Sign in to use this feature.

Years

Between: -

Subjects

remove_circle_outline
remove_circle_outline
remove_circle_outline
remove_circle_outline
remove_circle_outline

Journals

Article Types

Countries / Regions

Search Results (18)

Search Parameters:
Keywords = PCC voltage estimation

Order results
Result details
Results per page
Select all
Export citation of selected articles as:
17 pages, 2240 KB  
Article
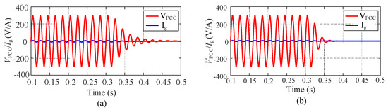
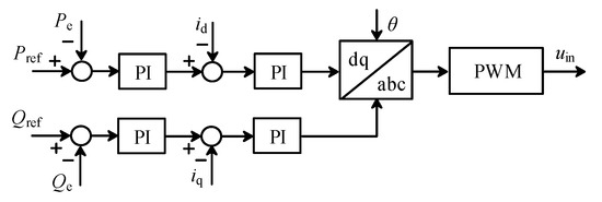
A Grid-Forming Battery Energy System with Mode-Adaptive Virtual Inductance Control
by Lijun Zheng and Xinghu Liu
Batteries 2026, 12(3), 102; https://doi.org/10.3390/batteries12030102 - 16 Mar 2026
Viewed by 317
Abstract
Battery Emergency Mobile Power Systems (BEMPSs) play a critical role in disaster recovery, remote electrification, and grid reinforcement, where resilient, rapidly deployable power supply is essential. However, conventional grid-forming (GFM) control strategies often rely on static parameters, limiting their adaptability during grid disturbances, [...] Read more.
Battery Emergency Mobile Power Systems (BEMPSs) play a critical role in disaster recovery, remote electrification, and grid reinforcement, where resilient, rapidly deployable power supply is essential. However, conventional grid-forming (GFM) control strategies often rely on static parameters, limiting their adaptability during grid disturbances, weak grid conditions, and operational mode transitions. This paper proposes a novel energy-aware adaptive control strategy for GFM inverters, tailored for EMPS applications. First, a multi-mode operation framework is developed to enable seamless transitions among grid-forming, grid-following (GFL), and islanded modes, incorporating a dual-loop circulating current decoupling mechanism to suppress transient current and provide damping. Second, a dynamic virtual inductance regulation scheme is introduced, adaptively modulating output impedance based on DC link energy, PCC voltage fluctuation, and grid strength estimation. Third, an energy-aware control law ensures real-time adjustment of inverter dynamics, enhancing damping performance towards the grid disturbance. Extensive time-domain simulations validate the proposed strategy’s effectiveness under mode switching and power disturbance scenarios. Results demonstrate superior dynamic performance, reduced transient overshoot, and improved system robustness compared to conventional methods, making the proposed controller highly suitable for flexible deployment. Full article
Show Figures

Figure 1

23 pages, 5058 KB  
Article
Research on State of Health Assessment of Lithium-Ion Batteries Using Actual Measurement Data Based on Hybrid LSTM–Transformer Model
by Hanyu Zhang and Jifei Wang
Symmetry 2026, 18(1), 169; https://doi.org/10.3390/sym18010169 - 16 Jan 2026
Cited by 1 | Viewed by 607
Abstract
An accurate assessment of the state of health (SOH) of lithium-ion batteries (LIBs) is crucial for ensuring the safety and reliability of energy storage systems and electric vehicles. However, existing methods face challenges: physics-based models are computationally complex, traditional data-driven methods rely heavily [...] Read more.
An accurate assessment of the state of health (SOH) of lithium-ion batteries (LIBs) is crucial for ensuring the safety and reliability of energy storage systems and electric vehicles. However, existing methods face challenges: physics-based models are computationally complex, traditional data-driven methods rely heavily on manual feature engineering, and single models lack the ability to capture both local and global degradation patterns. To address these issues, this paper proposes a novel hybrid LSTM–Transformer model for LIB SOH estimation using actual measurement data. The model integrates Long Short-Term Memory (LSTM) networks to capture local temporal dependencies with the Trans-former architecture to model global degradation trends through self-attention mechanisms. Experimental validation was conducted using eight 18650 Nickel Cobalt Manganese (NCM) LIBs subjected to 750 charge–discharge cycles under room temperature conditions. Sixteen statistical features were extracted from voltage and current data during constant current–constant voltage (CC-CV) phases, with feature selection based on the Pearson correlation coefficient and maximum information coefficient analysis. The proposed LSTM–Transformer model demonstrated superior performance compared to the standalone LSTM and Transformer models, achieving a mean absolute error (MAE) as low as 0.001775, root mean square error (RMSE) of 0.002147, and mean absolute percentage error (MAPE) of 0.196% for individual batteries. Core features including cumulative charge (CC Q), charging time, and voltage slope during the constant current phase showed a strong correlation with the SOH (absolute PCC > 0.8). The hybrid model exhibited excellent generalization across different battery cells with consistent error distributions and nearly overlapping prediction curves with actual SOH trajectories. The symmetrical LSTM–Transformer hybrid architecture provides an accurate, robust, and generalizable solution for LIB SOH assessment, effectively overcoming the limitations of traditional methods while offering potential for real-time battery management system applications. This approach enables health feature learning without manual feature engineering, representing an advancement in data-driven battery health monitoring. Full article
(This article belongs to the Section Engineering and Materials)
Show Figures

