Sign in to use this feature.

Years

Between: -

Subjects

remove_circle_outline
remove_circle_outline
remove_circle_outline
remove_circle_outline
remove_circle_outline
remove_circle_outline
remove_circle_outline
remove_circle_outline

Journals

Article Types

Countries / Regions

Search Results (13)

Search Parameters:
Keywords = Pee Power®

Order results
Result details
Results per page
Select all
Export citation of selected articles as:
25 pages, 632 KB  
Article
Green Extraction Strategies for Orange Peel Dust Valorization with Enhanced Bioactive Potential
by Isidora Vlaović, Slađana Krivošija, Vanja Travičić, Ivana Mitrović, Gordana Ćetković, Aleksandra Gavarić and Senka Vidović
Foods 2026, 15(9), 1495; https://doi.org/10.3390/foods15091495 - 25 Apr 2026
Viewed by 253
Abstract
Despite its rich bioactive composition, orange peel dust (OPD), a fine industrial by-product generated during citrus processing in the filter tea industry, has not received much attention as a valuable matrix. Using antioxidant activity (2,2-diphenyl-1-picrylhydrazyl (DPPH), 2,2′-azino-bis-(3-ethylbenzothiazoline-6-sulfonic acid) (ABTS), and reducing power (RP)), [...] Read more.
Despite its rich bioactive composition, orange peel dust (OPD), a fine industrial by-product generated during citrus processing in the filter tea industry, has not received much attention as a valuable matrix. Using antioxidant activity (2,2-diphenyl-1-picrylhydrazyl (DPPH), 2,2′-azino-bis-(3-ethylbenzothiazoline-6-sulfonic acid) (ABTS), and reducing power (RP)), α-amylase inhibitory activity, antimicrobial potential, and sugar composition as function-oriented indicators, this study aimed to compare four green extraction technologies: subcritical water extraction (SWE), pressurized ethanol extraction (PEE), ultrasound-assisted extraction (UAE), and sequential supercritical CO2–UAE (Sc-CO2–UAE) applied to OPD derived from Citrus sinensis L. Among thermally driven techniques, PEE at 220 °C had the highest radical-scavenging activity, while UAE showed the broadest antifungal activity against Fusarium spp. and Alternaria alternata, along with selective antibacterial activity against Bacillus cereus. Sequential Sc-CO2 pretreatment at 300 bar followed by UAE resulted in the highest α-amylase inhibitory activity. Sugar analysis indicated that thermal conditions enhanced carbohydrate hydrolysis, while UAE and Sc-CO2-UAE maintained structural sugars under mild conditions. All green extraction approaches outperformed conventional maceration. These findings validate OPD as a valuable industrial by-product suitable for sustainable valorization, supporting circular economy concepts in the citrus processing sector. Full article
(This article belongs to the Section Nutraceuticals, Functional Foods, and Novel Foods)
Show Figures

Figure 1

25 pages, 10850 KB  
Review
Effective Methods for Determination of Electrical System Power Components at Transient and Steady States
by Branislav Dobrucký, Slavomír Kaščák and Jozef Šedo
Energies 2025, 18(4), 779; https://doi.org/10.3390/en18040779 - 7 Feb 2025
Viewed by 1210
Abstract
This review paper describes and compares the practical methods that make it possible to calculate an average value of apparent, active, and reactive (i.e., blind and distorted) power in each calculation step. In addition to two methods, pq and [...] Read more.
This review paper describes and compares the practical methods that make it possible to calculate an average value of apparent, active, and reactive (i.e., blind and distorted) power in each calculation step. In addition to two methods, pq and ipiq, it deals with the application of the idiq method for determining power components’ mean values in a discrete step. The results are important and needed for the right dimensioning and sizing of power electronic and electrical systems (PEESs), which those power components produce. This is because the integral calculation for the mean values of the product of voltage u(t) and current i(t) always gives a value lower than the actual value of the apparent power. Using moving average and moving root mean square (rms) techniques (or digital filtering), one obtains the right values, although with a time delay. Using sliding filtering, these techniques calculate the average or rms values, respectively, of the power components in each step k. By calculating the moving average value of the power components in both transient and steady states (on/off as well), we achieve the correct design of the system. The transients for the three- and single-phase power electronic systems are modeled, simulated, and theoretically supported in this study. Any PEES can be determined and sized using the calculated data. The real-time HW simulator Plecs RT Box 1 and Matlab/Simulink 2024a simulations validate the comprehensive time waveform produced by the suggested method. Full article
(This article belongs to the Special Issue Energy, Electrical and Power Engineering: 3rd Edition)
Show Figures

