Sign in to use this feature.

Years

Between: -

Subjects

remove_circle_outline
remove_circle_outline
remove_circle_outline
remove_circle_outline
remove_circle_outline
remove_circle_outline
remove_circle_outline
remove_circle_outline
remove_circle_outline

Journals

remove_circle_outline
remove_circle_outline
remove_circle_outline
remove_circle_outline
remove_circle_outline
remove_circle_outline
remove_circle_outline

Article Types

Countries / Regions

remove_circle_outline
remove_circle_outline
remove_circle_outline
remove_circle_outline
remove_circle_outline

Search Results (1,142)

Search Parameters:
Keywords = PARP-inhibitors

Order results
Result details
Results per page
Select all
Export citation of selected articles as:
39 pages, 1689 KB  
Review
Emerging Therapeutic Strategies in Prostate Cancer: Targeted Approaches Using PARP Inhibition, PSMA-Directed Therapy, and Androgen Receptor Blockade with Olaparib, Lutetium (177Lu)Vipivotide Tetraxetan, and Abiraterone
by Piotr Kawczak and Tomasz Bączek
J. Clin. Med. 2026, 15(2), 685; https://doi.org/10.3390/jcm15020685 - 14 Jan 2026
Abstract
Prostate cancer is one of the most common malignancies in men, and advanced or metastatic disease remains associated with substantial morbidity and mortality. Therapeutic progress in recent years has been driven by the introduction of targeted treatment strategies, notably poly (ADP-ribose) polymerase (PARP) [...] Read more.
Prostate cancer is one of the most common malignancies in men, and advanced or metastatic disease remains associated with substantial morbidity and mortality. Therapeutic progress in recent years has been driven by the introduction of targeted treatment strategies, notably poly (ADP-ribose) polymerase (PARP) inhibitors, prostate-specific membrane antigen (PSMA)–directed radioligand therapy (RLT), and androgen receptor pathway inhibitors (ARPIs). This review summarizes evidence from phase II and III clinical trials, meta-analyses, and real-world studies evaluating the efficacy, safety, and clinical integration of olaparib, lutetium (177Lu) vipivotide tetraxetan, and abiraterone in advanced prostate cancer. Emphasis is placed on the practical clinical application of these agents, including patient selection, treatment sequencing, and combination strategies. PARP inhibition with olaparib has demonstrated clear benefits in metastatic castration-resistant prostate cancer (mCRPC) with homologous recombination repair (HRR) mutations, particularly BRCA1/2 alterations. PSMA-directed RLT offers a survival advantage in PSMA-positive mCRPC following AR pathway inhibition, with distinct toxicity considerations that influence patient selection. Abiraterone remains a cornerstone therapy across disease stages and plays an important role both as monotherapy and as a combination partner. Emerging data suggest a potential synergy between PARP inhibitors and AR-targeted agents, while also highlighting the limitations of biomarker-unselected approaches. We conclude that the optimal use of PARP inhibitors, PSMA-targeted RLT, and ARPIs requires a personalized strategy guided by molecular profiling, functional imaging, prior treatment exposure, and safety considerations. This clinically focused overview aims to support evidence-based decision-making in an increasingly complex treatment landscape. Full article
(This article belongs to the Special Issue Treatment Strategies for Prostate Cancer: An Update)
14 pages, 889 KB  
Article
Surgical Timing and Survival in Advanced High-Grade Serous Ovarian Cancer in the PARP Inhibitor Era
by Motoko Kanno, Atsushi Fusegi, Naoki Miyazaki, Risako Ozawa, Sachiho Netsu, Yoichi Aoki, Makiko Omi, Hidetaka Nomura, Mayu Yunokawa and Hiroyuki Kanao
Cancers 2026, 18(2), 245; https://doi.org/10.3390/cancers18020245 - 13 Jan 2026
Abstract
Background: The optimal timing of cytoreductive surgery for advanced high-grade serous carcinoma (HGSC) remains a critical unmet question in the modern era of platinum-based chemotherapy and PARP inhibitor (PARPi) maintenance. To address this gap, we compared outcomes following primary debulking surgery (PDS) versus [...] Read more.
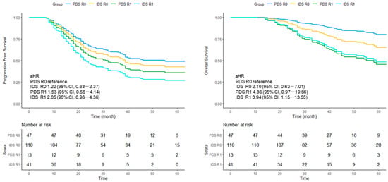
Background: The optimal timing of cytoreductive surgery for advanced high-grade serous carcinoma (HGSC) remains a critical unmet question in the modern era of platinum-based chemotherapy and PARP inhibitor (PARPi) maintenance. To address this gap, we compared outcomes following primary debulking surgery (PDS) versus interval debulking surgery (IDS) in a uniformly treated, contemporary cohort. Methods: Patients with FIGO stage IIIB–IVB HGSC treated between 2019 and 2023 were retrospectively analyzed. Baseline tumor burden was assessed using detailed radiologic and laparoscopic evaluations, including both presurgical and intraoperative assessments. Progression-free survival (PFS) and overall survival (OS) were examined using multivariable Cox proportional hazards models and reported as adjusted hazard ratios (aHRs). Subgroup analyses were rigorously conducted according to residual disease status and BRCA mutation status. Results: Among 221 patients (PDS, n = 60; IDS, n = 151), the median follow-up was 40 months. In the overall cohort, adjusted PFS and OS did not differ significantly between the PDS and IDS groups (PFS: aHR, 1.15; 95%CI, 0.67–1.98; OS: aHR, 1.24; 95%CI, 0.54–2.83). Outcomes were comparable among patients achieving R0 resection. Notably, BRCA-mutated patients demonstrated a substantial survival advantage with PDS (BRCA-mutated PFS: aHR, 3.34; 95%CI, 1.06–16.67; OS: aHR, 6.07; 95%CI, 2.13–∞), whereas BRCA wild-type patients showed no significant difference between surgical strategies. Conclusions: The findings suggest that BRCA-mutated patients may derive a survival benefit from PDS, whereas surgical timing had a limited impact on BRCA wild-type disease. This result underscores the importance of integrating molecular profiling, particularly BRCA mutation status, with surgical assessment to guide optimal and personalized treatment strategies in the PARPi era. Full article
(This article belongs to the Section Cancer Therapy)
Show Figures