Figure 1

21 pages, 6418 KB  
Article
Large Signal Stability Analysis of Grid-Connected VSC Based on Hybrid Synchronization Control
by Kai Gong, Huangqing Xiao, Ying Huang and Ping Yang
Electronics 2026, 15(2), 269; https://doi.org/10.3390/electronics15020269 - 7 Jan 2026
Viewed by 337
Abstract
Hybrid synchronization control (HSC) has recently attracted considerable attention owing to its superior transient stability and adaptability to varying grid strengths. However, existing studies on HSC employ diverse control strategies for the Phase-Locked Loop (PLL) and the voltage control loop (VCL). Since both [...] Read more.
Hybrid synchronization control (HSC) has recently attracted considerable attention owing to its superior transient stability and adaptability to varying grid strengths. However, existing studies on HSC employ diverse control strategies for the Phase-Locked Loop (PLL) and the voltage control loop (VCL). Since both the PLL and VCL are associated with the q-axis component of the point of common coupling (PCC) voltage, the coupling effect between these two control loops and the impact of different controller configurations on system transient stability remain to be further explored. To address this gap, this study first analyzes the transient characteristics of the system under different PLL-VCL control combinations using the power-angle curve method. Subsequently, a Lyapunov stability criterion is established based on the Takagi–Sugeno (T-S) fuzzy model, enabling the estimation of the region of asymptotic stability (RAS). By comparing the RAS of different control combinations, the influence of the proportional coefficient in HSC on transient stability is quantitatively investigated. Finally, PSCAD electromagnetic transient simulations are carried out to verify the validity and accuracy of the theoretical analysis results. Full article
(This article belongs to the Section Power Electronics)
Show Figures

Figure 1

23 pages, 3607 KB  
Article
Dynamic Average-Value Modeling and Stability of Shipboard PV–Battery Converters with Curve-Scanning Global MPPT
by Andrei Darius Deliu, Emil Cazacu, Florențiu Deliu, Ciprian Popa, Nicolae Silviu Popa and Mircea Preda
Electricity 2025, 6(4), 66; https://doi.org/10.3390/electricity6040066 - 12 Nov 2025
Cited by 2 | Viewed by 816
Abstract
Maritime power systems must reduce fuel use and emissions while improving resilience. We study a shipboard PV–battery subsystem interfaced with a DC–DC converter running maximum power point tracking (MPPT) and curve-scanning GMPPT to manage partial shading. Dynamic average-value models capture irradiance steps and [...] Read more.
Maritime power systems must reduce fuel use and emissions while improving resilience. We study a shipboard PV–battery subsystem interfaced with a DC–DC converter running maximum power point tracking (MPPT) and curve-scanning GMPPT to manage partial shading. Dynamic average-value models capture irradiance steps and show GMPPT sustains operation near the global MPP without local peak trapping. We compare converter options—conventional single-port stages, high-gain bidirectional dual-PWM converters, and three-level three-port topologies—provide sizing rules for passives, and note soft-switching in order to limit loss. A Fourier framework links the switching ripple to power quality metrics: as irradiance falls, the current THD rises while the PCC voltage distortion remains constant on a stiff bus. We make the loss relation explicit via Irms2R scaling with THDi and propose a simple reactive power policy, assigning VAR ranges to active power bins. For AC-coupled cases, a hybrid EMT plus transient stability workflow estimates ride-through margins and critical clearing times, providing a practical path from modeling to monitoring. Full article
Show Figures