Figure 1

27 pages, 9266 KB  
Article
Design and Analysis of a Three-Phase High-Frequency Transformer for Three-Phase Bidirectional Isolated DC-DC Converter Using Superposition Theorem
by Yasir S. Dira, Ahmad Q. Ramli, Ungku Anisa Ungku Amirulddin, Nadia M. L. Tan and Giampaolo Buticchi
Sustainability 2024, 16(21), 9227; https://doi.org/10.3390/su16219227 - 24 Oct 2024
Cited by 2 | Viewed by 4113
Abstract
Battery energy storage systems based on bidirectional isolated DC-DC converters (BIDCs) have been employed to level the output power of intermittent renewable energy generators and to supply power to electric vehicles. Moreover, BIDCs use high-frequency transformers (HFTs) to achieve voltage matching and galvanic [...] Read more.
Battery energy storage systems based on bidirectional isolated DC-DC converters (BIDCs) have been employed to level the output power of intermittent renewable energy generators and to supply power to electric vehicles. Moreover, BIDCs use high-frequency transformers (HFTs) to achieve voltage matching and galvanic isolation. Various studies have recently been conducted using soft magnetic materials, such as nanocrystalline, amorphous solids, and ferrite, to develop more compact and effective transformers with superior power densities. The HFTs in three-phase BIDCs are composed of three magnetic cores. However, this leads to low power density and high cost. Besides, the three-phase (3P) ferrite core has not been investigated for high-power converters such as 3P-BIDCs. This paper presents the design and development of a 3P-EE ferrite magnetic core for 3P-BIDCs. The area product design method was used to determine the core and winding design. The paper also proposes the use of the superposition theorem in conducting a magnetic circuit analysis to predict the flux density and magnetising inductance of the transformer core. Moreover, the use of the superposition theorem allowed the required air-gap length for balancing the distribution of flux density and magnetizing inductance in the transformer core to be determined. The balanced flux distribution and magnetizing inductance resulted in a uniform core loss and temperature in the transformer. This paper also presents the experimental results of the designed HFT operated in a 300-V, 3-kW 3P-BIDC. The experimental results showed that the proposed HFT achieved a balanced flux density and magnetizing inductance with a high power density and low cost. Moreover, the transformer performed at a maximum efficiency of 98.67%, with a decrease of 3.33 °C in the overall temperature of the transformer as compared to the transformer without air gaps. Full article
Show Figures

Figure 1

17 pages, 5946 KB  
Article
Power Components Mean Values Determination Using New Ip-Iq Method for Transients
by Branislav Dobrucký, Slavomír Kaščák and Jozef Šedo
Energies 2024, 17(11), 2720; https://doi.org/10.3390/en17112720 - 3 Jun 2024
Cited by 3 | Viewed by 1560
Abstract
This paper deals with the quasi-instantaneous determination (in a single-step response time) of apparent, active, and reactive (i.e., blind and distortion) power mean values including the total power factor, total harmonic distortion, and phase shift of fundamentals of a power electronic and electrical [...] Read more.
This paper deals with the quasi-instantaneous determination (in a single-step response time) of apparent, active, and reactive (i.e., blind and distortion) power mean values including the total power factor, total harmonic distortion, and phase shift of fundamentals of a power electronic and electrical system (PEES) using the ip-iq method, which is the main contribution of the paper. The power components’ mean values are investigated during the transient and steady states. The power components’ mean values can be determined directly from phase current and voltage quantities, using an integral calculus over one period within the next calculation step and using moving average and moving rms techniques (or digital filtering). Consequently, the power factor can be evaluated with known values of a phase shift of fundamentals (using a Fourier analysis). The results of this study show how a distortion power component during transients is generated even under a harmonic supply and linear resistive–inductive load. The paper contains a theoretical base, modeling, and simulation for the three and single phases of the transients in power electronic systems. The worked-out results can be used to determine and size any PES. The presented approach brings a detailed time waveform verified by simulations in Matlab/Simulink 2022a and the Real-time HW Simulator Plecs RT Box 1. Full article
(This article belongs to the Special Issue Energy, Electrical and Power Engineering 2024)
Show Figures

