Sign in to use this feature.

Years

Between: -

Subjects

remove_circle_outline
remove_circle_outline
remove_circle_outline
remove_circle_outline
remove_circle_outline
remove_circle_outline
remove_circle_outline
remove_circle_outline
remove_circle_outline

Journals

Article Types

Countries / Regions

Search Results (115)

Search Parameters:
Keywords = Pielou evenness index

Order results
Result details
Results per page
Select all
Export citation of selected articles as:
27 pages, 3404 KB  
Article
Diversity, Growth Parameters, and Ecosystem Services of Urban Trees Under Climate-Change Conditions: A Case Study of Topčider Park
by Nevenka Galečić, Djurdja Petrov, Dejan Skočajić, Jelena Čukanović, Radenka Kolarov, Sara Đorđević and Mirjana Ocokoljić
Forests 2026, 17(1), 114; https://doi.org/10.3390/f17010114 - 14 Jan 2026
Abstract
Urban tree planting is widely promoted for its benefits, but the long-term condition of trees is poorly documented, especially as changing and often incompatible conditions, intensified by climate change, affect their ability to deliver those benefits. A case study in Topčider Park (since [...] Read more.
Urban tree planting is widely promoted for its benefits, but the long-term condition of trees is poorly documented, especially as changing and often incompatible conditions, intensified by climate change, affect their ability to deliver those benefits. A case study in Topčider Park (since 1836) was conducted during 2025 through the evaluation of diversity, growth parameters, ornamental value, vitality, and total fresh biomass and the identification of tree taxa with high carbon-sequestration potential in Belgrade (Serbia). The data were statistically processed using descriptive statistics, the Shannon diversity and the Pielou evenness index, PCA, Spearman rank and Chi-square tests. The results indicated a wide distribution and high homogeneity of taxa, greater stability within Angiospermae and moderate stability within Gymnospermae, with PCA showing no correlations between growth parameters, vitality, and ornamental value, confirming the close proximity of all taxa. At the taxon level, London plane, English oak, Ginkgo and Bald cypress stood out in growth parameters, while the assessment of total fresh biomass for all 51 taxa highlighted London plane, Scots pine and Bald cypress as particularly productive and adaptive. Carbon sequestration and CO2 reduction varied with total fresh biomass. The study offers evidence-based recommendations for selecting urban tree taxa to enhance ecosystem services and support climate-adaptation efforts in urban planning. Full article
17 pages, 8320 KB  
Article
Effects of Slope and Strip-Cutting Width on Bamboo Shoot Emergence, Culm Formation, and Understory Vegetation Diversity in Moso Bamboo Forests in China
by Dawei Fu, Fengying Guan, Zhen Li, Minkai Li, Yifan Lu, Xiao Zhou and Xuan Zhang
Plants 2026, 15(2), 258; https://doi.org/10.3390/plants15020258 - 14 Jan 2026
Abstract
Moso bamboo (Phyllostachys edulis) harvesting is labor-intensive and inefficient, while strip-cutting enables mechanized, cost-effective management and supports long-term production. Intensive strip-cutting disturbs bamboo ecosystems, altering soil, litter and understory vegetation. This may reduce long-term productivity despite moso bamboo’s rapid growth, especially [...] Read more.
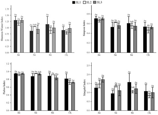
Moso bamboo (Phyllostachys edulis) harvesting is labor-intensive and inefficient, while strip-cutting enables mechanized, cost-effective management and supports long-term production. Intensive strip-cutting disturbs bamboo ecosystems, altering soil, litter and understory vegetation. This may reduce long-term productivity despite moso bamboo’s rapid growth, especially in the mountainous areas like Anji, Zhejiang. To balance ecological and production goals, we evaluated strip-cutting widths of 3, 5, and 8 m under three slope classes, 5–14° (gentle, SL1), 15–24° (moderate, SL2), and 25–34° (steep, SL3), focusing on bamboo growth recovery and understory vegetation diversity. Compared with uncut control plots, the number of herbaceous and shrub species increased in all treatment plots. In 5 m moderate slope plots, shoot and culm numbers were 27% and 13% higher than those in the 3 m and 8 m plots, and 37% higher than uncut control plots. Herb species diversity, as reflected by the Shannon–Wiener (H′), Simpson (D), and Margalef richness (R) indices, was high in the narrowest clearcut strips under SL1 and SL3. Pielou’s evenness index (J) was high in the 3 and 5 m plots under SL2 and SL3. Shrub species diversity, as indicated by D and R, was high in 5 and 8 m plots under SL2 and SL3. Principal component analysis (PCA) indicated that under SL2, 5 m strip-cutting width with a score of 0.649 outperformed others. These results suggest that 5 m strip-cutting width under SL2 slope optimizes understory vegetation diversity and supports a synergistic outcome of “high shoot emergence–high culm formation” thereby achieving both ecological and production benefits. Full article
Show Figures

