Sign in to use this feature.

Years

Between: -

Subjects

remove_circle_outline
remove_circle_outline
remove_circle_outline
remove_circle_outline
remove_circle_outline
remove_circle_outline
remove_circle_outline
remove_circle_outline
remove_circle_outline

Journals

remove_circle_outline
remove_circle_outline
remove_circle_outline
remove_circle_outline
remove_circle_outline
remove_circle_outline
remove_circle_outline

Article Types

Countries / Regions

remove_circle_outline
remove_circle_outline
remove_circle_outline

Search Results (317)

Search Parameters:
Keywords = POD prediction

Order results
Result details
Results per page
Select all
Export citation of selected articles as:
18 pages, 1237 KB  
Article
Comparative Microbiome and Functional Profiling of Cowpea Kimchi Fermented Using Korean and Sichuan Techniques
by Luwei Wang, Bo Sun, Sa-ouk Kang and Rui Liu
Fermentation 2026, 12(1), 10; https://doi.org/10.3390/fermentation12010010 - 23 Dec 2025
Abstract
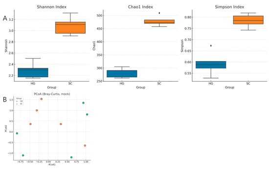
Fermented vegetables host complex microbiomes that drive flavor and functionality. We compared cowpea pod fermentations produced by a Korean kimchi-style method (HG) versus a Sichuan paocai-style method (SC) to isolate technique-driven effects on community structure and functional potential. Cowpea pods were fermented for [...] Read more.
Fermented vegetables host complex microbiomes that drive flavor and functionality. We compared cowpea pod fermentations produced by a Korean kimchi-style method (HG) versus a Sichuan paocai-style method (SC) to isolate technique-driven effects on community structure and functional potential. Cowpea pods were fermented for 10 days in triplicate, profiled by 16S rRNA (V3-V4) amplicon sequencing, analyzed in QIIME2, and functionally inferred with PICRUSt2. SC exhibited higher alpha diversity (Shannon, Chao1, Simpson) than HG (p < 0.05), and beta-diversity (Bray-Curtis dissimilarity) showed clear separation by fermentation style (PERMANOVA p = 0.001), indicating method-dependent community assembly. Both styles were dominated by lactic acid bacteria, chiefly Leuconostoc, Lactobacillus, and Weissella, but their proportions differed: HG retained higher Leuconostoc/Weissella, whereas SC favored Lactobacillus. Predicted functions diverged accordingly: HG was enriched for carbohydrate-metabolism genes (e.g., β-galactosidase; dextransucrase), consistent with rapid sugar fermentation and possible exopolysaccharide formation; SC showed enrichment of amino-acid-related pathways (e.g., acetolactate synthase; glutamate dehydrogenase), heterolactic fermentation, and γ-aminobutyric acid (GABA) biosynthesis, suggesting broader metabolic outputs relevant to flavor development and potential health attributes. Overall, fermentation technique substantially shapes both the microbiome and its predicted repertoire, with HG prioritizing carbohydrate catabolism and SC showing expanded metabolic potential; these insights can inform starter selection and process control for targeted product qualities. Full article
(This article belongs to the Section Fermentation for Food and Beverages)
Show Figures