Figure 1

18 pages, 460 KB  
Review
Modern Management of the Axilla in HER2-Negative Hormone Receptor-Positive Early Breast Cancer Upfront Surgery: Toward De-Escalation and Individualization
by Halima Abahssain, David Pasquier, Khaoula Laabid, Meryem Barani, Sébastien Borges, Stephen Poitureau, Ghizlane Bettache, Thi-Lan-Anh Nguyen, Mbolam Bytha, Joseph Rodriguez, Antoine Lemaire, Giuseppe Curigliano and Amine Souadka
Cancers 2026, 18(1), 131; https://doi.org/10.3390/cancers18010131 - 30 Dec 2025
Viewed by 186
Abstract
Axillary management in early-stage, HER2-negative, hormone receptor-positive breast cancer has undergone major changes in recent years. While axillary lymph node dissection (ALND) was once considered essential for staging and regional control, increasing evidence supports the safety of surgical de-escalation in selected patients. At [...] Read more.
Axillary management in early-stage, HER2-negative, hormone receptor-positive breast cancer has undergone major changes in recent years. While axillary lymph node dissection (ALND) was once considered essential for staging and regional control, increasing evidence supports the safety of surgical de-escalation in selected patients. At the same time, systemic therapies such as CDK4/6 and PARP inhibitors rely on nodal burden to define eligibility, raising new challenges in balancing oncologic benefit with treatment-related morbidity. This narrative review summarizes current strategies in axillary management for patients undergoing upfront surgery for HR-positive, HER2-negative early breast cancer. It explores the role of sentinel lymph node biopsy (SLNB), the indications for ALND, the integration of adjuvant systemic therapy, and the emerging role of radiotherapy and predictive tools in guiding individualized treatment decisions. Key randomized trials including Z0011, AMAROS, SENOMAC, SOUND, and INSEMA have demonstrated that omission of ALND is safe in patients with limited nodal involvement, especially when combined with whole-breast or regional nodal radiotherapy. However, trials such as MonarchE and OlympiA have introduced systemic therapies whose indications are closely tied to nodal status, prompting reconsideration of the extent of axillary staging. Advances in imaging and risk stratification tools offer new avenues for safely limiting surgical intervention while preserving access to systemic options. In conclusion, modern axillary management in HR-positive, HER2-negative breast cancer involves navigating the intersection between de-escalated surgery and risk-adapted systemic therapy. Future strategies should prioritize individualized care, incorporating tumor biology, imaging findings, and patient preferences, with multidisciplinary collaboration playing a central role in optimizing outcomes. Full article
Show Figures

Figure 1

17 pages, 1186 KB  
Review
Precision Medicine in Prostate Cancer with a Focus on Emerging Therapeutic Strategies
by Ryuta Watanabe, Noriyoshi Miura, Tadahiko Kikugawa and Takashi Saika
Biomedicines 2026, 14(1), 52; https://doi.org/10.3390/biomedicines14010052 - 25 Dec 2025
Viewed by 495
Abstract
Precision medicine has reshaped the clinical management of prostate cancer by integrating comprehensive genomic profiling, biomarker-driven patient stratification, and the development of molecularly targeted therapeutics. Advances in next-generation sequencing have uncovered diverse genomic alterations—including homologous recombination repair defects, MSI-H/MMRd, PTEN loss, BRCA1/BRCA2 mutations, [...] Read more.
Precision medicine has reshaped the clinical management of prostate cancer by integrating comprehensive genomic profiling, biomarker-driven patient stratification, and the development of molecularly targeted therapeutics. Advances in next-generation sequencing have uncovered diverse genomic alterations—including homologous recombination repair defects, MSI-H/MMRd, PTEN loss, BRCA1/BRCA2 mutations, ATM alterations, SPOP mutations, and molecular hallmarks of neuroendocrine differentiation—that now inform individualized treatment decisions. This review synthesizes established clinical evidence with emerging translational insights to provide an updated and forward-looking overview of precision oncology in prostate cancer. Landmark trials of PARP inhibitors and PSMA-targeted radioligand therapy have redefined treatment standards for biomarker-selected patients. Concurrently, efforts to optimize immune checkpoint inhibition, AKT pathway targeting, and rational combinations with androgen receptor pathway inhibitors continue to expand therapeutic possibilities. Rapidly evolving investigational strategies—including bipolar androgen therapy (BAT), immunotherapeutic approaches for CDK12-altered tumors, targeted interventions for SPOP-mutated cancers, and epigenetic modulation such as EZH2 inhibition for neuroendocrine prostate cancer—further illuminate mechanisms of tumor evolution, lineage plasticity, and treatment resistance. Integrating multi-omics technologies, liquid biopsy platforms, and AI-assisted imaging offers new opportunities for dynamic disease monitoring and biology-driven treatment selection. By consolidating current clinical practices with emerging experimental directions, this review provides clinicians and researchers with a comprehensive perspective on the evolving landscape of precision medicine in prostate cancer and highlights future opportunities to improve patient outcomes. Full article
Show Figures