Figure 1

19 pages, 2799 KB  
Article
Infestation, Community Structure, and Seasonal Dynamics of Chiggers on Small Mammals at a Focus of Scrub Typhus in Northern Yunnan, Southwest China
by Yan Lv, Peng-Wu Yin, Xian-Guo Guo, Rong Fan, Cheng-Fu Zhao, Zhi-Wei Zhang, Ya-Fei Zhao and Lei Zhang
Insects 2026, 17(1), 31; https://doi.org/10.3390/insects17010031 - 24 Dec 2025
Viewed by 430
Abstract
Chiggers are common ectoparasites and the exclusive vector of scrub typhus. From November 2020 to October 2021, a 12-month investigation was conducted at Waxi Village of Binchuan County, Yunnan Province of southwest China, a focus of scrub typhus. A total of 217,671 chiggers [...] Read more.
Chiggers are common ectoparasites and the exclusive vector of scrub typhus. From November 2020 to October 2021, a 12-month investigation was conducted at Waxi Village of Binchuan County, Yunnan Province of southwest China, a focus of scrub typhus. A total of 217,671 chiggers collected from 1329 small mammal hosts (belonging to 18 species) at the survey site were taxonomically identified as 115 species and 13 genera in the family Trombiculidae with high species diversity. Among the 115 chigger species identified, there were nine vector species. The prevalence (PM = 69.38%), mean abundance (MA = 163.79 mites/per examined host), and mean intensity (MI = 236.09 mites/per infested host) were high. Three rodent species, Rattus andamanensis, Apodemus chevrieri, and Mus caroli, were the dominant hosts. Three vector chiggers, L. deliense, L. scutellare, and L. imphalum, were the dominant chiggers, with a constituent ratio (Cr) of 60.72%. The indexes of chigger infestation and community showed varying degrees of monthly and seasonal fluctuations. From August (summer) to September and October (autumn), the Margalef richness index (R), Shannon–Wiener diversity index (H), and Pielou evenness (E) of chiggers were at low levels, but the Simpson dominance index (D) was at a high level. The Cr and infestation indexes (MA, MI) of chiggers were high from August to October in summer and autumn, with abundant vector chiggers (such as L. deliense and L. imphalum) appearing in these seasons. The species richness of chigger community was highest in winter, but lowest in summer. The similarity of the chigger community was very high between August (summer) and September to October (autumn). The evenness of the chigger community was highest in spring and lowest in summer. In conclusion, small mammals are susceptible to chigger infestation with coexistence of multiple vector chigger species. Most chigger species have a wide range of hosts with low host specificity. The abundant vector chiggers (especially L. deliense and L. imphalum) in summer and autumn suggests that the surveillance campaign of scrub typhus and vector chiggers should mainly focus on these two seasons at the survey site. Full article
(This article belongs to the Section Medical and Livestock Entomology)
Show Figures

Figure 1

23 pages, 2104 KB  
Article
Bird Species Diversity and Community Structure Across Southern African Grassland Types
by Grzegorz Kopij
Diversity 2026, 18(1), 11; https://doi.org/10.3390/d18010011 - 23 Dec 2025
Viewed by 366
Abstract
Grasslands occupy 24% of the Earth’s surface. In most areas of the world these are either destroyed, fragmented or converted into cultivated fields. In Africa, their biodiversity is still insufficiently known. This study reports on the avian assemblages associated with grasslands in South [...] Read more.
Grasslands occupy 24% of the Earth’s surface. In most areas of the world these are either destroyed, fragmented or converted into cultivated fields. In Africa, their biodiversity is still insufficiently known. This study reports on the avian assemblages associated with grasslands in South African Highveld and Lesotho Drakensberg. Special attention was paid to the species richness, diversity, and population densities and dominance of particular species. Birds were counted by means of the Line Transect Method in three distinguished grassland types: Dry Cymbopogon-Themeda Grassland (transect length: 28 km), Wet Cymbopogo-Themeda Grassland (27 km) km, and Mountain Themeda-Festuca Grassland (31 km). In total, 86 bird species were recorded. While cumulative dominance was similar between the Dry and Wet Grassland (61–65%), these two were much different from that in the Mountain Grassland (46%). However the dominance index was similar in all three grassland types compared (0.25–0.33). Only one species, the long-tailed widow Euplectes orix was a common dominant species for all three grassland types. African stonechat, wing-snapping cisticola Cisticola ayresii, Levaillant’s cisticola Cisticola tinniens and yellow bishop Euplectes capensis were dominant only in the Mountain Grassland; northern black korhaan Afrotis afroides and the eastern clapper lark Mirafra fasciolata—only in the Dry and Wet Grassland; ostrich Struthio camelus, cloud cisticola Cisticola textrix, African quailfinch Ortygozpiza atricollis and pied starling Spreo bicolor—only in the Dry Grassland, while the helmeted guineafowl Numida meleagris, zitting cisticola Cisticola juncidis and African pipit Anthus cinnamomeus—only in the Wet Grassland. Despite these obvious differences in dominance and population densities of species, Diversity and evenness indices were similar in all three grassland types. Shannon’s Diversity Index (H′) varied between 1.22 and 1.35; Simpson Diversity Index between 0.91 and 0.94, while Pielou’s Evenness Index (J′) varied between 0.33 and 0.36. However, Sørensen Similarity Index between the three grassland types was low, ranging between 0.07 and 0.26. Proportions of ecological guilds were similar in the Dry and Wet Grassland but differed from mountain Grassland. In comparison with other tropical grassland, avian communities in southern Africa are characterized by higher species richness and higher its variance between particular grassland types. Full article
(This article belongs to the Special Issue Avian Diversity in Forest and Grassland—2nd Edition)
Show Figures

