Due to scheduled maintenance work on our servers, there may be short service disruptions on this website between 11:00 and 12:00 CEST on March 28th.
Sign in to use this feature.

Years

Between: -

Subjects

remove_circle_outline
remove_circle_outline
remove_circle_outline
remove_circle_outline
remove_circle_outline
remove_circle_outline
remove_circle_outline
remove_circle_outline
remove_circle_outline

Journals

remove_circle_outline
remove_circle_outline
remove_circle_outline
remove_circle_outline
remove_circle_outline
remove_circle_outline
remove_circle_outline
remove_circle_outline
remove_circle_outline
remove_circle_outline
remove_circle_outline
remove_circle_outline
remove_circle_outline
remove_circle_outline
remove_circle_outline
remove_circle_outline
remove_circle_outline
remove_circle_outline
remove_circle_outline

Article Types

Countries / Regions

remove_circle_outline
remove_circle_outline
remove_circle_outline
remove_circle_outline
remove_circle_outline
remove_circle_outline
remove_circle_outline

Search Results (758)

Search Parameters:
Keywords = Panama

Order results
Result details
Results per page
Select all
Export citation of selected articles as:
17 pages, 1754 KB  
Article
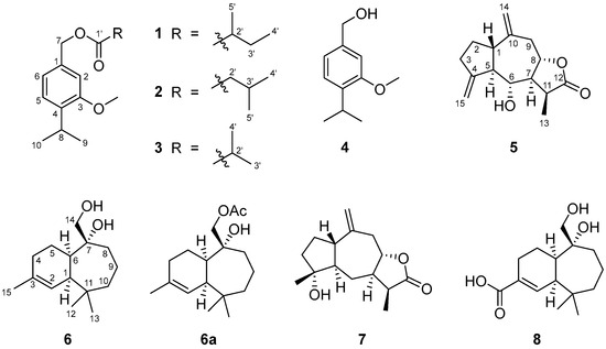
Isolation and Characterization of Terpenoids with Promising Biopesticide Activity from Dittrichia viscosa (L.) Roots
by María José Segura-Navarro, José Francisco Quílez del Moral, Alberto Galisteo, José Luis López-Pérez, Diego O. Molina Inzunza, María Fe Andrés, Azucena González-Coloma and Alejandro Fernández Barrero
Int. J. Mol. Sci. 2026, 27(7), 2949; https://doi.org/10.3390/ijms27072949 - 24 Mar 2026
Abstract
The natural product composition of the hexane and methyl tert-butyl ether extracts of Dittrichia viscosa roots was examined. Eight terpenoids were identified by nuclear magnetic resonance (NMR) and high resolution mass spectroscometry (HRMS) techniques, four of which (1, 5, [...] Read more.
The natural product composition of the hexane and methyl tert-butyl ether extracts of Dittrichia viscosa roots was examined. Eight terpenoids were identified by nuclear magnetic resonance (NMR) and high resolution mass spectroscometry (HRMS) techniques, four of which (1, 5, 6 and 8) are reported here for the first time as natural products. Of these eight compounds, four are thymol derivatives (14), two are guaianolides (5 and 7) and two are himachalanes (6 and 8). Additionally, the occurrence of himachalanes in this species is reported for the first time. Furthermore, a study of the potential plant protection effects of some of these natural products and the chemical derivative 6a was carried out. Promising preliminary results were obtained for compounds 13 and 6a as antifeedant agents against Spodoptera littoralis; 13 and 5 against Myzus persicae; 13 against Rhopalosiphum padi; and 4 as nematicide against Meloidogyne javanica. Finally, the phytotoxic activity of compounds 4, 5 and 6a against the monocotyledonous species Lolium perenne was also proven. Full article
(This article belongs to the Collection 30th Anniversary of IJMS: Updates and Advances in Biochemistry)
Show Figures

