly addresses the challenge of solid waste disposal by repurposing industrial by-products, thereby reducing environmental footprint. Environmental assessments identified limited leaching risks, underscoring the need for appropriate mitigation measures to ensure environmental compatibility. The findings suggest that incorporating 3–5% coal slag optimally stabilizes loess soils, which contribute to SDG 11 (Sustainable Cities and Communities) and SDG 12 (Responsible Consumption and Production) by offering a sustainable and resource-efficient alternative to conventional stabilization techniques. Full article
(This article belongs to the Special Issue Green Innovations for Sustainable Development Goals Achievement)
Show Figures

Figure 1

27 pages, 5462 KB  
Article
A Federated Hierarchical DQN-Based Distributed Intelligent Anti-Jamming Method for UAVs
by Dadong Ni, Shuo Ma, Junyi Du, Yuansheng Wu, Chengxu Zhou and Haitao Xiao
Sensors 2026, 26(1), 181; https://doi.org/10.3390/s26010181 - 26 Dec 2025
Viewed by 160
Abstract
In recent years, with the rapid development of intelligent communication technologies, anti-jamming techniques based on deep learning have been widely adopted in unmanned aerial vehicle (UAV) systems, yielding significant improvements. Most existing studies primarily focus on intelligent anti-jamming decision-making for single UAVs. However, [...] Read more.
In recent years, with the rapid development of intelligent communication technologies, anti-jamming techniques based on deep learning have been widely adopted in unmanned aerial vehicle (UAV) systems, yielding significant improvements. Most existing studies primarily focus on intelligent anti-jamming decision-making for single UAVs. However, in UAV swarm systems, single-agent decision models often suffer from data isolation and inconsistent frequency usage decisions among nodes within the same task subnet, caused by asynchronous model updates. Although data sharing among UAVs can partially alleviate model update issues, it introduces significant communication overhead and data security challenges. To address these problems, this paper proposes a novel multi-UAV cooperative intelligent anti-jamming decision-making method, termed Federated Learning-Hierarchical Deep Q-Network (FL-HDQN). First, an adaptive model synchronization mechanism is integrated into the federated learning framework. By sharing only local model parameters instead of raw data, UAVs collaboratively train a global model for each task subnet. This approach ensures decision consistency while preserving data privacy and reducing communication costs. Second, to overcome the curse of dimensionality caused by multi-domain interference parameters, a hierarchical deep reinforcement learning model is designed. The model decouples multi-domain optimization into two levels: the first layer performs time–frequency domain decisions, and the second layer conducts power and modulation-coding domain decisions, ensuring both real-time performance and decision effectiveness. Finally, simulation results demonstrate that, compared with state-of-the-art intelligent anti-jamming models, the proposed method achieves 1% higher decision accuracy, validating its superiority and effectiveness. Full article
(This article belongs to the Section Internet of Things)
Show Figures

