Sign in to use this feature.

Years

Between: -

Subjects

remove_circle_outline
remove_circle_outline
remove_circle_outline
remove_circle_outline
remove_circle_outline
remove_circle_outline
remove_circle_outline

Journals

Article Types

Countries / Regions

Search Results (30)

Search Parameters:
Keywords = PCET

Order results
Result details
Results per page
Select all
Export citation of selected articles as:
11 pages, 2276 KB  
Article
Computational Study of Hydrogen Atom Transfer in the Reaction of Quercetin with Hydroxyl Radical
by David Vuzem and Viktor Pilepić
Hydrogen 2025, 6(2), 39; https://doi.org/10.3390/hydrogen6020039 - 6 Jun 2025
Viewed by 1414
Abstract
Hydrogen atom transfer (HAT), a concerted charge transfer involving two elementary particles, a proton and an electron, plays a key role in many areas of chemistry and biochemistry. A molecular dynamics study based on density functional theory was performed to investigate the reaction [...] Read more.
Hydrogen atom transfer (HAT), a concerted charge transfer involving two elementary particles, a proton and an electron, plays a key role in many areas of chemistry and biochemistry. A molecular dynamics study based on density functional theory was performed to investigate the reaction mechanism of hydrogen atom transfer from quercetin anions to the hydroxyl radical in a neutral aqueous media. Intrinsic bond orbital (IBO) analysis of a series of structures obtained from trajectories was performed in simulations in which the reaction occurred, and the electron flow along the reaction coordinate was determined and applied to investigate the reaction mechanism. The reaction in the simulations proceeded rapidly as proton-coupled electron transfer (PCET) or electron transfer–proton transfer (ET-PT) depending on the initial position and solvation of the reactants. Full article
Show Figures

Graphical abstract

14 pages, 2373 KB  
Article
Isomeric Anthraquinone-Based Covalent Organic Frameworks for Boosting Photocatalytic Hydrogen Peroxide Generation
by Shengrong Yan, Songhu Shi, Wenhao Liu, Fang Duan, Shuanglong Lu and Mingqing Chen
Catalysts 2025, 15(6), 556; https://doi.org/10.3390/catal15060556 - 3 Jun 2025
Viewed by 768
Abstract
Utilizing isomeric monomers to construct covalent organic frameworks (COFs) could easily and precisely regulate their structure in order to raise the photocatalytic performance towards two-step single-electron oxygen reduction reaction (ORR) to hydrogen peroxide (H2O2). Herein, isomeric anthraquinone (AQ)-based COFs [...] Read more.
Utilizing isomeric monomers to construct covalent organic frameworks (COFs) could easily and precisely regulate their structure in order to raise the photocatalytic performance towards two-step single-electron oxygen reduction reaction (ORR) to hydrogen peroxide (H2O2). Herein, isomeric anthraquinone (AQ)-based COFs (designated as 1,4-DQTP and 2,6-DQTP) were successfully fabricated through a simple yet effective one-step solvothermal synthesis approach, only utilizing isomeric monomers with alterations in the catalysts. Specifically, the black 1,4-DQTP displayed a high photocatalytic H2O2 production rate of 865.4 µmol g−1 h−1, with 2.44-fold enhancement compared to 2,6-DQTP (354.7 µmol g−1 h−1). Through a series of experiments such as electron paramagnetic resonance (EPR) spectroscopy and the free radical quenching experiments, as well as density functional theory (DFT) calculations, the photocatalytic mechanism revealed that compared with 2,6-DQTP, 1,4-DQTP possessed a stronger and broader visible light absorption capacity, and thus generated more photogenerated e-h+ pairs. Ultimately, more photogenerated electrons were enriched on the AQ motif via a more apparent electron push–pull effect, which provided a stable transfer channel for e and thus facilitated the generation of superoxide anion radical intermediates (•O2). On the other hand, the negative charge region of AQ’s carbonyl group evidently overlapped with that of TP, indicating that 1,4-DQTP had a higher chemical affinity for the uptake of protons, and thus afforded a more favorable hydrogen donation for H+. As a consequence, the rational design of COFs utilizing isomeric monomers could synergistically raise the proton-coupled electron transfer (PCET) kinetics for two-step single-electron ORR to H2O2 under visible light illumination. This work provides some insights for the design and fabrication of COFs through rational isomer engineering to modulate their photocatalytic activities. Full article
(This article belongs to the Special Issue Nanostructured Photocatalysts for Hydrogen Production)
Show Figures