Graphical abstract

27 pages, 18731 KB  
Article
Intelligent Analysis of Data Flows for Real-Time Classification of Traffic Incidents
by Gary Reyes, Roberto Tolozano-Benites, Cristhina Ortega-Jaramillo, Christian Albia-Bazurto, Laura Lanzarini, Waldo Hasperué, Dayron Rumbaut and Julio Barzola-Monteses
Information 2026, 17(3), 310; https://doi.org/10.3390/info17030310 - 23 Mar 2026
Viewed by 141
Abstract
Social media platforms have been established as relevant sources of real-time information for urban traffic analysis. This study proposes an intelligent framework for the classification and spatiotemporal analysis of traffic incidents based on semi-synthetic data streams constructed from historical geolocated seeds for controlled [...] Read more.
Social media platforms have been established as relevant sources of real-time information for urban traffic analysis. This study proposes an intelligent framework for the classification and spatiotemporal analysis of traffic incidents based on semi-synthetic data streams constructed from historical geolocated seeds for controlled validation, utilizing real reports from platforms such as X and Telegram. The approach integrates adaptive machine learning and incremental density-based clustering. An Adaptive Random Forest (ARF) incremental classifier is used to identify the type of incident, allowing for continuous updating of the model in response to changes in traffic flow and concept drift. The classified events are then processed using DenStream, a clustering algorithm that incorporates a temporal decay mechanism designed to identify dynamic spatial patterns and discard older information. The evaluation is performed in a controlled streaming simulation environment that replicates the dynamics of cities such as Panama and Guayaquil. The proposed framework demonstrated robust quantitative performance, achieving a prequential accuracy of up to 86.4% and a weighted F1-score of 0.864 in the Panama scenario, maintaining high stability against semantic noise. The results suggest that this hybrid architecture is a highly viable approach for urban traffic monitoring, providing useful information for Intelligent Transportation Systems (ITS) by processing authentic social signals. Full article
(This article belongs to the Section Artificial Intelligence)
Show Figures

Figure 1

32 pages, 796 KB  
Article
Analysis of Cross-Cultural Trust and Vehicle Operation Metrics for Self-Driving Cars
by Steven Tolbert and Mehrdad Nojoumian
World Electr. Veh. J. 2026, 17(3), 161; https://doi.org/10.3390/wevj17030161 - 22 Mar 2026
Viewed by 174
Abstract
This paper presents an exploratory cross-cultural analysis of autonomous vehicle expectations through a 57-question survey distributed in the United States (n = 50), Germany (n = 66), and Panama (n = 41). Five scales are presented and validated: Driving Behavior [...] Read more.
This paper presents an exploratory cross-cultural analysis of autonomous vehicle expectations through a 57-question survey distributed in the United States (n = 50), Germany (n = 66), and Panama (n = 41). Five scales are presented and validated: Driving Behavior Aggressiveness (DBA), Self-Driving Car Aggressiveness (SDCA), Artificial Intelligence (AI) Trust (AIT), AI Driving Mechanics Trust (AIDMT), and Driver Safety Score (DSS). Each scale is validated via confirmatory factor analysis and multi-group measurement invariance testing. Results show that drivers prefer a self-driving car driving style more conservative than their own; however, participants who are more trustful of AI show DBA–SDCA equivalence, consistent with acceptance of a driving style comparable to their own. Significant cross-cultural differences emerge, with Panama diverging from the United States and Germany on DBA, SDCA, AIDMT, and DSS; these country effects largely persist after controlling for demographics. These findings suggest that self-driving car behaviors should be tailored to regional expectations and passenger trust profiles to improve adoption. Full article
(This article belongs to the Section Automated and Connected Vehicles)
Show Figures