Figure 1

13 pages, 596 KB  
Brief Report
Expression of Serum and Exosomal microRNA-34a in Subjects with Increased Fat Mass
by Jacqueline Alejandra Noboa-Velástegui, Rodolfo Iván Valdez-Vega, Jorge Castro-Albarran, Perla Monserrat Madrigal-Ruiz, Ana Lilia Fletes-Rayas, Sandra Luz Ruiz-Quezada, Martha Eloisa Ramos-Márquez, José de Jesús López-Jiménez, Iñaki Álvarez and Rosa Elena Navarro-Hernández
Int. J. Mol. Sci. 2026, 27(1), 270; https://doi.org/10.3390/ijms27010270 - 26 Dec 2025
Viewed by 204
Abstract
Extracellular vesicles (EVs), particularly exosomes, are key mediators of intercellular communication, transporting biomolecules such as nucleic acids, lipids, and proteins that influence immune and metabolic pathways. In adipose tissue (AT), adipocyte-derived EVs (AdEVs) play a crucial role in maintaining metabolic homeostasis and have [...] Read more.
Extracellular vesicles (EVs), particularly exosomes, are key mediators of intercellular communication, transporting biomolecules such as nucleic acids, lipids, and proteins that influence immune and metabolic pathways. In adipose tissue (AT), adipocyte-derived EVs (AdEVs) play a crucial role in maintaining metabolic homeostasis and have been implicated in obesity-related dysfunction. Among their bioactive cargo, microRNAs regulate post-transcriptional gene expression and participate in immunometabolic regulation. This study aimed to determine whether miR-34a expression in serum and circulating EVs varies according to body fat percentage, to explore its potential utility as a non-invasive biomarker of AT dysfunction. A total of 142 adults (mean age 36 ± 11 years) were classified by body fat percentage (≥25% in men, ≥35% in women). Exosomes were isolated (Invitrogen®) and characterized by cryo-TEM, and miR-34a expression was quantified by qRT-PCR. miR-34a expression correlated negatively with Total Cholesterol, Triglycerides, LDLc/HDLc, TG/HDLc, BMI, C3, CRP, fasting insulin, HOMA-IR, HOMA-B, Body adiposity, Chemerin, CCL2, AdipoQT, and AdipoQ-H, but positively with HDLc and QUICKI. Notably, LDLc, sdLDLc, sdLDLc/LDLc, TC/HDLc, and fasting glucose showed opposite correlation patterns between serum and exosomes. Overall, serum miR-34a levels were higher than in exosomes, suggesting its potential as a biomarker of metabolic dysfunction and insulin resistance. Full article
Show Figures

Figure 1

15 pages, 1755 KB  
Article
Health Priorities and Participation in Peer-Led Active Rehabilitation Camps Among Persons with Spinal Cord Injury: A Prospective Cohort Study
by Tomasz Tasiemski, Piotr Kazimierz Urbański, Dawid Feder, Magdalena Lewandowska and Anestis Divanoglou
J. Clin. Med. 2026, 15(1), 176; https://doi.org/10.3390/jcm15010176 - 25 Dec 2025
Viewed by 194
Abstract
Background: Peer-led Active Rehabilitation Camps (ARC) aim to enhance functional independence and self-management among people with spinal cord injury (SCI). In Poland, where access to specialized spinal units and lifelong follow-up is limited, these programs may help address key health priorities—mobility, bowel [...] Read more.
Background: Peer-led Active Rehabilitation Camps (ARC) aim to enhance functional independence and self-management among people with spinal cord injury (SCI). In Poland, where access to specialized spinal units and lifelong follow-up is limited, these programs may help address key health priorities—mobility, bowel and bladder management, sexual well-being, and upper-limb function. This study examined whether participation in ARC helped individuals achieve these priorities and identified factors associated with outcomes. Methods: This prospective cohort study, part of the Inter-PEER project, included 125 adults with SCI who attended one of 16 consecutive ARCs in Poland (2023–2024). Eligible participants used a manual wheelchair, were aged ≥ 16 years, and could complete written questionnaires. Data were collected at camp start (T1), completion (T2), and 3-month follow-up (T3) using surveys and wheelchair skills assessments. Validated instruments (SCIM-SR, MSES, QEWS, WST-Q, LiSat-11) were used and were aligned with the four priority domains. Associations with demographic and injury variables were examined using multivariate regression analyses. Results: Participants showed significant gains across priorities during the 10-day ARC. Mobility improved on all wheelchair-skill measures (e.g., QEWS + 2.6 points, p < 0.001), with most gains sustained at T3. Among participants with tetraplegia, self-care and hygiene scores increased by 24% and remained elevated at follow-up. Confidence in achieving a satisfying sexual relationship increased by camp end and was accompanied by higher sexual-life satisfaction at T3. Regression analyses found only modest associations between outcomes and demographic or injury characteristics. Conclusions: Participation in peer-led ARC programs was associated with rapid, clinically meaningful improvements in several health domains prioritized by people with SCI, especially upper-limb function, sexual well-being, and wheelchair mobility. Our findings highlight the value of integrating structured, peer-based community programs into the continuum of SCI rehabilitation. Full article
(This article belongs to the Section Clinical Neurology)
Show Figures