Figure 1

19 pages, 3616 KB  
Article
Spatial–Temporal Differentiation and Trend Prediction of Coupling Coordination Degree of Port Environmental Efficiency and Urban Economy: A Case Study of the Yangtze River Delta
by Min Wang, Yu Lan, Huayu Li, Xiaodong Jing, Sitong Lu and Kexin Deng
Land 2024, 13(3), 374; https://doi.org/10.3390/land13030374 - 16 Mar 2024
Cited by 7 | Viewed by 2705
Abstract
Green development is a primary path for ports and cities to achieve a low-carbon transition under the Sustainable Development Goals and a powerful driving force to elevate regional port–city relations to a high level of coordination. In this paper, twenty port cities in [...] Read more.
Green development is a primary path for ports and cities to achieve a low-carbon transition under the Sustainable Development Goals and a powerful driving force to elevate regional port–city relations to a high level of coordination. In this paper, twenty port cities in the Yangtze River Delta (YRD) were selected and port environmental efficiency (PEE) was calculated through the window SBM model, while the EW-TOPSIS model was used to evaluate high-quality urban economic development (HED). The coupling coordination degree (CCD) model, the kernel density model, GIS spatial analysis, and the grey prediction model were used to further explore the spatial–temporal dynamic evolution and prediction of the CCD between PEE and HED. The results suggested that: (1) PEE fluctuation in the YRD is increasing, with a trend of seaports achieving higher PEE than river ports; (2) HED in the YRD shows upward trends, and the polarization of individual cities is obvious; (3) Temporally, the CCD in the YRD has risen from 0.438 to 0.518. Shanghai consistently maintains intermediate coordination, and Jiangsu has experienced the most significant increase in CCD. Spatially, CCD is led by Lianyungang, Suzhou, Shanghai, and Ningbo-Zhoushan, displaying a decreasing distribution pattern from east to west. The projection for 2026 suggests that all port cities within the YRD will have transitioned to a phase of orderly development. To enhance the coordination level in the YRD, policymakers should consider the YRD as a whole to position the ports functionally and manage them hierarchically, utilize the ports to break down resource boundaries to promote the synergistic division of labor among cities, and then tilt the resources towards Anhui. Full article
(This article belongs to the Special Issue Regional Sustainable Development of Yangtze River Delta, China II)
Show Figures

Figure 1

21 pages, 1063 KB  
Article
Power of eWOM and Its Antecedents in Driving Customers’ Intention to Revisit: An Empirical Investigation on Five-Star Eco-Friendly Hotels in Saudi Arabia
by Maha Hassan Ahmed Salah, Ahmed Hassan Abdou, Thowayeb H. Hassan, Maha Abdul-Moniem Mohammed El-Amin, Adam Basheer Adam Kegour, Hanem Mostafa Mohamed Alboray, Amal Salah Darder Mohamed, Howayda Said Ahmed Mohamed Ali and Elham Farouq Ali Mohammed
Sustainability 2023, 15(12), 9270; https://doi.org/10.3390/su15129270 - 8 Jun 2023
Cited by 18 | Viewed by 6273
Abstract
In recent years, electronic word-of-mouth (eWOM) has greatly impacted the hotel industry, as social media and online review platforms have given customers many opportunities to share their personal experiences with other individuals. Hence, this study aimed to empirically investigate several relationships within the [...] Read more.
In recent years, electronic word-of-mouth (eWOM) has greatly impacted the hotel industry, as social media and online review platforms have given customers many opportunities to share their personal experiences with other individuals. Hence, this study aimed to empirically investigate several relationships within the setting of five-star eco-friendly hotels in Saudi Arabia. These included: (1) the direct impact of perceived quality (PQ), positive emotional experience (PEE), and customer satisfaction (CS) on promoting positive eWOM; (2) the potential intermediary role of CS in the connections between PQ, PEE, and eWOM; (3) the direct influence of eWOM on intention to revisit (ITR); and (4) the potential intermediary role of eWOM in the PQ–ITR, CS–ITR, and PEE–ITR relationships. To achieve these objectives, an online questionnaire was developed and directed to a sample of Saudi individuals who have stayed in five-star eco-friendly hotels, particularly in Riyadh City. Based on their previous interactions with these hotels on the TripAdvisor website during the last six months and their willingness to participate in the field study, a convenience sampling technique was utilized to select participants for data collection. The study mainly focused on Saudi individuals to investigate their behaviors and attitudes toward eco-friendly hotels, which have been considered a growing trend in the country in recent years. Participants were emailed individually, and a total of 423 acceptable forms were gathered and subjected to analysis using the PLS-SEM method. The research’s findings revealed that PQ had the strongest predictive power for promoting positive eWOM, leading to a greater increase in ITR than PEE and CS. Moreover, the study identified the significant mediating influence of CS in exploring how PEE and PQ contribute to customers’ intention to spread positive eWOM. Additionally, the results showed the substantial role of eWOM in mediating the relationships between PQ, PEE, CS, and ITR. Based on these findings, the study suggests practical implications for hotel operators and marketers looking to promote positive eWOM and increase revisit intentions. Full article
Show Figures