Figure 1

12 pages, 2378 KB  
Article
DNA Damage Sensing and TP53 Function as Modulators of Sensitivity to Calicheamicin-Based Antibody–Drug Conjugates for Acute Leukemia
by Camryn M. Pettenger-Willey, George S. Laszlo, Margery Gang, Frances M. Cole, Colin D. Godwin, Sarah Erraiss, Pritha Chanana, Allie R. Kehret, Junyang Li, Jacob W. Barton, Meghann M. Yochim, Eduardo Rodríguez-Arbolí and Roland B. Walter
Cancers 2026, 18(1), 67; https://doi.org/10.3390/cancers18010067 - 25 Dec 2025
Viewed by 362
Abstract
Background/Objectives: Approved for treatment of acute leukemia, gemtuzumab ozogamicin (GO) and inotuzumab ozogamicin (InO) are antibody–drug conjugates (ADCs) that deliver a toxic calicheamicin (CLM) derivative. The resistance mechanisms to GO/InO remain incompletely understood. Methods: We performed a genome-wide clustered regularly interspaced short palindromic [...] Read more.
Background/Objectives: Approved for treatment of acute leukemia, gemtuzumab ozogamicin (GO) and inotuzumab ozogamicin (InO) are antibody–drug conjugates (ADCs) that deliver a toxic calicheamicin (CLM) derivative. The resistance mechanisms to GO/InO remain incompletely understood. Methods: We performed a genome-wide clustered regularly interspaced short palindromic repeat (CRISPR)/Cas9 screen for CLM sensitivity genes, and then performed confirmatory cytotoxicity assays. Results: Several DNA damage pathway regulation genes were identified, most notably TP53. Across 13 acute leukemia cell lines, the six TP53-mutant cell lines (TP53MUT) were indeed 10- to 1000-fold less sensitive to CLM than the seven TP53WT cell lines. In five TP53WT/KO syngeneic cell line pairs we generated, TP53KO cells were significantly less sensitive to CLM than their TP53WT counterparts. In TP53WT but not TP53MUT cells, the MDM2 inhibitor and p53 activator, idasanutlin, enhanced CLM cytotoxicity, demonstrating that decoupling of cells from MDM2-p53 regulation sensitizes leukemia cells to CLM. The ATM inhibitors AZD1390 and lartesertib also significantly enhanced CLM efficacy but did so independent of the TP53 status. In contrast, neither an ATR inhibitor, Chk1/Chk2 inhibitor, Chk2 inhibitor, or a PARP inhibitor significantly impacted CLM-induced cytotoxicity across the thirteen cell lines. Together, our studies identify ATM, MDM2, and TP53—which are in the same cellular response to DNA damage pathway—as key modulators of CLM-induced cytotoxicity in acute leukemia cells. Conclusions: These results support further evaluation of combination therapies with corresponding small-molecule inhibitors (currently pursued for therapy of other cancers) toward clinical testing as novel strategies to increase the efficacy of CLM-based ADCs such as GO and InO. Full article
(This article belongs to the Special Issue Molecular Targets and Therapeutic Pathways in Cancer)
Show Figures