Graphical abstract

19 pages, 6972 KB  
Article
Research on a Reductive Deep Chlorine Removal Process for Breaking Through the Solid Film Barrier
by Rui Li, Ailin Wen and Jing Li
Appl. Sci. 2025, 15(10), 5673; https://doi.org/10.3390/app15105673 - 19 May 2025
Viewed by 677
Abstract
Chloride ions in zinc refining accelerate equipment corrosion and anode and cathode losses, increase lead content, and reduce zinc quality. Therefore, the removal of chloride ions has become a research priority. The existing copper slag dechlorination process has problems such as the solid [...] Read more.
Chloride ions in zinc refining accelerate equipment corrosion and anode and cathode losses, increase lead content, and reduce zinc quality. Therefore, the removal of chloride ions has become a research priority. The existing copper slag dechlorination process has problems such as the solid film barrier leading to impeded mass transfer, product wrapping triggering active site coverage, and incomplete reactions due to insufficient reaction-driving force, leading to low utilization of copper slag, poor dechlorination efficiency, and long reaction times. To address these issues, a new method of deep dechlorination based on the reduction of Cu2+ by liquid-phase mass transfer is proposed in this paper. The process utilizes ascorbic acid as a reducing agent, establishes a homogeneous aqueous phase reaction system, breaks through the solid membrane barrier, and avoids the encapsulation of the product layer, achieving efficient dechlorination. The enol structure of ascorbic acid promotes rapid dechlorination through proton-coupled electron transfer (PCET). Thermodynamic calculations show that compared to the current copper slag dechlorination process, this method increases the reaction-driving force by 18.6%, reduces the Gibbs free energy (ΔGθ) by 59.3%, and increases the equilibrium constant by 6.7 × 109 times, making the reaction more complete and achieving a higher degree of purification. The experimental results show that under optimized conditions, the chloride ion concentration in the solution decreases from 1 g/L to 0.0917 g/L within 20 min, with a removal rate of 90.8%. The main precipitate is CuCl. This process provides a more efficient solution to the chloride ion contamination problem in the hydrometallurgical zinc refining process. Full article
Show Figures

Figure 1

14 pages, 3027 KB  
Article
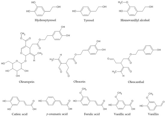
Proton-Coupled Electron Transfer and Hydrogen Tunneling in Olive Oil Phenol Reactions
by Jelena Torić, Ana Karković Marković, Stipe Mustać, Anamarija Pulitika, Cvijeta Jakobušić Brala and Viktor Pilepić
Int. J. Mol. Sci. 2024, 25(12), 6341; https://doi.org/10.3390/ijms25126341 - 7 Jun 2024
Cited by 5 | Viewed by 1474
Abstract
Olive oil phenols are recognized as molecules with numerous positive health effects, many of which rely on their antioxidative activity, i.e., the ability to transfer hydrogen to radicals. Proton-coupled electron transfer reactions and hydrogen tunneling are ubiquitous in biological systems. Reactions of olive [...] Read more.
Olive oil phenols are recognized as molecules with numerous positive health effects, many of which rely on their antioxidative activity, i.e., the ability to transfer hydrogen to radicals. Proton-coupled electron transfer reactions and hydrogen tunneling are ubiquitous in biological systems. Reactions of olive oil phenols, hydroxytyrosol, tyrosol, oleuropein, oleacein, oleocanthal, homovanillyl alcohol, vanillin, and a few phenolic acids with a DPPH• (2,2-diphenyl-1-picrylhydrazyl) radical in a 1,4-dioxane:water = 95:5 or 99:1 v/v solvent mixture were studied through an experimental kinetic analysis and computational chemistry calculations. The highest rate constants corresponding to the highest antioxidative activity are obtained for the ortho-diphenols hydroxytyrosol, oleuropein, and oleacein. The experimentally determined kinetic isotope effects (KIEs) for hydroxytyrosol, homovanillyl alcohol, and caffeic acid reactions are 16.0, 15.4, and 16.7, respectively. Based on these KIEs, thermodynamic activation parameters, and an intrinsic bond orbital (IBO) analysis along the IRC path calculations, we propose a proton-coupled electron transfer mechanism. The average local ionization energy and electron donor Fukui function obtained for the phenolic compounds show that the most reactive electron-donating sites are associated with π electrons above and below the aromatic ring, in support of the IBO analysis and proposed PCET reaction mechanism. Large KIEs and isotopic values of Arrhenius pre-exponential factor AH/AD determined for the hydroxytyrosol, homovanillyl alcohol, and caffeic acid reactions of 0.6, 1.3, and 0.3, respectively, reveal the involvement of hydrogen tunneling in the process. Full article
(This article belongs to the Section Bioactives and Nutraceuticals)
Show Figures