Figure 1

21 pages, 4620 KB  
Article
Precision Agriculture Management System and Traceability Architecture in Specialty Coffee Farms in Chiriquí, Panama
by Elia E. Cano, Milva Eileen Justavino-Castillo, Jorge Centeno, Marlín Villamil-Barrios, Aracelly Vega and Carlos Alvino Rovetto
Appl. Sci. 2026, 16(5), 2399; https://doi.org/10.3390/app16052399 - 28 Feb 2026
Viewed by 295
Abstract
The management of specialty coffee production represents a complex dynamical process characterized by highly nonlinear interconnections between environmental variables, agronomic practices, and chemical compositions. Traditionally, the classification of specialty coffee relies on sensory evaluations conducted by highly certified coffee experts named Q-Graders, using [...] Read more.
The management of specialty coffee production represents a complex dynamical process characterized by highly nonlinear interconnections between environmental variables, agronomic practices, and chemical compositions. Traditionally, the classification of specialty coffee relies on sensory evaluations conducted by highly certified coffee experts named Q-Graders, using a strict, standardized Specialty Coffee Association (SCA) protocol. However, scientific methods that generate spectral fingerprints provide a more reliable guarantee of quality while also ensuring traceability to the farm of origin. Panamanian Geisha coffee is one of the world’s most expensive award-winning microlots, frequently exceeding 1000 American dollars per pound, with a record-breaking price of over 30,000 American dollars per kilogram in 2025. This research presents an integrated framework that combines Precision Agriculture Management Systems (PAMSs) and a traceability architecture that facilitates the collection of georeferenced coffee bean samples using a mobile application (apps), while preserving the coffee varieties and geographical origin necessary for the subsequent identification of the spectral fingerprint by chemical specialists in their laboratory. A mathematical model is introduced to formally characterize the mobile application’s behavior, distributed structure, and inherent constraints. Serving as a mathematical blueprint, this model identifies critical influencing factors and establishes strategic assumptions to distill complex real-world variables into a rigorous, manageable framework. Large-scale experiments conducted across more than 820 coffee farms in Chiriquí, Panama, demonstrate that the proposed decentralized architecture effectively coordinates the acquisition and synchronization of georeferenced chemical data. The decentralized architecture of the mobile application utilizes private blockchain technology to facilitate autonomous operations, effectively decoupling the system from central authorities to ensure functional continuity in environments characterized by intermittent connectivity. Full article
(This article belongs to the Special Issue Intelligent Control of Dynamical Processes and Systems)
Show Figures

Figure 1

45 pages, 2170 KB  
Systematic Review
From Precision Agriculture to Intelligent Agricultural Ecosystems: A Systematic Review of Machine Learning and Big Data Applications
by Ania Cravero, Samuel Sepúlveda, Fernanda Gutiérrez and Lilia Muñoz
Agronomy 2026, 16(5), 516; https://doi.org/10.3390/agronomy16050516 - 27 Feb 2026
Viewed by 757
Abstract
This systematic review analyzes the evolution of Machine Learning and Big Data applications in agriculture from 2021 to 2025, with particular emphasis on how recent technological advances facilitate the transition from precision agriculture to Intelligent Agricultural Ecosystems. A comprehensive literature search was conducted [...] Read more.
This systematic review analyzes the evolution of Machine Learning and Big Data applications in agriculture from 2021 to 2025, with particular emphasis on how recent technological advances facilitate the transition from precision agriculture to Intelligent Agricultural Ecosystems. A comprehensive literature search was conducted across Scopus, Web of Science, IEEE Xplore, the ACM Digital Library, SpringerLink, and MDPI, following the PRISMA 2020 guidelines. After duplicate removal and a two-stage screening process (title/abstract screening followed by full-text assessment), eligible peer-reviewed studies were systematically extracted using a structured coding matrix encompassing six analytical domains: crops, soil, weather and water, land use, animal systems, and farmer decision-making. The findings reveal a substantial increase in ML-driven agricultural analytics. Although Random Forest and Convolutional Neural Networks remain widely adopted, recent studies demonstrate a marked shift toward advanced Deep Learning architectures, integrated cloud–edge–device infrastructures, Federated Learning frameworks for privacy-preserving collaboration, Explainable AI techniques to enhance transparency, and governance-oriented mechanisms to ensure interoperability. Notwithstanding these advances, several persistent challenges remain, including limited generalizability across diverse agroclimatic contexts, the high costs associated with high-quality data annotation, the integration of heterogeneous and multimodal datasets, and infrastructural constraints related to connectivity. These developments are synthesized within the IAE conceptual framework, underscoring governance- and lifecycle-aware orchestration MLOps as a critical differentiator that transcends purely technology-centric approaches. Full article
Show Figures