Figure 1

17 pages, 30765 KB  
Article
RSL3 Promotes STAT3 Ubiquitination to Induce Autophagy and Apoptosis in PARPi-Resistant Breast Cancer Cells
by Lingyan Chen, Dejian Chen, Fengzhuo Yang, Xinyi Chen and Binjiao Zheng
Biomolecules 2025, 15(12), 1749; https://doi.org/10.3390/biom15121749 - 18 Dec 2025
Viewed by 407
Abstract
Background: Breast cancer remains the most common malignancy among women worldwide. Current systemic treatment strategies include chemotherapy, immunotherapy, bone-stabilizing agents, endocrine therapy for hormone receptor-positive disease, anti-HER2 therapy for HER2-positive disease, and poly (ADP-ribose) polymerase (PARP) inhibitors for BRCA mutation cases. However, effectively [...] Read more.
Background: Breast cancer remains the most common malignancy among women worldwide. Current systemic treatment strategies include chemotherapy, immunotherapy, bone-stabilizing agents, endocrine therapy for hormone receptor-positive disease, anti-HER2 therapy for HER2-positive disease, and poly (ADP-ribose) polymerase (PARP) inhibitors for BRCA mutation cases. However, effectively overcoming drug resistance and reducing recurrence and metastasis rates remain major therapeutic challenges. Methods: To investigate the underlying mechanism of RSL3 in PARPi-resistant breast cancer cells, we treated several PARPi-resistant breast cancer cells with varying doses of RSL3. The regulatory proteins of STAT3 were analyzed using real-time quantitative polymerase chain reaction (RT-qPCR) and Western blot analysis. Immunoprecipitation and ubiquitination assay were performed to identify the STAT3 ubiquitination levels. Results: Recently, we identified that RSL3, a ferroptosis activator, exhibits potent antitumor activity against PARPi-resistant breast cancer. Yet, its underlying mechanism remains unclear. Here, we demonstrate that RSL3 directly targets STAT3 and promotes its degradation via the ubiquitination pathway, leading to increased LC3-II levels and decreased p62 expression. These changes ultimately enhance autophagy, which at least partially contributes to elevated apoptosis. Rescue experiments confirmed that STAT3 overexpression reverses RSL3-induced autophagy and apoptosis. Conclusions: Our findings highlight RSL3 as a promising therapeutic agent and STAT3 as a potential target for treating PARPi-resistant breast cancer. Full article
(This article belongs to the Section Molecular Medicine)
Show Figures

Figure 1

14 pages, 977 KB  
Article
Integrative sWGS: A New Paradigm for HRD Detection in Ovarian Cancer
by Dan Corneliu Jinga, Georgiana Duta-Cornescu, Danut Cimponeriu, Eirini Papadopoulou, Angeliki Meintani, George Tsaousis, Amalia Chirnogea, Irina Bucatariu, Polixenia-Georgeta Iorga, Diana Chetroiu, Sorin-Cornel Hosu, Amalia Hogea-Zah, Mircea-Dragos Median, Bogdan Diana, Dana-Lucia Stănculeanu, Raluca Mihaila, Dana-Sonia Nagy, Pompilia-Elena Motatu, Turcanu Eugeniu, Elena-Octaviana Cristea, Ion-Cristian Iaciu, Paul Kubelac and Andreea Truicanadd Show full author list remove Hide full author list
Int. J. Mol. Sci. 2025, 26(24), 11968; https://doi.org/10.3390/ijms262411968 - 12 Dec 2025
Viewed by 355
Abstract
Homologous recombination deficiency (HRD) is a clinically relevant biomarker that predicts sensitivity to PARP inhibitors and enables personalized cancer therapy. Validated local HRD testing solutions are essential to ensure timely and equitable access, ultimately improving treatment outcomes. We evaluated a shallow whole-genome sequencing [...] Read more.
Homologous recombination deficiency (HRD) is a clinically relevant biomarker that predicts sensitivity to PARP inhibitors and enables personalized cancer therapy. Validated local HRD testing solutions are essential to ensure timely and equitable access, ultimately improving treatment outcomes. We evaluated a shallow whole-genome sequencing (sWGS) approach for genomic instability (GI) assessment combined with a 52-gene targeted panel in ovarian cancer. Validation used reference materials and 24 archival samples with prior HRD characterization, comparing performance with the Myriad myChoice® HRD test. A prospective cohort of 124 newly diagnosed ovarian cancer patients was then analyzed. sWGS-derived GI status showed strong concordance with the reference test (95.8% overall agreement; κ = 0.913; NPV 100%, PPV 93.3%). Pathogenic BRCA1/2 variants were detected in 30 patients (24.19%). An additional 22.76% were BRCA1/2-negative but GI-positive, giving an overall HRD prevalence of 47.15%. Platinum sensitivity occurred in 90.0% (18/20) of HRD-positive patients with follow-up. Among 12 patients assessed for PARP-inhibitor response, the overall response rate was 66.7% (95% CI 39.1–86.2) and disease control rate 83.3% (95% CI 55.2–95.3). TP53 alterations were most frequent (62.90%), followed by BRCA1 (19.35%) and BRCA2 (4.83%). Pathogenic variants in other HR-pathway genes (ATM, CHEK2, BRIP1, RAD51C, BARD1) appeared in 9.57% of BRCA-wild-type cases, with heterogeneous GI impact. Two cases showed concurrent BRCA2 variants and microsatellite instability, indicating possible eligibility for anti-PD-1/PD-L1 therapy in addition to PARPi. This first comprehensive analysis of Romanian ovarian cancer patients suggests that integrating sWGS-based genomic instability assessment with BRCA testing can improve HRD detection and reflects the heterogeneity of HR-pathway variants. Preliminary clinical observations were consistent with known HRD-associated treatment responses, although larger studies are needed to confirm these findings. Full article
Show Figures

