Next Article in Journal
Electric Vehicle Adoption in Egypt: A Review of Feasibility, Challenges, and Policy Directions
Previous Article in Journal
Coordinated Slip Ratio and Yaw Moment Control for Formula Student Electric Racing Car
 
 
Font Type:
Arial Georgia Verdana
Font Size:
Aa Aa Aa
Line Spacing:
Column Width:
Background:
Article

Robust Sensorless Active Damping of LCL Resonance in EV Battery Grid-Tied Converters Using μ-Synthesis Control

1
School of Petroleum and Natural Gas Engineering, Changzhou University, Changzhou 213164, China
2
College of Water Conservancy and Hydropower Engineering, Hohai University, Nanjing 210098, China
3
College of Electrical Engineering, Zhejiang University, Hangzhou 310000, China
*
Author to whom correspondence should be addressed.
World Electr. Veh. J. 2025, 16(8), 422; https://doi.org/10.3390/wevj16080422
Submission received: 12 July 2025 / Revised: 22 July 2025 / Accepted: 24 July 2025 / Published: 27 July 2025

Abstract

LCL (inductor–capacitor–inductor) filters are widely used in grid-connected inverters, particularly in electric vehicle (EV) battery-to-grid systems, for harmonic suppression but introduce resonance issues that compromise stability. This study presents a novel sensorless active damping strategy based on μ-synthesis control for EV batteries connected to the grid via LCL filters, eliminating the need for additional current sensors while preserving harmonic attenuation. A comprehensive state–space and process noise model enables accurate capacitor current estimation using only grid current and point-of-common-coupling (PCC) voltage measurements. The proposed method maintains robust performance under ±60% LCL parameter variations and integrates a proportional-resonant (PR) current controller for resonance suppression. Hardware-in-the-loop (HIL) validation demonstrates enhanced stability in dynamic grid conditions, with total harmonic distortion (THD) below 5% (IEEE 1547-compliant) and current tracking error < 0.06 A.

1. Introduction

1.1. Background

The rapid growth of electric vehicle (EV) battery systems has significantly increased the adoption of grid-connected inverters (GCIs), which play a vital role in enabling vehicle-to-grid (V2G) integration and bidirectional power flow. Most modern GCIs rely on pulse-width modulation (PWM) to control power converter switching, but this method generates high-frequency (HF) output currents with unwanted harmonic distortions [1]. These PWM-induced harmonics present major challenges to grid power quality and stability when connecting EV batteries, highlighting the need for advanced mitigation techniques [2].

1.2. Literature Review

To mitigate these issues, effective filtering solutions are essential. While LC or LCL filters are more commonly used for advanced harmonic suppression, standalone L filters are occasionally employed in applications with relaxed ripple requirements or strict space/cost constraints [3]. The LCL filter offers advantages over the LC filter, such as reduced inrush current due to the additional inductor, as well as better high-frequency (HF) attenuation. However, this topology introduces a resonant peak that can trigger HF oscillations, potentially destabilizing current-controlled inverters [4]. This stability challenge poses a critical obstacle to reliable grid integration of EV battery systems, underscoring the need for advanced damping techniques to ensure robust system performance.
The mitigation of resonance peaks in GCIs primarily employs two approaches: active damping (AD) and passive damping (PD) [5]. PD incorporates resistive elements into the LCL filter, offering simplicity but incurring undesirable power losses [6]. PD methods can be classified into three main categories, as shown in Figure 1. The basic configurations include PD-I (resistor across inverter-side inductor), PD-II (resistor across grid-side inductor), and PD-III(a) (series resistor with filter capacitor). These approaches effectively suppress resonance peaks with simple implementation but compromise HF attenuation and incur power losses [7]. An improved variant, PD-III(b), places a parallel damping resistor across the filter capacitor to enhance HF performance, though at the expense of increased losses due to PCC voltage effects [8]. PD-III(c) employs a shunt RC branch across the capacitor to maintain HF attenuation while minimizing losses through optimized capacitor splitting [9]. The PD-III(d) configuration introduces a shunt RLC circuit with an additional damping inductor that bypasses fundamental current components, significantly reducing power dissipation [10]. Similar benefits are achieved in PD-III(e) using series RLC dampers or trap filters, which also enable size reductions in filter inductors while suppressing multiple resonances [11]. These advanced methods demonstrate the ongoing trade-off between resonance control, harmonic attenuation, and system efficiency in passive damping solutions.
In contrast, AD—favored in practical applications—relies on advanced control strategies for higher efficiency. AD methods can be broadly classified into two categories: single-loop and multi-loop approaches, as shown in Figure 2. Single-loop methods, which include cascaded compensation, feedback compensation, and miscellaneous techniques, offer simplicity in implementation but are prone to instability due to their sensitivity to grid impedance variations and LCL filter parameter mismatches [12]. To address these limitations, multi-loop methods were developed, utilizing additional feedback signals such as capacitor current feedback, capacitor voltage feedback and observer-based techniques. While multi-loop methods significantly improve system robustness, they come with increased design complexity, creating a fundamental trade-off between performance and implementation difficulty in AD solutions [13]. A common AD technique emulates PD by feeding back state variables, though this often requires additional sensors or differentiators, increasing noise sensitivity [14,15,16,17]. Alternative approaches, such as notch filters, precisely target resonance peaks but suffer from parameter-dependent performance [18,19]. While adaptive control algorithms improve robustness, they introduce computational complexity. Similarly, time-delay adjustment methods based on the Nyquist criterion often lack adaptability in dynamic real-world systems [16]. Recent developments in filter-based methods have sought to enhance stability by reshaping closed-loop frequency characteristics [20,21]. However, these approaches often fail to adequately suppress resonance peaks, potentially amplifying HF harmonics. Although robust control strategies, such as sliding mode control, have been proposed to stabilize LCL-filtered GCIs, their implementation complexity limits practical adoption [22,23,24].
Among active damping techniques, capacitor-current-feedback active damping (CCF-AD) demonstrates superior performance in resonance suppression while preserving HF attenuation [25,26,27,28]. Yet, its reliance on an additional current sensor and sampling circuitry raises system costs, hindering deployment in cost-sensitive applications like small-scale single-phase EV-GCIs. The following are the main research gaps identified in the literature:
  • Existing solutions for HF oscillation suppression in LCL filters often incur substantial implementation costs, creating a need for economically viable alternatives without compromising performance.
  • While capacitor-current-feedback methods demonstrate effective resonance control, their reliance on additional current sensors increases system complexity and cost, highlighting the demand for accurate sensorless estimation techniques.
  • Most control strategies exhibit sensitivity to LCL filter parameter variations—particularly in renewable energy applications where component tolerances and aging effects are significant—necessitating more adaptive solutions.

1.3. Contribution

To overcome these limitations, this study presents an AD control strategy based on μ-synthesis filter techniques. The approach employs real-time sampling of injected current and point-of-common-coupling (PCC) voltage to estimate capacitor current, which is then fed back into the control loop. A proportional-resonant (PR) controller is integrated to ensure precise reference signal tracking. By treating LCL filter parameter uncertainties as process noise, the μ-synthesis filter achieves accurate capacitor current estimation, even under system parameter variations. Through optimized feedback gains, the proposed method robustly suppresses LCL filter resonance peaks across diverse operating conditions. The following are the main contributions of this study:
  • A cost-effective AD strategy is proposed for a single-phase LCL-filtered EV battery GCI system that minimizes hardware requirements to effectively mitigate HF oscillations in LCL filters.
  • An innovative sensorless AD technique is developed, ensuring accurate performance without requiring any additional current sensors.
  • The effective damping region is widened, ensuring system stability under LCL parameter variations and changing grid impedance conditions.