Figure 1

21 pages, 2877 KB  
Article
Comprehensive Characterization of Lantana camara Essential Oil from Angola: GC-MS Profiling, Antioxidant Capacity, and Drug-likeness Prediction
by Nswadi Kinkela, Abdy Morales, Hugo A. Sánchez-Martínez, Maricselis Díaz, Nsevolo Samba, Monizi Mawunu, Juan A. Morán-Pinzón, Lúcia Silva, Jesus M. Rodilla and Estela Guerrero De León
Antioxidants 2026, 15(3), 291; https://doi.org/10.3390/antiox15030291 - 26 Feb 2026
Viewed by 453
Abstract
Lantana camara L. (Verbenaceae) is a medicinal plant widely used in traditional medicine in Angola, especially for its anti-inflammatory effects. This study evaluated the chemical composition of L. camara essential oil from leaves (Lc-EO) collected in Uíge Province, Angola. GC–MS analysis [...] Read more.
Lantana camara L. (Verbenaceae) is a medicinal plant widely used in traditional medicine in Angola, especially for its anti-inflammatory effects. This study evaluated the chemical composition of L. camara essential oil from leaves (Lc-EO) collected in Uíge Province, Angola. GC–MS analysis enabled the identification of 96 volatile compounds, with sesquiterpenes and monoterpenes as the predominant constituents. Among them, β-caryophyllene (14.49%), sabinene (9.13%), bicyclogermacrene (8.18%), α-humulene (5.66%), nerolidol (5.29%), and 1,8-cineole (5.14%) were identified as major components. The antioxidant activity of Lc-EO was assessed using DPPH, ABTS, and superoxide anion (O2•−) assays. Lc-EO showed strong activity in the DPPH assay (IC50 = 0.72 µg/mL), moderate activity in the ABTS assay (IC50 = 87.5 µg/mL), but minimal effect on O2•− radicals (IC50 = 1491 µg/mL). It also significantly inhibited lipid peroxidation (IC50 = 236.2 µg/mL). The anti-inflammatory activity of Lc-EO was assessed through its ability to inhibit protein denaturation, exhibiting a moderate effect with 28% inhibition. In silico ADMET predictions suggested drug-like properties and low predicted systemic toxicity for major compounds. The Artemia salina lethality assay indicated moderate general toxicity (IC50 = 154.1 µg/mL), whereas the MTT viability assay revealed higher cytotoxic potency of Lc-EO (IC50 = 31.58 µg/mL), highlighting model-dependent differences in sensitivity. Overall, L. camara essential oil shows relevant bioactivity consistent with its traditional use, particularly antioxidant and anti-inflammatory effects, while its cytotoxicity highlights the need for safety evaluation. These findings indicate that the assayed oil is a promising source of bioactive compounds, but further studies are required to support its development as a safe pharmaceutical raw material. Full article
(This article belongs to the Special Issue Antioxidant Capacity of Natural Products—3rd Edition)
Show Figures