Figure 1

22 pages, 1554 KB  
Article
Phytochemical Profiling, Mineral Elements, and Biological Activities of Artemisia campestris L. Grown in Algeria
by Wafa Zahnit, Ouanissa Smara, Lazhar Bechki, Chawki Bensouici, Mohammed Messaoudi, Naima Benchikha, Imane Larkem, Chinaza Godswill Awuchi, Barbara Sawicka and Jesus Simal-Gandara
Horticulturae 2022, 8(10), 914; https://doi.org/10.3390/horticulturae8100914 - 6 Oct 2022
Cited by 53 | Viewed by 5922
Abstract
Artemisia campestris L. is commonly used in folk medicine due to its antioxidant, antidiabetic, nutritional, and culinary properties. Our study assessed the total phenolics contents, antioxidant, and pharmacological activities of various organic extracts prepared from the aerial parts of Artemisia campestris, and [...] Read more.
Artemisia campestris L. is commonly used in folk medicine due to its antioxidant, antidiabetic, nutritional, and culinary properties. Our study assessed the total phenolics contents, antioxidant, and pharmacological activities of various organic extracts prepared from the aerial parts of Artemisia campestris, and its mineral elements and chemical profile were analyzed. ICP-OES was used to analyze the mineral profile and the LC-MS/MS analysis was used to characterize the phytochemical profiling. A series of antioxidant tests were carried out using DPPH, ABTS, beta-carotene, GOR, RP, CUPRAC, and O-Phenanthroline assays. In vitro potent inhibitory actions of A. campestris extracts were investigated to evaluate their anti-cholinesterase, anti-lipase and anti-diabetic activities. The photoprotective effect of the plant was measured by the sun protection factor. The most powerful inhibitor of α-amylase was AcPEE (IC50 = 11.79 ± 0.14 μg/mL), which also showed a significant butyrylcholinesterase inhibitory effect (IC50 = 93.50 ± 1.60 μg/mL). At IC50 = 23.16 ± 0.19 μg/mL, AcEAE showed the most powerful inhibitory effects on acetylcholinesterase. A. campestris was found to have a strong photoprotective ability, absorbing UV radiations with SPF values ranging from 26.07 ± 0.22 to 40.76 ± 0.11. The results showed that A. campestris extract has strong antioxidant activity in all the test samples except for the carotene bleaching assay. The LC/MS-MS results showed that AcDE, AcEAE, and AcBE identified 11 compounds belonging to Polyphenols Compounds. Our result also showed that A. campestris contains a high concentration of essential minerals, including macro-and micro-elements with their values close to the FAO’s recommended concentration. A. campestris has the capacity to improve pharmaceutical formulations, health, and medical research, due to its compositions and potent biological properties. Full article
Show Figures