Figure 1

20 pages, 5223 KB  
Article
Effect of Bt-Cry1Ab Maize Commercialization on Arthropod Community Biodiversity in Southwest China
by Limei He, Ling Wang, Yatao Zhou, Wenxian Wu, Shengbo Cong, Yanni Tan, Wei He, Gemei Liang and Kongming Wu
Insects 2025, 16(11), 1132; https://doi.org/10.3390/insects16111132 - 5 Nov 2025
Cited by 1 | Viewed by 842
Abstract
Transgenic Bt maize commercialization has become a critical pest management strategy against lepidopteran insects in southwest China, but its ecological impact on arthropod biodiversity remains insufficiently characterized. This two-year field investigation (2023–2024) conducted in Bazhong City, Sichuan Province utilized systematic field monitoring to [...] Read more.
Transgenic Bt maize commercialization has become a critical pest management strategy against lepidopteran insects in southwest China, but its ecological impact on arthropod biodiversity remains insufficiently characterized. This two-year field investigation (2023–2024) conducted in Bazhong City, Sichuan Province utilized systematic field monitoring to compare arthropod community dynamics between conventional maize and Bt-Cry1Ab maize (DBN9936) cultivation systems. This study documented 575,970 arthropod specimens representing 80 species/types across 45 families and 17 orders. Analysis of variance revealed significant differences (p < 0.05) between non-Bt and Bt maize in the abundance and species richness of target herbivorous pests, non-target herbivorous pests, and natural enemy insects. Field investigations revealed a notable absence of Macrocentrus cingulum, a key larval parasitoid of Ostrinia furnacalis, in Bt-maize plots compared to conventional counterparts. The populations of non-target herbivorous pests and natural enemies such as Aphididae, Chrysoperla sinica, Frankliniella tenuicornis, and Orius sauteri were higher in Bt maize fields than in non-Bt maize fields, while the populations of target herbivorous pests including O. furnacalis and Mythimna loreyi were lower than those in non-Bt maize fields. However, no significant differences (p > 0.05) were observed in arthropod abundance, species richness, or in a suite of ecological indices including the Simpson diversity index, Shannon–Wiener diversity index, Pielou evenness index, McIntosh diversity index, and community stability indices (Nn/Np, Nd/Np, and Sd/Sp). Redundancy analysis identified maize growth stages (6.75% variance explained) and interannual variations (2.44%) as principal drivers of arthropod community dynamics, with maize genotype contributing minimally (1.53%). These findings demonstrate that Bt-Cry1Ab maize (DBN9936) cultivation maintains functional arthropod community structure while effectively controlling target pests, providing substantial empirical evidence to support its sustainable deployment in southern China’s agricultural landscapes. Full article
(This article belongs to the Section Insect Pest and Vector Management)
Show Figures