Figure 1

1 pages, 149 KB  
Correction
Correction: Murillo et al. Changes in the Carotenoids of Zamia dressleri Leaves during Development. Plants 2024, 13, 1251
by Enrique Murillo, Veronika Nagy, Dania Menchaca, József Deli and Attila Agócs
Plants 2026, 15(5), 698; https://doi.org/10.3390/plants15050698 - 26 Feb 2026
Viewed by 166
Abstract
There was an error in the original publication [...] Full article
(This article belongs to the Section Phytochemistry)
12 pages, 844 KB  
Article
Silent Outbreaks of Candida duobushaemulonii in a Pediatric Ward in Brazil
by Daniel Wagner de Castro Lima Santos, Bram Spruijtenburg, Eelco F. J. Meijer, Dayse Azevedo Coelho de Souza, Conceição de Maria Pedrozo e Silva de Azevedo and Jacques F. Meis
Antibiotics 2026, 15(3), 237; https://doi.org/10.3390/antibiotics15030237 - 25 Feb 2026
Viewed by 410
Abstract
Background: While Candida auris is well known to cause hospital outbreaks, other species in the C. haemulonii complex are less well documented but gained attention as opportunistic pathogens. Only one documented outbreak has been published. We describe the second, silent, fungemia outbreak [...] Read more.
Background: While Candida auris is well known to cause hospital outbreaks, other species in the C. haemulonii complex are less well documented but gained attention as opportunistic pathogens. Only one documented outbreak has been published. We describe the second, silent, fungemia outbreak due to antifungal-susceptible C. duobushaemulonii. Methods: We retrospectively genotyped six C. duobushaemulonii bloodstream isolates, collected in a 4-month-period in 2022 (n = 4) and during a week in 2024 (n = 2) in pediatric patients in Brazil. Whole genome sequencing (WGS) was done and compared to n = 33 publicly available genomes, including four cases from an outbreak in Panama. Antifungal susceptibility was performed with the reference CLSI method. Results: MALDI-TOF-MS identified isolates as either C. pseudohaemulonii or C. duobushaemulonii albeit with low scores. ITS sequence analyses confirmed all isolates as C. duobushaemulonii. WGS proved the presence of an outbreak among four pediatric patients in 2022 and a genetically distinct cluster of two cases in 2024. All six isolates were susceptible to azoles and echinocandins and were interpreted as being resistant to amphotericin B with a MIC at breakpoint of 2 µg/mL. Conclusions: This study describes the second documented outbreak due to the rare yeast C. duobushaemulonii, belonging to the C. haemulonii species complex, during 2022–2024 in patients admitted to a pediatric oncology ward in a Brazilian hospital. Full article
Show Figures

Figure 1

27 pages, 803 KB  
Review
Harmful Cyanobacterial Blooms in Tropical and Neotropical Freshwaters: Environmental Drivers, Toxin Dynamics, and Management Gaps
by Gabriela García, Sergio de los Santos Villalobos, Pablo Gutiérrez-Moreno and Kathia Broce
Water 2026, 18(4), 510; https://doi.org/10.3390/w18040510 - 20 Feb 2026
Viewed by 508
Abstract
Cyanobacterial blooms are intensifying globally under climate warming, eutrophication, and hydrological alteration, yet most mechanistic understanding derives from temperate lakes. Tropical and neotropical freshwaters operate under persistently warm conditions, weak seasonality, and hydrological variability that can sustain extended bloom windows and alter toxin [...] Read more.
Cyanobacterial blooms are intensifying globally under climate warming, eutrophication, and hydrological alteration, yet most mechanistic understanding derives from temperate lakes. Tropical and neotropical freshwaters operate under persistently warm conditions, weak seasonality, and hydrological variability that can sustain extended bloom windows and alter toxin production patterns spatiotemporally, requiring targeted synthesis. This review synthesizes recent experimental and field evidence, complemented by foundational frameworks, to evaluate cyanobacterial diversity, functional ecology, and cyanotoxin dynamics in tropical freshwater habitats. We highlight recurring trait syndromes, coordinated sets of physiological and functional traits, that recur across warm systems, including buoyancy regulation, diazotrophy, and thermal tolerance, which confer competitive advantages under warm, nutrient-rich conditions. These traits are prominent in dominant genera such as Microcystis, Raphidiopsis, and Planktothrix. We assess how temperature, nutrient stoichiometry, water residence time, and light interact to modulate bloom persistence and toxin production. We summarize appropriate monitoring and management approaches suited to warm, hydrologically dynamic basins. These including strategies addressing internal loading and integrated early-warning frameworks combining molecular tools and remote sensing. Substantial gaps persist in toxin quantification, biogeochemical fluxes, molecular surveillance, and coordinated risk assessment across the tropics. We argue that region-specific, integrative frameworks are urgently needed to improve early-warning capacity and mitigate cyanoHAB risks in tropical freshwater ecosystems. Full article
Show Figures

