Sign in to use this feature.

Years

Between: -

Subjects

remove_circle_outline
remove_circle_outline
remove_circle_outline
remove_circle_outline
remove_circle_outline
remove_circle_outline
remove_circle_outline
remove_circle_outline
remove_circle_outline

Journals

Article Types

Countries / Regions

Search Results (42)

Search Parameters:
Keywords = PARAFAC decomposition

Order results
Result details
Results per page
Select all
Export citation of selected articles as:
23 pages, 5940 KB  
Article
Research on High-Precision DOA Estimation Method for UAV Platform in Strong Multipath Environment
by Yuxiao Yang, Junjie Li, Qirui Cai and Daisi Yang
Electronics 2026, 15(1), 134; https://doi.org/10.3390/electronics15010134 - 27 Dec 2025
Viewed by 254
Abstract
Utilizing unmanned aerial vehicles (UAVs) to achieve accurate direction finding of radiation sources in hazardous and complex regions is an important means of information recon- naissance. However, the significant multipath effects of UAVs in complex environments cause serious signal coherence problems. Conventional signal [...] Read more.
Utilizing unmanned aerial vehicles (UAVs) to achieve accurate direction finding of radiation sources in hazardous and complex regions is an important means of information recon- naissance. However, the significant multipath effects of UAVs in complex environments cause serious signal coherence problems. Conventional signal decoherence techniques such as spatial smoothing (SS) and matrix reconstruction suffer from array aperture loss, which makes it difficult to meet the requirements of UAVs for high-resolution direction finding in severe multipath environments. Therefore, resolving the signal coherence problem has become a key bottleneck for high-resolution direction-of-arrival (DOA) estimation techniques in severe multipath environments. This paper proposes a joint high-precision DOA estimation method based on conjugate cross-correlation Toeplitz reconstruction and the Parallel Factor Analysis (PARAFAC) tensor model. First, we introduce the conjugate cross-correlation values of array element data collected by the UAV to conduct Toeplitz reconstruction without dimensionality-reduced reconstruction, achieving signal decoherence. Furthermore, we conduct cross-snapshot cross-correlation between the reconstruction matrix and the data of each array element collected by the UAV, which effectively suppresses noise accumulation and improves the signal-to-noise ratio (SNR). Finally, we stack the set of matrices into a three-dimensional tensor, employing PARAFAC tensor decomposition to enhance the UAV DOA estimation performance. Simulation results show that at low SNR, the proposed method can effectively improve estimation accuracy and solve the problem of signal correlation in strong multipath scenarios that limits traditional UAV lateral methods. Full article
Show Figures

Figure 1

20 pages, 5554 KB  
Article
Sources and Transport of Dissolved Organic Matter (DOM) in Surface and Groundwater Within a Dominated Greenhouse Agriculture Catchment: Insights from Multi-Tracer
by Haoyang Wang, Shuang Song, Wei Xu and Fu-Jun Yue
Water 2025, 17(18), 2681; https://doi.org/10.3390/w17182681 - 10 Sep 2025
Cited by 2 | Viewed by 1401
Abstract
Intensive greenhouse agriculture significantly alters dissolved organic matter (DOM) dynamics in aquatic ecosystems, but related research remains scarce. To address this knowledge gap, this study employed an integrated approach combining Excitation–Emission Matrix Parallel Factor Analysis (EEM-PARAFAC), Two-Dimensional Correlation Spectroscopy (2D-COS), and Self-Organizing Map [...] Read more.
Intensive greenhouse agriculture significantly alters dissolved organic matter (DOM) dynamics in aquatic ecosystems, but related research remains scarce. To address this knowledge gap, this study employed an integrated approach combining Excitation–Emission Matrix Parallel Factor Analysis (EEM-PARAFAC), Two-Dimensional Correlation Spectroscopy (2D-COS), and Self-Organizing Map (SOM) analyses with hydrochemical and stable water isotopes (δ18O and δD) to investigate the dynamic characteristics of DOM in surface water and groundwater in an intensive greenhouse agriculture catchment (XER) in northern China. Water chemistry and isotope results consistently demonstrated mixing between surface water and groundwater, which was attributed to irrigation pumping. Four fluorescent components were identified via EEM-PARAFAC (C1 and C4 are humic components, while C2 and C3 are tryptophan components), with microbial decomposition of organic fertilizers and domestic wastewater discharge being important sources. Compared with tryptophan components, terrestrial humic substances in groundwater preferentially change in the parallel river direction, while microbial humic substances are more sensitive in the vertical direction, as confirmed by 2D-COS. SOM analysis validated the EEM-PARAFAC results through component plane visualization, demonstrating both DOM inter-component relationships and their correlations with inorganic ions. These results provide critical scientific support for developing sustainable water resource management strategies and optimizing organic fertilizer use in greenhouse agricultural systems, with important practical implications for protecting groundwater quality in intensively cultivated catchments. Full article
Show Figures