Figure 1

20 pages, 3070 KB  
Article
Effects of Corn–Soybean Strip Intercropping on Control Efficiency of Insect Pests and Crop Yields
by Xiping Wei, Zhoulong Cheng, Junjie Wang, Chongyi Liu, Shanglin Yang and Fajun Chen
Plants 2025, 14(21), 3358; https://doi.org/10.3390/plants14213358 - 2 Nov 2025
Viewed by 684
Abstract
Corn–soybean strip intercropping (abbr. CSSI system) can enhance species biodiversity and ecological services for ecological control of insect pests. To improve its effectiveness and fully utilize it to improve ecological control of insect pests and crop production, two monoculture types of corn (C) [...] Read more.
Corn–soybean strip intercropping (abbr. CSSI system) can enhance species biodiversity and ecological services for ecological control of insect pests. To improve its effectiveness and fully utilize it to improve ecological control of insect pests and crop production, two monoculture types of corn (C) and soybean (S), and two strip intercropping patterns (i.e., C3S3 and C3S4, indicating three rows of corn strip intercropped with three and four rows of soybeans respectively), were conducted to assess the CSSI system’s (i.e., C3S3 and C3S4) impacts on the abundance of insect pests and crop yields by a two-year field experiment. The results indicated that a total of 11 species of insect pests were found in the CSSI system. Compared with C or S monoculture, the community indexes of insect pests (including the Shannon–Wiener diversity index (H), the Pielou’s evenness index (E), and the Margalef’s richness index (D)) increased, and the Simpson’s dominance index (C) decreased in the C3S3 and C3S4 patterns in 2022. Compared to the C and S monoculture, the CSSI system decreased the population dynamics of total insect pests and the key insect pests Trialeurodes vaporariorum on corn and soybean plants, respectively. In the CSSI system, T. vaporariorum exhibited higher population dynamics on corn plants than on soybean plants, indicating a preference for corn plants under the CSSI system. Moreover, the corn yield per hectare in the C3S4 pattern was significantly higher than that of the C monoculture in 2022–2023. The biomass per plant and the 1000-grain weight of corn in the C3S3 pattern were significantly lower than that in the C monoculture and C3S4 pattern in 2022. The biomass per plant, the 1000-grain weight and yield per hectare of soybean in the C3S3 and C3S4 patterns were significantly lower than that in the S monoculture in 2022–2023. The land equivalent ratio (LER) was <1.0 in the CSSI system, posing yield loss risk for soybeans in the CSSI system. The competitive ratio (CR) of corn was greater than soybean in the CSSI system. In addition, the yield of corn and soybeans were not significantly correlated with the abundance of total insect pests, while the soybean yield was significantly positively correlated to the abundance of T. vaporariorum. In conclusion, it is presumed that the CSSI system can decrease the abundances of insect pests, particularly key insect pests, and maintain their community stability, thereby preventing insect pests’ outbreak. However, the CSSI system is disadvantageous for soybean yield, as it cannot fully utilize land resources and may pose a risk of system yield loss. Full article
(This article belongs to the Special Issue Functional Plants for Ecological Control of Agricultural Pests)
Show Figures

Figure 1

19 pages, 2118 KB  
Article
Effects of Canopy Litter Removal on Canopy Structure, Understory Light and Vegetation Dynamics in Cunninghamia lanceolata Plantations of Varying Densities
by Lili Zhou, Lixian Zhang, Qi Liu, Yulong Chen, Zongming He, Shubin Li and Xiangqing Ma
Plants 2025, 14(20), 3144; https://doi.org/10.3390/plants14203144 - 12 Oct 2025
Viewed by 868
Abstract
The prolonged retention of senescent branches and needles (canopy litter) in Cunninghamia lanceolata canopies is an evolutionary adaptation, yet its impacts on stand microenvironment and understory succession remain poorly quantified. To address this gap, we conducted a 5-year field experiment across six planting [...] Read more.
The prolonged retention of senescent branches and needles (canopy litter) in Cunninghamia lanceolata canopies is an evolutionary adaptation, yet its impacts on stand microenvironment and understory succession remain poorly quantified. To address this gap, we conducted a 5-year field experiment across six planting densities (1800, 2400, 3000, 3600, 4200, and 4800 trees·ha−1), aiming to evaluate the effects of canopy litter removal on canopy structure, forest light environment, and understory biodiversity. Results demonstrated that leaf area index (LAI) and mean tilt angle of the leaf (MTA) significantly increased with density (p < 0.05), leading to marked reductions in photosynthetic photon flux density (PPFD) and light transmittance (T). Canopy litter removal significantly reduced LAI across all densities after 4–5 years (p < 0.05) and consistently enhanced PPFD and transmittance (p < 0.01). MTA and light quality parameters (red:blue and red:far-red ratios) both exhibited variable responses to litter removal, driven by density and time interactions, with effects diminishing over time. Understory vegetation diversity exhibited pronounced temporal dynamics and density-dependent responses to canopy litter removal, with increases in species richness (S), Simpson diversity (D), and Shannon–Wiener diversity (H), while Pielou Evenness (J) responded more variably. The most notable increase in species richness occurred in the 4th year, when 21 new species were recorded, largely due to the expansion of light-demanding bamboos (e.g., Indocalamus tessellatus and Pleioblastus amarus), heliophilic grasses (e.g., Lophatherum gracile) and pioneer ferns (e.g., Pteris dispar and Microlepia hancei). Correlation analyses confirmed PPFD as a key positive driver of all diversity indices (p < 0.01), whereas LAI was significantly negatively correlated with PPFD, light transmittance, and understory diversity (p < 0.01). These findings demonstrate that strategic management of canopy litter incorporating stand density regulation can improve understory light availability, thereby facilitating heliophilic species recruitment and biodiversity enhancement in subtropical coniferous plantations. Full article
Show Figures