Graphical abstract

15 pages, 1649 KB  
Article
Visible Light-Driven Hydrogen Evolution Catalysis by Heteroleptic Ni(II) Complexes with Chelating Nitrogen Ligands: Probing Ligand Substituent Position and Photosensitizer Effects
by Maria Kourmousi, Fotios Kamatsos and Christiana A. Mitsopoulou
Energies 2024, 17(11), 2777; https://doi.org/10.3390/en17112777 - 5 Jun 2024
Viewed by 1315
Abstract
This study aims to advance the field of green chemistry and catalysis by exploring alternatives to conventional non-renewable energy sources. Emphasis is placed on hydrogen as a potential fuel, with a focus on the catalytic properties of Ni(II) complexes when coordinated with o-phenylenediamine [...] Read more.
This study aims to advance the field of green chemistry and catalysis by exploring alternatives to conventional non-renewable energy sources. Emphasis is placed on hydrogen as a potential fuel, with a focus on the catalytic properties of Ni(II) complexes when coordinated with o-phenylenediamine and diimine ligands. We report the synthesis and comprehensive characterization, with various physical and spectroscopic techniques, of three heteroleptic Ni(II) complexes: [Ni(1,10-phenanthroline)(o-phenylene diamine)] (1), [Ni(2,2-dimethyl-2,2-bipyridine)(o-phenylene diamine)] (2), and [Ni(5,5-dimethyl-2,2-bipyridine)(o-phenylene diamine)] (3). The catalytic activity of these complexes for hydrogen evolution was assessed through photochemical studies utilizing visible light irradiation. Two distinct photosensitizers, fluorescein and quantum dots, were examined under diverse conditions. Additionally, their electrocatalytic behavior was investigated to elucidate the hydrogen evolution reaction (HER) mechanism, revealing a combined proton-coupled electron transfer (PCET)/electron-coupled proton transfer (ECPT) mechanism attributed to the chemical nature of the diamine ligand. The influence of ligand substituent position, ligand chemical nature, and photosensitizer type on catalytic performance was systematically studied. Among the complexes investigated, complex 2 demonstrated superior catalytic performance, achieving a turnover number (TON) of 3357 in photochemical experiments using fluorescein as a photosensitizer. Conversely, complex 1 exhibited the highest TON of 30,066 for HER when quantum dots were employed as the photosensitizer. Full article
(This article belongs to the Section A5: Hydrogen Energy)
Show Figures