Graphical abstract

62 pages, 4314 KB  
Review
Checklist and Review of Population Genetic Studies with Molecular Markers Applied to the Wild Cat Species Present in Colombia for Conservation Purposes
by Manuel Ruiz-García
Animals 2026, 16(4), 629; https://doi.org/10.3390/ani16040629 - 16 Feb 2026
Viewed by 342
Abstract
At least seven species of wild cats inhabit Colombia, and these species are also distributed throughout Mexico, Central America, and the rest of South America (jaguar, puma, jaguarundi, ocelot, margay, tigrina, and Pampas cat). A checklist and review of phylogeographic and population genetic [...] Read more.
At least seven species of wild cats inhabit Colombia, and these species are also distributed throughout Mexico, Central America, and the rest of South America (jaguar, puma, jaguarundi, ocelot, margay, tigrina, and Pampas cat). A checklist and review of phylogeographic and population genetic studies on these seven wild cat species has been conducted here, as this information is vital for effective conservation programs. The jaguar is the feline species on which the most population genetic studies have been carried out in the Neotropics. In general, little genetic structure has been found at a macro-geographic scale. Genetic diversity is high in countries such as Colombia, Peru, and Bolivia, and generally throughout the Amazon basin. However, genetic diversity is more moderate or even significantly lower in Mexico and the Brazilian Atlantic Forest. Much of the genetic research on the jaguar has focused on Brazil, Mexico, and Belize, but Colombia is also very well represented in these studies. However, there is a complete or very pronounced lack of data in other areas such as Venezuela, the Guianas, some Central American countries, Paraguay, and northern Argentina. After the jaguar, the most studied feline in Neotropics from a population genetics perspective is the puma. In North America, this species has low genetic diversity, while the diversity in Central America is moderate, and South America is where genetic diversity is highest. The countries best represented in these studies are Brazil (southern of the country), Mexico, Belize, and Argentina. However, countries like Colombia, Ecuador, Peru, and Paraguay are very poorly represented in puma genetic studies. Very few genetic studies have been conducted on the jaguarundi, despite its vast geographic distribution. In northern Mexico, its genetic diversity is very low, but in countries like Colombia, Peru, and Bolivia, genetic diversity is very high. Colombia is probably the country where jaguarundis have been genetically studied most extensively. The third wild cat species with the most molecular studies in Neotropics is the ocelot, although it lags considerably behind jaguars and pumas. Its genetic diversity is low in Texas and northern Mexico, but very high, especially in countries surrounding the Amazon basin. A good number of macro-geographic studies have been conducted on the ocelot, and these studies are very representative of ocelots in countries such as Colombia (probably the best represented country), Ecuador, Peru, Bolivia, Panama, and Costa Rica. However, there are other countries where molecular studies of the ocelot have not been carried out, such as Paraguay and Argentina, with the lack of such studies in Brazil being particularly noteworthy. Very few molecular studies have been conducted on the margay. In general, its genetic diversity is very high in all the studies performed. Colombia, Peru and Bolivia are very well represented, but the lack of molecular studies in Mexico, much of Central America, and South American countries such as Brazil, Paraguay, and Argentina is striking. The tigrina is one of the Neotropical wild cat species that requires the most molecular studies to unravel its complex systematics. Only the southern Brazilian tigrina (Leopardus guttulus), which was elevated to a new species, has generated comprehensive molecular information. Molecular studies of the Andean tigrina have revealed a very complex picture that, at present, does not allow us to know exactly how many species or taxa inhabit that area of South America and, therefore, to develop a conservation program that adequately correlates with that number of taxa. Finally, in the case of the Pampas cat, molecular studies are well represented with specimens from Peru, Bolivia, Chile, Argentina, Brazil and Uruguay. Studies are needed in Paraguay, and especially in Ecuador and southern Colombia (assuming a stable population of Pampas cats exists in the latter country), where even at the molecular level, the specific taxon (one species or five species) present has not yet been determined. All this information is essential for developing effective regional and global conservation programs for these magnificent creatures. In Colombia, the development of molecular studies with the puma, the tigrina, and the Pampas cat is of special interest. Full article
(This article belongs to the Section Animal Genetics and Genomics)
Show Figures