Figure 1

28 pages, 5719 KB  
Article
A Predictive-Reactive Learning Framework for Cellular-Connected UAV Handover in Urban Heterogeneous Networks
by Muhammad Abrar Afzal and Luis Alonso
Electronics 2026, 15(1), 109; https://doi.org/10.3390/electronics15010109 - 25 Dec 2025
Viewed by 232
Abstract
Unmanned aerial vehicles (UAVs) operating in dense urban environments often face link disruptions due to high mobility and interference. Reliable connectivity in such conditions requires advanced handover strategies. This paper presents a predictive-reactive Q-learning framework (PRQF) that optimizes handover decisions while sustaining throughput [...] Read more.
Unmanned aerial vehicles (UAVs) operating in dense urban environments often face link disruptions due to high mobility and interference. Reliable connectivity in such conditions requires advanced handover strategies. This paper presents a predictive-reactive Q-learning framework (PRQF) that optimizes handover decisions while sustaining throughput in dynamic heterogeneous urban networks. The framework combines an Extreme Gradient Boosting (XGBoost) classifier with a Q-learning agent through a probabilistic gating mechanism. UAVs follow a sinusoidal mobility model to ensure consistent and representative movement across experiments. Simulations using 3GPP-compliant Urban Macro (UMa) channel models in a 10 km × 10 km area show that PRQF achieves an average reduction of 84% in handovers at 100 km/h and 83% at 120 km/h, compared to the standard 3GPP A3 event-based handover method. PRQF also maintains a consistently high average throughput across all methods and speed scenarios. The results show better link stability and communication quality, demonstrating that the proposed framework is adaptable and scalable for reliable UAV communications in urban environments. Full article
Show Figures

Figure 1

23 pages, 1856 KB  
Article
Influence of Photosynthetic Cathodes on Anodic Microbial Communities in Acetate-Fed Microbial Fuel Cells Pre-Enriched Under Applied Voltage
by Paulina Rusanowska, Łukasz Barczak, Adam Starowicz, Katarzyna Głowacka, Marcin Dębowski and Marcin Zieliński
Energies 2026, 19(1), 41; https://doi.org/10.3390/en19010041 - 21 Dec 2025
Viewed by 173
Abstract
Electrical stimulation is increasingly explored as a strategy to accelerate the development of electroactive biofilms in microbial fuel cells (MFCs), yet its integration with photosynthetic MFCs (pMFCs) remains insufficiently understood. This study evaluated how short-term anodic stimulation (0.5–5 V, 4 days) affects biofilm [...] Read more.
Electrical stimulation is increasingly explored as a strategy to accelerate the development of electroactive biofilms in microbial fuel cells (MFCs), yet its integration with photosynthetic MFCs (pMFCs) remains insufficiently understood. This study evaluated how short-term anodic stimulation (0.5–5 V, 4 days) affects biofilm formation and COD removal, and how subsequent operation with photosynthetic cathodes—Chlorella sp., Arthrospira platensis and Tetraselmis subcordiformis—modulates anodic microbial communities and functional potential. Stimulation at 1 V yielded the best activation effect, resulting in the highest voltage output, power density and fastest COD removal kinetics, whereas 5 V inhibited biofilm development. During pMFC operation, Chlorella produced the highest voltage (0.393 ± 0.064 V), current density (0.14 ± 0.02 mA·cm−2) and Coulombic efficiency (~19%). Arthrospira showed moderate performance, while Tetraselmis generated no current despite efficient COD removal. 16S rRNA sequencing revealed distinct cathode-driven community shifts: Chlorella enriched facultative electroactive taxa, Arthrospira promoted sulfur-cycling bacteria and Actinobacteria, and Tetraselmis induced strong methanogenic dominance. Functional prediction and qPCR confirmed these trends, with Chlorella showing increased pilA abundance and Tetraselmis displaying enriched methanogenic pathways. Overall, the combined use of optimal anodic stimulation and photosynthetic cathodes demonstrates that cathodic microalgae strongly influence anodic redox ecology and energy recovery, with Chlorella-based pMFCs offering the highest electrochemical performance. Full article
(This article belongs to the Special Issue Applications of Fuel Cell Systems)
Show Figures