Figure 1

14 pages, 12846 KB  
Article
Secondary Genetic Events and Their Relationship to TP53 Mutation in Mantle Cell Lymphoma: A Sub-Study from the FIL_MANTLE-FIRST BIO on Behalf of Fondazione Italiana Linfomi (FIL)
by Maria Elena Carazzolo, Francesca Maria Quaglia, Antonino Aparo, Alessia Moioli, Alice Parisi, Riccardo Moia, Francesco Piazza, Alessandro Re, Maria Chiara Tisi, Luca Nassi, Pietro Bulian, Alessia Castellino, Vittorio Ruggero Zilioli, Piero Maria Stefani, Alberto Fabbri, Elisa Lucchini, Annalisa Arcari, Luisa Lorenzi, Barbara Famengo, Maurilio Ponzoni, Angela Ferrari, Simone Ragaini, Jacopo Olivieri, Vittoria Salaorni, Simona Gambino, Marilisa Galasso, Maria Teresa Scupoli and Carlo Viscoadd Show full author list remove Hide full author list
Cancers 2025, 17(24), 4027; https://doi.org/10.3390/cancers17244027 - 17 Dec 2025
Viewed by 138
Abstract
Background: Mantle Cell Lymphoma (MCL) is an aggressive malignancy with variable clinical behavior, largely reflecting the underlying molecular heterogeneity. The genomic landscape of MCL encompasses gene mutations with strong prognostic implications and secondary genetic events, which are also implicated in the pathogenesis [...] Read more.
Background: Mantle Cell Lymphoma (MCL) is an aggressive malignancy with variable clinical behavior, largely reflecting the underlying molecular heterogeneity. The genomic landscape of MCL encompasses gene mutations with strong prognostic implications and secondary genetic events, which are also implicated in the pathogenesis and prognosis of the disease. Methods: We evaluated the diagnostic samples of 73 patients with relapsed/refractory MCL that were enrolled in the Fondazione Italiana Linfomi Mantle First-BIO study. All patients had available data for correlating CNVs with the presence of TP53 mutation. Time to first relapse or progression of disease (POD) was used as the primary outcome measure. Results: We identified CNVs associated with MCL, with Del 9p21.3 (CDKN2A) being the strongest predictor of shorter time to POD (p = 0.01), independently of TP53 mutation in multivariable analysis. Unsupervised clustering identified molecularly defined clusters that were associated with significantly different times to POD (p = 0.01). Pairwise log-rank tests confirmed TP53 mutated vs. wild-type (WT) as the strongest prognostic factor, with cluster assessment improving the prognostic predictivity among patients: clusters TP53-mut vs. TP53-WT, p = 0.001, HR = 3.92; and p = 0.014, HR = 2.23, respectively. In conclusion, CNV-based molecular clusters might represent a novel approach to identify patients at higher risk of treatment failure, further contributing to the prognostic predictivity of TP53 mutation. Full article
(This article belongs to the Section Molecular Cancer Biology)
Show Figures

Figure 1

17 pages, 2594 KB  
Article
Satellite Cloud-Top Temperature-Based Method for Early Detection of Heavy Rainfall Triggering Flash Floods
by Seokhwan Hwang, Heejun Park, Jung Soo Yoon and Narae Kang
Water 2025, 17(24), 3552; https://doi.org/10.3390/w17243552 - 15 Dec 2025
Viewed by 186
Abstract
This study presents a practical early-warning approach for heavy rainfall detection using the temporal dynamics of satellite-derived Cloud-Top Temperature (CTT). A rapid rise followed by a sharp fall in CTT is identified as a precursor signal of convective intensification. By quantifying the [...] Read more.
This study presents a practical early-warning approach for heavy rainfall detection using the temporal dynamics of satellite-derived Cloud-Top Temperature (CTT). A rapid rise followed by a sharp fall in CTT is identified as a precursor signal of convective intensification. By quantifying the risepeakfalltrough pattern and the peak-to-trough amplitude (swing), a WATCH window—representing a potential heavy-rainfall candidate period—is defined. The observed lead time between the onset of CTT decline and the subsequent radar-observed rainfall surge is calculated, while an estimated lead time is inferred from the steepness of CTT fall in the absence of a surge. Application to eight heavy rainfall events in Korea (July 2025) yielded a probability of detection (POD) of 87.5%, indicating that potential heavy rainfall could be detected approximately 1.3–8.6 h in advance. Compared with radar-based nowcasting, the CTT WATCH method retained predictive skill up to 3 h before numerical model guidance became effective, suggesting that satellite-based signals can bridge the forecast gap in short-term prediction. This work demonstrates a clear methodological novelty by introducing a physical interpretable, pattern-based metric. Quantitatively, the WATCH method improves early-warning capability by providing 1–3 h of additional lead time relative to radar nowcasting in rapidly evolving convective environments. Overall, this framework provides an interpretable, low-cost module suitable for operational early-warning systems and flood preparedness applications. Full article
Show Figures