1.4. Organization

The remainder of this paper is organized as follows. Section 2 establishes the system model for the single-phase LCL-filtered EV battery GCI system, analyzing its frequency characteristics through Bode plot interpretation to reveal key resonant behaviors and their physical significance. Section 3 presents the proposed control methodology by first developing a process noise representation of LCL filter parameter uncertainties and then reformulating the system model into the standard μ-synthesis configuration to enable robust filter derivation through an algebraic Riccati equation solution. Section 4 and Section 5 present simulation and experimental results that collectively validate the practical implementation and superior performance characteristics of the proposed control strategy under various operating conditions. Finally, the concluding remarks are presented in Section 6.

2. System Modelling

2.1. LCL Filter Modeling in GCI System with CCF-AD Loop

Figure 3a depicts a single-phase LCL-filtered EV battery GCI system, which includes an EV battery as DC power source, a single-phase full-bridge inverter, and the AC power grid. In this work, the EV battery is assumed to be fully charged, and power flows from the battery to the grid through an inverter and an LCL filter. The specifications of the EV battery system are provided in Table 1 [29]. A schematic diagram of the LCL-filtered GCI system is shown in Figure 3b. The LCL filter comprises an inverter-side inductor ( L 1 ) , a filter capacitor ( C ), and a grid-side inductor ( L 2 ) , each with parasitic resistances ( R 1 , R c , R 2 ). The voltage at the PCC ( u p c c ) is critical for phase extraction using phase-locked loop (PLL) algorithms, generating a synchronous current reference for the closed-loop system. We employ a second-order generalized integrator PLL, which has a bandwidth lower than that of the current control loop, thereby minimizing its impact on HF performance [30]. The grid inductance is represented as ( L g ) , and the grid voltage as ( u g ) . The SPWM modulator compares the controller output with a triangular carrier wave to generate switching signals u m , achieving voltage conversion while maintaining harmonic performance within IEEE 1547 limits [31]. The carrier frequency optimally balances switching losses and harmonic attenuation, with dead-time compensation implemented to minimize voltage distortion.
The conventional CCF-AD method is employed to attenuate the influence of resonance frequency, as documented in [25,26,27,28]. This method is widely recognized for its effectiveness in improving system stability and response.
Figure 4 showcases the simplified linearized model of the GCI system illustrated in Figure 3b, encompassing the internal damping loop of the CCF-AD method. In this configuration, the capacitor current is employed as feedback, regulated by a coefficient, to mitigate the intrinsic resonance peak within the LCL filter. This approach allows for the real-time adjustment of damping characteristics, enhancing the overall performance of the system. The relationship between the grid and capacitor currents to the voltage of the inverter can be described by the following transfer functions (component parasitic resistances ( R 1 , R c , R 2 ) are ignored to consider the worst stability case):
Grid current i 2 ( s ) to inverter output voltage u i ( s ) :
G 2 ( s ) = i 2 ( s ) u i ( s ) = 1 ( L 1 + L 2 ) s ω r e s 2 ( s 2 + ω r e s 2 )
Capacitor current i c ( s ) to inverter output voltage u i ( s ) :
H c ( s ) = i c ( s ) u i ( s ) = s L 1 ( s 2 + ω r e s 2 )
where ω r e s is the angular resonance frequency.
ω r e s = L 1 + L 2 L 1 L 2 C
To achieve precise current tracking and robust disturbance rejection, the control architecture employs a proportional-resonant (PR) controller augmented with harmonic compensators. The combined current controller G P R ( s ) is structured as:
G P R ( s ) = k p + 2 k i ω c s s 2 + 2 ω c s + ω L 2
Among the parameters, ω L represents the fundamental frequency; k p represents the proportional gain and corresponds to the resonant gain; ω c denotes the resonant controller’s cut-off frequency, defining the bandwidth (−3 dB) around the target frequency ω L . A smaller ω c enhances harmonic selectivity but slows transient response, while a larger value improves dynamics at the cost of reduced frequency discrimination [32]. The transfer function G d s , which accounts for all delays associated with digital computation, is given in Equation (4) [33]:
G d s = 1 T s . e s T s . 1 e s T s s e 1.5 T s s
Figure 4 demonstrates that G c d ( s ) can be transformed into a virtual impedance Z d operating in parallel with the filter capacitor [25]. For enhanced clarity, Figure 5 presents a simplified representation where the feedback loop is modeled as a basic parallel resistor-capacitor configuration, expressed as:
G c d s = R a
By combining the analysis from Figure 4 with Equation (5), the system’s open-loop transfer function is derived as:
G o L ( s ) = i 2 ( s ) i 2 _ r e f ( s ) = K P W M R a G P R ( s ) G d ( s ) L 1 L 2 C s 3 + K P W M R a L 2 C e s T s s 2 + ( L 1 + L 2 ) s