Figure 1

21 pages, 6705 KB  
Article
DNMT3B Knockdown Enhances PARP Inhibitor Sensitivity in Biliary Tract Cancer Cells via Opioid Growth Factor Receptor-Mediated Homologous Recombination Impairment
by Soichiro Oda, Kazumichi Kawakubo, Masaki Kuwatani, Shugo Tanaka, Katsuma Nakajima, Shoya Shiratori, Hiroki Yonemura, Shunichiro Nozawa, Koji Hirata, Ryo Sugiura and Naoya Sakamoto
Cancers 2025, 17(24), 3936; https://doi.org/10.3390/cancers17243936 - 9 Dec 2025
Viewed by 373
Abstract
Background: Biliary tract cancer (BTC) is an aggressive malignancy with poor prognosis and limited therapeutic options. Poly(ADP-ribose) polymerase (PARP) inhibitors have demonstrated efficacy in tumors with homologous recombination repair (HRR) deficiency. However, actionable BRCA1/2 mutations are rare in BTC. Epigenetic modulation via [...] Read more.
Background: Biliary tract cancer (BTC) is an aggressive malignancy with poor prognosis and limited therapeutic options. Poly(ADP-ribose) polymerase (PARP) inhibitors have demonstrated efficacy in tumors with homologous recombination repair (HRR) deficiency. However, actionable BRCA1/2 mutations are rare in BTC. Epigenetic modulation via DNA methyltransferase (DNMT) inhibition is a proposed strategy for inducing an HR-deficient (“BRCAness”) phenotype and thereby enhancing therapeutic response to PARP inhibitors. This study aimed to determine whether the DNMT inhibitor azacitidine (AZA) enhances the antitumor effects of the PARP inhibitor niraparib (NIR) and to identify molecular mechanisms underlying this interaction. Methods: Two BTC cell lines, TFK-1 and RBE, were treated with AZA and/or NIR or subjected to siRNA-mediated DNMT1, DNMT3A, or DNMT3B knockdown. Functional analyses included homologous recombination (HR) assays, flow cytometric evaluation of cell-cycle distribution and apoptosis, proliferation and survival assays, and IC50 determination. Whole-transcriptome RNA sequencing was performed to identify differentially expressed genes after AZA treatment or DNMT3B knockdown, followed by validation via qPCR and Western blotting. To explore epigenetic regulation, whole-genome bisulfite sequencing was performed on TFK-1 cells following DNMT3B knockdown. Results: AZA treatment decreased HR frequency in a dose-dependent manner and enhanced the sensitivity of BTC cells to NIR, as evidenced by increased apoptosis, suppressed proliferation, and reduced IC50 values. DNMT3B knockdown recapitulated these effects, establishing a causal relationship between DNMT3B suppression and disrupted HR repair. RNA sequencing identified opioid growth factor receptor (OGFR) as a commonly upregulated gene after DNMT3B knockdown. Functional validation showed that OGFR overexpression reduced HR activity, increased apoptosis, and enhanced NIR sensitivity. Contrarily, OGFR knockdown conferred relative resistance. Whole-genome bisulfite sequencing showed no significant CpG methylation changes at the OGFR promoter region, indicating that OGFR induction is mediated through DNMT3B-dependent transcriptional regulation rather than direct promoter demethylation. Conclusions: DNMT3B inhibition sensitizes BTC cells to PARP inhibitors by disrupting HR repair. OGFR was identified as a novel regulator of HR and PARP inhibitor sensitivity, controlled via noncanonical DNMT3B-dependent transcriptional mechanisms that operate independently of CpG methylation. These findings provide new mechanistic insights into the epigenetic control of DNA repair and support the rationale for combining DNMT and PARP inhibitors as a promising therapeutic strategy for BTC beyond genetically HR-deficient cases. Full article
(This article belongs to the Special Issue Molecular Markers and Targeted Therapy for Hepatobiliary Tumors)
Show Figures

Figure 1

25 pages, 746 KB  
Review
Treatment of Pelvic Recurrence After Radiotherapy for Cervical Cancer
by Yanan Song, Kun Zou and Lijuan Zou
Cancers 2025, 17(24), 3934; https://doi.org/10.3390/cancers17243934 - 9 Dec 2025
Viewed by 901
Abstract
Pelvic recurrence following radiotherapy for cervical cancer presents a major therapeutic challenge with historically poor prognosis and limited options. This review comprehensively examines the evolving landscape of management strategies for this condition, encompassing both local and systemic approaches. We discuss the roles of [...] Read more.
Pelvic recurrence following radiotherapy for cervical cancer presents a major therapeutic challenge with historically poor prognosis and limited options. This review comprehensively examines the evolving landscape of management strategies for this condition, encompassing both local and systemic approaches. We discuss the roles of salvage surgery and advanced re-irradiation techniques, including stereotactic body radiotherapy and image-guided brachytherapy, highlighting their potential and associated toxicities. A significant focus is placed on the revolution in systemic therapy, particularly the integration of targeted agents—such as anti-angiogenic drugs, PARP inhibitors, and tyrosine kinase inhibitors—and immunotherapy, chiefly immune checkpoint inhibitors like pembrolizumab and cemiplimab. These modalities have demonstrated substantial improvements in survival outcomes in clinical trials. The review underscores the critical shift towards personalized medicine, where treatment selection is increasingly guided by molecular profiling. Finally, we explore future directions, including combination strategies, novel immunotherapies, and emerging technologies, which collectively promise to transform the management of recurrent cervical cancer from palliative control towards the goals of durable remission and functional cure. Full article
(This article belongs to the Special Issue Advances in the Clinical Management of Genitourinary Tumors)
Show Figures