Figure 1

18 pages, 987 KB  
Article
The Developmental Processes of Dolycoris baccarum (L.) (Hemiptera: Pentatomidae) Under Different Temperature Regimes
by Rameswor Maharjan, Seo Yeon Hong, Jun Hyoung Jeon, Jeong Joon Ahn, Young Nam Yoon, Ok Jae Won, Hyeon Su Lee and Jee-Yeon Ko
Insects 2025, 16(12), 1245; https://doi.org/10.3390/insects16121245 - 9 Dec 2025
Viewed by 358
Abstract
Understanding how insects adapt to temperature is crucial to elucidating the ecological factors shaping their life history traits. Phenological models are influenced by temperature, allowing researchers to examine how temperature affects population dynamics, geographical distribution, and the management of various insect species. This [...] Read more.
Understanding how insects adapt to temperature is crucial to elucidating the ecological factors shaping their life history traits. Phenological models are influenced by temperature, allowing researchers to examine how temperature affects population dynamics, geographical distribution, and the management of various insect species. This study was conducted at seven constant temperatures (15.3, 20.8, 25.0, 27.0, 30.1, 35.0, and 40.0 °C) under temperature-controlled conditions in an incubator to assess temperature-dependent development of D. baccarum. Clusters of eggs were put into Petri dishes and kept in a humidity chamber. The humidity chamber was then placed inside the incubator. Temperature affected the developmental parameters and mortality of D. baccarum reared on sesame seed pods. Stage-specific parameters, including the lower developmental threshold (LDT) and thermal constant (K, in degree days [DD]), were estimated using linear (GLM) and nonlinear (Lactin2) models, respectively. Total development time from egg to adult decreased with increasing temperature. Successful development occurred between 20.8 and 35.0 °C, and failed under 15.3 and 40.0 °C (100% nymph mortality). Egg stage duration ranged from 30.56 days at 15.3 °C to 2.07 days at 40 °C, while nymphal development ranged from 64.75 days at 20.8 °C to 21.17 days at 35.0 °C. The estimated LDT and K-values were 14.22 °C and 492.22 degree days (DD), respectively. Based on these thermal requirements, we developed a predictive model to better understand population dynamics and inform pest management strategies, which can help predict the spring occurrence, number of generations, and population dynamics of D. baccarum. Full article
(This article belongs to the Special Issue Biology, Ecology and Management of Sap-Sucking Pests)
Show Figures

Figure 1

23 pages, 1747 KB  
Article
Machine Learning-Based Prediction of Soybean Plant Height from Agronomic Traits Across Sequential Harvests
by Bruno Rodrigues de Oliveira, Renato Lustosa Sobrinho, Fernando Rodrigues Trindade Ferreira, Fernando Ferrari Putti, Matteo Bodini, Camila Martins Saporetti and Leonardo Goliatt
AgriEngineering 2025, 7(12), 408; https://doi.org/10.3390/agriengineering7120408 - 2 Dec 2025
Viewed by 387
Abstract
The accurate prediction of plant height is crucial for optimizing soybean cultivar selection and improving yield estimations. In this study, we investigate the potential of machine learning (ML) algorithms to predict soybean plant height (PH) based on a diverse set of agronomic parameters [...] Read more.
The accurate prediction of plant height is crucial for optimizing soybean cultivar selection and improving yield estimations. In this study, we investigate the potential of machine learning (ML) algorithms to predict soybean plant height (PH) based on a diverse set of agronomic parameters analyzed from forty soybean cultivars evaluated across sequential harvests. Using a comprehensive dataset, the models Elastic Net (EN), Extra Trees (ET), Gaussian Process Regressor (GPR), K-Nearest Neighbors, and XGBoost (XGB) were compared in terms of predictive accuracy, uncertainty, and robustness. Our results demonstrate that ET outperformed other models with an average correlation coefficient of 0.674, R2 of 0.426 and the lowest RMSE of 6.859 cm and MAE of 5.361 cm, while also showing the lowest uncertainty (5.07%). The proposed ML framework includes an extensive model evaluation pipeline that incorporates the Performance Index (PI), ANOVA, and feature importance analysis, providing a multidimensional perspective on model behavior. The most influential features for PH prediction were the number of stems (NS) and insertion of the first pod (IFP). This research highlights the viability of integrating explainable ML techniques into agricultural decision support systems, enabling data-driven strategies for cultivar evaluation and phenotypic trait forecasting. Full article
(This article belongs to the Special Issue The Future of Artificial Intelligence in Agriculture, 2nd Edition)
Show Figures