2.2. Stability Analysis of CCF-AD Under Resonance Frequency Shift

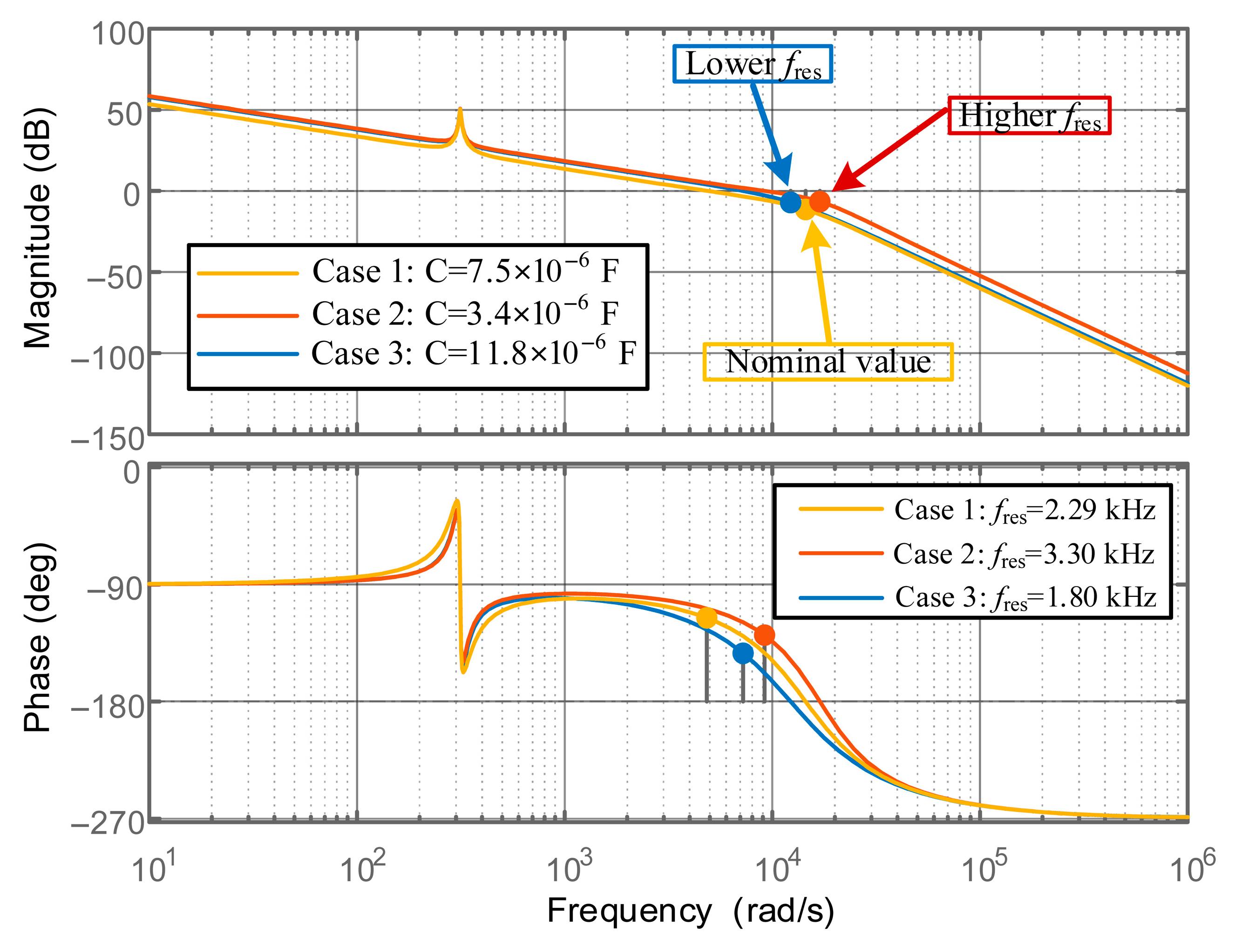
To evaluate the performance of the CCF-AD loop with a fixed damping resistance (Ra = 5 Ω) under varying resonant conditions, we analyze the frequency response of Equation (6) while systematically adjusting the LCL filter capacitor value, as shown in Figure 6. Using the nominal parameters listed in Table 2, the initial resonance frequency is measured at 2.29 kHz, where the CCF-AD loop successfully suppresses the resonance peak while maintaining high-stability margins. However, when the capacitor value is reduced to 3.4 µF (shifting resonance to 3.30 kHz) or increased to 11.8 µF (lowering resonance to 1.80 kHz), the fixed-gain CCF-AD loop fails to adequately attenuate the resonance peaks, as evidenced by negative gain margins and degraded phase characteristics. These results demonstrate that while conventional CCF-AD performs well at the designed resonance frequency, it cannot maintain stability under significant parameter variations.
To address this limitation while maintaining system performance, we propose a μ-synthesis filter design methodology. This advanced approach enables real-time capacitor current estimation through (1) a process noise model that accounts for parameter uncertainties, and (2) a generalized state–space representation of the LCL filter dynamics. The estimation algorithm dynamically adjusts to varying operating conditions by processing real-time measurements of grid current, grid voltage, and system delay states, ensuring accurate current tracking across different resonance frequencies.

3. Active Damping with u-Synthesis Filter

3.1. Noise Process Model

Parametric uncertainties caused by component aging, magnetic core saturation, and related factors substantially influence the system’s dynamic behavior. The state–space representation of the LCL filter can be enhanced to account for these variations by defining the state vector as x = [ i 1   u c   i 2 ] T and incorporating process noise. Based on Equation (2), the modified state equations in matrix form become:
x ˙ t = A x t + B u u i t + B d u P C C t + w t
where:
A = R 1 + R c L 1 1 L 1 R c L 1 1 C 0 1 C R c L 2 1 L 2 R 2 + R c L 2 , B u = 1 L 1 0 0 T , B d = 0 0 1 L 2 T , and w t = w 1 t w 2 t w 3 t T
The process noise vector w ( t ) R n represents real-valued disturbances affecting system dynamics, with its dimension determined by the state–space structure. Under parametric uncertainties, the state transition matrix A adopts the modified form as follows:
A P = R 1 + R c + Δ R 1 + Δ R c L 1 + Δ L 1 1 L 1 + Δ L 1 R c + Δ R c L 1 + Δ L 1 1 C + Δ C 0 1 C + Δ C R c + Δ R c L 2 + Δ L 2 1 L 2 + Δ L 2 R 2 + R c + Δ R 2 + Δ R c L 2 + Δ L 2
Since the parameter deviations fluctuate within a specific range as the operating conditions change, they can be treated as time-varying variables. The parameter deviation matrix is defined as Δ A = A p A , where A p {n × n} denotes the perturbed state transition matrix and A ∈ ℝ{n × n} represents the nominal state matrix. This formulation yields the parameter deviation matrix in the explicit form as follows:
Δ A = Δ a 11 Δ a 12 Δ a 13 Δ a 21 Δ a 22 Δ a 23 Δ a 31 Δ a 32 Δ a 33
where:
Δ a 11 = Δ R 1 + Δ R c L 1 R 1 + R c Δ L 1 L 1 L 1 + Δ L 1 , Δ a 12 = Δ L 1 L 1 L 1 + Δ L 1 , Δ a 13 = Δ R c L 1 R c Δ L 1 L 1 L 1 + Δ L 1 , Δ a 21 = Δ C C C + Δ C , Δ a 22 = 0 , Δ a 23 = Δ C C C + Δ C , Δ a 31 = Δ R c L 2 R c Δ L 2 L 2 L 2 + Δ L 2 , Δ a 32 = Δ L 2 L 2 L 2 + Δ L 2 , Δ a 33 = Δ R 2 + Δ R c L 2 R 2 + R c Δ L 2 L 2 L 2 + Δ L 2 .
Therefore, the process noise vector is formally derived through the following relationship with the parameter variations:
w t = Δ A t x t = i = 1,2 , 3 Δ a 1 i x i i = 1,2 , 3 Δ a 2 i x i i = 1,2 , 3 Δ a 3 i x i
The voltage drop across the inductor L 2 is negligible compared to the voltage at the point of common coupling u p c c , allowing the approximation u c u p c c . The grid current i 2 , as the controlled variable, has its magnitude determined by the GCI’s operating conditions, while its phase aligns with u p c c under unity power factor operation. Consequently, the filter capacitor current i c exhibits a 90° phase lead relative to i 2 , with its magnitude governed by i c = ω C u p c c . Since i 1 = i 2 + i c , the magnitude of the inverter output current can be derived as:
I 1 m = I 2 m 2 + I C m 2
Based on Equation (9), the relationship Δ a 21 = Δ a 23 holds, which directly leads to the expression w 2 = Δ a 21 i c for the second component of the process noise vector. Analysis of the Δ A matrix elements reveals that their absolute values attain maximum magnitudes when system parameters reach their extreme minimum values within the defined variation ranges. This parameter dependence allows for estimation of the process noise vector’s upper bounds through the following derivation:
W 1 W 2 W 3 = Δ a 11 I 1 m + Δ a 12 U P C C m + Δ a 13 I 2 m Δ a 21 I C m Δ a 31 I 1 m + Δ a 32 U P C C m + Δ a 33 I 2 m
Here, U P C C m represents the magnitude (RMS value) of the single-phase PCC voltage. The process noise vector w ( t ) can be normalized through appropriate scaling to satisfy the condition w ¯ t < 1 . This normalization is achieved by introducing a scaling matrix W , such that:
w t = d i a g W 1 W 2 W 3 w ¯ t w ¯ t < 1
The diagonal matrix d i a g ( W 1 , W 2 , W 3 ) is formally denoted as B ¯ w , which quantifies how parameter perturbations propagate through the system dynamics. This matrix serves as the input gain for the scaled process noise w ¯ , mapping normalized disturbances to their physical effects on state variables. By similarly scaling the control inputs u i to u ¯ i and u p c c to u ¯ p c c (all satisfying u ¯ t < 1 ), the complete input-channel formulation becomes:
B ¯ x = U d c L 1 0 0 T B ¯ y = 0 0 U P C C m L 2 T
Therefore, the state–space representation in Equation (7) can be reformulated to incorporate the normalized inputs and process noise as follows:
x ˙ t = A x t + B 0 w z t
where the combined external input vector w z ( t ) = [ u ¯ i n v ( t ) , u ¯ p c c ( t ) , w ¯ ( t ) ] has an infinity norm w z ( t ) < 1 and enters the system through the composite input matrix B 0 = [ B ¯ x , B ¯ y , B ¯ w ] , which incorporates the control, grid coupling, and process noise channels.