Graphical abstract

15 pages, 1743 KB  
Article
Characteristics of Dissolved Organic Matter (DOM) Combined with As in Fe-Rich Red Soils of Tea Plantations in the Southern Anhui Province, East China
by Youru Yao, Juying Li, Kang Ma, Jingyi Zhang, Yuesheng Lin, Huarong Tan, Jia Yu and Fengman Fang
Agriculture 2024, 14(12), 2289; https://doi.org/10.3390/agriculture14122289 - 13 Dec 2024
Cited by 5 | Viewed by 1896
Abstract
Dissolved organic matter (DOM) is widely present in soil environments and plays a crucial role in controlling the morphology, environmental behavior, and hazards of arsenic (As) in soil. In the Fe-rich red soil of tea plantations, the decomposition of tea tree litter complicates [...] Read more.
Dissolved organic matter (DOM) is widely present in soil environments and plays a crucial role in controlling the morphology, environmental behavior, and hazards of arsenic (As) in soil. In the Fe-rich red soil of tea plantations, the decomposition of tea tree litter complicates DOM properties, leading to more uncertain interactions between DOM, Fe, and As. This study focused on three tea plantations in Huangshan City to investigate the contents of DOM, Fe, and As in surface red soils (Ferralsols) and establish their correlations. Three-dimensional fluorescence spectroscopy and PARAFAC analysis methods were used to analyze the DOM components and fluorescence signatures. Additionally, the process and mechanism of the binding of DOM-Fe with As were explored through laboratory experiments on the morphological transformation of As by DOM-Fe. The results showed that the pH values of the soils in the three tea plantations ranged from 3.9 to 5.2, and the entire sample was strongly acidic. The DOM exhibited strong intrinsic properties and low humification, containing three types of humic acid components and one intermediate protein component. The DOC content in the Fe-rich red soil did not have a direct correlation with Fe and As, but the interaction of DOM fractions with Fe significantly influenced the As content. Specifically, the interaction of protein-like fractions with Fe had a more pronounced effect on the As content. The maximum sorption rate of As by DOM was 15.45%, and this rate increased by 49 to 75% with the participation of Fe. In the configuration of the metal electron bridge, Fe acts as a cation, forming a connecting channel between the negatively charged DOM and As, thus enhancing the DOM’s binding capacity to As. DOM-Fe compounds bind As through surface pores and functional groups. These findings provide deeper insights into the influence of DOM on As behavior in Fe-rich soil environments and offer theoretical support for controlling As pollution in red soil. Full article
Show Figures