Figure 1

23 pages, 11587 KB  
Article
Robust Sensorless Active Damping of LCL Resonance in EV Battery Grid-Tied Converters Using μ-Synthesis Control
by Nabeel Khan, Wang Cheng, Muhammad Yasir Ali Khan and Danish Khan
World Electr. Veh. J. 2025, 16(8), 422; https://doi.org/10.3390/wevj16080422 - 27 Jul 2025
Viewed by 1299
Abstract
LCL (inductor–capacitor–inductor) filters are widely used in grid-connected inverters, particularly in electric vehicle (EV) battery-to-grid systems, for harmonic suppression but introduce resonance issues that compromise stability. This study presents a novel sensorless active damping strategy based on μ-synthesis control for EV batteries connected [...] Read more.
LCL (inductor–capacitor–inductor) filters are widely used in grid-connected inverters, particularly in electric vehicle (EV) battery-to-grid systems, for harmonic suppression but introduce resonance issues that compromise stability. This study presents a novel sensorless active damping strategy based on μ-synthesis control for EV batteries connected to the grid via LCL filters, eliminating the need for additional current sensors while preserving harmonic attenuation. A comprehensive state–space and process noise model enables accurate capacitor current estimation using only grid current and point-of-common-coupling (PCC) voltage measurements. The proposed method maintains robust performance under ±60% LCL parameter variations and integrates a proportional-resonant (PR) current controller for resonance suppression. Hardware-in-the-loop (HIL) validation demonstrates enhanced stability in dynamic grid conditions, with total harmonic distortion (THD) below 5% (IEEE 1547-compliant) and current tracking error < 0.06 A. Full article
Show Figures

Figure 1

23 pages, 5335 KB  
Article
Enhanced Power Sharing Control of an Islanded DC Microgrid with Unmatched Line Impedances
by Mulualem Tesfaye, Abdelhakim Saim, Azeddine Houari, Mohamed Machmoum and Jean-Christophe Olivier
Electronics 2025, 14(8), 1654; https://doi.org/10.3390/electronics14081654 - 19 Apr 2025
Cited by 1 | Viewed by 1693
Abstract
Nowadays, the rise of DC loads along with distributed energy resources (DERs) and energy storage systems (ESSs) have led to a growing interest in using direct current (DC) microgrid systems. Conventional droop control methods face significant limitations when applied to parallel-connected distributed generation [...] Read more.
Nowadays, the rise of DC loads along with distributed energy resources (DERs) and energy storage systems (ESSs) have led to a growing interest in using direct current (DC) microgrid systems. Conventional droop control methods face significant limitations when applied to parallel-connected distributed generation (DG) units, particularly in achieving balanced power sharing and minimizing voltage deviations. To overcome this issue, an enhanced power sharing control method is proposed in this paper to address load sharing in parallel-connected DG units based DC microgrids, considering unmatched line impedance and load variation. The enhanced control method aims to achieve balanced load power sharing and voltage control through the use of a Luenberger observer to estimate the Point of Common Coupling (PCC) bus voltage and accordingly estimate the voltage deviation. The proposed method compensates for the effects of unmatched line impedances and dynamic load variations, enabling accurate power sharing and precise DC bus voltage regulation. Various scenarios are studied to evaluate the performance of the proposed method under different operating conditions including system and load parameters variations. Finally, the performance of the proposed control method was validated through real-time simulation using OPAL-RT target, and compared with conventional droop control approaches. Full article
Show Figures