3.2. Robust μ-Synthesis Filter Design

The robust μ-synthesis filter design represents a significant advancement over conventional H∞ control methods by directly addressing the challenges posed by parametric uncertainties in GCI systems. The basic workflow diagram of μ-synthesis is presented in Figure 7. Unlike standard approaches, this methodology explicitly accounts for real-world variations in system parameters, including component aging, magnetic core saturation, and manufacturing tolerances, through its structured uncertainty framework.
The control design follows a linear fractional transformation (LFT) framework as voltage u ¯ p c c ( t ) , and process noise w ¯ ( t ) . The controller K ( s ) minimizes the performance output Δ z while using the measured output y to generate the control signal u . This formulation separates the nominal plant dynamics from uncertainty blocks while maintaining norm constraints on all signals.
The μ-synthesis method fundamentally differs through its explicit parametric uncertainty modeling. The generalized plant P ( s ) is structured into sub-matrices (Equation (16)), where each element can vary within predetermined bounds to systematically account for parameter variations.
P s = P 11 s P 12 s P 21 s P 22 s
The parametric uncertainty from Equation (16) is systematically integrated into the LFT framework, formally establishing the transfer function relationship from input disturbances w z to performance outputs Δ z , as derived in Equation (17). This formulation enables:
Δ z = P 11 + P 12 K I P 22 K 1 P 21 w z = K l P , K w z
The μ-synthesis design aims to develop a stabilizing controller K ( s ) that minimizes the robust H∞ norm | | K l ( P , K ) | | , where K l ( P , K ) denotes the lower LFT of the generalized plant P ( s ) and controller K ( s ) . Unlike conventional control approaches, the μ-synthesis controller functions as an observer, providing accurate estimates of critical signals, such as the capacitor current i c (denoted as z ), without directly altering the plant dynamics P ( s ) . This formulation resembles the H∞ filtering problem but extends it to explicitly address parametric uncertainties inherent in the system.
For the LCL filter under study, the error signal Δ z is defined as the deviation between the actual capacitor current z and its estimate u . The measurable output vector y and the scaled external input vector w z are carefully selected to encapsulate the system’s input–output behavior. The output equations are derived as follows:
y = C 2 x + D 21 w z + D 22 u
Δ z = C 1 x + D 11 w z + D 12 u
where:
C 2 = 0 0 1 0 0 0 0 0 0 , D 21 = 0 0 0 0 0 1 0 0 0 0 0 U P C C m 0 0 0 , D 22 = 0 0 0 , C 1 = 1 0 1 , D 12 = 1 , and D 11 = 0 0 0 0 0 .
By integrating Equations (15), (18), and (19), the complete state–space realization of G o L is derived as:
x ˙ = A x + B 0 B 1 w z u Δ z y = C 1 C 2 x + D 11 D 12 D 21 D 22 w z u
The condition B 1 = 0 indicates that the estimated signal from the μ-synthesis observer does not directly influence the plant dynamics P ( s ) . Consequently, Equation (18) establishes the canonical formulation for the μ-synthesis control problem, which can be interpreted as:
B 0 D 21 = U d c L 1 0 W 1 0 0 0 0 0 W 2 0 0 U P C C m L 2 0 0 W 3 0 0 0 0 0 0 0 0 0 0 0 0 0 0 0
C 2 D 21 = 0 0 1 0 0 0 0 0 0 0 0 1 0 0 0 0 0 0 0 0 U P C C m 0 0 0
The linear independence of row vectors in Equations (21) and (22) (excluding the fourth row in Equation (21)) ensures that the composite matrix in Equation (23) maintains full row rank across all frequencies ω. This structural property guarantees:
A j ω I B 0 C 2 D 21
The observability matrix for the system pair ( C 2 , A ) can be constructed as:
O b = 0 0 0 a 31 0 0 i = 1 3 a 3 i a i 1 0 0 0 0 0 a 32 0 0 i = 1 3 a 3 i a i 2 0 0 1 0 0 a 33 0 0 i = 1 3 a 3 i a i 3 0 0 T
The element a i j denotes the entry at the i-th row and j-th column of matrix A . The observability matrix O b for the pair ( C 2 , A ) has full column rank, confirming that the system is fully observable and detectable. Consequently, for any γ > 0 , a stabilizing solution K ( s ) satisfying the μ-synthesis performance condition | | K l ( P , K ) | | can be obtained by solving the associated algebraic Riccati Equation [34].
The resulting K ( s ) is then expressed in transfer function format as follows: to derive the optimal μ-synthesis filter K ( s ) , the value of γ is iteratively reduced via the bisection method until the desired estimation accuracy is achieved. This optimization process is efficiently implemented using MATLAB’s (2023a) hinfsyn command [34], yielding K ( s ) in transfer function form:
i ̑ C = K 1 s K 2 s K 3 s i 2 u ¯ i u P C C
The normalized inverter input u ¯ i is defined as 1 U D C , where u i is the actual inverter voltage and U D C the DC-link voltage. In digitally controlled grid-connected inverters, u i is typically replaced by the modulation signal u m from the preceding sampling period.
Figure 8 illustrates the resulting μ-synthesis filter-based active damping architecture, from which the open-loop transfer function G o L _ d between the reference current i 2 , r e f and grid current i 2 can be derived as:
G o L _ d s = G P R s K P W M G 2 s 1 + G c d K 3 s G d s + G c d K 1 s K P W M s G 2 s
The system is designed to accommodate LCL filter parameter variations of ±60% around nominal values, with the process noise input matrix B ¯ w calculated under worst-case conditions, where all parameters are reduced by 60% at full-load operation (15 A). The PR controller parameters, optimized for power quality as documented in [35], are specified in Table 2 and include proportional and resonant gains tailored for harmonic suppression and dynamic response. Using this configuration, the standard model represented by Equation (20) is formulated, incorporating both parametric uncertainties and performance objectives. Through μ-synthesis design, an optimal robust filter K ( s ) is derived with a performance level γ = 3.2844, ensuring stability and disturbance rejection across the entire parameter variation range.
K 1 s = 13.1 × 1 0 4 s 2 + 1.7 × 1 0 13 s + 17.5 × 1 0 19 s 3 + 4.2 × 1 0 8 s 2 + 2.6 × 1 0 14 s + 1.9 × 1 0 18
K 2 s = 7.1 × 1 0 4 s 2 + 2.9 × 1 0 13 s + 11.2 × 1 0 19 s 3 + 1.8 × 1 0 8 s 2 + 3.7 × 1 0 14 s + 3.3 × 1 0 18
K 3 s = 5.3 × 1 0 10 s 2 2.6 × 1 0 14 s 9.8 × 1 0 15 s 3 + 2.1 × 1 0 8 s 2 + 1.2 × 1 0 14 s + 1.7 × 1 0 18