Figure 1

11 pages, 362 KB  
Article
Reliability and Validity of the Japanese Version of the eHealth Literacy Scale in Community-Dwelling Older Adults: A Cross-Sectional Study
by Takehiko Tsujimoto, Takafumi Abe, Yoko Kuroda, Masayuki Yamasaki and Minoru Isomura
Eur. J. Investig. Health Psychol. Educ. 2026, 16(1), 1; https://doi.org/10.3390/ejihpe16010001 - 19 Dec 2025
Viewed by 274
Abstract
The Japanese version of the eHealth Literacy Scale (J-eHEALS) measure has primarily been applied to younger populations; however, the psychometric properties of the J-eHEALS in older adults have not been investigated. Therefore, in this cross-sectional study, we aimed to evaluate the psychometric properties [...] Read more.
The Japanese version of the eHealth Literacy Scale (J-eHEALS) measure has primarily been applied to younger populations; however, the psychometric properties of the J-eHEALS in older adults have not been investigated. Therefore, in this cross-sectional study, we aimed to evaluate the psychometric properties of the J-eHEALS in community-dwelling older adults. A total of 553 adults aged ≥ 65 years (mean age, 73.5 years) attending routine health checkups in a single Japanese municipality completed the J-eHEALS and the Japanese version of the 12-item Health Literacy Scale (J-HLS-Q12). We examined internal consistency, item characteristics, factorial validity using exploratory and confirmatory factor analyses, measurement invariance by sex, and convergent and criterion-related validity with general health literacy. The J-eHEALS scores indicated moderate to slightly low perceived eHealth literacy in this population. The scale demonstrated excellent internal consistency (Cronbach’s α = 0.94), a stable unidimensional factor structure with acceptable model fit across sexes, and moderate positive associations with general health literacy. Overall, these findings support the J-eHEALS as a reliable and valid instrument for assessing perceived eHealth literacy in older Japanese adults and its suitability for use in research and practice. Full article
Show Figures

Figure 1

12 pages, 691 KB  
Article
Ethical and Legal Aspects of Informed Consent and Assent in Paediatric Dentistry: A Cross-Sectional Study
by Maria Josefa Ferro de Farisato-Touceda, Laura Marqués-Martínez, Esther García-Miralles, Juan Ignacio Aura-Tormos and Clara Guinot Barona
Children 2025, 12(12), 1711; https://doi.org/10.3390/children12121711 - 18 Dec 2025
Viewed by 262
Abstract
Background: Informed consent and assent are fundamental ethical and legal requirements in paediatric healthcare, yet their application in paediatric dentistry is complex and underexplored in clinical practice. Objective: This study aimed to analyse the implementation of informed consent and assent processes in paediatric [...] Read more.
Background: Informed consent and assent are fundamental ethical and legal requirements in paediatric healthcare, yet their application in paediatric dentistry is complex and underexplored in clinical practice. Objective: This study aimed to analyse the implementation of informed consent and assent processes in paediatric dental care within a Spanish population, identifying key characteristics and factors that influence communication, understanding, and decision-making. Methods: An observational, descriptive, cross-sectional study was conducted in Spanish Paediatric Dentistry Clinics (January–June 2023). Participants included 520 child-caregiver pairs and 52 dental students. Data were collected via a semi-structured observational protocol and interviews, assessing information provided, decision-making conditions, and influencing factors. Statistical analysis was performed using SPSS v23.0, employing Chi-square, Cochran’s Q, and Kendall’s W tests. Results: The information most frequently provided was the nature of the dental problem (92%), treatment details (88%), and benefits (85%). Information on risks (64%), alternatives (37%), and the right to withdraw consent (41%) was less consistently communicated. After multivariable adjustment, child schooling remained independently associated with the disclosure of risks and alternatives (p < 0.01), whereas caregiver education showed no independent effect. Kendall’s concordance coefficient showed moderate agreement (W = 0.62, 95% CI: 0.54–0.69, p < 0.01) among operators, caregivers, and patients, which decreased in adolescents aged 16–18 years (W = 0.41, 95% CI: 0.28–0.55, p = 0.07). Conclusions: The processes of informed consent and assent in paediatric dentistry are more strongly linked to the child’s cognitive maturity and schooling than to parental education. While communication of treatment benefits is adequate, critical aspects like risks and alternatives are often overlooked. The findings underscore the need for standardized protocols and enhanced bioethical training to ensure consistent, ethical, and participatory practices that respect the progressive autonomy of minors. Full article
(This article belongs to the Section Pediatric Dentistry & Oral Medicine)
Show Figures