Figure 1

17 pages, 9362 KB  
Article
Enhanced Three-Phase Shunt Active Power Filter Utilizing an Adaptive Frequency Proportional-Integral–Resonant Controller and a Sensorless Voltage Method
by Haneen Ghanayem, Mohammad Alathamneh, Xingyu Yang, Sangwon Seo and R. M. Nelms
Energies 2025, 18(1), 116; https://doi.org/10.3390/en18010116 - 30 Dec 2024
Cited by 4 | Viewed by 2216
Abstract
This article introduces a frequency-adaptive control strategy for a three-phase shunt active power filter, aimed at improving energy efficiency and ensuring high power quality in consumer-oriented power systems. The proposed control system utilizes real-time frequency estimation to dynamically adjust the gain of a [...] Read more.
This article introduces a frequency-adaptive control strategy for a three-phase shunt active power filter, aimed at improving energy efficiency and ensuring high power quality in consumer-oriented power systems. The proposed control system utilizes real-time frequency estimation to dynamically adjust the gain of a proportional-integral–resonant (PIR) controller, facilitating precise harmonic compensation under challenging unbalanced grid conditions, such as unbalanced three-phase loads, grid impedance variations, and diverse nonlinear loads like three-phase rectifiers and induction motors. These scenarios often increase total harmonic distortion (THD) at the point of common coupling (PCC), degrading the performance of connected loads and reducing the efficiency of induction motors. The PIR controller integrates both proportional-integral (PI) and proportional-resonant (PR) control features, achieving improved stability and reduced overshoot. A novel voltage sensorless control method is proposed, requiring only current measurements to determine reference currents for the inverter, thereby simplifying the implementation. Validation of the frequency adaptive control scheme through MATLAB/Simulink simulations and real-time experiments on a dSPACE (DS1202) platform demonstrates significant improvements in harmonic compensation, energy efficiency, and system stability across varying grid frequencies. This approach offers a robust consumer-oriented solution for managing power quality, positioning the SAPF as a key technology for advancing sustainable energy management in smart applications. Full article
(This article belongs to the Special Issue Power Electronics and Power Quality 2024)
Show Figures

Figure 1

36 pages, 28072 KB  
Article
Four-Wire Three-Level NPC Shunt Active Power Filter Using Model Predictive Control Based on the Grid-Tied PV System for Power Quality Enhancement
by Zoubida Amrani, Abdelkader Beladel, Abdellah Kouzou, Jose Rodriguez and Mohamed Abdelrahem
Energies 2024, 17(15), 3822; https://doi.org/10.3390/en17153822 - 2 Aug 2024
Cited by 11 | Viewed by 2821
Abstract
The primary objective of this paper focuses on developing a control approach to improve the operational performance of a three-level neutral point clamped (3LNPC) shunt active power filter (SAPF) within a grid-tied PV system configuration. Indeed, this developed control approach, based on the [...] Read more.
The primary objective of this paper focuses on developing a control approach to improve the operational performance of a three-level neutral point clamped (3LNPC) shunt active power filter (SAPF) within a grid-tied PV system configuration. Indeed, this developed control approach, based on the used 3LNPC-SAPF topology, aims to ensure the seamless integration of a photovoltaic system into the three-phase four-wire grid while effectively mitigating grid harmonics, grid current unbalance, ensuring grid unit power factor by compensating the load reactive power, and allowing power sharing with the grid in case of an excess of generated power from the PV system, leading to overall high power quality at the grid side. This developed approach is based initially on the application of the four-wire instantaneous p-q theory for the identification of the reference currents that have to be injected by the 3LNPC-SAPF in the grid point of common coupling (PCC). Whereas, the 3LNPC is controlled based on using the finite control set model predictive control (FCS-MPC), which can be accomplished by determining the convenient set of switch states leading to the voltage vector, which is the most suitable to ensure the minimization of the selected cost function. Furthermore, the used topology requires a constant DC-link voltage and balanced split-capacitor voltages at the input side of the 3LNPN. Hence, the cost function is adjusted by the addition of another term with a selected weighting factor related to these voltages to ensure their precise control following the required reference values. However, due to the random changes in solar irradiance and, furthermore, to ensure efficient operation of the proposed topology, the PV system is connected to the 3LNPN-SAPF via a DC/DC boost converter to ensure the stability of the 3LNPN input voltage within the reference value, which is achieved in this paper based on the use of the maximum power point tracking (MPPT) technique. For the validation of the proposed control technique and the functionality of the used topology, a set of simulations has been presented and investigated in this paper following different irradiance profile scenarios such as a constant irradiance profile and a variables irradiance profile where the main aim is to prove the effectiveness and flexibility of the proposed approach under variable irradiance conditions. The obtained results based on the simulations carried out in this study demonstrate that the proposed control approach with the used topology under different loads such as linear, non-linear, and unbalanced can effectively reduce the harmonics, eliminating the unbalance in the currents and compensating for the reactive component contained in the grid side. The obtained results prove also that the proposed control ensures a consistent flow of power based on the sharing principle between the grid and the PV system as well as enabling the efficient satisfaction of the load demand. It can be said that the proposal presented in this paper has been proven to have many dominant features such as the ability to accurately estimate the power sharing between the grid and the PV system for ensuring the harmonics elimination, the reactive power compensation, and the elimination of the neutral current based on the zero-sequence component compensation, even under variable irradiance conditions. This feature makes the used topology and the developed control a valuable tool for power quality improvement and grid stability enhancement with low cost and under clean energy. Full article
(This article belongs to the Section A2: Solar Energy and Photovoltaic Systems)
Show Figures