3.3. Frequency Response of the Proposed Control Scheme

To evaluate the controller’s performance under varying resonance conditions, scenarios identical to those in Section 2.2 are analyzed, as depicted in Figure 9. With the damping resistance fixed at R a = 5 Ω, the proposed μ-synthesis controller demonstrates consistent effectiveness by actively suppressing resonance peaks across all test cases while maintaining robust stability margins. The controller dynamically adapts its gain to stabilize shifting resonance frequencies, ensuring THD remains below prescribed limits. In every scenario, the system achieves a gain margin > 5 dB and a phase margin > 30°, exceeding IEEE stability requirements [36]. This adaptability highlights the controller’s superiority over conventional fixed-gain methods, particularly in handling parameter variations and grid disturbances.

4. Simulation Results

To evaluate the effectiveness of the proposed μ-synthesis-based CCF-AD method compared to conventional CCF-AD, a detailed Simulink model of the system in Figure 3 is developed in MATLAB. The simulation utilizes the GCI system and LCL filter parameters specified in Table 2, with the damping resistance R a fixed at 5 Ω for both methods.

4.1. Steady-State Analysis

To evaluate the performance under resonance frequency variations, both controllers are first tested using the nominal LCL filter parameters from Table 2, which yielded a resonance frequency of 2.29 kHz. Under these conditions, both control methods successfully attenuated the resonance peak, producing stable output waveforms with THD below 5%, as shown in Figure 10a,b. However, when the filter capacitance was abruptly reduced by 60% at t = 0.15 s (increasing the resonance frequency to 3.34 kHz), the conventional CCF-AD method failed to maintain effective damping. This failure resulted in severe waveform distortion with THD soaring to 177%, along with visible instability in the output current. In contrast, the proposed μ-synthesis-based CCF-AD method dynamically adapted to the parameter change by accurately estimating and feeding back the modified capacitor current. This adaptive capability enabled the system to maintain excellent performance, with the output waveform remaining stable and achieving a low THD of just 3.7%. These results clearly demonstrate that the μ-synthesis approach provides superior robustness against resonance frequency variations compared to conventional fixed-gain methods, making it particularly suitable for practical applications where parameter drift may occur due to component aging or operating condition changes. The capacitor current waveforms are intentionally omitted from the presented figures due to their relatively small magnitude compared to the grid current.

4.2. Transient-State Analysis

The transient performance of the proposed μ-synthesis-based CCF-AD controller is thoroughly evaluated through two critical tests, as shown in Figure 11. In the first test, as illustrated in Figure 11a, the system is subjected to a 100% step change in reference current from 10 A to 20 A at t = 0.1 s. The grid-injected current demonstrates exceptional tracking performance, following the reference command precisely without any overshoot or significant transient disturbances. This rapid and stable response confirms the controller’s ability to handle large signal variations while maintaining system stability.
The second test, as illustrated in Figure 11b, evaluates the system’s fault response by applying a 0.02 s short-circuit condition at t = 0.1 s. During this event, the PCC voltage safely collapses to zero while the current follows appropriately with some transients but without severe overshoot, demonstrating excellent fault protection characteristics. Remarkably, the system recovers to normal operation within 0.01 s after fault clearance—faster than half a grid cycle—with the current rapidly resuming accurate reference tracking. This outstanding performance is enabled by the controller’s real-time capacitor current estimation and dynamic gain adjustment through the μ-synthesis algorithm, which together provide both precise control and robust adaptability under transient conditions.

4.3. Robustness Evaluation

The system’s robustness was evaluated through grid impedance variations, as demonstrated in Figure 12. In Figure 12a, a 60% increase in grid impedance at t = 0.15 s lowers the resonance frequency, causing minor transient disturbances in the injected current with a maximum amplitude of 16.4 A that settle within one cycle. Conversely, in Figure 12b, a 60% impedance decrease at the same time increased the resonance frequency, resulting in more pronounced current distortion with a peak amplitude of 18.1 A (3.1 A above nominal value). However, thanks to the adaptive capabilities of the μ-synthesis algorithm, which continuously updates the capacitor current estimation, the system demonstrates excellent recovery—the current distortion settles and precisely tracks the reference again. These results validate the controller’s ability to maintain stability under significant grid impedance variations (±60%), outperforming conventional methods that typically require manual returning for such operating condition changes. The μ-synthesis approach’s dynamic adaptation to resonance frequency shifts ensures robust performance, regardless of grid strength variations.

5. Experimental Results

The proposed current control method was experimentally validated using a Typhoon HIL-404 real-time simulator coupled with an Imperix B-Box RCP-3.0 controller, as shown in Figure 13. The testbed executes the complete control algorithm in MATLAB/Simulink through the RCP-3.0 library, generating PWM signals via space vector modulation with <10 ns timing resolution. These signals drive the virtual GCI model in Typhoon HIL, which accurately emulates power stage dynamics including switching transients and device-level effects. The Typhoon SCADA interface enables comprehensive analysis of both transient and steady-state performance under hardware-equivalent conditions. This HIL configuration provides cycle-accurate validation of the control system while maintaining full observability of all critical parameters.

5.1. Steady-State Analysis

The comparative evaluation of the conventional CCF-AD method and the proposed approach is conducted through a frequency shift test by varying the filter capacitance from 7.5 µF to 3.6 µF. This adjustment increased the resonant frequency from 2.29 kHz to 3.34 kHz. As shown in Figure 14a,b, both methods demonstrate effective resonance damping under nominal conditions, achieving low THD values. However, when subjected to the frequency variation at t = 0, the CCF-AD method fails to maintain stability, exhibiting significant current waveform distortion, elevated THD, and substantial active power fluctuations. In contrast, the proposed method successfully compensates for the resonance frequency shift, maintaining a clean current waveform with minimal THD degradation. While a transient active power variation of up to 2100 W occurs, the system rapidly stabilizes within 0.02 s. These results conclusively demonstrate the superior robustness of the proposed method in handling parameter variations compared to conventional CCF-AD techniques.

5.2. Transient-State Analysis

The proposed control framework is examined under changing reference current conditions, as shown in Figure 15a. When the reference current steps from 15 A to 30 A at t = 0, the system maintains stable operation with smooth current tracking and no observable impact on grid voltage quality. The active power follows its reference seamlessly, confirming the controller’s ability to handle rapid power changes without transient oscillations or delays.
Further stress testing through a short-circuit condition (0–0.05 s) in Figure 15b reveals the system’s fault resilience. During the fault, the current initially spikes to 10 A before decaying to zero as designed. Post-fault recovery occurs within one cycle, featuring a brief 12 A transient that quickly stabilizes. While power fluctuates during the event, it fully recovers to nominal levels after fault clearance. These results collectively verify the controller’s robustness against both normal operational variations and severe grid disturbances.