Figure 1

16 pages, 1052 KB  
Article
A Q-Learning-Based Method for UAV Communication Resilience Against Random Pulse Jamming
by Yuqi Wen, Yusi Zhang and Yingtao Niu
Electronics 2025, 14(24), 4945; https://doi.org/10.3390/electronics14244945 - 17 Dec 2025
Viewed by 201
Abstract
In open wireless communication channels, the combined effects of random pulse jamming and multipath-induced time-varying fading significantly degrade the reliability and efficiency of information transmission. Particularly in highly dynamic scenarios such as unmanned aerial vehicle (UAV) communications, existing Q-learning-based anti-jamming methods often rely [...] Read more.
In open wireless communication channels, the combined effects of random pulse jamming and multipath-induced time-varying fading significantly degrade the reliability and efficiency of information transmission. Particularly in highly dynamic scenarios such as unmanned aerial vehicle (UAV) communications, existing Q-learning-based anti-jamming methods often rely on idealized channel assumptions, leading to mismatched “transmit/silence” decisions under fading conditions. To address this issue, this paper proposes a Q-learning and time-varying fading channel-aware anti-jamming method against random pulse jamming. In the proposed framework, a fading channel model is incorporated into Q-learning, where the state space jointly represents timeslot position, jamming history, and channel sensing results. Furthermore, a reward function is designed by jointly considering jamming power and channel quality, enabling dynamic strategy adaptation under rapidly varying channels. A moving average process is applied to smooth simulation fluctuations. The results demonstrate that the proposed method effectively suppresses jamming collisions, enhances the successful transmission rate, and improves communication robustness in fast-fading environments, showing strong potential for deployment in practical open-channel applications. Full article
(This article belongs to the Section Microwave and Wireless Communications)
Show Figures

Figure 1

24 pages, 6083 KB  
Article
Abnormal Alliance Detection Method Based on a Dynamic Community Identification and Tracking Method for Time-Varying Bipartite Networks
by Beibei Zhang, Fan Gao, Shaoxuan Li, Xiaoyan Xu and Yichuan Wang
AI 2025, 6(12), 328; https://doi.org/10.3390/ai6120328 - 16 Dec 2025
Viewed by 348
Abstract
Identifying abnormal group behavior formed by multi-type participants from large-scale historical industry and tax data is important for regulators to prevent potential criminal activity. We propose an Abnormal Alliance detection framework comprising two methods. For detecting joint behavior among multi-type participants, we present [...] Read more.
Identifying abnormal group behavior formed by multi-type participants from large-scale historical industry and tax data is important for regulators to prevent potential criminal activity. We propose an Abnormal Alliance detection framework comprising two methods. For detecting joint behavior among multi-type participants, we present DyCIAComDet, a dynamic community identification and tracking method for large-scale, time-varying bipartite multi-type participant networks, and introduce three community-splitting measurement indicators—cohesion, integration, and leadership—to improve community division. To verify whether joint behavior is abnormal, termed an Abnormal Alliance, we propose BMPS, a frequent-sequence identification algorithm that mines key features along community evolution paths based on bitmap matrices, sequence matrices, prefix-projection matrices, and repeated-projection matrices. The framework is designed to address sampling limitations, temporal issues, and subjectivity that hinder traditional analyses and to remain scalable to large datasets. Experiments on the Southern Women benchmark and a real tax dataset show DyCIAComDet yields a mean modularity Q improvement of 24.6% over traditional community detection algorithms. Compared with PrefixSpan, BMPS improves mean time and space efficiency by up to 34.8% and 35.3%, respectively. Together, DyCIAComDet and BMPS constitute an effective, scalable detection pipeline for identifying abnormal alliances in tax datasets and supporting regulatory analysis. Full article
Show Figures