Figure 1

18 pages, 8466 KB  
Article
Study on Harmonic Impedance Estimation Based on Gaussian Mixture Regression Using Railway Power Supply Loads
by Yankun Xia and Wenzhang Tang
Energies 2022, 15(19), 6952; https://doi.org/10.3390/en15196952 - 22 Sep 2022
Cited by 5 | Viewed by 1962
Abstract
There are a huge number of harmonics in the railway power supply system. Accurately estimating the harmonic impedance of the system is the key to evaluating the harmonic emission level of the power supply system. A harmonic impedance estimation method is proposed in [...] Read more.
There are a huge number of harmonics in the railway power supply system. Accurately estimating the harmonic impedance of the system is the key to evaluating the harmonic emission level of the power supply system. A harmonic impedance estimation method is proposed in this paper, which takes the Gaussian mixture regression (GMR) as the main idea, and is dedicated to calculating the harmonic impedance when the load changes or the background harmonic changes in the traction power supply system. First, the harmonic voltages and currents are measured at the point of common coupling (PCC); secondly, a Gaussian mixture model (GMM) is established and optimized parameters are obtained through the EM algorithm; finally, a Gaussian mixture regression is performed to obtain the utility side harmonic impedance. In the simulation study, different harmonic impedance estimation models with uniform distribution and Gaussian distribution are established, respectively, and the harmonic impedance changes caused by different system structures in the railway power supply system are simulated. At the same time, the error is compared with the existing method to judge the accuracy and robustness of this method. In the case analysis, the average value, average error, standard deviation and other indicators are used to evaluate this method. Among them, the average error and standard deviation of this method are about one-fifth to one-third of those of the binary linear regression (BLR) method and the independent random vector (IRV) method. At the same time, its index is slightly better than that of the support vector machine (SVM) method. Full article
(This article belongs to the Special Issue Power Quality Analysis and Control of Railway Power Supply Systems)
Show Figures

Figure 1

21 pages, 5238 KB  
Article
Linear Sensitivity Modelling Useful for Voltage Control Analysis Using Power Injections from DER
by Ulises D. Lubo-Matallana, Miguel Ángel Zorrozua and José Félix Miñambres
Energies 2021, 14(16), 4749; https://doi.org/10.3390/en14164749 - 4 Aug 2021
Cited by 1 | Viewed by 3182
Abstract
The injection of apparent power to self-consumption buses generates voltage variations during network operation, which, when properly monitored, could support voltage regulation and control. In this paper, we propose a linear sensitivity modelling, quite useful for studies of voltage regulation with distributed energy [...] Read more.
The injection of apparent power to self-consumption buses generates voltage variations during network operation, which, when properly monitored, could support voltage regulation and control. In this paper, we propose a linear sensitivity modelling, quite useful for studies of voltage regulation with distributed energy resources (DER). This modelling consists of two analytical improvement steps: first, a full formulation for the voltage deviations, and second, the influence of line capacitance as Q-injections at the points of common couplings (PCCs). Our proposal is based on the linear topological sensitivity of an existing network (as a function of the line parameters X, R, and Bc), branch power flow (active–reactive power (P-Q)), and power injections at the PCCs. Here, the linear sensitivity algorithm is applied to a modified IEEE 33-bus distribution system to demonstrate its extended effectiveness to voltage monitoring and control scenarios. Its application estimates and compensates in a better way the voltage deviations with regard to the operating desired voltage (|V|op) constraints, using distributed power injections at the PCCs. Numerical results always showed a curtailment of the relative error against common simplifications of the electrical modelling in steady-state, thus simulating two critical scenarios of operation production–consumption for the existing system response. The proposed algorithm was validated considering as reference the voltage profile outputs of the load flow analysis, using the Newton–Raphson method via DIgSILENT, in terms of its accuracy, silhouette shape along the feeder and with regard to the application of reactive compensation as an analytical case study for voltage improvement in active distribution networks. Full article
(This article belongs to the Special Issue Distribution Grids Modernization II)
Show Figures