Figure 1

74 pages, 3722 KB  
Review
Overview of Tensor-Based Cooperative MIMO Communication Systems—Part 2: Semi-Blind Receivers
by Gérard Favier and Danilo Sousa Rocha
Entropy 2024, 26(11), 937; https://doi.org/10.3390/e26110937 - 31 Oct 2024
Viewed by 1673
Abstract
Cooperative MIMO communication systems play an important role in the development of future sixth-generation (6G) wireless systems incorporating new technologies such as massive MIMO relay systems, dual-polarized antenna arrays, millimeter-wave communications, and, more recently, communications assisted using intelligent reflecting surfaces (IRSs), and unmanned [...] Read more.
Cooperative MIMO communication systems play an important role in the development of future sixth-generation (6G) wireless systems incorporating new technologies such as massive MIMO relay systems, dual-polarized antenna arrays, millimeter-wave communications, and, more recently, communications assisted using intelligent reflecting surfaces (IRSs), and unmanned aerial vehicles (UAVs). In a companion paper, we provided an overview of cooperative communication systems from a tensor modeling perspective. The objective of the present paper is to provide a comprehensive tutorial on semi-blind receivers for MIMO one-way two-hop relay systems, allowing the joint estimation of transmitted symbols and individual communication channels with only a few pilot symbols. After a reminder of some tensor prerequisites, we present an overview of tensor models, with a detailed, unified, and original description of two classes of tensor decomposition frequently used in the design of relay systems, namely nested CPD/PARAFAC and nested Tucker decomposition (TD). Some new variants of nested models are introduced. Uniqueness and identifiability conditions, depending on the algorithm used to estimate the parameters of these models, are established. Two families of algorithms are presented: iterative algorithms based on alternating least squares (ALS) and closed-form solutions using Khatri–Rao and Kronecker factorization methods, which consist of SVD-based rank-one matrix or tensor approximations. In a second part of the paper, the overview of cooperative communication systems is completed before presenting several two-hop relay systems using different codings and configurations in terms of relaying protocol (AF/DF) and channel modeling. The aim of this presentation is firstly to show how these choices lead to different nested tensor models for the signals received at destination. Then, by capitalizing on these models and their correspondence with the generic models studied in the first part, we derive semi-blind receivers to jointly estimate the transmitted symbols and the individual communication channels for each relay system considered. In a third part, extensive Monte Carlo simulation results are presented to compare the performance of relay systems and associated semi-blind receivers in terms of the symbol error rate (SER) and channel estimate normalized mean-square error (NMSE). Their computation time is also compared. Finally, some perspectives are drawn for future research work. Full article
(This article belongs to the Special Issue Wireless Communications: Signal Processing Perspectives)
Show Figures

Figure 1

15 pages, 681 KB  
Article
Joint Wideband Spectrum Sensing and Carrier Frequency Estimation in the Multi-Path Propagation Environment Based on Sub-Nyquist Sampling
by Yingshu Wang, Juanjuan Zhang, Shu Yuan, Weizhi Ren, Jilin Wang and Hongwei Wang
Electronics 2024, 13(21), 4282; https://doi.org/10.3390/electronics13214282 - 31 Oct 2024
Viewed by 1168
Abstract
We consider the wideband spectrum sensing within a multi-path propagation environment, where a multi-antenna base station (BS) is tasked with identifying the frequency positions of multiple narrowband transmissions distributed across a broad range of frequencies. To tackle this, we propose a sub-Nyquist sampling [...] Read more.
We consider the wideband spectrum sensing within a multi-path propagation environment, where a multi-antenna base station (BS) is tasked with identifying the frequency positions of multiple narrowband transmissions distributed across a broad range of frequencies. To tackle this, we propose a sub-Nyquist sampling structure that incorporates a phased array system. Specifically, each antenna is connected to two separate sampling channels, i.e., one for direct sampling and another for delayed sampling, with the latter incorporating a specified time delay factor. The cross-correlation matrices associated with the samples, which are characterized by different time lags, are calculated. These matrices are represented in tensor form, and the factor matrices are extracted through CANDECOMP/PARAFAC (CP) decomposition. By these factor matrices, the carrier frequencies and the power spectra of the far-field signals of interest are estimated. Numerical simulations are conducted to evaluate the performance of the proposed method, and the results reveal the feasibility and effectiveness of the approach, demonstrating its potential for accurate and efficient wideband spectrum sensing in complex multi-path propagation environments. Full article
Show Figures