Figure 1

35 pages, 17189 KB  
Article
Hydrodynamics in a Both-Side-Heated Square Enclosure in Laminar Regime Under Constant Heat Flux Using Computational Fluid Dynamics and Deep Learning Methodology
by Arijit A. Ganguli, Sagar S. Deshpande and Mehul S. Raval
Fluids 2025, 10(12), 309; https://doi.org/10.3390/fluids10120309 - 27 Nov 2025
Viewed by 179
Abstract
Natural convection in enclosures heated from both sides is a topic of interest in various space and safety applications in nuclear power reactors. The transient dynamics during natural convection in enclosures is critically dependent on micro-scaled boundary layers and also the timescales of [...] Read more.
Natural convection in enclosures heated from both sides is a topic of interest in various space and safety applications in nuclear power reactors. The transient dynamics during natural convection in enclosures is critically dependent on micro-scaled boundary layers and also the timescales of micromixing. In the present work, a square enclosure operating at two high Rayleigh numbers (Ra = 3.27 × 1010 and Ra = 6.55 × 1010, with water as the working fluid) have been chosen for study. First, the velocity and timescales were found using Computational Fluid Dynamic (CFD) simulations for the square enclosure with Ra 3.27 × 1010 and compared with scaling laws that presently define them. An empirical correlation for heat transfer is then developed for the Ra range (1.3 × 1010 < Ra < 6.55 × 1010). Then, an existing DL framework (Proper Orthogonal Decomposition and Long Short-Term Memory (POD-LSTM)) network) is compared qualitatively and quantitatively with the CFD data. The transient data Ra = 6.55 × 1010 was chosen for this purpose. The scaling laws show a 30% deviation for the predictions of the transient length and time scales as compared to CFD and DL model predictions. Further, accurate results up to 99.6% have been obtained by the DL model when compared with the CFD model. The DL model is also found to require an order of magnitude less time than the one required for a CFD simulation. Full article
(This article belongs to the Section Heat and Mass Transfer)
Show Figures

Figure 1

13 pages, 3414 KB  
Article
In Vitro Evaluation of Multifocal Intraocular Lenses Based on the Point Spread Function: Optical Performance and Halo Formation
by Anabel Martínez-Espert, Salvador García-Delpech and Walter D. Furlan
J. Clin. Med. 2025, 14(23), 8368; https://doi.org/10.3390/jcm14238368 - 25 Nov 2025
Viewed by 399
Abstract
Background: Trifocal and extended depth-of-focus (EDoF) multifocal intraocular lenses (MIOLs) are currently widely used after cataract surgery to restore vision at multiple distances. In vitro studies of MIOLs are necessary to evaluate their optical behavior providing surgeons with evidence to support the [...] Read more.
Background: Trifocal and extended depth-of-focus (EDoF) multifocal intraocular lenses (MIOLs) are currently widely used after cataract surgery to restore vision at multiple distances. In vitro studies of MIOLs are necessary to evaluate their optical behavior providing surgeons with evidence to support the appropriate selection of the best lens for each patient. Methods: The FineVision POD F, Acriva Trinova Pro C, AT LARA 829MP, and AcrySof IQ Vivity lenses were assessed using a dedicated optical bench. Optical quality was quantified using the through-focus modulation transfer function (TF-MTF) and the area under the modulation transfer function (MTFa), both calculated from the point spread function (PSF). Halo formation was qualitatively analyzed. Results: The FineVision POD F and Acriva Trinova Pro C lenses exhibited trifocal behavior, with optical performance varying according to pupil size and wavelength. The AT LARA 829MP lens functioned as a low-addition bifocal under monochromatic green light but demonstrated EDoF characteristics under polychromatic illumination. The AcrySof IQ Vivity lens displayed an EDoF profile derived from the superposition of multiple closely spaced foci under polychromatic evaluation. Halo assessment revealed lens-dependent differences, with the AcrySof IQ Vivity showing the smallest halo extent. Conclusions: This in vitro study demonstrates differences in the optical and chromatic performance of trifocal and EDoF IOLa. Trifocal designs showed variable behavior related to diffraction orders the use but generally favored far vision under mesopic conditions, with similar trends observed in EDoF lenses. EDoF designs produced fewer halos than trifocals. These quantitative findings may translate into clinically relevant effects, supporting MIOL selection tailored to patient needs and improving the predictability and personalization of surgical outcomes toward greater spectacle independence. Full article
(This article belongs to the Section Ophthalmology)
Show Figures