Figure 1

26 pages, 11124 KB  
Article
Ecological Effects and Microbial Regulatory Mechanisms of Functional Grass Species Assembly in the Restoration of “Heitutan” Degraded Alpine Grasslands
by Zongcheng Cai, Jianjun Shi, Shouquan Fu, Liangyu Lv, Fayi Li, Qingqing Liu, Hairong Zhang and Shancun Bao
Microorganisms 2025, 13(10), 2341; https://doi.org/10.3390/microorganisms13102341 - 11 Oct 2025
Viewed by 823
Abstract
The restoration of “Heitutan” degraded grasslands on the Qinghai-Tibetan Plateau was hindered by suboptimal grass species mixtures, leading to low vegetation productivity, impaired soil nutrient cycling, and microbial functional degradation. Based on a 22-year controlled field experiment, this study systematically elucidated the regulatory [...] Read more.
The restoration of “Heitutan” degraded grasslands on the Qinghai-Tibetan Plateau was hindered by suboptimal grass species mixtures, leading to low vegetation productivity, impaired soil nutrient cycling, and microbial functional degradation. Based on a 22-year controlled field experiment, this study systematically elucidated the regulatory mechanisms of different artificial grass mixtures on vegetation community characteristics, soil physicochemical properties, and bacterial community structure and function. The results demonstrated that mixed-sowing treatments significantly improved soil conditions and enhanced aboveground biomass. The HC treatment (Elymus nutans Griseb. + Poa crymophila Keng ex L. Liu cv. ‘Qinghai’ + Festuca sinensis Keng ex S. L. Lu cv. ‘Qinghai’) achieved aboveground biomass of 1580.0 and 1645.0 g·m−2, representing 66.14% and 60.91% increases, respectively, compared to the HA monoculture (E. nutans). Concurrently, this treatment increased soil organic matter content by 52.3% and 48.4%, total nitrogen by 59.4% and 69.2%, while reducing electrical conductivity by 48.99% and 51.72%, with optimal pH stabilization (7.34–7.38). These findings confirmed that optimized grass mixtures effectively enhance soil physicochemical properties and carbon–nitrogen retention. Microbiome analysis revealed that the HE treatment (E. nutans + P. crymophila + F. sinensis + Poa poophagorum Bor. + Festuca kryloviana Reverd. cv. ‘Huanhu’) exhibited superior α-diversity indices (OTU, Shannon, Ace, Chao1, Pielou) with increases of 9.36%, 4.20%, 15.0%, 1.76%, and 13.4%, respectively, over HA, accompanied by optimal community evenness (lowest Simpson index). Core bacterial phyla included Pseudomonadota (22.7–29.9%), Acidobacteriota (21.5–23.6%), and Actinomycetota (13.6–16.0%), with significant suppression of pathogenic bacteria. Co-occurrence network analysis identified specialized functional modules, with HC and HD treatments (E. nutans + P. crymophila + F. sinensis + P. poophagorum) forming a “nitrogen transformation–antibiotic secretion” network (57.3% positive connections). Structural equation modeling (SEM) revealed that mixed sowing had the strongest direct effect on bacterial diversity (β = 0.76), surpassing indirect effects via soil (β = 0.37) and vegetation (β = 0.11). Redundancy analysis (RDA) identified vegetation cover (24.7% explained variance) and soil pH (20.0%) as key drivers of bacterial community assembly. Principal component analysis (PCA) confirmed HC and HD treatments as the most effective restoration strategies. This study elucidated a tripartite “vegetation–soil–microorganism” restoration mechanism, demonstrating that intermediate-diversity mixtures (3–4 species) optimize ecosystem recovery through niche complementarity, pathogen suppression, and enhanced nutrient cycling. These findings provided a scientific basis for species selection in alpine grassland restoration. Full article
Show Figures