5.3. Robustness Evaluation

Figure 16 demonstrates the controller’s response to a 60% reduction in grid-side inductance at t = 0, which lowers the system’s resonance frequency. The disturbance triggers a transient current spike of 25 A, but the controller achieves stabilization within 0.05 s while maintaining grid voltage integrity. Active power exhibits a moderate deviation, peaking at 2500 W (versus a nominal 2340 W), with full recovery occurring in 0.06 s. These real-time Typhoon HIL results corroborate the MATLAB/Simulink simulations, confirming the μ-synthesis CCF controller’s effectiveness in maintaining stability during grid impedance variations.

5.4. Discussion

The comparative analysis in Table 3 demonstrates the clear advantages of the proposed method over existing CCF-based AD techniques. The proposed approach achieves superior performance in transient attenuation and high-frequency resonance suppression while maintaining excellent steady-state characteristics comparable to state-of-the-art methods. Notably, the solution requires fewer sensors and exhibits lower implementation complexity, significantly reducing system cost and hardware requirements. The method’s robust performance under varying grid impedance conditions further distinguishes it from marginal-performing alternatives. These combined advantages position the proposed controller as a comprehensive solution that balances performance excellence with practical implementation benefits.

6. Conclusions

This study extends the damping region of LCL-filtered EV battery GCI systems by developing an advanced μ-synthesis-based CCF-AD method. The proposed solution overcomes critical limitations of traditional fixed-gain approaches by introducing a comprehensive state–space model that incorporates process noise estimation, enabling highly accurate capacitor current reconstruction using only grid current measurements and point-of-common-coupling voltage data. Simulation and experimental results demonstrate the controller’s exceptional robustness, maintaining stability despite ±60% variations in LCL parameters and grid impedance. The system achieves superior performance metrics: THD below 3.7% under extreme parameter variations, 0.01 s recovery from short circuits, and perfect tracking during 100% current steps. These capabilities derive from the controller’s unique ability to autonomously adapt to resonance frequency shifts without manual tuning—a critical advantage for EV applications facing dynamic operating conditions.

Author Contributions

Conceptualization, N.K. and W.C.; methodology, N.K. and M.Y.A.K.; software, D.K.; validation, N.K., W.C. and M.Y.A.K.; formal analysis, N.K.; investigation, W.C. and M.Y.A.K.; resources, W.C.; data curation, N.K.; writing—N.K. and W.C.; visualization, D.K. and M.Y.A.K.; supervision, W.C.; project administration, D.K. All authors have read and agreed to the published version of the manuscript.

Funding

This research received no external funding.

Data Availability Statement

All data generated or analyzed during this study are included in this published article.

Conflicts of Interest

The authors declare no conflicts of interest.

Abbreviations

DC-link voltage U D C
Inverter voltage u i
Grid voltage u g
Inverter-side inductor L 1
Filter capacitor C
Grid-side inductor L 2
Grid inductance L g
Combination of L 2 and L g L 2
Inverter-side current i i
Grid-side current i 2
Filter capacitor current i c
Filter capacitor voltage u c
PCC voltage u p c c
Reference current i 2 , r e f
Error signal e a
Plant open loop TF with K(s) G o L _ d s
Inverter gain K P W M
modulation signal u m
Gate switching signals S 1 . S 4
TF between i 2 ( s ) and v i ( s ) G 2 ( s )
TF between i c ( s ) and v i ( s ) H c ( s )
Plant open loop TF with PR G o L s
Diagonal matrix B ¯ w
External input matrix w z ( t )
Composite Input matrix B 0
Plant matrix P ( s )
Input disturbance w z
Angular resonance frequency ω r e s
Resonance frequency f r e s
Sampling frequency f s
Angular sampling frequency ω s
Sampling time-period T s
Switching frequency f s w
Noise vector w ( t )
Parameter deviation matrix Δ A
State transition matrix A p
Nominal state matrix A
Switching time-period T s w
Proposed controlled output y
TF of delay G d ( s )
Performance factorγ
TF of PR controller G P R s
Proportional gain k p
Resonant gain k i
Resonant cut-off frequency ω c
Angular line frequency ω L
Line frequency f L
Rated power P
Inverter current magnitude I 1 m
Grid current magnitude I 2 m
Capacitor current magnitude I c m
PCC voltage magnitude U P C C m
Performance output Δ z
Proposed controller K ( s )