Figure 1

13 pages, 4083 KB  
Article
Tensor Based Semi-Blind Channel Estimation for Reconfigurable Intelligent Surface-Aided Multiple-Input Multiple-Output Communication Systems
by Ni Li, Honggui Deng, Fuxin Xu, Yitao Zheng, Mingkang Qu, Wanqing Fu and Nanqing Zhou
Sensors 2024, 24(20), 6625; https://doi.org/10.3390/s24206625 - 14 Oct 2024
Cited by 2 | Viewed by 1836
Abstract
Reconfigurable intelligent surfaces (RISs) are a promising technology for sixth-generation (6G) wireless networks. However, a fully passive RIS cannot independently process signals. Wireless systems equipped with it often encounter the challenge of large channel matrix dimensions when acquiring channel state information using pilot-assisted [...] Read more.
Reconfigurable intelligent surfaces (RISs) are a promising technology for sixth-generation (6G) wireless networks. However, a fully passive RIS cannot independently process signals. Wireless systems equipped with it often encounter the challenge of large channel matrix dimensions when acquiring channel state information using pilot-assisted algorithms, resulting in high pilot overhead. To address this issue, this article proposes a semi-blind joint channel and symbol estimation receiver without a pilot training stage for RIS-aided multiple-input multiple-output (MIMO) (including massive MIMO) communication systems. In a semi-blind system, a transmission symbol matrix and two channel matrices are coupled within the received signals at the base station (BS). We decouple them by building two parallel factor (PARAFAC) tensor models. Leveraging PARAFAC tensor decomposition, we transform the joint channel and symbol estimation problem into least square (LS) problems, which can be solved by Alternating Least Squares (ALSs). Our proposed scheme allows duplex communication. Compared to recently proposed pilot-based methods and semi-blind receivers, our results demonstrate the superior performance of our proposed algorithm in estimation accuracy and speed. Full article
Show Figures

Figure 1

24 pages, 31769 KB  
Article
Probabilistic PARAFAC2
by Philip J. H. Jørgensen, Søren F. Nielsen, Jesper L. Hinrich, Mikkel N. Schmidt, Kristoffer H. Madsen and Morten Mørup
Entropy 2024, 26(8), 697; https://doi.org/10.3390/e26080697 - 17 Aug 2024
Cited by 2 | Viewed by 2083
Abstract
The Parallel Factor Analysis 2 (PARAFAC2) is a multimodal factor analysis model suitable for analyzing multi-way data when one of the modes has incomparable observation units, for example, because of differences in signal sampling or batch sizes. A fully probabilistic treatment of the [...] Read more.
The Parallel Factor Analysis 2 (PARAFAC2) is a multimodal factor analysis model suitable for analyzing multi-way data when one of the modes has incomparable observation units, for example, because of differences in signal sampling or batch sizes. A fully probabilistic treatment of the PARAFAC2 is desirable to improve robustness to noise and provide a principled approach for determining the number of factors, but challenging because direct model fitting requires that factor loadings be decomposed into a shared matrix specifying how the components are consistently co-expressed across samples and sample-specific orthogonality-constrained component profiles. We develop two probabilistic formulations of the PARAFAC2 model along with variational Bayesian procedures for inference: In the first approach, the mean values of the factor loadings are orthogonal leading to closed form variational updates, and in the second, the factor loadings themselves are orthogonal using a matrix Von Mises–Fisher distribution. We contrast our probabilistic formulations to the conventional direct fitting algorithm based on maximum likelihood on synthetic data and real fluorescence spectroscopy and gas chromatography–mass spectrometry data showing that the probabilistic formulations are more robust to noise and model order misspecification. The probabilistic PARAFAC2, thus, forms a promising framework for modeling multi-way data accounting for uncertainty. Full article
Show Figures

Figure 1

19 pages, 1137 KB  
Article
A Bayesian Tensor Decomposition Method for Joint Estimation of Channel and Interference Parameters
by Yuzhe Sun, Wei Wang, Yufan Wang and Yuanfeng He
Sensors 2024, 24(16), 5284; https://doi.org/10.3390/s24165284 - 15 Aug 2024
Cited by 2 | Viewed by 2491
Abstract
Bayesian tensor decomposition has been widely applied in channel parameter estimations, particularly in cases with the presence of interference. However, the types of interference are not considered in Bayesian tensor decomposition, making it difficult to accurately estimate the interference parameters. In this paper, [...] Read more.
Bayesian tensor decomposition has been widely applied in channel parameter estimations, particularly in cases with the presence of interference. However, the types of interference are not considered in Bayesian tensor decomposition, making it difficult to accurately estimate the interference parameters. In this paper, we present a robust tensor variational method using a CANDECOMP/PARAFAC (CP)-based additive interference model for multiple input–multiple output (MIMO) with orthogonal frequency division multiplexing (OFDM) systems. A more realistic interference model compared to traditional colored noise is considered in terms of co-channel interference (CCI) and front-end interference (FEI). In contrast to conventional algorithms that filter out interference, the proposed method jointly estimates the channel and interference parameters in the time–frequency domain. Simulation results validate the correctness of the proposed method by the evidence lower bound (ELBO) and reveal the fact that the proposed method outperforms traditional information-theoretic methods, tensor decomposition models, and robust model based on CP (RCP) in terms of estimation accuracy. Further, the interference parameter estimation technique has profound implications for anti-interference applications and dynamic spectrum allocation. Full article
(This article belongs to the Special Issue Integrated Localization and Communication: Advances and Challenges)
Show Figures