Figure 1

15 pages, 1795 KB  
Article
Optimization of Mono- and Disaccharide Extraction from Cocoa pod Husk
by Edna Elena Suárez-Patlán, Teodoro Espinosa-Solares, José Enrique Herbert-Pucheta, Holber Zuleta-Prada and Emanuel Hernández-Núñez
Polysaccharides 2025, 6(4), 105; https://doi.org/10.3390/polysaccharides6040105 - 25 Nov 2025
Viewed by 268
Abstract
Cocoa pod husk (CPH) is a potential material to produce value-added products. The objective of this study was to optimize the microwave-assisted hydrothermal pretreatment (MA-HTP) of CPH and CPH hemicellulose (HMC-CPH) using only water as the extraction medium, in combination with response surface [...] Read more.
Cocoa pod husk (CPH) is a potential material to produce value-added products. The objective of this study was to optimize the microwave-assisted hydrothermal pretreatment (MA-HTP) of CPH and CPH hemicellulose (HMC-CPH) using only water as the extraction medium, in combination with response surface analysis (RSA), Box–Behnken design (BBD), and proton nuclear magnetic resonance identification and quantification (1H NMR Qu) to provide an efficient protocol for the extraction of mono- and disaccharides, as a novel method for which no precedent was found. The methodology consisted of 15 CPH MA-HTPs and 15 HMC-CPH MA-HTPs (triplicate) designed by RSA-BBD; the experimental variables were time, temperature, and power, and the response was the concentration of extraction products. Glucose, sucrose, and fructose were identified as products of the extractions by 1H NMR. With 95% confidence, higher sucrose content was determined for CPH (45.62%) compared to HMC-CPH (17.34%), high fructose content for both CPH and HMC-CPH (37.88% and 35.37%, respectively), and minimal glucose concentrations were obtained in both CPH and HMC-CPH (4.57% and 0.93%, respectively). Using RSA-BBD, optimal temperature, power, and time points were predicted for glucose CPH: 135.4 °C, 180.6 W, and 5.8 min; sucrose: 154.3 °C, 256.3 W, and 20. 2 min; fructose 129.5 °C, 173.8 W, and 5.27 min. For HMC-CPH, the optimal conditions were as follows: glucose: 142.2 °C, 204.4 W, and 10.5 min; sucrose: 148.8 °C, 215.6 W, and 14.3 min; fructose: 151.6 °C, 231.6 W, and 13 min. Full article
(This article belongs to the Collection Bioactive Polysaccharides)
Show Figures

Graphical abstract

22 pages, 4046 KB  
Article
Genome-Wide Identification of ABSCISIC ACID-INSENSITIVE (ABI) Genes and Their Response to MeJA During Early Somatic Embryogenesis in Longan (Dimocarpus longan L.)
by Muhammad Awais, Xiaoqiong Xu, Chunyu Zhang, Yukun Chen, Shengcai Liu, Yuling Lin and Zhongxiong Lai
Plants 2025, 14(22), 3508; https://doi.org/10.3390/plants14223508 - 17 Nov 2025
Viewed by 498
Abstract
Methyl jasmonic acid (MeJA) is a vital phytohormone that plays a key role in plant growth and adaptation to various environmental stresses. In the present study, on the basis of the longan genome, we identified a total of seven versatile putative abscisic acid-insensitive [...] Read more.
Methyl jasmonic acid (MeJA) is a vital phytohormone that plays a key role in plant growth and adaptation to various environmental stresses. In the present study, on the basis of the longan genome, we identified a total of seven versatile putative abscisic acid-insensitive genes, which are the key players in plant growth and stress response. On the basis of bioinformatics analysis, transcriptome data, exogenous treatment experiments, and RT-qPCR findings, a comprehensive evolutionary pattern of ABI genes in different plant species and the effect of different MeJA treatments during early somatic embryogenesis in D. longan was carried out. The phylogeny results revealed that the seven DlABI genes evolved independently in monocots and dicots, having high protein sequence similarity, especially with Arabidopsis ABI genes. The comparative findings of gene structure, motif prediction, and synteny analysis suggest that DlABI genes disperse mainly through duplication events rather than localized tandem repeats. Furthermore, the correlations among the expressions of DlABI genes propose that the organization of the cis-regulatory elements in the promoter regions may regulate the temporal and spatial transcription activation of these genes. The qRT-PCR results revealed that the 50 µM MeJA treatment significantly upregulated the expression of DlABI3, followed by DlABI1, DlABI2, DlABI5, DlABI4, and DlABI8, respectively. The ROS findings clearly revealed that MeJA distinctly elevated the SOD, POD, and H2O2 activities while reducing catalase and MDA contents. The subcellular localization of DlABI3 further confirmed its presence in the nucleus, suggesting its predicated transcriptional regulatory role in MeJA-mediated early SE in longan. Our findings reveal that the ABI genes are integral to the mechanism of MeJA-induced early somatic embryogenesis in longan by maintaining the ROS activity. Full article
(This article belongs to the Special Issue Advances and Applications in Plant Tissue Culture—2nd Edition)
Show Figures