Figure 1

1 pages, 181 KB  
Retraction
RETRACTED: Johnson et al. Effect of Education on Adherence to Recommended Prenatal Practices Among Indigenous Ngäbe–Buglé Communities of Panama. Medicina 2024, 60, 1055
by Sabrina M. Johnson, Erin N. Kelly, Benjamin LaBrot and Kristen Ryczak
Medicina 2026, 62(2), 383; https://doi.org/10.3390/medicina62020383 - 14 Feb 2026
Viewed by 253
Abstract
The journal retracts the article titled “Effect of Education on Adherence to Recommended Prenatal Practices among Indigenous Ngäbe–Buglé Communities of Panama” [...] Full article
16 pages, 1355 KB  
Article
Analysis of Leachates in Activated Char from Textile Sources: Implications for Their Use as Adsorbents
by Lourdes Arjona, Mónica Calero, M. Alejandra Quintana, Rafael R. Solís and María Ángeles Martín-Lara
Appl. Sci. 2026, 16(4), 1870; https://doi.org/10.3390/app16041870 - 13 Feb 2026
Viewed by 224
Abstract
Textile waste management remains a critical environmental challenge. Valorization through thermochemical routes such as pyrolysis offers a sustainable pathway within the circular economy. In this study, carbonaceous materials were obtained from the pyrolysis of 100% cotton textile residues and subsequently activated with sodium [...] Read more.
Textile waste management remains a critical environmental challenge. Valorization through thermochemical routes such as pyrolysis offers a sustainable pathway within the circular economy. In this study, carbonaceous materials were obtained from the pyrolysis of 100% cotton textile residues and subsequently activated with sodium thiosulfate (Na2S2O3). The physicochemical and leaching behaviors of the activated (CA) and non-activated (C) chars were assessed in aqueous solution under controlled pH conditions (3, 7, and 11). Activation significantly increased the specific surface area (from 90 to 975 m2 g−1). Leaching tests revealed that acidic conditions (pH = 3) enhanced the release of major elements following the order Na > Ca > K for C and S > Ca > Na for CA. Despite this, all concentrations of major and trace metals remained well below regulatory discharge limits. Anionic species (Cl, SO42−) increased slightly after activation but also stayed within safe thresholds, and chemical oxygen demand (COD) values were low (0–9 mg O2 L−1), indicating negligible organic leaching. Overall, the findings show that the structural quality of textile-derived chars was improved by Na2S2O3 activation without compromising their environmental stability, validating their applicability as effective and safe adsorbents for wastewater treatment applications. Full article
Show Figures

Figure 1

13 pages, 925 KB  
Review
Marine Pollution in Panama: A Bibliometric Approach to Knowledge Gaps and Institutional Influence
by Nelva E. Alvarado-González, Yulissa De Gracia, Jenifer Ortega, Maricselis Díaz, Yostin Añino, Xabier Lekube, Maren Ortiz-Zarragoitia and Beñat Zaldibar
Water 2026, 18(3), 426; https://doi.org/10.3390/w18030426 - 6 Feb 2026
Viewed by 610
Abstract
Human activities in Panama, such as agriculture, industry, and transport, have led to the release of pollutants that affect the health of marine and coastal ecosystems. However, there is a lack of bibliographic compilation studies to understand the current state of research on [...] Read more.
Human activities in Panama, such as agriculture, industry, and transport, have led to the release of pollutants that affect the health of marine and coastal ecosystems. However, there is a lack of bibliographic compilation studies to understand the current state of research on marine pollution in Panama. In recent years, bibliometric studies have attracted attention due to the development of new analytical and integrative online tools. This study conducts a bibliometric analysis of marine pollution and its environmental effects on Panama’s coastal areas. The results show consistent growth in scientific production, with increased collaboration among researchers. However, the involvement of national institutions is limited, highlighting the need to strengthen local research. Most publications focus on environmental sciences, with a recent shift towards studying a broader range of pollutants. Full article
(This article belongs to the Section Oceans and Coastal Zones)
Show Figures