Figure 1

23 pages, 7549 KB  
Article
Characterizing Dissolved Organic Matter and Other Water-Soluble Compounds in Ground Ice of the Russian Arctic: A Focus on Ground Ice Classification within the Carbon Cycle Context
by Petr Semenov, Anfisa Pismeniuk, Anna Kil, Elizaveta Shatrova, Natalia Belova, Petr Gromov, Sergei Malyshev, Wei He, Anastasiia Lodochnikova, Ilya Tarasevich, Irina Streletskaya and Marina Leibman
Geosciences 2024, 14(3), 77; https://doi.org/10.3390/geosciences14030077 - 13 Mar 2024
Cited by 5 | Viewed by 3069
Abstract
Climate-induced changes contribute to the thawing of ice-rich permafrost in the Arctic, which leads to the release of large amounts of organic carbon into the atmosphere in the form of greenhouse gases, mainly carbon dioxide and methane. Ground ice constitutes a considerable volume [...] Read more.
Climate-induced changes contribute to the thawing of ice-rich permafrost in the Arctic, which leads to the release of large amounts of organic carbon into the atmosphere in the form of greenhouse gases, mainly carbon dioxide and methane. Ground ice constitutes a considerable volume of the cryogenically sequestered labile dissolved organic carbon (DOC) subjected to fast mineralization upon thawing. In this work, we collected a unique geochemical database of the ground and glacier ice comprising the samples from various geographic locations in the Russian Arctic characterized by a variety of key parameters, including ion composition, carbon-bearing gases (methane and carbon dioxide), bulk biogeochemical indicators, and fluorescent dissolved organic matter (DOM) fractions. Our results show that interaction with solid material—such as sediments, detritus, and vegetation—is likely the overriding process in enrichment of the ground ice in all the dissolved compounds. Terrigenous humic-like dissolved organic matter was predominant in all the analyzed ice samples except for glacier ice from Bolshevik Island (the Severnaya Zemlya archipelago) and pure (with low sediment content) tabular ground ice from western Yamal. The labile protein-like DOM showed no correlation to humic components and was probably linked to microbial abundance in the ground ice. The sum of the fluorophores deconvoluted by PARAFAC strongly correlates to DOC, which proves the potential of using this approach for differentiation of bulk DOC into fractions with various origins and biogeochemical behaviors. The pure tabular ground ice samples exhibit the highest rate of fresh easily degradable DOM in the bulk DOC, which may be responsible for the amplification of permafrost organic matter decomposition upon thawing. Full article
(This article belongs to the Section Cryosphere)
Show Figures