Figure 1

17 pages, 1623 KB  
Article
Validation of a UPLC-MS/MS Method for Quantifying Intracellular Olaparib Levels in Resistant Ovarian Cancer Cells
by Szymon W. Kmiecik, Jennifer Lewis, Jonas Schwickert, Henrik Breitenreicher, Martin R. Sprick and Jürgen Burhenne
Pharmaceuticals 2025, 18(12), 1870; https://doi.org/10.3390/ph18121870 - 8 Dec 2025
Viewed by 444
Abstract
Background: Ovarian cancer remains one of the leading causes of cancer-related mortality among women and constitutes a major unmet medical need. A common treatment-limiting factor for ovarian cancer patients is resistance to Poly(ADP-ribose) polymerase (PARP) inhibitors such as olaparib. Resistance mechanisms include restoration [...] Read more.
Background: Ovarian cancer remains one of the leading causes of cancer-related mortality among women and constitutes a major unmet medical need. A common treatment-limiting factor for ovarian cancer patients is resistance to Poly(ADP-ribose) polymerase (PARP) inhibitors such as olaparib. Resistance mechanisms include restoration of functional homologous recombination repair, replication fork protection, PARP1 mutations, and increased drug efflux or metabolism. Understanding these cellular and molecular mechanisms is essential for developing more effective therapeutic strategies and improving patient outcomes. Methods: In this study, patient-derived ovarian cancer cells (OC12) in which resistance to olaparib was induced by exposing the cells to increasing concentrations of the drug over multiple treatment cycles were investigated. To compare intracellular olaparib levels in sensitive and resistant cell lines, a UPLC-MS/MS method to quantify olaparib in the range of 1–300 ng/mL was developed. Results: The method was validated for selectivity, calibration curve performance, carryover, dilution integrity, precision, accuracy, matrix effect, and recovery in accordance with ICH M10 guidelines for bioanalytical method validation. Our findings revealed no significant difference in olaparib levels between resistant and sensitive OC12 cells, excluding the involvement of efflux transporters or enhanced metabolism of olaparib in the resistant OC12 ovarian cancer cells. Conclusions: These results shift the future focus toward pharmacodynamic factors as key drivers of olaparib resistance in OC12 cells. Taken together, the developed UPLC-MS/MS analytical method can be successfully applied to quantify intracellular olaparib levels and investigate the potential contribution of drug efflux mechanisms or increased metabolic activity in cells resistant to olaparib treatment. Full article
(This article belongs to the Section Medicinal Chemistry)
Show Figures

Figure 1

16 pages, 1691 KB  
Article
Complex Relationships Between Homologous Recombination Deficiency (HRD) Score and Mutational Status of Homologous Recombination Repair (HRR) Genes in Prostate Carcinomas
by Aglaya G. Iyevleva, Svetlana N. Aleksakhina, Anna P. Sokolenko, Ekaterina A. Otradnova, Alisa S. Nikitina, Kira A. Kashko, Maria V. Syomina, Anna D. Shestakova, Ekaterina S. Kuligina, Natalia S. Morozova, Sergey V. Popov, Pavel V. Vyazovcev, Tatyana Y. Luchkova, Aleksey S. Peremyshlenko, Timur M. Topuzov, Olga M. Gudkova, Rashida V. Orlova, Andrey V. Levushkin, Daniil O. Moiseev, Oksana N. Shkodenko, Demyan V. Gubarev, Aleksandr V. Dzyuba, Irina Y. Povorina, Anna V. Agaeva, Vladislav F. Kutyan, Mhitar M. Grigoryan, Alexey N. Orlov, Spartak I. Lefterov, Aleksey V. Belousov, Marina N. Nechaeva, Elena N. Vorobyeva, Irina K. Amirkhanova, Nadezhda V. Kryukova, Lyubov I. Zatulivetrova, Aryuna B. Gomboeva, Vladimir N. Krivtsov, Olga I. Shchiglik, Natalya V. Prokudina, Natalya A. Butunina, Aleksey M. Belyaev and Evgeny N. Imyanitovadd Show full author list remove Hide full author list
Int. J. Mol. Sci. 2025, 26(24), 11851; https://doi.org/10.3390/ijms262411851 - 8 Dec 2025
Viewed by 408
Abstract
Homologous recombination deficiency (HRD) resulting from inactivation of BRCA1/2 genes promotes chromosomal instability and renders tumor cells susceptible to platinum derivatives and PARP inhibitors (PARPi). The contribution of alterations in other homologous recombination repair (HRR) genes to HRD remains understudied. This investigation aimed [...] Read more.
Homologous recombination deficiency (HRD) resulting from inactivation of BRCA1/2 genes promotes chromosomal instability and renders tumor cells susceptible to platinum derivatives and PARP inhibitors (PARPi). The contribution of alterations in other homologous recombination repair (HRR) genes to HRD remains understudied. This investigation aimed to analyze the spectrum of mutations in 34 HRR genes in prostate carcinomas (PCs) and study the relationship between HRR status and HRD. HRR mutations and HRD scores were examined by NGS in 1131 and 680 PCs, respectively. Pathogenic or likely pathogenic variants in HRR genes were detected in 216/1131 cases (19.1%). HRD, defined by an HRD score cut-off of ≥42, was observed more frequently in HRR-mutated than in wild-type tumors (23/120 (19.2%) vs. 29/560 (5.2%), p < 0.0001). The highest HRD scores were detected in PCs with biallelic inactivation of the BRCA2 or PALB2 genes, as well as in tumors with BRIP1 mutations. HRD was also occasionally seen in PCs with ATM, NBN, FANCM, BRCA1 and CDK12 alterations, but never in cases with CHEK2 mutations. HRD was significantly more associated with aggressive PC features than HRR mutations. The majority of CDK12-mutated tumors exhibited a distinct type of copy number variations (CNV)–a tandem duplication phenotype. Our study suggests that the selection of PC patients for PARPi treatment requires a significant revision of existing attitudes towards tumor genetic profiling. Full article
(This article belongs to the Section Molecular Oncology)
Show Figures