Figure 1

16 pages, 3415 KB  
Article
Measurement-Based Distribution Grid Harmonic Impedance Models and Their Uncertainties
by Ravi Shankar Singh, Vladimir Ćuk and Sjef Cobben
Energies 2020, 13(16), 4259; https://doi.org/10.3390/en13164259 - 17 Aug 2020
Cited by 10 | Viewed by 3915
Abstract
Aggregated Norton’s equivalent models, with parallel impedance and current injection at different harmonic frequencies are used to model the distribution grid in harmonic studies. These models are derived based on measurements and/or prior knowledge about the grid. The measurement-based distribution (sub-)grid impedance estimation [...] Read more.
Aggregated Norton’s equivalent models, with parallel impedance and current injection at different harmonic frequencies are used to model the distribution grid in harmonic studies. These models are derived based on measurements and/or prior knowledge about the grid. The measurement-based distribution (sub-)grid impedance estimation method uses harmonic phasors of 3-phase current and voltage measurements to capture the response of the distribution (sub-)grid before and after an event in the utility side of the grid. However, due to increasing non-linear components in the grid, knowledge about uncertainty in parameters of such equivalent models which intrinsically describe a linear grid becomes important. The aim of this paper is to present two novel methods to calculate the uncertainty of the measurement-based Norton’s equivalent harmonic model of the distribution (sub-)grids as seen from the utility side at the Point of Common Coupling (PCC). The impedance and the uncertainty calculations are demonstrated on a simulated network. Full article
(This article belongs to the Special Issue Harmonics and Quality of Power)
Show Figures

Figure 1

19 pages, 5123 KB  
Article
Method for Estimating Harmonic Parameters Based on Measurement Data without Phase Angle
by Fulin Zhou, Feifan Liu, Ruixuan Yang and Huanrui Liu
Energies 2020, 13(4), 879; https://doi.org/10.3390/en13040879 - 17 Feb 2020
Cited by 10 | Viewed by 2943
Abstract
The excessive use of power electronics makes power quality problems in power grids increasingly prominent. The estimation of the harmonic parameters of harmonic sources in the power grid and the division of harmonic responsibilities are of great significance for the evaluation of power [...] Read more.
The excessive use of power electronics makes power quality problems in power grids increasingly prominent. The estimation of the harmonic parameters of harmonic sources in the power grid and the division of harmonic responsibilities are of great significance for the evaluation of power quality. At present, methods for estimating harmonic parameters and harmonic responsibilities need to provide the amplitude and phase information of the current and voltage of the point of common coupling (PCC). However, in practical engineering applications, the general power quality monitor only provides the amplitude information of the voltage and current of the measured point and the phase difference information between them. Missing phase information invalidates existing methods. Based on the partial least squares regression method, the present work proposes a method for estimating harmonic parameters in the case of monitoring data without phase. This method only needs to measure the amplitude information of the harmonic voltage and current of the PCC and the phase difference between them, then use the measurable data to estimate the harmonic parameters and the harmonic responsibility of each harmonic source. It provides a new way to effectively solve the problem that the measured data of the project has no phase information. The feasibility and effectiveness of the proposed method are proved by simulation data and measured engineering data. Full article
(This article belongs to the Special Issue Machine Learning for Energy Systems)
Show Figures

Figure 1

18 pages, 3999 KB  
Article
Unified Predictive Current Control of PMSMs with Parameter Uncertainty
by Peng Tang, Yuehong Dai and Zhaoyang Li
Electronics 2019, 8(12), 1534; https://doi.org/10.3390/electronics8121534 - 12 Dec 2019
Cited by 10 | Viewed by 3202
Abstract
Predictive current control (PCC) applied on permanent magnet synchronous motors (PMSMs) has been developed into mainly three methods: the conventional finite-control-set PCC, the double voltage vectors PCC, and deadbeat PCC. However, each approach has its particular calculation way for voltage vectors selection and [...] Read more.
Predictive current control (PCC) applied on permanent magnet synchronous motors (PMSMs) has been developed into mainly three methods: the conventional finite-control-set PCC, the double voltage vectors PCC, and deadbeat PCC. However, each approach has its particular calculation way for voltage vectors selection and respective execution duration. This paper, based on the deadbeat idea, presents a unified predictive current control scheme of PMSMs. Under this scheme, the prior three classes are able to be clearly unified into one frame with lower calculation effort. Furthermore, to cope with problem of parameter mismatch in dq-axis current predictive model, a integrated identification method is proposed. Firstly, data selectors are designed to reject abnormal data of sampling signals, and then the interval-varying multi-innovation least squares algorithm is combined with forgetting factor (V-FF-MILS) to approximate the error terms caused by electromagnetic parameters error. The estimated results are online fed to the model of PMSM to enhance its accuracy. Finally, the processor in loop (PIL) simulation results verify that the proposed integrated scheme has advantages in current control of PMSMs with large-scale parameter uncertainty. Full article
(This article belongs to the Special Issue Advanced Control Systems for Electric Drives)
Show Figures