Figure 1

14 pages, 6090 KB  
Article
Unveiling Non-Covalent Interactions in Novel Cooperative Photoredox Systems for Efficient Alkene Oxidation in Water
by Isabel Guerrero, Clara Viñas, Francesc Teixidor and Isabel Romero
Molecules 2024, 29(10), 2378; https://doi.org/10.3390/molecules29102378 - 18 May 2024
Cited by 1 | Viewed by 1281
Abstract
A new cooperative photoredox catalytic system, [RuII(trpy)(bpy)(H2O)][3,3′-Co(8,9,12-Cl3-1,2-C2B9H8)2]2, 5, has been synthesized and fully characterized for the first time. In this system, the photoredox catalyst [3,3′-Co(8,9,12-Cl3 [...] Read more.
A new cooperative photoredox catalytic system, [RuII(trpy)(bpy)(H2O)][3,3′-Co(8,9,12-Cl3-1,2-C2B9H8)2]2, 5, has been synthesized and fully characterized for the first time. In this system, the photoredox catalyst [3,3′-Co(8,9,12-Cl3-1,2-C2B9H8)2] [Cl6-1], a metallacarborane, and the oxidation catalyst [RuII(trpy)(bpy)(H2O)]2+, 2 are linked by non-covalent interactions. This compound, along with the one previously synthesized by us, [RuII(trpy)(bpy)(H2O)][(3,3′-Co(1,2-C2B9H11)2]2, 4, are the only examples of cooperative molecular photocatalysts in which the catalyst and photosensitizer are not linked by covalent bonds. Both cooperative systems have proven to be efficient photocatalysts for the oxidation of alkenes in water through Proton Coupled Electron Transfer processes (PCETs). Using 0.05 mol% of catalyst 4, total conversion values were achieved after 15 min with moderate selectivity for the corresponding epoxides, which decreases with reaction time, along with the TON values. However, with 0.005 mol% of catalyst, the conversion values are lower, but the selectivity and TON values are higher. This occurs simultaneously with an increase in the amount of the corresponding diol for most of the substrates studied. Photocatalyst 4 acts as a photocatalyst in both the epoxidation of alkenes and their hydroxylation in aqueous medium. The hybrid system 5 shows generally higher conversion values at low loads compared to those obtained with 4 for most of the substrates studied. However, the selectivity values for the corresponding epoxides are lower even after 15 min of reaction. This is likely due to the enhanced oxidizing capacity of CoIV in catalyst 5, resulting from the presence of more electron-withdrawing substituents on the metallacarborane platform. Full article
(This article belongs to the Special Issue Feature Papers in Photochemistry and Photocatalysis)
Show Figures

Figure 1

11 pages, 1656 KB  
Article
The Impacts of Periconceptional Alcohol on Neonatal Ovaries and Subsequent Adult Fertility in the Rat
by Sarah E. Steane, Danielle J. Burgess, Karen M. Moritz and Lisa K. Akison
Int. J. Mol. Sci. 2024, 25(5), 2471; https://doi.org/10.3390/ijms25052471 - 20 Feb 2024
Cited by 2 | Viewed by 1778
Abstract
Maternal exposures during pregnancy can impact the establishment of the ovarian reserve in offspring, the lifetime supply of germ cells that determine a woman’s reproductive lifespan. However, despite alcohol consumption being common in women of reproductive age, the impact of prenatal alcohol on [...] Read more.
Maternal exposures during pregnancy can impact the establishment of the ovarian reserve in offspring, the lifetime supply of germ cells that determine a woman’s reproductive lifespan. However, despite alcohol consumption being common in women of reproductive age, the impact of prenatal alcohol on ovarian development is rarely investigated. This study used an established rat model of periconceptional ethanol exposure (PCEtOH; 12.5% v/v ethanol) for 4 days prior to 4 days post-conception. Ovaries were collected from neonates (day 3 and day 10), and genes with protein products involved in regulating the ovarian reserve analyzed by qPCR. Adult offspring had estrous cycles monitored and breeding performance assessed. PCEtOH resulted in subtle changes in expression of genes regulating apoptosis at postnatal day (PN) 3, whilst those involved in regulating growth and recruitment of primordial follicles were dysregulated at PN10 in neonatal ovaries. Despite these gene expression changes, there were no significant impacts on breeding performance in adulthood, nor on F2-generation growth or survival. This contributes additional evidence to suggest that a moderate level of alcohol consumption exclusively around conception, when a woman is often unaware of her pregnancy, does not substantially impact the fertility of her female offspring. Full article
(This article belongs to the Special Issue Ovarian Dysfunction, Infertility and Its Treatment)
Show Figures