References

  1. Cai, L.; Yang, C.; Li, J.; Liu, Y.; Yan, J.; Zou, X. Study on Frequency-Response Optimization of Electric Vehicle Participation in Energy Storage Considering the Strong Uncertainty Model. World Electr. Veh. J. 2025, 16, 35. [Google Scholar] [CrossRef]
  2. Aoun, A.; Adda, M.; Ilinca, A.; Ghandour, M.; Ibrahim, H. Dynamic Charging Optimization Algorithm for Electric Vehicles to Mitigate Grid Power Peaks. World Electr. Veh. J. 2024, 15, 324. [Google Scholar] [CrossRef]
  3. Mahlooji, M.H.; Mohammadi, H.R.; Rahimi, M. A review on modeling and control of grid-connected photovoltaic inverters with LCL filter. Renew. Sustain. Energy Rev. 2018, 81, 563–578. [Google Scholar] [CrossRef]
  4. Zhang, Y.; Song, C.; Wang, T.; Wang, K. Optimization of Passive Damping for LCL-Filtered AC Grid-Connected PV-Storage Integrated Systems. Electronics 2025, 14, 801. [Google Scholar] [CrossRef]
  5. Mazloum, N.; Khajehoddin, S.A. An efficient high-power-density integrated trap-LCL filter for inverters. IEEE Trans. Power Electron. 2025, 40, 1589–1608. [Google Scholar] [CrossRef]
  6. Ma, G.; Xie, C.; Li, C.; Zou, J.; Guerrero, J.M. Passivity-based design of passive damping for LCL-type grid-connected inverters to achieve full-frequency passive output admittance. IEEE Trans. Power Electron. 2023, 38, 16048–16060. [Google Scholar] [CrossRef]
  7. Wu, W.; Liu, Y.; He, Y.; Chung, H.S.H.; Liserre, M.; Blaabjerg, F. Damping Methods for Resonances Caused by LCL-Filter-Based Current-Controlled Grid-Tied Power Inverters: An Overview. IEEE Trans. Ind. Electron. 2017, 64, 7402–7413. [Google Scholar] [CrossRef]
  8. Kulkarni, A.; John, V. Mitigation of lower order harmonics in a grid-connected single-phase PV inverter. IEEE Trans. Power Electron. 2013, 28, 5024–5037. [Google Scholar] [CrossRef]
  9. Wang, X.; Blaabjerg, F.; Wu, W. Modeling and Analysis of Harmonic Stability in an AC Power-Electronics-Based Power System. IEEE Trans. Power Electron. 2014, 29, 6421–6432. [Google Scholar] [CrossRef]
  10. Fang, J.; Li, X.; Yang, X.; Tang, Y. An Integrated Trap-LCL Filter with Reduced Current Harmonics for Grid-Connected Converters under Weak Grid Conditions. IEEE Trans. Power Electron. 2017, 32, 8446–8457. [Google Scholar] [CrossRef]
  11. Li, F.; Zhang, X.; Zhu, H.; Li, H.; Yu, C. An LCL-LC filter for grid-connected converter: Topology, parameter, and analysis. IEEE Trans. Power Electron. 2015, 30, 5067–5077. [Google Scholar] [CrossRef]
  12. Xu, J.; Yang, J.; Ye, J.; Zhang, Z.; Shen, A. An LTCL filter for three-phase grid-connected converters. IEEE Trans. Power Electron. 2014, 29, 4322–4338. [Google Scholar] [CrossRef]
  13. Loh, P.C.; Holmes, D.G. Analysis of multiloop control strategies for LC/CL/LCL-filtered voltage-source and current-source inverters. IEEE Trans. Ind. Appl. 2005, 41, 644–654. [Google Scholar] [CrossRef]
  14. Xu, J.; Xie, S. LCL-resonance damping strategies for grid-connected inverters with LCL filters: A comprehensive review. J. Mod. Power Syst. Clean Energy 2018, 6, 292–305. [Google Scholar] [CrossRef]
  15. Upadhyay, N.; Padhy, N.P.; Agarwal, P. Grid-current control with inverter-current feedback active damping for LCL grid-connected inverter. IEEE Trans. Ind. Appl. 2024, 60, 1738–1749. [Google Scholar] [CrossRef]
  16. Gomes, C.C.; Cupertino, A.F.; Pereira, H.A. Damping techniques for grid-connected voltage source converters based on LCL filter: An overview. Renew. Sustain. Energy Rev. 2018, 81, 116–135. [Google Scholar] [CrossRef]
  17. Li, Y.; Gao, J.; Zhang, Z.; Wang, Q. Model-based and model-free predictive active damping for LCL-type active-front-end rectifiers. IEEE Trans. Ind. Electron. 2024, 71, 11754–11765. [Google Scholar] [CrossRef]
  18. Liu, Y.; Du, J.; Zhao, X.; Song, Y.; Wang, Y. High-Frequency Harmonic Suppression Strategy and Modified Notch Filter-Based Active Damping for Low-Inductance HPMSM. Appl. Sci. 2023, 13, 11309. [Google Scholar] [CrossRef]
  19. Wang, B.; Zhao, Q.; Zhang, G.; Zhang, H.; Liu, K.; Yue, X. Novel Active Damping Design Based on a Biquad Filter for an LLCL Grid-Tied Inverter. Energies 2023, 16, 1093. [Google Scholar] [CrossRef]
  20. Zhang, X.; Tan, L.; Xian, J.; Zhang, H.; Ma, Z.; Kang, J. Direct grid-side current model predictive control for grid-connected inverter with LCL filter. IET Power Electron. 2018, 11, 2450–2460. [Google Scholar] [CrossRef]
  21. Li, X.; Wu, X.; Geng, Y.; Yuan, X.; Xia, C.; Zhang, X. Wide damping region for LCL-type grid-connected inverter with an improved capacitor-current-feedback method. IEEE Trans. Power Electron. 2015, 30, 5247–5259. [Google Scholar] [CrossRef]
  22. Chen, Y.; Xie, Z.; Zhou, L.; Wang, Z.; Zhou, X.; Wu, W.; Yang, L.; Luo, A. Optimized design method for grid-current-feedback active damping to improve dynamic characteristic of LCL-type grid-connected inverter. Int. J. Electr. Power Energy Syst. 2018, 100, 19–28. [Google Scholar] [CrossRef]
  23. Vieira, R.P.; Martins, L.T.; Massing, J.R.; Stefanello, M. Sliding mode controller in a multiloop framework for a grid-connected VSI with LCL filter. IEEE Trans. Ind. Electron. 2018, 65, 4714–4723. [Google Scholar] [CrossRef]
  24. Liu, J.; Yin, Y.; Luo, W.; Vazquez, S.; Franquelo, L.G.; Wu, L. Sliding mode control of a three-phase AC/DC voltage source converter under unknown load conditions: Industry applications. IEEE Trans. Syst. Man Cybern. Syst. 2017, 48, 1771–1780. [Google Scholar] [CrossRef]
  25. Hollweg, G.V.; Evald, P.D.O.; Tambara, R.V.; Gründling, H.A. Adaptive super-twisting sliding mode for DC-AC converters in very weak grids. Int. J. Electron. 2023, 110, 1808–1833. [Google Scholar] [CrossRef]
  26. Zhou, L.; Zhou, X.; Chen, Y.; Lv, Z.; He, Z.; Wu, W.; Yang, L.; Yan, K.; Luo, A.; Guerrero, J.M. Inverter-Current-Feedback Resonance-Suppression Method for LCL-Type DG System to Reduce Resonance-Frequency Offset and Grid-Inductance Effect. IEEE Trans. Ind. Electron. 2018, 65, 7036–7048. [Google Scholar] [CrossRef]
  27. Zhang, H.; Wang, X.; He, Y.; Pan, D.; Ruan, X. A compensation method to eliminate the impact of time delay on capacitor-current active damping. IEEE Trans. Ind. Electron. 2022, 69, 7512–7516. [Google Scholar] [CrossRef]
  28. Wang, X.; Blaabjerg, F.; Loh, P.C. Virtual RC damping of LCL-filtered voltage source converters with extended selective harmonic compensation. IEEE Trans. Power Electron. 2015, 30, 4726–4737. [Google Scholar] [CrossRef]
  29. Shahed, M.T.; Rashid, A.B.M.H. Battery charging technologies and standards for electric vehicles: A state-of-the-art review, challenges, and future research prospects. Energy Rep. 2024, 11, 5978–5998. [Google Scholar] [CrossRef]
  30. Sahoo, A.; Ravishankar, J.; Jones, C. Phase-Locked Loop Independent Second-Order Generalized Integrator for Single-Phase Grid Synchronization. IEEE Trans. Instrum. Meas. 2021, 70, 9004409. [Google Scholar] [CrossRef]
  31. IEEE Std 1547-2018 (Revision of IEEE Std 1547-2003); IEEE Standard for Interconnection and Interoperability of Distributed Energy Resources with Associated Electric Power Systems Interfaces. IEEE: Piscataway, NJ, USA, 2018; pp. 1–138. [CrossRef]
  32. Athari, H.; Niroomand, M.; Ataei, M. Review and Classification of Control Systems in Grid-tied Inverters. Renew. Sustain. Energy Rev. 2017, 72, 1167–1176. [Google Scholar] [CrossRef]
  33. Khan, D.; Zhu, K.; Hu, P.; Waseem, M.; Ahmed, E.M.; Lin, Z. Active damping of LCL-filtered grid-connected inverter based on parallel feedforward compensation strategy. Ain Shams Eng. J. 2023, 14, 101902. [Google Scholar] [CrossRef]
  34. Walker, R.A.; Emami-Naeini, A.; Dooren, P.V. A general algorithm for solving the algebraic Riccati equation. In Proceedings of the 1982 21st IEEE Conference on Decision and Control, Orlando, FL, USA, 8–10 December 1982; pp. 68–72. [Google Scholar] [CrossRef]
  35. Khan, D.; Qais, M.; Sami, I.; Hu, P.; Zhu, K.; Abdelaziz, A.Y. Optimal LCL-Filter Design for a Single-Phase Grid-Connected Inverter Using Metaheuristic Algorithms. Comput. Electr. Eng. 2023, 110, 108857. [Google Scholar] [CrossRef]
  36. IEEE Std 1547.1 2005; IEEE Standards Coordinating Committee 21. IEEE Standard Conformance Test Procedures for Equipment Interconnecting Distributed Resources with Electric Power Systems. IEEE: Piscataway, NJ, USA, 2005. [CrossRef]
  37. Guo, A.; Tian, Y.; Zhao, H. Highly Robust Active Damping Approach for Grid-Connected Current Feedback Using Phase-Lead Compensation. Electronics 2025, 14, 309. [Google Scholar] [CrossRef]
  38. Zhang, X.; Xie, Y.; Wu, R. A Capacitor-Current-Feedback Active Damping Control Strategy with Phase Lead Compensation for LCL-Type Grid-Connected Inverter. IEEE Access 2024, 12, 193663–193675. [Google Scholar] [CrossRef]
Figure 1. Different combinations of passive damping methods.
Figure 1. Different combinations of passive damping methods.
Wevj 16 00422 g001
Figure 2. Classification of active damping methods.
Figure 2. Classification of active damping methods.
Wevj 16 00422 g002
Figure 3. Single-phase LCL-filtered EV battery GCI system: (a) block diagram; (b) schematic diagram.
Figure 3. Single-phase LCL-filtered EV battery GCI system: (a) block diagram; (b) schematic diagram.
Wevj 16 00422 g003
Figure 4. Average switching model of LCL-filtered GCI with CCF-AD loop.
Figure 4. Average switching model of LCL-filtered GCI with CCF-AD loop.
Wevj 16 00422 g004
Figure 5. Equivalent circuit model of LCL-filtered GCI system with CCF-AD loop.
Figure 5. Equivalent circuit model of LCL-filtered GCI system with CCF-AD loop.
Wevj 16 00422 g005
Figure 6. Equivalent frequency response of G o L .
Figure 6. Equivalent frequency response of G o L .
Wevj 16 00422 g006
Figure 7. Basic μ-synthesis workflow.
Figure 7. Basic μ-synthesis workflow.
Wevj 16 00422 g007
Figure 8. Average switching model of LCL-filtered GCI with proposed controller.
Figure 8. Average switching model of LCL-filtered GCI with proposed controller.
Wevj 16 00422 g008
Figure 9. Frequency response of G o L _ d .
Figure 9. Frequency response of G o L _ d .
Wevj 16 00422 g009
Figure 10. Current under frequency shift with (a) conventional CCF-AD method and (b) proposed method.
Figure 10. Current under frequency shift with (a) conventional CCF-AD method and (b) proposed method.
Wevj 16 00422 g010
Figure 11. Current with proposed method under (a) step change (b) grid-short circuit test.
Figure 11. Current with proposed method under (a) step change (b) grid-short circuit test.
Wevj 16 00422 g011
Figure 12. Current with proposed method under (a) +60% (b) −60% in grid impedance.
Figure 12. Current with proposed method under (a) +60% (b) −60% in grid impedance.
Wevj 16 00422 g012
Figure 13. Experimental setup.
Figure 13. Experimental setup.
Wevj 16 00422 g013
Figure 14. Grid-injected currents at different resonance frequencies under (a) CCF-AD method and (b) proposed optimized adaptive damper.
Figure 14. Grid-injected currents at different resonance frequencies under (a) CCF-AD method and (b) proposed optimized adaptive damper.
Wevj 16 00422 g014
Figure 15. Injected current under a (a) change in reference current and (b) grid short-circuit test.
Figure 15. Injected current under a (a) change in reference current and (b) grid short-circuit test.
Wevj 16 00422 g015
Figure 16. Robustness evaluation under grid impedance variation.
Figure 16. Robustness evaluation under grid impedance variation.
Wevj 16 00422 g016
Table 1. The specification of EV battery.
Table 1. The specification of EV battery.
ParameterSymbolValue
Operating voltageU380.0 V
Rated capacity Q 5.0 Ah
Battery response time T 0 30.0 s
Open circuit voltage E 0 379.5257 V
Internal resistance R 0.70 ohm
Polarization constant K 0.51442
Amplitude of exponential zone A 29.2917
Inverse exponential zone time constant B 12.2024
Discharge current i r m s 10.62 A
Table 2. LCL-filtered GCI system parameters.
Table 2. LCL-filtered GCI system parameters.
ParameterSymbolValue
Rated powerP5 kW
Grid voltage (RMS)Ug,rms230 V
Grid frequencyfL50 Hz
Sampling frequencyfs20 kHz
Switching frequencyfsw10 kHz
Inverter-side inductance L 1 2.82 mH
Grid-side inductance L 2 0.81 mH
Filter capacitanceC7.5 µF
Proportional gain k p 17.9
Integral gain k r 358.434
Cutoff frequency ω c 2.5 rad/s
Table 3. Performance assessment of proposed and other state-of-the-art AD methods based on CCF.
Table 3. Performance assessment of proposed and other state-of-the-art AD methods based on CCF.
Performance ParametersProposed Method[37][38][26]
Steady stateExcellentExcellentExcellentExcellent
Transient attenuation ExcellentsatisfactorysatisfactoryExcellent
Tracking performanceBetterBetterBetterBetter
Higher resonance frequencySuperiorInferiorMarginalSuperior
Grid impedanceHighLowerMarginalMarginal
Sensor countFewer HigherHigherHigher
TunningYesNoNoNo
ComplexityLowerHigherHigherHigher
Disclaimer/Publisher’s Note: The statements, opinions and data contained in all publications are solely those of the individual author(s) and contributor(s) and not of MDPI and/or the editor(s). MDPI and/or the editor(s) disclaim responsibility for any injury to people or property resulting from any ideas, methods, instructions or products referred to in the content.