Figure 1

19 pages, 2814 KB  
Article
Determining the Responsibility of Three-Phase Unbalanced Sources Based on RICA
by Yixuan Yang, Ying Wang and Xiaoyang Ma
Energies 2019, 12(15), 2849; https://doi.org/10.3390/en12152849 - 24 Jul 2019
Cited by 7 | Viewed by 3831
Abstract
Voltage unbalance is one of the main power quality problems, and the source of many negative effects on utilities that are experienced by customers. In this paper, a method based on robust independent component analysis (RICA) for responsibility division of unbalanced sources is [...] Read more.
Voltage unbalance is one of the main power quality problems, and the source of many negative effects on utilities that are experienced by customers. In this paper, a method based on robust independent component analysis (RICA) for responsibility division of unbalanced sources is proposed for voltage unbalance. According to the weak correlation between negative-sequence voltage and upstream and downstream current fluctuation at the point of common coupling (PCC), the independent component of the negative-sequence voltage and current fluctuation at the point of common coupling is obtained by RICA. The blind source mixing coefficient matrix can be obtained according to the least squares method. The equivalent negative-sequence impedance on both sides of the PCC can be obtained using the linear correlation between the mixing coefficients. Finally, according to the principle of partial pressure, the unbalance contribution of the upstream and downstream at the PCC is calculated. The method is accurate for upstream and downstream impedance estimation compared with the traditional method, and has a strong anti-interference ability. When the background noise or system fluctuation is large, the responsibility division result is still accurate. The correctness and effectiveness of the proposed method are proven by the simulation of the experimental circuit. Full article
(This article belongs to the Special Issue Power Quality: Monitoring, Mitigation, and New Types of Disturbances)
Show Figures

Figure 1

13 pages, 655 KB  
Article
Experimental Study of the Summation of Flicker Caused by Wind Turbines
by Koldo Redondo, José Julio Gutiérrez, Izaskun Azcarate, Purificación Saiz, Luis Alberto Leturiondo and Sofía Ruiz de Gauna
Energies 2019, 12(12), 2404; https://doi.org/10.3390/en12122404 - 22 Jun 2019
Cited by 9 | Viewed by 4620
Abstract
Integration of wind energy into the grid faces a great challenge regarding power quality. The International Electrotechnical Commission (IEC) 61400-21 standard defines the electrical characteristics that need to be assessed in a Wind Turbine (WT), as well as the procedure to measure the [...] Read more.
Integration of wind energy into the grid faces a great challenge regarding power quality. The International Electrotechnical Commission (IEC) 61400-21 standard defines the electrical characteristics that need to be assessed in a Wind Turbine (WT), as well as the procedure to measure the disturbances produced by the WT. One of the parameters to be assessed are voltage fluctuations or flicker. To estimate the flicker emission of a Wind Power Plant (WPP), the standard establishes that a quadratic exponent should be used in the summation of the flicker emission of each WT. This exponent was selected based on studies carried out in WPPs with type I and II WTs. Advances in wind turbine technology have reduced their flicker emission, mainly thanks to the implementation of power electronics for the partial or total management of the power injected into the grid. This work is based on measurements from a WPP with 16 type III WTs. The flicker emission of a single WT and of the WPP were calculated. Low flicker emission values at the Point of Common Coupling (PCC) of the WPP were obtained. The flicker estimation at the PCC, based on the measurement from a single WT, was analyzed using different exponents. The results show that a cubic summation performs better than the quadratic one in the estimation of the flicker emission of a WPP with type III WTs. Full article
(This article belongs to the Special Issue Power Quality: Monitoring, Mitigation, and New Types of Disturbances)
Show Figures

Figure 1

Back to TopTop