Figure 1

11 pages, 2433 KB  
Article
Unraveling the Pivotal Roles of Various Metal Ion Centers in the Catalysis of Quercetin 2,4-Dioxygenases
by Xueyuan Yan, Han Xiao, Jinshuai Song and Chunsen Li
Molecules 2023, 28(17), 6238; https://doi.org/10.3390/molecules28176238 - 25 Aug 2023
Cited by 2 | Viewed by 1963
Abstract
Quercetin 2,4-dioxygenase (QueD) with various transition metal ion co-factors shows great differences, but the internal reasons have not been illustrated in detail. In order to explore the effects of metal ion centers on the catalytic reactivity of QueD, we calculated and compared the [...] Read more.
Quercetin 2,4-dioxygenase (QueD) with various transition metal ion co-factors shows great differences, but the internal reasons have not been illustrated in detail. In order to explore the effects of metal ion centers on the catalytic reactivity of QueD, we calculated and compared the minimum energy crossing point (MECP) of dioxygen from the relatively stable triplet state to the active singlet state under different conditions by using the DFT method. It was found that the metal ions play a more important role in the activation of dioxygen compared with the substrate and the protein environment. Simultaneously, the catalytic reactions of the bacterial QueDs containing six different transition metal ions were studied by the QM/MM approach, and we finally obtained the reactivity sequence of metal ions, Ni2+ > Co2+ > Zn2+ > Mn2+ > Fe2+ > Cu2+, which is basically consistent with the previous experimental results. Our calculation results indicate that metal ions act as Lewis acids in the reaction to stabilize the substrate anion and the subsequent superoxo and peroxo species in the reaction, and promote the proton coupled electron transfer (PCET) process. Furthermore, the coordination tendencies of transition metal ion centers also have important effects on the catalytic cycle. These findings have general implications on metalloenzymes, which can expand our understanding on how various metal ions play their key role in modulating catalytic reactivity. Full article
(This article belongs to the Topic Advances in Enzymes and Protein Engineering)
Show Figures

Figure 1

17 pages, 2191 KB  
Article
A DFT Study on the Kinetics of HOO, CH3OO, and O2•− Scavenging by Quercetin and Flavonoid Catecholic Metabolites
by Ana Amić and Denisa Mastiľák Cagardová
Antioxidants 2023, 12(6), 1154; https://doi.org/10.3390/antiox12061154 - 25 May 2023
Cited by 6 | Viewed by 2290
Abstract
Reaction kinetics have been theoretically examined to ascertain the potency of quercetin (Q) and flavonoid catecholic metabolites 15 in the inactivation of HOO, CH3OO, and O2•− under physiological conditions. In lipidic [...] Read more.
Reaction kinetics have been theoretically examined to ascertain the potency of quercetin (Q) and flavonoid catecholic metabolites 15 in the inactivation of HOO, CH3OO, and O2•− under physiological conditions. In lipidic media, the koverallTST/Eck rate constants for the proton-coupled electron transfer (PCET) mechanism indicate the catecholic moiety of Q and 15 as the most important in HOO and CH3OO scavenging. 5-(3,4-Dihydroxyphenyl)-γ-valerolactone (1) and alphitonin (5) are the most potent scavengers of HOO and CH3OO, respectively. The koverallMf rate constants, representing actual behavior in aqueous media, reveal Q as more potent in the inactivation of HOO and CH3OO via single electron transfer (SET). SET from 3-O phenoxide anion of Q, a structural motif absent in 15, represents the most contributing reaction path to overall activity. All studied polyphenolics have a potency of O2•− inactivation via a concerted two-proton–coupled electron transfer (2PCET) mechanism. The obtained results indicate that metabolites with notable radical scavenging potency, and more bioavailability than ingested flavonoids, may contribute to human health-promoting effects ascribed to parent molecules. Full article
(This article belongs to the Special Issue Theoretical and Computational Chemistry in Antioxidant Research)
Show Figures