Graphical abstract

25 pages, 3157 KB  
Article
Cross-National Patterns of Quality of Life According to HDI Levels: A Multivariate Approach Using Partial Triadic Analysis
by Mitzi Cubilla-Montilla, Andrés Castillo and Carlos A. Torres-Cubilla
Reg. Sci. Environ. Econ. 2026, 3(1), 2; https://doi.org/10.3390/rsee3010002 - 3 Feb 2026
Viewed by 742
Abstract
Quality of life, as an essential component of sustainable development, is particularly relevant in transnational contexts characterized by deep inequalities in human development, equity, and social well-being. The objective of this paper is to analyze the temporal and spatial changes in transnational patterns [...] Read more.
Quality of life, as an essential component of sustainable development, is particularly relevant in transnational contexts characterized by deep inequalities in human development, equity, and social well-being. The objective of this paper is to analyze the temporal and spatial changes in transnational patterns of quality of life observed between 2018 and 2025, taking into account levels of human development. To this end, multivariate statistical techniques were applied: partial triadic analysis, which allows the identification of both the common structure of the data and the temporal evolution of the indicators, together with the HJ-Biplot and cluster analysis, which provide a multidimensional and interpretable visualization of country profiles. The results reveal consistent configurations of quality of life, largely aligned with levels of human development, and highlight persistent inequalities in environmental quality, economic accessibility, and objective well-being. These findings are relevant for the formulation of policies aimed at enhancing population well-being, particularly in countries facing structural constraints despite their high levels of development. The contribution of this research lies in its three-dimensional, dynamic, and reproducible approach, which makes it possible to identify regional contrasts that are not visible through traditional methods based on unidimensional indicators or cross-sectional analyses. Full article
Show Figures

Figure 1

26 pages, 12579 KB  
Article
Detecting Ship-to-Ship Transfer by MOSA: Multi-Source Observation Framework with SAR and AIS
by Peixin Cai, Bingxin Liu, Xiaoyang Li, Xinhao Li, Siqi Wang, Peng Liu, Peng Chen and Ying Li
Remote Sens. 2026, 18(3), 473; https://doi.org/10.3390/rs18030473 - 2 Feb 2026
Viewed by 687
Abstract
Ship-to-ship (STS) transfer has become a major concern for maritime security and regulatory authorities, as it is frequently exploited for smuggling and other illicit activities. Accurate and timely identification of STS events is therefore essential for effective maritime supervision. Existing monitoring approaches, however, [...] Read more.
Ship-to-ship (STS) transfer has become a major concern for maritime security and regulatory authorities, as it is frequently exploited for smuggling and other illicit activities. Accurate and timely identification of STS events is therefore essential for effective maritime supervision. Existing monitoring approaches, however, suffer from two inherent limitations: AIS-based surveillance is vulnerable to intentional signal shutdown or manipulation, and remote-sensing-based ship detection alone lacks digital identity information and cannot assess the legitimacy of transfer activities. To address these challenges, we propose a Multi-source Observation framework with SAR and AIS (MOSA), which integrates SAR imagery with AIS data. The framework consists of two key components: STS-YOLO, a high-precision fine-grained ship detection model, in which a dynamic adaptive feature extraction (DAFE) module and a multi-attention mechanism (MAM) are introduced to enhance feature representation and robustness in complex maritime SAR scenes, and the SAR-AIS Consistency Analysis Workflow (SACA-Workflow), designed to identify suspected abnormal STS behaviors by analyzing inconsistencies between physical and digital ship identities. Experimental results on the SDFSD-v1.5 dataset demonstrate the quantitative performance gains and improved fine-grained detection performance of STS-YOLO in terms of standard detection metrics. In addition, generalization experiments conducted on large-scene SAR imagery from the waters near Panama and Singapore, in addition to multi-satellite SAR data (Capella Space and Umbra) from the Gibraltar region, validate the cross-regional and cross-sensor robustness of the proposed framework. The effectiveness of the SACA-Workflow is evaluated qualitatively through representative case studies. In all evaluated scenarios, the SACA-Workflow effectively assists in identifying suspected abnormal STS events and revealing potential AIS inconsistency indicators. Overall, MOSA provides a robust and practical solution for multi-scenario maritime monitoring and supports reliable detection of suspected abnormal STS activities. Full article
(This article belongs to the Special Issue Remote Sensing in Maritime Navigation and Transportation)
Show Figures

Figure 1

Back to TopTop