Figure 1

34 pages, 581 KB  
Review
Tensor-Based Approaches for Nonlinear and Multilinear Systems Modeling and Identification
by Gérard Favier and Alain Kibangou
Algorithms 2023, 16(9), 443; https://doi.org/10.3390/a16090443 - 14 Sep 2023
Cited by 8 | Viewed by 3196
Abstract
Nonlinear (NL) and multilinear (ML) systems play a fundamental role in engineering and science. Over the last two decades, active research has been carried out on exploiting the intrinsically multilinear structure of input–output signals and/or models in order to develop more efficient identification [...] Read more.
Nonlinear (NL) and multilinear (ML) systems play a fundamental role in engineering and science. Over the last two decades, active research has been carried out on exploiting the intrinsically multilinear structure of input–output signals and/or models in order to develop more efficient identification algorithms. This has been achieved using the notion of tensors, which are the central objects in multilinear algebra, giving rise to tensor-based approaches. The aim of this paper is to review such approaches for modeling and identifying NL and ML systems using input–output data, with a reminder of the tensor operations and decompositions needed to render the presentation as self-contained as possible. In the case of NL systems, two families of models are considered: the Volterra models and block-oriented ones. Volterra models, frequently used in numerous fields of application, have the drawback to be characterized by a huge number of coefficients contained in the so-called Volterra kernels, making their identification difficult. In order to reduce this parametric complexity, we show how Volterra systems can be represented by expanding high-order kernels using the parallel factor (PARAFAC) decomposition or generalized orthogonal basis (GOB) functions, which leads to the so-called Volterra–PARAFAC, and Volterra–GOB models, respectively. The extended Kalman filter (EKF) is presented to estimate the parameters of a Volterra–PARAFAC model. Another approach to reduce the parametric complexity consists in using block-oriented models such as those of Wiener, Hammerstein and Wiener–Hammerstein. With the purpose of estimating the parameters of such models, we show how the Volterra kernels associated with these models can be written under the form of structured tensor decompositions. In the last part of the paper, the notion of tensor systems is introduced using the Einstein product of tensors. Discrete-time memoryless tensor-input tensor-output (TITO) systems are defined by means of a relation between an Nth-order tensor of input signals and a Pth-order tensor of output signals via a (P+N)th-order transfer tensor. Such systems generalize the standard memoryless multi-input multi-output (MIMO) system to the case where input and output data define tensors of order higher than two. The case of a TISO system is then considered assuming the system transfer is a rank-one Nth-order tensor viewed as a global multilinear impulse response (IR) whose parameters are estimated using the weighted least-squares (WLS) method. A closed-form solution is proposed for estimating each individual IR associated with each mode-n subsystem. Full article
(This article belongs to the Special Issue Mathematical Modelling in Engineering and Human Behaviour)
Show Figures

Figure 1

18 pages, 2918 KB  
Article
Tensor Decomposition Analysis of Longitudinal EEG Signals Reveals Differential Oscillatory Dynamics in Eyes-Closed and Eyes-Open Motor Imagery BCI: A Case Report
by Saman Seifpour and Alexander Šatka
Brain Sci. 2023, 13(7), 1013; https://doi.org/10.3390/brainsci13071013 - 30 Jun 2023
Cited by 2 | Viewed by 2974
Abstract
Functional dissociation of brain neural activity induced by opening or closing the eyes has been well established. However, how the temporal dynamics of the underlying neuronal modulations differ between these eye conditions during movement-related behaviours is less known. Using a robotic-assisted motor imagery [...] Read more.
Functional dissociation of brain neural activity induced by opening or closing the eyes has been well established. However, how the temporal dynamics of the underlying neuronal modulations differ between these eye conditions during movement-related behaviours is less known. Using a robotic-assisted motor imagery brain-computer interface (MI BCI), we measured neural activity over the motor regions with electroencephalography (EEG) in a stroke survivor during his longitudinal rehabilitation training. We investigated lateralized oscillatory sensorimotor rhythm modulations while the patient imagined moving his hemiplegic hand with closed and open eyes to control an external robotic splint. In order to precisely identify the main profiles of neural activation affected by MI with eyes-open (MIEO) and eyes-closed (MIEC), a data-driven approach based on parallel factor analysis (PARAFAC) tensor decomposition was employed. Using the proposed framework, a set of narrow-band, subject-specific sensorimotor rhythms was identified; each of them had its own spatial and time signature. When MIEC trials were compared with MIEO trials, three key narrow-band rhythms whose peak frequencies centred at ∼8.0 Hz, ∼11.5 Hz, and ∼15.5 Hz, were identified with differently modulated oscillatory dynamics during movement preparation, initiation, and completion time frames. Furthermore, we observed that lower and higher sensorimotor oscillations represent different functional mechanisms within the MI paradigm, reinforcing the hypothesis that rhythmic activity in the human sensorimotor system is dissociated. Leveraging PARAFAC, this study achieves remarkable precision in estimating latent sensorimotor neural substrates, aiding the investigation of the specific functional mechanisms involved in the MI process. Full article
Show Figures