Graphical abstract

15 pages, 3133 KB  
Article
Bis(2,6-pyrazolyl)pyridines as a New Scaffold for Coordination Polymers
by Igor A. Nikovskiy, Pavel V. Dorovatovskii, Valentin V. Novikov and Yulia V. Nelyubina
Molecules 2023, 28(11), 4275; https://doi.org/10.3390/molecules28114275 - 23 May 2023
Cited by 1 | Viewed by 2823
Abstract
Two coordination polymers, Fe(LOBF3)(CH3COO)(CH3CN)2]n•nCH3CN and [Fe(LO−)2AgNO3BF4•CH3OH]n•1.75nCH3OH•nH2O (LO− = 3,3′-(4-(4-cyanophenyl)pyridine-2,6-diyl)bis(1-(2,6-dichlorophenyl)-1H-pyrazol-5-olate)), were obtained via a [...] Read more.
Two coordination polymers, Fe(LOBF3)(CH3COO)(CH3CN)2]n•nCH3CN and [Fe(LO−)2AgNO3BF4•CH3OH]n•1.75nCH3OH•nH2O (LO− = 3,3′-(4-(4-cyanophenyl)pyridine-2,6-diyl)bis(1-(2,6-dichlorophenyl)-1H-pyrazol-5-olate)), were obtained via a PCET-assisted process that uses the hydroxy-pyrazolyl moiety of the ligand and the iron(II) ion as sources of proton and electron, respectively. Our attempts to produce heterometallic compounds under mild conditions of reactant diffusion resulted in the first coordination polymer of 2,6-bis(pyrazol-3-yl)pyridines to retain the core N3(L)MN3(L). Under harsh solvothermal conditions, a hydrogen atom transfer to the tetrafluoroborate anion caused the transformation of the hydroxyl groups into OBF3 in the third coordination polymer of 2,6-bis(pyrazol-3-yl)pyridines. This PCET-assisted approach may be applicable to produce coordination polymers and metal–organic frameworks with the SCO-active core N3(L)MN3(L) formed by pyrazolone- and other hydroxy-pyridine-based ligands. Full article
(This article belongs to the Section Inorganic Chemistry)
Show Figures

Graphical abstract

15 pages, 2658 KB  
Article
The Synergy between Glutathione and Phenols—Phenolic Antioxidants Repair Glutathione: Closing the Virtuous Circle—A Theoretical Insight
by Mirzam Carreon-Gonzalez and Juan Raúl Alvarez-Idaboy
Antioxidants 2023, 12(5), 1125; https://doi.org/10.3390/antiox12051125 - 19 May 2023
Cited by 8 | Viewed by 2872
Abstract
Glutathione (GSH) and phenols are well-known antioxidants, and previous research has suggested that their combination can enhance antioxidant activity. In this study, we used Quantum Chemistry and computational kinetics to investigate how this synergy occurs and elucidate the underlying reaction mechanisms. Our results [...] Read more.
Glutathione (GSH) and phenols are well-known antioxidants, and previous research has suggested that their combination can enhance antioxidant activity. In this study, we used Quantum Chemistry and computational kinetics to investigate how this synergy occurs and elucidate the underlying reaction mechanisms. Our results showed that phenolic antioxidants could repair GSH through sequential proton loss electron transfer (SPLET) in aqueous media, with rate constants ranging from 3.21 × 106 M−1 s−1 for catechol to 6.65 × 108 M−1 s−1 for piceatannol, and through proton-coupled electron transfer (PCET) in lipid media with rate constants ranging from 8.64 × 106 M−1 s−1 for catechol to 5.53 × 107 M−1 s−1 for piceatannol. Previously it was found that superoxide radical anion (O2•−) can repair phenols, thereby completing the synergistic circle. These findings shed light on the mechanism underlying the beneficial effects of combining GSH and phenols as antioxidants. Full article
(This article belongs to the Special Issue Oxidative Stress and Antioxidants in Computational Chemistry)
Show Figures