Graphical abstract

18 pages, 1175 KB  
Review
The Role of Homologous Recombination Deficiency (HRD) in Renal Cell Carcinoma (RCC): Biology, Biomarkers, and Therapeutic Opportunities
by Alberto Bongiovanni, Pierfranco Conte, Vincenza Conteduca, Matteo Landriscina, Giuseppe Di Lorenzo and Francesco Cognetti
Curr. Oncol. 2025, 32(12), 690; https://doi.org/10.3390/curroncol32120690 - 7 Dec 2025
Viewed by 585
Abstract
Renal Cell Carcinoma (RCC) is a common malignancy, often diagnosed incidentally. In recent years, the prognosis of metastatic disease has been improved due to the development of immune checkpoint inhibitors (ICI) and tyrosine kinase inhibitors (TKI) as first-line treatments. However, when progression occurs, [...] Read more.
Renal Cell Carcinoma (RCC) is a common malignancy, often diagnosed incidentally. In recent years, the prognosis of metastatic disease has been improved due to the development of immune checkpoint inhibitors (ICI) and tyrosine kinase inhibitors (TKI) as first-line treatments. However, when progression occurs, the therapeutic options are limited. Understanding crucial biological pathways could lead to a greater understanding of the natural history of the disease, which could help to overcome the mechanism of resistance and to develop new treatments. The clinical significance of homologous recombination deficiency (HRD) in RCC remains to be investigated. To improve the knowledge about this topic, we conducted a narrative review to summarize the current evidence on HRD-related variations and signatures in RCC, together with their prognostic and predictive implications. Preliminary evidence indicates that canonical HRD variants (BRCA1/2) are infrequent in RCC, while broader DNA damage response (DDR) alterations like BAP1, PBRM1, ATM, and SETD2 are more prevalent. Elevated HRD genomic scores in clear-cell RCC correlate with a worse prognosis and an immunologically exhausted microenvironment. From a therapeutic point of view, PARP inhibitor monotherapy has exhibited initial efficacy in small cohorts with high levels of DDR mutation, yet remains investigational for RCC. Full article
(This article belongs to the Section Genitourinary Oncology)
Show Figures

Figure 1

20 pages, 4494 KB  
Article
Global Proteomic Determination of the Poly-Pharmacological Effects of PARP Inhibitors Following Treatment of High-Grade Serous Ovarian Cancer Cells
by Jesenia M. Perez, Valerie Barrera-Estrada, Carly A. I. Twigg and Stefani N. Thomas
Int. J. Mol. Sci. 2025, 26(24), 11820; https://doi.org/10.3390/ijms262411820 - 7 Dec 2025
Viewed by 357
Abstract
High-grade serous ovarian cancer (HGSOC) is the most commonly diagnosed ovarian cancer subtype. Approximately half of all patients diagnosed with HGSOC are deficient in homologous recombination (HR), harbor BRCA1/2 mutations, and are treated with poly (ADP-ribose) polymerase (PARP) inhibitors (PARPis). FDA-approved PARPis Olaparib, [...] Read more.
High-grade serous ovarian cancer (HGSOC) is the most commonly diagnosed ovarian cancer subtype. Approximately half of all patients diagnosed with HGSOC are deficient in homologous recombination (HR), harbor BRCA1/2 mutations, and are treated with poly (ADP-ribose) polymerase (PARP) inhibitors (PARPis). FDA-approved PARPis Olaparib, Niraparib, and Rucaparib all contribute to adverse effects in patients due to their poly-pharmacological properties. This feature necessitates investigation of global protein responses to PARPi treatment beyond DNA repair in the context of BRCA mutational status and HR deficiency. We sought to determine the landscape of differential PARPi-induced proteomes in HGSOC cells exhibiting different BRCA1/2 mutational statuses. Here, we applied immunofluorescence microscopy to detect γH2AX, Rad51, and geminin foci as markers of DNA damage and repair upon treatment of HGSOC cells with IC50 doses of PARPis. Global proteome perturbations upon PARPi treatment were measured using quantitative mass spectrometry-based proteomics. The proteomic data highlighted cell line effects, masking high-dose PARPi treatment response. Interrogation of PARPi response within biological pathways identified through gene set enrichment analysis (GSEA) revealed significant changes to proteins involved in Epithelial–Mesenchymal Transition (EMT), E2F targets, and cholesterol homeostasis. Our study establishes proteomic evidence supporting the poly-pharmacological characteristics of Niraparib, Olaparib, and Rucaparib in HGSOC cells. Full article
(This article belongs to the Special Issue Molecular Genetics in Ovarian Cancer)
Show Figures