Figure 1

17 pages, 9775 KB  
Article
Insect Community Diversity in Photovoltaic Power Station and Its Response to Environmental Factors
by Ying Wang, Yuanrun Cheng, Liping Ban, Xuewei Yin, Shuhua Wei, Wei Sun and Rong Zhang
Biology 2025, 14(10), 1388; https://doi.org/10.3390/biology14101388 - 11 Oct 2025
Viewed by 631
Abstract
To investigate the impact of PV power station construction on insect community diversity in the desert steppe of Ningxia and its response to environmental factors, insect communities were surveyed in different areas within the PV station (both under and between PV panels) and [...] Read more.
To investigate the impact of PV power station construction on insect community diversity in the desert steppe of Ningxia and its response to environmental factors, insect communities were surveyed in different areas within the PV station (both under and between PV panels) and outside the station. The species composition, diversity differences, and responses to environmental factors of insect communities in these areas were analyzed. The results showed that a total of 19,833 insect specimens, belonging to 68 species and 23 families, were collected across different areas of the PV station. The dominant species within the PV station (both under and between PV panels) were Labidura riparia japonica (Dermaptera: Labiduridae), Harpalus sinicus (Coleoptera: Carabidae) and Harpalus calceatus (Coleoptera: Carabidae), while outside the station, the dominant species were L. r. japonica, H. sinicus, H. calceatus and Harpalus pallidipennis (Coleoptera: Carabidae). The number of species by feeding habit ranked as follows: phytophagous insects > predatory insects, whereas the abundance of individuals followed the order: predatory insects > phytophagous insects. The species richness, abundance, Margalef richness index, Shannon–Wiener index and Pielou evenness index of phytophagous insects were significantly higher outside the PV power station than inside (both under and between PV panels). In contrast, Simpson dominance index was significantly lower outside the PV power station compared to inside (both under and between PV panels). For predatory insects, no significant differences were observed in species richness, Margalef richness index, Shannon–Wiener diversity index, Simpson dominance index, or Pielou evenness index among different PV panel areas. However, the abundance of predatory insects was significantly higher outside the PV power station than inside (both under and between PV panels); phytophagous insects in the PV station were primarily positively driven by soil nutrients (total nitrogen, available potassium), whereas predatory insect diversity was more responsive to soil organic matter and nitrogen levels. Both predatory and phytophagous insects showed a significant negative correlation with vegetation height. This study holds significant importance for exploring biodiversity conservation within PV power stations, providing a scientific basis for the planning, design, and implementation of ecological protection measures during the operation of PV station in Ningxia’s desert steppe. Full article
Show Figures

Figure 1

16 pages, 2109 KB  
Article
Avian Biodiversity Response Toward Ecological Restoration of Wetlands Through Farmland Abandonment Measures in the Sanjiang Plain, China
by Xueying Sun, Jingli Zhu, Qingming Wu, Muhammad Suliman, Xiaogang Lin, Lu Chen and Hongfei Zou
Diversity 2025, 17(10), 690; https://doi.org/10.3390/d17100690 - 2 Oct 2025
Cited by 1 | Viewed by 803
Abstract
Large-scale agricultural development has led to a significant reduction in wetland areas, resulting in habitat fragmentation for birds and biodiversity loss. Recently, the implementation of farmland abandonment policies has helped in the restoration of wetland areas. In order to understand the ecological effects [...] Read more.
Large-scale agricultural development has led to a significant reduction in wetland areas, resulting in habitat fragmentation for birds and biodiversity loss. Recently, the implementation of farmland abandonment policies has helped in the restoration of wetland areas. In order to understand the ecological effects of farmland abandonment, this study investigated the bird communities in the Naoli River National Nature Reserve (NRNNR) in the Sanjiang Plain after abandonment. The field surveys (line transect and point count methods) of bird community diversity in the abandoned areas of the NRNNR showed 92 bird species from 37 families and 16 orders, including 4 species of national first-class protected birds and 17 species of national second-class protected birds (accounting for a combined 22.83%). Additionally, the bird community diversity displayed annual variation in individual and species richness over time, and the diversity indices order was 2019 > 2020 > 2018 > 2016 > 2015. Bird species richness and individual abundance were significantly higher in meadow habitats as compared to other habitat types. With prolonged restoration time after farmland withdrawal, the Pielou evenness index of bird communities significantly decreased, while the total number of individual birds significantly increased (p < 0.05). The abandoned time showed a positive impact on waterbird richness, while the longer abandoned duration led to higher waterbird richness. In conclusion, long-term ecological restoration measures revealed a significant enhancement in bird diversity over time. Full article
(This article belongs to the Section Animal Diversity)
Show Figures

Figure 1

19 pages, 2244 KB  
Article
Analysis of Microbial Community Structure and Diversity in Different Soil Use Types in the Luo River Basin
by Li Dai, Xiaolong Hao, Tong Niu, Zhen Liu, Yanmei Wang, Xiaodong Geng, Qifei Cai, Juan Wang, Yongyu Ren, Fangming Liu, Hongen Liu and Zhi Li
Microorganisms 2025, 13(9), 2173; https://doi.org/10.3390/microorganisms13092173 - 17 Sep 2025
Viewed by 924
Abstract
The Luohe River boasts a profound historical heritage. Due to long-term impacts of human activities along its banks, significant variations in soil environmental conditions may exist across different land use types within the region. This study focused on four land use types (farmland, [...] Read more.
The Luohe River boasts a profound historical heritage. Due to long-term impacts of human activities along its banks, significant variations in soil environmental conditions may exist across different land use types within the region. This study focused on four land use types (farmland, bamboo forest, grassland, and abandoned land) in Luoning County of the Luohe River Basin and employed high-throughput sequencing technology to analyze the characteristics of soil microbial communities and differences in soil nutrients. The results showed the following: There were significant differences in soil nutrients and microbial diversity among different land use types. Specifically, the organic matter content in farmland was significantly higher than that in bamboo forests (p < 0.05), and the available phosphorus content in farmland was significantly higher than that in abandoned land (p < 0.05); the abandoned land had a significant advantage in alkali-hydrolyzable nitrogen and available potassium contents (p < 0.05) but the lowest soil water content (p < 0.05). Microbial diversity indices indicated that Pielou’s evenness index (Pieloue) in farmland was significantly higher than that in grassland. The bacterial community was dominated by Acidobacteria, Proteobacteria, and Actinobacteria. At the genus level, available potassium was the key factor affecting the top 20 dominant bacterial genera. Redundancy Analysis (RDA) showed that pH was the core environmental variable driving the variation of bacterial community structure. Metabolic pathway analysis revealed that biosynthetic metabolism was the main pathway, and grassland exhibited outstanding performance in the secondary metabolite synthesis pathway. The results of this study fill the gap in soil microbial ecology research in this region and provide a theoretical basis for the sustainable utilization of land resources and agricultural ecological management in the Luohe River Basin. Full article
Show Figures