Figure 1

43 pages, 8851 KB  
Review
Nanoantioxidant Materials: Nanoengineering Inspired by Nature
by Fotini Fragou, Annita Theofanous, Yiannis Deligiannakis and Maria Louloudi
Micromachines 2023, 14(2), 383; https://doi.org/10.3390/mi14020383 - 4 Feb 2023
Cited by 14 | Viewed by 4059
Abstract
Oxidants are very active compounds that can cause damage to biological systems under specific environmental conditions. One effective way to counterbalance these adverse effects is the use of anti-oxidants. At low concentrations, an antioxidant is defined as a compound that can delay, control, [...] Read more.
Oxidants are very active compounds that can cause damage to biological systems under specific environmental conditions. One effective way to counterbalance these adverse effects is the use of anti-oxidants. At low concentrations, an antioxidant is defined as a compound that can delay, control, or prevent an oxidative process. Antioxidants exist in plants, soil, and minerals; therefore, nature is a rich source of natural antioxidants, such as tocopherols and polyphenols. In nature, antioxidants perform in tandem with their bio-environment, which may tune their activity and protect them from degradation. In vitro use of antioxidants, i.e., out of their biomatrix, may encounter several drawbacks, such as auto-oxidation and polymerization. Artificial nanoantioxidants can be developed via surface modification of a nanoparticle with an antioxidant that can be either natural or synthetic, directly mimicking a natural antioxidant system. In this direction, state-of-the-art nanotechnology has been extensively incorporated to overcome inherent drawbacks encountered in vitro use of antioxidants, i.e., out of their biomatrix, and facilitate the production and use of antioxidants on a larger scale. Biomimetic nanoengineering has been adopted to optimize bio-medical antioxidant systems to improve stability, control release, enhance targeted administration, and overcome toxicity and biocompatibility issues. Focusing on biotechnological sciences, this review highlights the importance of nanoengineering in developing effective antioxidant structures and comparing the effectiveness of different nanoengineering methods. Additionally, this study gathers and clarifies the different antioxidant mechanisms reported in the literature and provides a clear picture of the existing evaluation methods, which can provide vital insights into bio-medical applications. Full article
(This article belongs to the Special Issue Nanoparticles in Biomedical Sciences)
Show Figures

Graphical abstract

19 pages, 3078 KB  
Article
Degradation Mechanisms of 4,7-Dihydroxycoumarin Derivatives in Advanced Oxidation Processes: Experimental and Kinetic DFT Study
by Žiko Milanović, Dušan Dimić, Erik Klein, Monika Biela, Vladimír Lukeš, Milan Žižić, Edina Avdović, Drago Bešlo, Radiša Vojinović, Jasmina Dimitrić Marković and Zoran Marković
Int. J. Environ. Res. Public Health 2023, 20(3), 2046; https://doi.org/10.3390/ijerph20032046 - 22 Jan 2023
Cited by 10 | Viewed by 2575
Abstract
Coumarins represent a broad class of compounds with pronounced pharmacological properties and therapeutic potential. The pursuit of the commercialization of these compounds requires the establishment of controlled and highly efficient degradation processes, such as advanced oxidation processes (AOPs). Application of this methodology necessitates [...] Read more.
Coumarins represent a broad class of compounds with pronounced pharmacological properties and therapeutic potential. The pursuit of the commercialization of these compounds requires the establishment of controlled and highly efficient degradation processes, such as advanced oxidation processes (AOPs). Application of this methodology necessitates a comprehensive understanding of the degradation mechanisms of these compounds. For this reason, possible reaction routes between HO and recently synthesized aminophenol 4,7-dihydroxycoumarin derivatives, as model systems, were examined using electron paramagnetic resonance (EPR) spectroscopy and a quantum mechanical approach (a QM-ORSA methodology) based on density functional theory (DFT). The EPR results indicated that all compounds had significantly reduced amounts of HO radicals present in the reaction system under physiological conditions. The kinetic DFT study showed that all investigated compounds reacted with HO via HAT/PCET and SPLET mechanisms. The estimated overall rate constants (koverall) correlated with the EPR results satisfactorily. Unlike HO radicals, the newly formed radicals did not show (or showed negligible) activity towards biomolecule models representing biological targets. Inactivation of the formed radical species through the synergistic action of O2/NOx or the subsequent reaction with HO was thermodynamically favored. The ecotoxicity assessment of the starting compounds and oxidation products, formed in multistage reactions with O2/NOx and HO, indicated that the formed products showed lower acute and chronic toxicity effects on aquatic organisms than the starting compounds, which is a prerequisite for the application of AOPs procedures in the degradation of compounds. Full article
Show Figures