Graphical abstract

38 pages, 1179 KB  
Review
Therapeutic Advances in Metastatic Prostate Cancer: A Journey from Standard of Care to New Emerging Treatment
by Rossella Cicchetti, Martina Basconi, Giulio Litterio, Angelo Orsini, Marco Mascitti, Alessio Digiacomo, Gaetano Salzano, Octavian Sabin Tătaru, Matteo Ferro, Carlo Giulioni, Angelo Cafarelli, Luigi Schips and Michele Marchioni
Int. J. Mol. Sci. 2025, 26(23), 11665; https://doi.org/10.3390/ijms262311665 - 2 Dec 2025
Viewed by 2793
Abstract
Prostate cancer (PCa) remains one of the most prevalent malignancies among men worldwide and continues to pose significant therapeutic challenges, especially in its metastatic and castration-resistant forms. Over the past two decades, the treatment paradigm has evolved from monotherapy with androgen deprivation therapy [...] Read more.
Prostate cancer (PCa) remains one of the most prevalent malignancies among men worldwide and continues to pose significant therapeutic challenges, especially in its metastatic and castration-resistant forms. Over the past two decades, the treatment paradigm has evolved from monotherapy with androgen deprivation therapy (ADT) to a multifaceted approach integrating chemotherapy, androgen receptor axis-targeted therapies (ARATs), radiopharmaceuticals, and precision medicine. This review explores the molecular underpinnings of PCa, including genetic and epigenetic alterations such as BRCA1/2, TP53, and PTEN mutations, and their role in disease progression and treatment resistance. We detail the evidence supporting the integration of systemic agents like abiraterone, enzalutamide, and darolutamide into both hormone-sensitive and castration-resistant settings. Furthermore, we highlight the expanding role of radioligand therapies, including radium-223 and Lutetium-177-labeled PSMA-617 (Lu-PSMA-617), as well as the growing impact of PARP inhibitors in genomically selected patients. The emergence of theranostic strategies and next-generation sequencing has paved the way for personalized treatment algorithms, moving toward a truly precision oncology model in PCa. This comprehensive review synthesizes current therapeutic strategies, clinical trial evidence, and future directions aimed at optimizing outcomes and quality of life for patients with advanced prostate cancer. Full article
Show Figures

Figure 1

31 pages, 1513 KB  
Review
Natural Killer (NK) Cell-Based Therapies Have the Potential to Treat Ovarian Cancer Effectively by Targeting Diverse Tumor Populations and Reducing the Risk of Recurrence
by Kawaljit Kaur
Cancers 2025, 17(23), 3862; https://doi.org/10.3390/cancers17233862 - 1 Dec 2025
Viewed by 1995
Abstract
Ovarian cancer is the sixth leading cause of cancer-related deaths among women in the United States. This complex disease arises from tissues such as the ovarian surface epithelium, fallopian tube epithelium, endometrium, or ectopic Müllerian components and is characterized by diverse histological and [...] Read more.
Ovarian cancer is the sixth leading cause of cancer-related deaths among women in the United States. This complex disease arises from tissues such as the ovarian surface epithelium, fallopian tube epithelium, endometrium, or ectopic Müllerian components and is characterized by diverse histological and molecular traits. Standard treatments like surgery, chemotherapy, and radiation have limited effectiveness and high toxicity. Targeted therapies, including poly (ADP-ribose) polymerase PARP inhibitors, anti-angiogenics, and immune checkpoint inhibitors (ICIs), face obstacles such as adaptive resistance and microenvironmental barriers that affect drug delivery and immune responses. Factors in the tumor microenvironment, such as dense stroma, hypoxia, immune suppression, cancer stem cells (CSCs), and angiogenesis, can reduce drug efficacy, worsen prognosis, and increase the risk of recurrence. Research highlights impaired immune function in ovarian cancer patients as a contributor to recurrence, emphasizing the importance of immunotherapies to target tumors and restore immune function. Preclinical studies and early clinical trials found that natural killer (NK) cell-based therapies have great potential to tackle ovarian tumors. This review explores the challenges and opportunities in treating ovarian cancer, focusing on how NK cells could help overcome these obstacles. Recent findings reveal that engineered NK cells, unlike their primary NK cells, can destroy both stem-like and differentiated ovarian tumors, pointing to their ability to target diverse tumor types. Animal studies on NK cell therapies for solid cancers have shown smaller tumor sizes, tumor differentiation in vivo, recruitment of NK and T cells in the tumor environment and peripheral tissues, restored immune function, and fewer tumor-related systemic effects—suggesting a lower chance of recurrence. NK cells clinical trials in ovarian cancer patients have also shown encouraging results, and future directions include combining NK cell therapies with standard treatments to potentially boost effectiveness. Full article
Show Figures

Figure 1

Back to TopTop