Figure 1

21 pages, 2624 KB  
Article
System Implementation Trade-Offs for Low-Speed Rotational Variable Reluctance Energy Harvesters
by Ye Xu, Sebastian Bader, Michele Magno, Philipp Mayer and Bengt Oelmann
Sensors 2021, 21(18), 6317; https://doi.org/10.3390/s21186317 - 21 Sep 2021
Cited by 10 | Viewed by 4380
Abstract
Low-power energy harvesting has been demonstrated as a feasible alternative for the power supply of next-generation smart sensors and IoT end devices. In many cases, the output of kinetic energy harvesters is an alternating current (AC) requiring rectification in order to supply the [...] Read more.
Low-power energy harvesting has been demonstrated as a feasible alternative for the power supply of next-generation smart sensors and IoT end devices. In many cases, the output of kinetic energy harvesters is an alternating current (AC) requiring rectification in order to supply the electronic load. The rectifier design and selection can have a considerable influence on the energy harvesting system performance in terms of extracted output power and conversion losses. This paper presents a quantitative comparison of three passive rectifiers in a low-power, low-voltage electromagnetic energy harvesting sub-system, namely the full-wave bridge rectifier (FWR), the voltage doubler (VD), and the negative voltage converter rectifier (NVC). Based on a variable reluctance energy harvesting system, we investigate each of the rectifiers with respect to their performance and their effect on the overall energy extraction. We conduct experiments under the conditions of a low-speed rotational energy harvesting application with rotational speeds of 5 rpm to 20 rpm, and verify the experiments in an end-to-end energy harvesting evaluation. Two performance metrics—power conversion efficiency (PCE) and power extraction efficiency (PEE)—are obtained from the measurements to evaluate the performance of the system implementation adopting each of the rectifiers. The results show that the FWR with PEEs of 20% at 5 rpm to 40% at 20 rpm has a low performance in comparison to the VD (40–60%) and NVC (20–70%) rectifiers. The VD-based interface circuit demonstrates the best performance under low rotational speeds, whereas the NVC outperforms the VD at higher speeds (>18 rpm). Finally, the end-to-end system evaluation is conducted with a self-powered rpm sensing system, which demonstrates an improved performance with the VD rectifier implementation reaching the system’s maximum sampling rate (40 Hz) at a rotational speed of approximately 15.5 rpm. Full article
Show Figures

Graphical abstract

25 pages, 5908 KB  
Article
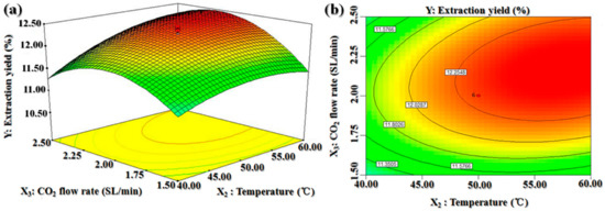
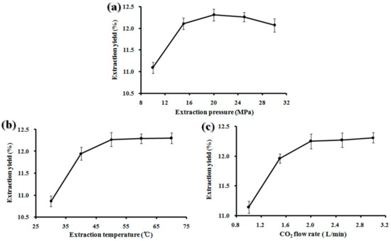
Characterization and Biological Activities of Seed Oil Extracted from Berberis dasystachya Maxim. by the Supercritical Carbon Dioxide Extraction Method
by Lijuan Han, Qingqing Han, Yongjing Yang, Honglun Wang, ShuLin Wang and Gang Li
Molecules 2020, 25(8), 1836; https://doi.org/10.3390/molecules25081836 - 16 Apr 2020
Cited by 11 | Viewed by 3422
Abstract
Characterization of the structure and pharmacological activity of Berberis dasystachya Maxim., a traditional Tibetan medicinal and edible fruit, has not yet been reported. In this study, central composite design (CCD) combined with response surface methodology (RSM) was applied to optimize the extraction conditions [...] Read more.
Characterization of the structure and pharmacological activity of Berberis dasystachya Maxim., a traditional Tibetan medicinal and edible fruit, has not yet been reported. In this study, central composite design (CCD) combined with response surface methodology (RSM) was applied to optimize the extraction conditions of B. dasystachya oil (BDSO) using the supercritical carbon dioxide (SC-CO2) extraction method, and the results were compared with those obtained by the petroleum ether extraction (PEE) method. The chemical characteristics of BDSO were analyzed, and its antioxidant activity and in vitro cellular viability were studied by DPPH, ABTS, reducing power assay, and MTT assay. The results showed that the maximum yield of 12.54 ± 0.56 g/100 g was obtained at the optimal extraction conditions, which were: pressure, 25.00 MPa; temperature 59.03 °C; and CO2 flow rate, 2.25 SL/min. The Gas chromatography (GC) analysis results showed that BDSO extracted by the SC-CO2 method had higher contents of unsaturated fatty acids (85.62%) and polyunsaturated fatty acids (57.90%) than that extracted by the PEE method. The gas chromatography used in conjunction with ion mobility spectrometry (GC–IMS) results showed that the main volatile compounds in BDSO were aldehydes and esters. BDSO also exhibited antioxidant ability in a dose-dependent manner. Moreover, normal and cancer cells incubated with BDSO had survival rates of more than 85%, which indicates that BDSO is not cytotoxic. Based on these results, the BDSO extracted by the SC-CO2 method could potentially be used in other applications, e.g., those that involve using berries of B. dasystachya. Full article
(This article belongs to the Section Natural Products Chemistry)
Show Figures