Figure 1

26 pages, 564 KB  
Article
6G-Oriented Joint Optimization of Semantic Compression and Transmission Power for Reliable IoV Emergency Communication
by Yuchen Zhou, Jianjun Wei, Mofan Luo, Bingtao He and Jian Chen
Electronics 2025, 14(24), 4937; https://doi.org/10.3390/electronics14244937 - 16 Dec 2025
Viewed by 284
Abstract
Emergency scenarios in the Internet of Vehicles (IoV) face significant challenges due to the stringent requirements for ultra-reliable and low-latency communication under high-mobility conditions. This paper proposes a cooperative transmission framework for semantic communication to address these challenges. We introduce a knowledge graph-based [...] Read more.
Emergency scenarios in the Internet of Vehicles (IoV) face significant challenges due to the stringent requirements for ultra-reliable and low-latency communication under high-mobility conditions. This paper proposes a cooperative transmission framework for semantic communication to address these challenges. We introduce a knowledge graph-based approach to represent information as semantic triples (structured entity-relation-attribute representations), whose importance is quantified using a Zipf distribution, enabling prioritized transmission. At the physical layer, a semantic-aware cooperative communication scheme is proposed to combat fading and enhance transmission reliability. The joint optimization of the number of transmitted triples and node power allocation is formulated as a cross-layer problem. To tackle this Mixed-Integer Nonlinear Programming (MINLP) problem with a hybrid action space, we employ the Multi-Pass Deep Q-Network (MP-DQN) algorithm, which is specifically designed for problems with hybrid discrete-continuous action spaces. Simulation results demonstrate that our framework dynamically adapts to channel states and semantic value, achieving up to 85% end-to-end success rate and improving convergence speed by approximately 40% compared to conventional methods. Full article
(This article belongs to the Topic Advances in Sixth Generation and Beyond (6G&B))
Show Figures

Figure 1

16 pages, 425 KB  
Article
Supporting the Community’s Health Advocates: Initial Insights into the Implementation of a Dual-Purpose Educational and Supportive Group for Community Health Workers
by Marcie Johnson, Kimberly Hailey-Fair, Elisabeth Vanderpool, Victoria DeJaco, Rebecca Chen, Christopher Goersch, Ursula E. Gately, Amanda Toohey and Panagis Galiatsatos
Healthcare 2025, 13(24), 3288; https://doi.org/10.3390/healthcare13243288 - 15 Dec 2025
Viewed by 235
Abstract
Background/Objectives: Community health workers (CHWs) play a critical role in advancing health equity by bridging gaps in care for underserved populations. However, limited institutional support, inconsistent training, and lack of integration contribute to high rates of burnout. The Lunch and Learn program was [...] Read more.
Background/Objectives: Community health workers (CHWs) play a critical role in advancing health equity by bridging gaps in care for underserved populations. However, limited institutional support, inconsistent training, and lack of integration contribute to high rates of burnout. The Lunch and Learn program was launched in Maryland in fall 2023 as a virtual continuing education and peer-support initiative designed to foster professional development, enhance connections among CHWs, and align with Maryland state CHW certification requirements. This article describes the program’s first year of implementation as a proof-of-concept and model for scalable CHW workforce support. Methods: The program offered twice-monthly, one-hour virtual sessions that included expert-led presentations, Q&A discussions, and dedicated peer-support time. Participant engagement was assessed using attendance metrics, post-session surveys, and annual feedback forms to identify trends in participation, learning outcomes, and evolving professional priorities. Results: Participation increased over time with the program’s listserv expanding from 29 to 118 members and average session attendance more than doubling. CHWs highlighted the program’s value in meeting both educational and emotional support needs. Conclusions: The Lunch and Learn program demonstrates a promising model for addressing burnout through education and community connection. As an adaptable, CHW-informed initiative, it supports both professional growth and well-being. Ongoing development will focus on expanding access, incorporating experiential learning assessments, and advocating for sustainable funding to ensure long-term program impact and CHW workforce stability. Full article
Show Figures

Figure 1

Back to TopTop