Figure 1

21 pages, 3157 KB  
Article
Landscape Patterns Drive Functional Diversity of Macroinvertebrate Communities Along the Elevation Gradient in the Chishui River
by Xiaopeng Tang, Zhenhao Liu, Fei Liu, Yun Cheng, Tingsong Yu, Xuehua Li, Qiang Qin and Fubin Zhang
Biology 2025, 14(9), 1149; https://doi.org/10.3390/biology14091149 - 31 Aug 2025
Viewed by 1011
Abstract
Landscape patterns serve as important drivers of macroinvertebrate biodiversity. However, the mechanisms through which landscape dynamics influence biodiversity across different elevation gradients in undammed rivers remain poorly understood. Here, this study investigated macroinvertebrate communities in the Chishui River, which represents the only undammed [...] Read more.
Landscape patterns serve as important drivers of macroinvertebrate biodiversity. However, the mechanisms through which landscape dynamics influence biodiversity across different elevation gradients in undammed rivers remain poorly understood. Here, this study investigated macroinvertebrate communities in the Chishui River, which represents the only undammed tributary maintaining a natural flow regime in the upper Yangtze River. We documented 97 macroinvertebrate taxa (3 phyla, 16 orders, and 57 families) with a mean density of 314.93 ind./m2. NMDS and PERMANOVA analyses revealed significant spatial heterogeneity in macroinvertebrate community composition, but no overall seasonal variation. However, functional diversity indices (e.g., FRic) exhibited seasonal fluctuations across the river system. Furthermore, we assessed nine landscape metrics to capture heterogeneity, complexity, and fragmentation effects. Random forest modeling with nine predictors revealed that landscape heterogeneity primarily drove functional diversity in the upstream areas, whereas landscape fragmentation was the dominant factor in the downstream areas. Functional diversity, which reflects trait-based ecological roles, provides more direct insights into ecosystem processes than taxonomic diversity alone. Notably, the taxonomic diversity indices (Margalef richness, Shannon–Wiener diversity, Simpson diversity, and Pielou evenness index) showed no significant correlations with landscape metrics. These findings highlight the critical role of functional diversity in evaluating landscape-mediated ecological effects. For effective conservation, management strategies should prioritize reducing anthropogenic disturbances in downstream areas while preserving natural landscape heterogeneity. Full article
(This article belongs to the Section Conservation Biology and Biodiversity)
Show Figures

Figure 1

20 pages, 909 KB  
Article
Diversity and Seasonal Variation in Live Baits Caught in Hann Bay, Dakar, Senegal
by Maryam Keita, Ndiaga Thiam, Fambaye Ngom, Justin Kantoussan, Ismaïla Ndour and Oumar Sadio
Diversity 2025, 17(9), 608; https://doi.org/10.3390/d17090608 - 28 Aug 2025
Viewed by 942
Abstract
Live bait fishing, which was initiated around the 1950s on the coast of Dakar for the exploitation of tropical tunas, remains poorly studied. This study aims to examine the ichthyological diversity in Hann Bay and analyze the seasonal variation in species used as [...] Read more.
Live bait fishing, which was initiated around the 1950s on the coast of Dakar for the exploitation of tropical tunas, remains poorly studied. This study aims to examine the ichthyological diversity in Hann Bay and analyze the seasonal variation in species used as live bait. Ten experimental fishing campaigns were conducted between February and November 2023, using a beach seine and a purse seine. Captured individuals were sorted by species, counted, and weighed. Salinity and temperature drive seasonal changes in live bait fish communities in Hann Bay. Beach seine captured 389,171 individuals from 65 species, representing a biomass of 1743 kg. Purse seine yielded 9408 individuals from 62 species, representing a total of 306 kg. Ten species were identified as live bait, ten of which were caught with beach seine (Engraulis encrasicolus dominated) and eight with purse seine (Sardinella maderensis dominated). Eight of the ten live bait species were caught by both purse seine and beach seine. For beach seine, Shannon’s index was higher during the cold season, indicating a better distribution of species abundance. For purse seine, species abundance was lower in the cold season. Pielou’s evenness index indicated a more balanced assemblage in the cold season for beach seine (0.65) and in the warm season for purse seine (0.74). The number and weight of live baits did not vary significantly between seasons. These results may support the sustainable management of coastal small pelagics, whose juveniles are used as live bait. Full article
(This article belongs to the Section Animal Diversity)
Show Figures