Figure 1

14 pages, 2425 KB  
Article
Multidimensional Benefits of Improved Sanitation: Evaluating ‘PEE POWER®’ in Kisoro, Uganda
by Jiseon You, Chad Staddon, Alan Cook, James Walker, Jess Boulton, Wayne Powell and Ioannis Ieropoulos
Int. J. Environ. Res. Public Health 2020, 17(7), 2175; https://doi.org/10.3390/ijerph17072175 - 25 Mar 2020
Cited by 18 | Viewed by 5277
Abstract
With 2.3 billion people around the world lacking adequate sanitation services, attention has turned to alternative service provision models. This study suggests an approach for meeting the sanitation challenge, especially as expressed in Sustainable Development Goal 6.2, using a toilet technology system, such [...] Read more.
With 2.3 billion people around the world lacking adequate sanitation services, attention has turned to alternative service provision models. This study suggests an approach for meeting the sanitation challenge, especially as expressed in Sustainable Development Goal 6.2, using a toilet technology system, such as Pee Power® that generates electricity using diverted urine as a fuel. A field trial was carried out in a girls’ school in Kisoro, Uganda, where the generated electricity was used to light the existing toilet block. The trial was evaluated in terms of social acceptability and user experience using a multidimensional assessment protocol. The results of our assessment show that users felt safer when visiting the toilets at night. Lights provided from the technology also helped with the perceived cleanliness of the toilets. The technology was well accepted, with 97% of the respondents saying that they liked the idea of the Pee Power® technology and 94% preferring it over other facilities on site. This shows how the technology helps meet SDG target 6.2, with its particular focus on vulnerable populations. Full article
(This article belongs to the Special Issue New Directions in Water, Sanitation and Hygiene Research)
Show Figures

Figure 1

16 pages, 805 KB  
Article
Propolis Extract as Antioxidant to Improve Oxidative Stability of Fresh Patties during Refrigerated Storage
by Rey David Vargas-Sánchez, Gastón Ramón Torrescano-Urrutia, Brisa del Mar Torres-Martínez, Mirian Pateiro, José Manuel Lorenzo and Armida Sánchez-Escalante
Foods 2019, 8(12), 614; https://doi.org/10.3390/foods8120614 - 24 Nov 2019
Cited by 33 | Viewed by 5887
Abstract
The effect of propolis ethanol extract (PEE), butylated hydroxytoluene (BHT), and ascorbic acid (Asc) against lipid (Lox) and protein oxidation (Pox), color deterioration, and the antioxidant stabilizer of raw beef and pork patties during chilled storage (9 days at 2 °C/under darkness) was [...] Read more.
The effect of propolis ethanol extract (PEE), butylated hydroxytoluene (BHT), and ascorbic acid (Asc) against lipid (Lox) and protein oxidation (Pox), color deterioration, and the antioxidant stabilizer of raw beef and pork patties during chilled storage (9 days at 2 °C/under darkness) was investigated. Total phenolic content (TPC), reducing power ability (RPA), DPPH radical scavenging activity (FRSA) of the PEE was evaluated. Meat samples were evaluated for pH, Lox (TBARS), Pox (Carbonyls), color (L*, a*, b*, C*, and h*), metmyoglobin formation (MMb), TPC, RPA, and FRSA. Results indicated that PEE is rich in phenolic content and antioxidant activity, and their incorporation in beef and pork patties reduced (p < 0.05) Lox and Pox (TBARS-88.7 and 80% inhibition; Pox-47.3 and 30.6% inhibition, respectively), as well as loss of color and increased the oxidative stability throughout storage. Full article
(This article belongs to the Special Issue Recent Research Advances in Meat Products)
Show Figures