Figure 1

20 pages, 2929 KB  
Article
Pod Dehiscence in Soybean: Genome Wide Association Study and Genomic Prediction
by Shynar Mazkirat, Kulpash Bulatova, Svetlana Didorenko, Sholpan Bastaubayeva, Dilyara Babissekova, Sholpan Khalbayeva, Azamat Tukenov, Akzhan Yespembetova, Nurgul Saparbayeva and Yuri Shavrukov
Plants 2025, 14(22), 3505; https://doi.org/10.3390/plants14223505 - 17 Nov 2025
Viewed by 588
Abstract
Pod dehiscence is one of the main factors which play a vital role on the final yield of many crops including soybean and, therefore, it is important to elucidate genetic mechanisms associated with this trait. In this study, morphological, physiological and biochemical analysis [...] Read more.
Pod dehiscence is one of the main factors which play a vital role on the final yield of many crops including soybean and, therefore, it is important to elucidate genetic mechanisms associated with this trait. In this study, morphological, physiological and biochemical analysis was conducted for pod and pod-related traits on 170 soybean genotypes with diverse origins. Subsequently, a genome-wide association study (GWAS) was performed using Silico-DArT and DArT SNPs markers. In total, 48 QTLs were identified with 14 stable QTLs, mostly located on chromosomes 6, 13 and 16, corresponding to pod dehiscence and pod-related traits. From putative candidate genes, two most stable and important genes for pod dehiscence with known functions were emphasised from the QTLs: Glyma.13G184500 and Glyma.16G141100, encoding transcription factors DNA-binding bromodomain-containing protein and C2H2 zinc finger protein, respectively. Finally, a genomic prediction approach was implemented to select genotypes most resistant to pod dehiscence. GWAS-derived markers confirmed the stable prediction of pod dehiscence in studied accessions from different populations and the best non-dehiscent soybean genotypes were successfully selected. Full article
Show Figures