Graphical abstract

14 pages, 2685 KB  
Article
Intermediate Anthropogenic Disturbances Boost Taxonomic and Phylogenetic Diversities but Reduce Functional Diversity in Subtropical Forests of Eastern China
by Libin Liu, Xiaoyin Guan, Yunquan Wang, Jianhua Chen, Julian Liu, Shuisheng Yu, Zihong Zheng and Mingjian Yu
Plants 2025, 14(16), 2529; https://doi.org/10.3390/plants14162529 - 14 Aug 2025
Cited by 3 | Viewed by 840
Abstract
Anthropogenic disturbances significantly impact plant biodiversity in subtropical forests. While prior research has primarily concentrated on taxonomic diversity, other dimensions of biodiversity, such as phylogenetic and functional diversities, remain insufficiently explored. This study simultaneously investigated these three facets of plant diversity in subtropical [...] Read more.
Anthropogenic disturbances significantly impact plant biodiversity in subtropical forests. While prior research has primarily concentrated on taxonomic diversity, other dimensions of biodiversity, such as phylogenetic and functional diversities, remain insufficiently explored. This study simultaneously investigated these three facets of plant diversity in subtropical forests with two distinct disturbance histories in eastern China, aiming to elucidate the effects of intermediate anthropogenic disturbances on biodiversity. Disturbed deciduous broadleaf forests exhibited markedly lower Pielou evenness index values compared to their conserved counterparts (p < 0.05). Disturbed evergreen broadleaf forests demonstrated significantly higher species richness, Shannon–Wiener index scores, and phylogenetic diversity relative to those found in conserved forests (p < 0.05). Furthermore, both disturbed deciduous broadleaf and mixed evergreen–deciduous broadleaf forests displayed significantly reduced functional richness and quadratic entropy coefficient values when compared with their conserved equivalents (p < 0.05). Forest type exerted a significant influence on all three dimensions of biodiversity (p < 0.05). In conclusion, intermediate anthropogenic disturbances have the potential to enhance both plant taxonomic and phylogenetic diversities while concurrently diminishing functional diversity within the subtropical forests of eastern China. The mechanisms driving responses in plant diversity to intermediate anthropogenic disturbances vary according to forest types. Full article
(This article belongs to the Section Plant Systematics, Taxonomy, Nomenclature and Classification)
Show Figures

Figure 1

49 pages, 52465 KB  
Article
Developing the Urban Diversity Index (UDI): A Global Comparison of Urban Qualitative Aspect and Its Implications for Sustainable Urban Planning Using POI Data
by Yuki Akiyama, Chiaki Mizutani Akiyama, Kotaro Mizutani and Takahito Shimizu
Sustainability 2025, 17(16), 7286; https://doi.org/10.3390/su17167286 - 12 Aug 2025
Cited by 1 | Viewed by 3986
Abstract
Understanding urban diversity is critical to inclusive planning for sustainable urban development. This study introduces a new Urban Diversity Index (UDI) based on global point-of-interest (POI) data for food-related establishments—defined here as facilities that offer food and beverage services, including various kinds of [...] Read more.
Understanding urban diversity is critical to inclusive planning for sustainable urban development. This study introduces a new Urban Diversity Index (UDI) based on global point-of-interest (POI) data for food-related establishments—defined here as facilities that offer food and beverage services, including various kinds of eating and drinking venues —covering 249 cities across 154 countries. The UDI integrates three components: Pielou’s Evenness Index (J′) to capture the balance of establishment types, a Coverage Ratio (C′) to measure global representativeness of establishment categories, and density (ρ′) to reflect spatial concentration. By applying concentric buffer analysis around city centers, we evaluate the spatial profiles of diversity in each city. Results show that while cities like London and Istanbul have similar index components, they exhibit significant differences in the spatial extent and pattern of high-diversity zones, reflecting their unique morphological and regulatory contexts. Furthermore, the analysis of “Peak Distance Buffer Zones”—areas where UDI remains above 95% of its maximum—reveals diverse urban forms, particularly in Asian megacities. Scatterplots of standardized UDI and peak distances identify distinct typologies of urban diversity structures. Notably, urban population size showed no significant correlation with UDI values. Overall, this study demonstrates the utility of globally standardized POI-based metrics in capturing the spatial heterogeneity of urban qualitative diversity and offers new insights into cross-city comparisons of urban complexity. Full article
(This article belongs to the Special Issue Sustainable Urban Planning and Regional Development)
Show Figures

Graphical abstract

Back to TopTop