Figure 1

14 pages, 431 KB  
Article
A Tensor-Based Approach to Blind Despreading of Long-Code Multiuser DSSS Signals
by Liangliang Li, Tao Liang, Huaguo Zhang, Songmao Du and Lin Gao
Electronics 2023, 12(5), 1097; https://doi.org/10.3390/electronics12051097 - 22 Feb 2023
Cited by 1 | Viewed by 1957
Abstract
In this paper, a tensor-based approach to blind despreading of long-code multiuser DSSS signals is proposed. We aim to generalize the tensor-based methods originally developed for blind separation of short-code multiuser DSSS signals to long-code cases. Firstly, we model the intercepted long-code multiuser [...] Read more.
In this paper, a tensor-based approach to blind despreading of long-code multiuser DSSS signals is proposed. We aim to generalize the tensor-based methods originally developed for blind separation of short-code multiuser DSSS signals to long-code cases. Firstly, we model the intercepted long-code multiuser DSSS signals with an antenna-array receiver as a three-order tensor with missing values, and then, the blind separation problem can be formulated as a canonical or parallel factor (CANDECOMP/PARAFAC) decomposition problem of the missing-data tensor, which can be solved using optimum methods. Secondly, a constrained Cramér–Rao Bound (CRB) is also derived to provide a performance benchmark for the proposed approach. Simulation results verify the feasibility of our proposed approach in the case of low signal-to-noise (SNR) conditions. Full article
(This article belongs to the Special Issue Advanced Digital Signal Processing for Future Digital Communications)
Show Figures

Figure 1

21 pages, 3880 KB  
Article
A Fast and Robust Third-Order Multivariate Calibration Approach Coupled with Excitation–Emission Matrix Phosphorescence for the Quantification and Oxidation Kinetic Study of Fluorene in Wastewater Samples
by Xiang-Dong Qing, Xiao-Hua Zhang, Rong An, Jin Zhang, Ling Xu and Ludovic Duponchel
Chemosensors 2023, 11(1), 53; https://doi.org/10.3390/chemosensors11010053 - 7 Jan 2023
Cited by 3 | Viewed by 2236
Abstract
Human activity today produces a large number of pollutants that end up in the environment, such as soil, water, and airborne particles. The first objective of this work is to introduce a new third-order multivariate calibration approach called self-weighted alternating quadrilinear decomposition (SWAQLD) [...] Read more.
Human activity today produces a large number of pollutants that end up in the environment, such as soil, water, and airborne particles. The first objective of this work is to introduce a new third-order multivariate calibration approach called self-weighted alternating quadrilinear decomposition (SWAQLD) for the analysis of organic pollutant of fluorene (FLU) in different water systems. One simulated and two real four-way data sets are used to study the potential of the proposed approach in comparison with two classical algorithms, namely alternating quadrilinear decomposition (AQLD) and parallel factor analysis (PARAFAC). The results of simulated data show that SWAQLD inherits the advantages of PARAFAC in terms of not only tolerance to experimental noise but also a fast convergence and a certain robustness to overestimation of the rank of the models from AQLD. The second objective of this work is to propose a new way of generating third-order data using excitation–emission matrix phosphorescence (EEMP) at room temperature for the study of the kinetic process of oxidation of FLU in complex chemical systems. The obtained rate constant and half-life of the FLU oxidation, on average, are 0.015 min−1 and 45.5 min for free-interference water and 0.017 min−1 and 40.0 min for wastewater, respectively. Research results show that SWAQLD coupled with EEMP allows the quantification and kinetic monitoring of FLU in analytical conditions of different complexities with excellent robustness to the choice of the number of model components. Full article
(This article belongs to the Special Issue Chemometrics for Analytical Chemistry)
Show Figures