Share and Cite

MDPI and ACS Style

Khan, N.; Cheng, W.; Khan, M.Y.A.; Khan, D. Robust Sensorless Active Damping of LCL Resonance in EV Battery Grid-Tied Converters Using μ-Synthesis Control. World Electr. Veh. J. 2025, 16, 422. https://doi.org/10.3390/wevj16080422

AMA Style

Khan N, Cheng W, Khan MYA, Khan D. Robust Sensorless Active Damping of LCL Resonance in EV Battery Grid-Tied Converters Using μ-Synthesis Control. World Electric Vehicle Journal. 2025; 16(8):422. https://doi.org/10.3390/wevj16080422

Chicago/Turabian Style

Khan, Nabeel, Wang Cheng, Muhammad Yasir Ali Khan, and Danish Khan. 2025. "Robust Sensorless Active Damping of LCL Resonance in EV Battery Grid-Tied Converters Using μ-Synthesis Control" World Electric Vehicle Journal 16, no. 8: 422. https://doi.org/10.3390/wevj16080422

APA Style

Khan, N., Cheng, W., Khan, M. Y. A., & Khan, D. (2025). Robust Sensorless Active Damping of LCL Resonance in EV Battery Grid-Tied Converters Using μ-Synthesis Control. World Electric Vehicle Journal, 16(8), 422. https://doi.org/10.3390/wevj16080422

Article Metrics

Back to TopTop