Figure 1

27 pages, 2833 KB  
Article
From Molecules to Fields: Mapping the Thematic Evolution of Intelligent Crop Breeding via BERTopic Text Mining
by Xiaohe Liang, Yu Wu, Jiayu Zhuang, Jiajia Liu, Jie Lei, Qi Wang and Ailian Zhou
Agriculture 2025, 15(22), 2373; https://doi.org/10.3390/agriculture15222373 - 16 Nov 2025
Viewed by 699
Abstract
The convergence of agricultural biotechnology and artificial intelligence is reshaping modern crop improvement. Despite a surge of studies integrating artificial intelligence and biotechnology, the rapidly expanding literature on intelligent crop breeding remains fragmented across molecular, phenotypic, and computational dimensions. Existing reviews often rely [...] Read more.
The convergence of agricultural biotechnology and artificial intelligence is reshaping modern crop improvement. Despite a surge of studies integrating artificial intelligence and biotechnology, the rapidly expanding literature on intelligent crop breeding remains fragmented across molecular, phenotypic, and computational dimensions. Existing reviews often rely on traditional bibliometric or narrative approaches that fail to capture the deep semantic evolution of research themes. To address this gap, this study employs the BERTopic model to systematically analyze 1867 articles (1995–2025, WoS Core Collection), mapping the thematic landscape and temporal evolution of intelligent crop breeding and revealing how methodological and application-oriented domains have co-evolved over time. Eight core topics emerge, i.e., (T0) genomic prediction and genotype–environment modeling; (T1) UAV remote sensing and multimodal phenotyping; (T2) stress-tolerant breeding and root phenotypes; (T3) ear/pod counting with deep learning; (T4) grain trait representation and evaluation; (T5) CRISPR and genome editing; (T6) spike structure recognition and 3D modeling; and (T7) maize tassel detection and developmental staging. Topic-evolution analyses indicate a co-development pattern, where genomic prediction provides a stable methodological backbone, while phenomics (UAV/multimodal imaging, organ-level detection, and 3D reconstruction) propels application-oriented advances. Attention dynamics reveal increasing momentum in image-based counting (T3), grain quality traits (T4), and CRISPR-enabled editing (T5), alongside a plateau in traditional mainstays (T0, T1) and mild cooling in root phenotyping under abiotic stress (T2). Quality stratification (citation quartiles, Q1–Q4) shows high-impact concentration in T0/T1 and a growing tail of application-driven work across T3–T7. Journal analysis reveals a complementary publication ecosystem: Frontiers in Plant Science and Plant Methods anchor cross-disciplinary dissemination; Remote Sensing and Computers and Electronics in Agriculture host engineering-centric phenomics; genetics/breeding journals sustain T0/T2; and molecular journals curate T5. These findings provide an integrated overview of methods, applications, and publication venues, offering practical guidance for research planning, cross-field collaboration, and translational innovation in intelligent crop breeding. Full article
Show Figures

Figure 1

18 pages, 10589 KB  
Article
TrWRKY41: A WRKY Transcription Factor from White Clover Improves Cold Tolerance in Transgenic Arabidopsis
by Meiyan Guo, Shuaixian Li, Jun Tian, Manman Li, Xiaoyue Zhu, Changhong Guo and Yongjun Shu
Plants 2025, 14(22), 3493; https://doi.org/10.3390/plants14223493 - 16 Nov 2025
Viewed by 483
Abstract
Trifolium repens L. (white clover) is a widely distributed perennial legume, which is regarded as one of the most important forages for its high protein content and excellent palatability. Low temperature limits the distribution and productivity of white clover, thereby reducing its economic [...] Read more.
Trifolium repens L. (white clover) is a widely distributed perennial legume, which is regarded as one of the most important forages for its high protein content and excellent palatability. Low temperature limits the distribution and productivity of white clover, thereby reducing its economic returns. WRKY transcription factors are key regulators in stress defense and are involved in multiple abiotic stress responses in plants. In this study, a cold inducible gene named TrWRKY41 was cloned from white clover. The TrWRKY41 protein is predominantly localized in the nucleus and functions as a hydrophilic, acidic protein. Under cold stress, the overexpression plants had significantly higher chlorophyll (CHL) and proline (Pro) contents, significantly increased activities of catalase (CAT), peroxidase (POD), and superoxide dismutase (SOD), and malondialdehyde (MDA) content significantly decreased. Compared to wild-type Arabidopsis thaliana, TrWRKY41-overexpressing plants exhibited better cold tolerance. In addition, target genes downstream of the TrWRKY41 transcription factor were predicted utilizing BLAST alignment and AlphaFold2 (version 0.2.0) software, the expression of six genes, including AtCOR47, AtCOR6.6, and AtABI5, was significantly up-regulated under cold stress. It suggests that TrWRKY41 may enhance cold tolerance in Arabidopsis by activating the ICE-CBF-COR cascade. This study provides candidate genes for research on enhancing the cold tolerance of white clover. Full article
Show Figures