Figure 1

23 pages, 11416 KB  
Article
High-Dimensional Seismic Data Reconstruction Based on Linear Radon Transform–Constrained Tensor CANDECOM/PARAFAC Decomposition
by Zhiyuan Ouyang, Liqi Zhang, Huazhong Wang and Kai Yang
Remote Sens. 2022, 14(24), 6275; https://doi.org/10.3390/rs14246275 - 11 Dec 2022
Cited by 3 | Viewed by 2658
Abstract
Random noise and missing seismic traces are common in field seismic data, which seriously affects the subsequent seismic processing flow. The complete noise-free high-dimensional seismic dataset in the frequency–space (f-x) domain under the local linear assumption are regarded as a low-rank tensor, and [...] Read more.
Random noise and missing seismic traces are common in field seismic data, which seriously affects the subsequent seismic processing flow. The complete noise-free high-dimensional seismic dataset in the frequency–space (f-x) domain under the local linear assumption are regarded as a low-rank tensor, and each high dimensional seismic dataset containing only one linear event is a rank-1 tensor. The tensor CANDECOM/PARAFAC decomposition (CPD) method estimates complete noise-free seismic signals by characterizing high-dimensional seismic signals as the sum of several rank-1 tensors. In order to improve the stability and effect of the tensor CPD algorithm, this paper proposes a linear Radon transform–constrained tensor CPD method (RCPD) by using the sparsity of factor matrix in the Radon domain after high-dimensional seismic signal tensor CPD and uses alternating direction multiplier method (ADMM) to solve the established optimization problem. This proposed method is an essential realization of the high-dimensional linear Radon transform, and the results of synthetic and field data reconstruction prove the effectiveness of the proposed method. Full article
(This article belongs to the Special Issue Geophysical Data Processing in Remote Sensing Imagery)
Show Figures

Graphical abstract

14 pages, 2881 KB  
Article
Accelerated PARAFAC-Based Channel Estimation for Reconfigurable Intelligent Surface-Assisted MISO Systems
by Haoqi Xiao, Honggui Deng, Aimin Guo, Yuyan Qian, Chengzuo Peng and Yinhao Zhang
Sensors 2022, 22(19), 7463; https://doi.org/10.3390/s22197463 - 1 Oct 2022
Cited by 1 | Viewed by 2084
Abstract
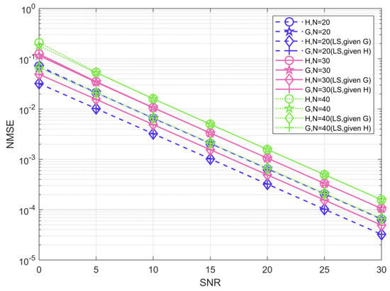
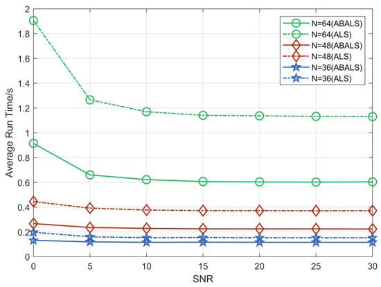
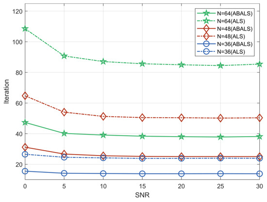
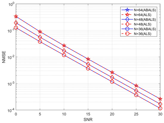
To achieve fast and accurate channel estimation of reconfigurable intelligent surface (RIS)-assisted multiple-input single-output (MISO) systems, we propose an accelerated bilinear alternating least squares algorithm (ABALS) based on parallel factor decomposition. Firstly, we build a tensor model of the received signal, and expand [...] Read more.
To achieve fast and accurate channel estimation of reconfigurable intelligent surface (RIS)-assisted multiple-input single-output (MISO) systems, we propose an accelerated bilinear alternating least squares algorithm (ABALS) based on parallel factor decomposition. Firstly, we build a tensor model of the received signal, and expand it to obtain the unfolded forms of the model. Secondly, we derive the expression of the estimation problem of two channels based on the unfolded forms to transform the problem into a cost function problem. Furthermore, we solve the cost function problem by introducing a simpler iterative optimization constraint and linear interpolation. Finally, we provide a strategy on the receiver design based on the feasibility conditions discussed in this paper, which can guarantee the uniqueness of the channel estimation problem. Simulation results show that the proposed algorithm can obtain a faster estimation speed and less iteration steps than the alternating least squares (ALS) algorithm, and the accuracy of the two algorithms is very close. Full article
(This article belongs to the Section Communications)
Show Figures

Figure 1

Back to TopTop