Figure 1

14 pages, 2715 KB  
Article
Study of the Electrochemical Behavior of N-Substituted-4-Piperidones Curcumin Analogs: A Combined Experimental and Theoretical Approach
by John Amalraj, Claudia E. Vergara, Matías Monroy-Cárdenas, Ramiro Araya-Maturana and Maximiliano Martínez-Cifuentes
Int. J. Mol. Sci. 2022, 23(23), 15043; https://doi.org/10.3390/ijms232315043 - 30 Nov 2022
Cited by 3 | Viewed by 2175
Abstract
The electrochemical behavior of N-methyl- and N-benzyl-4-piperidone curcumin analogs were studied experimentally and theoretically. The studied compounds present different substituents at the para position in the phenyl rings (-H, -Br, -Cl, -CF3, and -OCH3). We assessed their electrochemical behavior [...] Read more.
The electrochemical behavior of N-methyl- and N-benzyl-4-piperidone curcumin analogs were studied experimentally and theoretically. The studied compounds present different substituents at the para position in the phenyl rings (-H, -Br, -Cl, -CF3, and -OCH3). We assessed their electrochemical behavior by differential pulse and cyclic voltammetry, while we employed density functional theory (DFT) M06 and M06-2x functionals along with 6-311+G(d,p) basis set calculations to study them theoretically. The results showed that compounds suffer a two-electron irreversible oxidation in the range of 0.72 to 0.86 V, with surface concentrations ranging from 1.72 × 10−7 to 5.01 × 10−7 mol/cm2. The results also suggested that the process is diffusion-controlled for all compounds. M06 DFT calculations showed a better performance than M06-2x to obtain oxidation potentials. We found a good correlation between the experimental and theoretical oxidation potential for N-benzyl-4-piperidones (R2 = 0.9846), while the correlation was poor for N-methyl-4-piperidones (R2 = 0.3786), suggesting that the latter suffer a more complex oxidation process. Calculations of the BDEs for labile C-H bonds in the compounds suggested that neither of the two series of compounds has a different tendency for a proton-coupled electron transfer (PCET) oxidation process. It is proposed that irreversible behavior is due to possible dimerization of the compounds by Shono-type oxidation. Full article
(This article belongs to the Special Issue Advances in Chemical Bond and Bonding 2.0)
Show Figures

Graphical abstract

15 pages, 1439 KB  
Article
DFT Study of the Direct Radical Scavenging Potency of Two Natural Catecholic Compounds
by Ana Amić and Denisa Mastiľák Cagardová
Int. J. Mol. Sci. 2022, 23(22), 14497; https://doi.org/10.3390/ijms232214497 - 21 Nov 2022
Cited by 10 | Viewed by 3331
Abstract
To ascertain quercetin’s and rooperol’s potency of H-atom donation to CH3OO and HOO, thermodynamics, kinetics and tunnelling, three forms of chemical reaction control, were theoretically examined. In lipid media, H-atom donation from quercetin’s catecholic OH groups via the [...] Read more.
To ascertain quercetin’s and rooperol’s potency of H-atom donation to CH3OO and HOO, thermodynamics, kinetics and tunnelling, three forms of chemical reaction control, were theoretically examined. In lipid media, H-atom donation from quercetin’s catecholic OH groups via the proton-coupled electron transfer (PCET) mechanism, is more relevant than from C-ring enolic moiety. Amongst rooperol’s two catecholic moieties, H-atom donation from A-ring OH groups is favored. Allylic hydrogens of rooperol are poorly abstractable via the hydrogen atom transfer (HAT) mechanism. Kinetic analysis including tunnelling enables a more reliable prediction of the H-atom donation potency of quercetin and rooperol, avoiding the pitfalls of a solely thermodynamic approach. Obtained results contradict the increasing number of misleading statements about the high impact of C–H bond breaking on polyphenols’ antioxidant potency. In an aqueous environment at pH = 7.4, the 3-O phenoxide anion of quercetin and rooperol’s 4′-O phenoxide anion are preferred sites for CH3OO and HOO inactivation via the single electron transfer (SET) mechanism. Full article
(This article belongs to the Special Issue Mechanisms Underlying Antioxidant Potency of Bioactive Compounds)
Show Figures

Graphical abstract

Back to TopTop