Figure 1

23 pages, 2832 KB  
Article
Reduced-Order Modeling and Active Subspace to Support Shape Optimization of Centrifugal Pumps
by Giacomo Gedda, Andrea Ferrero, Filippo Masseni, Massimo Mariani and Dario Pastrone
Aerospace 2025, 12(11), 1007; https://doi.org/10.3390/aerospace12111007 - 12 Nov 2025
Viewed by 418
Abstract
This study presents a reduced-order modeling framework for the shape optimization of a centrifugal pump. A database of CFD solutions is generated using Latin Hypercube Sampling over five design parameters to construct a reduced-order model based on proper orthogonal decomposition with radial basis [...] Read more.
This study presents a reduced-order modeling framework for the shape optimization of a centrifugal pump. A database of CFD solutions is generated using Latin Hypercube Sampling over five design parameters to construct a reduced-order model based on proper orthogonal decomposition with radial basis function interpolation. The model predicts the flow field at the impeller–diffuser interface and pump outlet, enabling the estimation of impeller torque and total pressure rise. The active subspaces method is applied to reduce the dimensionality of the input space from five to four modified parameters. The sensitivity of the ROM is assessed with respect to further dimensionality reductions in the parameter space, POD mode truncation, and adaptive sampling. The model is then used to perform pump shape optimization via a quasi-Newton method, identifying the combination of the parameters that minimizes the impeller torque while satisfying a constraint on the head. The optimal result is validated through CFD analysis and compared against the Pareto front generated by a genetic algorithm. The work highlights the potential of model-order reduction techniques in centrifugal pump optimization. Full article
(This article belongs to the Section Astronautics & Space Science)
Show Figures

Figure 1

32 pages, 4796 KB  
Article
Temporal Extrapolation Generalization of Proper Orthogonal Decomposition (POD) and Radial Basis Function (RBF) Surrogates for Transient Thermal Fields in Multi-Heat-Source Electronic Devices
by Wenjun Zhao and Bo Zhang
Micromachines 2025, 16(11), 1267; https://doi.org/10.3390/mi16111267 - 10 Nov 2025
Viewed by 424
Abstract
Efficient and accurate prediction of transient temperature fields is critical for thermal management of electronic devices with multiple heat sources. In this study, a reduced-order surrogate modeling approach is developed based on proper orthogonal decomposition (POD) and radial basis function (RBF) neural networks. [...] Read more.
Efficient and accurate prediction of transient temperature fields is critical for thermal management of electronic devices with multiple heat sources. In this study, a reduced-order surrogate modeling approach is developed based on proper orthogonal decomposition (POD) and radial basis function (RBF) neural networks. The method maps time-conditioned modal coefficients in a parameter–time space, enabling robust temporal extrapolation beyond the training horizon. A multi-heat-source conduction model typical of electronic packages is used as the application scenario. Numerical experiments demonstrate that the proposed POD–RBF surrogate achieves high predictive accuracy (global MRE < 3%) with significantly reduced computational cost, offering strong potential for real-time thermal monitoring and management in electronic systems. Full article
(This article belongs to the Special Issue Thermal Transport and Management of Electronic Devices)
Show Figures

Figure 1

21 pages, 7201 KB  
Article
A Study on Real-Time Condition Monitoring Methods for Wind Tunnels Based on POD and BPNN
by Yisheng Yang, Cheng Zhang, Ming Li, Hanwei Wang, Xiqiang Yan, Miao Xian, Hongqiang Xiong and Sijie Yan
Symmetry 2025, 17(11), 1923; https://doi.org/10.3390/sym17111923 - 10 Nov 2025
Viewed by 386
Abstract
To address challenges in holistic real-time condition monitoring of conventional wind tunnels—caused by large structural dimensions and complex parameter monitoring—this study proposes a wind tunnel condition monitoring surrogate model (POD-BPNN) integrating Proper Orthogonal Decomposition (POD) for data dimensionality reduction with Back Propagation Neural [...] Read more.
To address challenges in holistic real-time condition monitoring of conventional wind tunnels—caused by large structural dimensions and complex parameter monitoring—this study proposes a wind tunnel condition monitoring surrogate model (POD-BPNN) integrating Proper Orthogonal Decomposition (POD) for data dimensionality reduction with Back Propagation Neural Networks (BPNNs). By implementing POD-based order reduction, the computational load for neural network training is significantly reduced while maintaining predictive accuracy through reduced-order data utilization. When applied to reconstruct stress/displacement fields in a wind tunnel test section and the flow field in its fan section, the POD-BPNN model demonstrated prediction errors below 5% when validated against finite element and computational fluid dynamics simulations, with three orders of magnitude improvement in computational efficiency. This methodology satisfies precision and real-time requirements for structural/fluid field monitoring in wind tunnels. When deployed with an existing health management system, online monitoring and predictive maintenance of the digital twin for the wind tunnel will be achievable. Full article
(This article belongs to the Special Issue Symmetry in Computing Algorithms and Applications)
Show Figures

Figure 1

Back to TopTop