Graphical abstract

15 pages, 2045 KB  
Article
UHPLC-MS Metabolome Fingerprinting: The Isolation of Main Compounds and Antioxidant Activity of the Andean Species Tetraglochin ameghinoi (Speg.) Speg.
by Lorena Luna, Mario J. Simirgiotis, Beatriz Lima, Jorge Bórquez, Gabriela E. Feresin and Alejandro Tapia
Molecules 2018, 23(4), 793; https://doi.org/10.3390/molecules23040793 - 29 Mar 2018
Cited by 13 | Viewed by 5025
Abstract
The seriated extracts of petroleum ether (PE-E), dichloromethane (DCM-E) and methanol extracts (MeOH-E) from the aerial parts of the native South American plant Tetraglochin ameghinoi (Rosaceae), were evaluated regarding their antioxidant and antibacterial activities. The antioxidant properties were evaluated by free radical scavenging [...] Read more.
The seriated extracts of petroleum ether (PE-E), dichloromethane (DCM-E) and methanol extracts (MeOH-E) from the aerial parts of the native South American plant Tetraglochin ameghinoi (Rosaceae), were evaluated regarding their antioxidant and antibacterial activities. The antioxidant properties were evaluated by free radical scavenging methods (DPPH and TEAC), ferric-reducing antioxidant power (FRAP) and lipoperoxidation in erythrocytes (LP), while the antibacterial activity was performed against Gram-positive and Gram-negative bacteria according to the Clinical and Laboratory Standards Institute (CLSI) guidelines. The chemical and biological analyses of this plant are very important since this bush is currently used in traditional medicine as a cholagogue and digestive. The polar MeOH-E showed the highest antioxidant activities (17.70 µg/mL in the DPPH assay, 381.43 ± 22.38 mM TE/g extract in the FRAP assay, 387.76 ± 91.93 mg TE/g extract in the TEAC assay and 93.23 + 6.77% in the LP assay) and it was selected for chromatographic isolation of its components. These components were found to be four acetophenones, including the new phloracetophenone glucoside: 4′,6′,-dihydroxy-2′-O-(6″-acetyl)-β-d-glucopyranosylacetophenone or IUPAC name: (6-(2-acetyl-3,5-dihydroxyphenoxy)-3,4,5-trihydroxytetrahydro-2H-pyran-2-yl)methyl acetate, whose structure was elucidated by NMR and MS methods. In addition, twenty-six compounds, including five of these acetophenone derivatives, two sugars, six flavonoids, eleven phenolic acids and two triterpenes, were identified based on UHPLC-OT-MS and PDA analysis on the MeOH-E. The results support the medicinal use of the plant. Full article
(This article belongs to the Special Issue The Antioxidant Capacities of Natural Products)
Show Figures

Figure 1

13 pages, 488 KB  
Article
Correlation between Antioxidant Activities and Phenolic Contents of Radix Angelicae Sinensis (Danggui)
by Xican Li, Xiaoting Wu and Ling Huang
Molecules 2009, 14(12), 5349-5361; https://doi.org/10.3390/molecules14125349 - 21 Dec 2009
Cited by 223 | Viewed by 17924
Abstract
Radix Angelicae Sinensisis (RAS) is one of the most popular traditional Chinese herbal medicines. In the present study, six RAS extracts (i.e., phenolic extract PE, petroleum ether extract PEE, ethyl acetate extract EAE, absolute ethanol extract AEE, 95% ethanol extract 95 [...] Read more.
Radix Angelicae Sinensisis (RAS) is one of the most popular traditional Chinese herbal medicines. In the present study, six RAS extracts (i.e., phenolic extract PE, petroleum ether extract PEE, ethyl acetate extract EAE, absolute ethanol extract AEE, 95% ethanol extract 95 EE, and water extract WE) were prepared and their antioxidant activities measured by DPPH (1,1-diphenyl-2-picrylhydrazyl radical), ABTS [2,2′-azino-bis(3- ethylbenzothiazoline-6-sulfonic acid diammonium salt)], Reducing power, •O2– and lipid peroxidation assays. In general, PE, PEE and EAE had relatively high antioxidant activity, followed by AEE with moderate activity, as compared with 95 EE and WE that had low activity. Their phenolic contents (including total phenolic, ferulic acid, caffeic acid, same as below) were then determined by HPLC or spectrophotometry. The sequence of phenolic contents was roughly identical with that of antioxidant activity. When the values of 1/IC50 of various antioxidant assays were used to evaluate the level of antioxidant of the RAS extracts, (plot between 1/IC50 values and phenolic contents), the correlation coefficient (R) ranged from 0.642 to 0.941, with an average value of 0.839. Significant positive correlations demonstrated that the antioxidant effects of RAS might generally be considered a result of the presence of the phenolic compounds, especially ferulic acid and caffeic acid. Full article
Show Figures

Figure 1

Back to TopTop