Sign in to use this feature.

Years

Between: -

Subjects

remove_circle_outline
remove_circle_outline
remove_circle_outline
remove_circle_outline
remove_circle_outline
remove_circle_outline
remove_circle_outline
remove_circle_outline
remove_circle_outline

Journals

remove_circle_outline
remove_circle_outline

Article Types

Countries / Regions

remove_circle_outline
remove_circle_outline
remove_circle_outline

Search Results (302)

Search Parameters:
Keywords = Otsu’s algorithm

Order results
Result details
Results per page
Select all
Export citation of selected articles as:
68 pages, 34604 KB  
Article
A Multi-Strategy Improved Information Acquisition Algorithm for Numerical Optimization and Artistic Image Segmentation
by Xiaoyan Zhang, Bin Wang, Yu Shao and Jianfeng Wang
Symmetry 2026, 18(5), 708; https://doi.org/10.3390/sym18050708 - 23 Apr 2026
Viewed by 109
Abstract
To address the shortcomings of the information acquisition optimizer (IAO)—specifically its susceptibility to premature convergence, insufficient exploitation capability during later stages, and population diversity decay when applied to complex optimization problems—this paper proposes a multi-strategy improved information acquisition optimizer (MIIAO). Centered on balancing [...] Read more.
To address the shortcomings of the information acquisition optimizer (IAO)—specifically its susceptibility to premature convergence, insufficient exploitation capability during later stages, and population diversity decay when applied to complex optimization problems—this paper proposes a multi-strategy improved information acquisition optimizer (MIIAO). Centered on balancing exploration and exploitation capabilities during the search process, this method incorporates several key strategies: an adaptive differential perturbation factor is designed to dynamically adjust the search step size; an elite-guided information acquisition mechanism is introduced to enhance convergence efficiency within high-quality regions; a diversity-based restart perturbation strategy is integrated to mitigate the risk of entrapment in local optima; and a mirror boundary handling technique is adopted to bolster the resilience of solutions near boundaries and improve the effectiveness of searching within the feasible domain. To validate the efficacy of the proposed method, MIIAO was applied to the CEC2014, CEC2017, and CEC2022 benchmark test suites and systematically compared against various representative intelligent optimization algorithms. Furthermore, the method was applied to multi-threshold image segmentation tasks based on Otsu’s criterion. Experimental results demonstrate that MIIAO consistently exhibits superior solution accuracy, convergence speed, stability, and statistical ranking across various dimensions and a diverse range of complex test functions; the results of the Wilcoxon rank-sum test and Friedman mean ranking further substantiate its comprehensive performance advantages. In the image segmentation experiments, MIIAO achieved superior Otsu objective function values across multiple test images and under various threshold settings, while also demonstrating higher segmentation quality and greater robustness across evaluation metrics such as PSNR, SSIM, and FSIM. In summary, the proposed MIIAO effectively enhances the original IAO’s global search capability, local exploitation capability, and ability to maintain population diversity, thereby demonstrating significant potential for practical application in both numerical optimization and multi-threshold image segmentation tasks. Full article
(This article belongs to the Special Issue Symmetry in Optimization Algorithms and Applications)
45 pages, 26282 KB  
Article
An Artistic Image Segmentation Method Based on an Art-Design-Strategy-Improved Parrot Optimizer
by Xiaoning Wang and Hui Zhang
Symmetry 2026, 18(5), 709; https://doi.org/10.3390/sym18050709 - 23 Apr 2026
Viewed by 108
Abstract
Multi-threshold image segmentation is an important research topic in the fields of computer vision and image processing. Its core objective is to efficiently determine the optimal threshold combination within a high-dimensional and complex search space. However, as the number of thresholds and image [...] Read more.
Multi-threshold image segmentation is an important research topic in the fields of computer vision and image processing. Its core objective is to efficiently determine the optimal threshold combination within a high-dimensional and complex search space. However, as the number of thresholds and image complexity increase, the computational cost of traditional exhaustive search methods grows exponentially. Meanwhile, conventional swarm intelligence algorithms often suffer from unstable convergence, premature stagnation, and parameter sensitivity when dealing with high-dimensional composite functions. To address these issues, this paper proposes an enhanced optimization algorithm termed the Parrot Optimizer with Artistic Design Strategy (PO-ADS). The proposed method constructs a multi-strategy cooperative optimization framework that integrates an Evolution Feedback–Based Adaptive Control Strategy (EFACS), a Multi-Operator Cooperative Evolution Strategy (MOCES), and an Artistic Design Strategy (ADS). These strategies enable dynamic parameter adjustment, adaptive balance between global exploration and local exploitation, and structured perturbation enhancement mechanisms. Experimental results on the CEC2020 and CEC2022 benchmark suites demonstrate that PO-ADS significantly outperforms seven state-of-the-art optimization algorithms across different dimensional settings in terms of optimization accuracy, convergence speed, and stability. The Friedman test results show that, on the CEC2020 benchmark suite, PO-ADS achieves average ranks of 1.72 (30-dimensional) and 1.85 (50-dimensional), both statistically superior to the comparative algorithms. Furthermore, PO-ADS is applied to multi-threshold image segmentation based on the Otsu criterion. The results indicate that the proposed method achieves optimal or near-optimal performance in terms of SSIM, PSNR, FSIM, and objective function values. Overall, the experimental findings confirm that PO-ADS not only possesses strong numerical optimization capability but also demonstrates robust and practical applicability in real-world image segmentation tasks. Full article
(This article belongs to the Special Issue Applications Based on Symmetry/Asymmetry in Optimization Algorithms)
30 pages, 7608 KB  
Article
Concrete Crack Detection and Classification Methods Based on Machine Vision and Deep Learning
by Weibin Chen, Zhijie Peng, Xiangsheng Chen, Linshuang Zhao, Tao Xu, Qiang Li, Xianwen Huang and K. K. Pabodha M. Kannangara
Sensors 2026, 26(8), 2381; https://doi.org/10.3390/s26082381 - 13 Apr 2026
Viewed by 487
Abstract
With the rapid development of underground space, structural crack monitoring has become increasingly critical. This study proposes a unified framework integrating image preprocessing, feature extraction, model training, and safety assessment for crack analysis. An improved OTSU threshold segmentation algorithm based on sliding windows [...] Read more.
With the rapid development of underground space, structural crack monitoring has become increasingly critical. This study proposes a unified framework integrating image preprocessing, feature extraction, model training, and safety assessment for crack analysis. An improved OTSU threshold segmentation algorithm based on sliding windows and local statistical analysis is developed to enhance noise suppression and detail preservation under complex backgrounds and varying resolutions. For crack identification and orientation classification, SVM, CNN, ResNet-18, and K-means clustering are systematically compared. The results show that the improved OTSU method outperforms the classical approach in both high- and low-resolution images. In classification tasks, SVM achieves the best performance under limited data conditions, with accuracy exceeding 96% and reaching 97% after outlier removal, outperforming CNN, K-means, and ResNet-18. Although ResNet-18 demonstrates strong overall performance with high prediction confidence across crack categories, it remains slightly inferior to SVM when training data are limited. Experimental validation using full-scale loading tests of metro shield tunnel segments further confirms the robustness of the proposed approach, with SVM achieving an accuracy of 95.45% in real-world conditions. This study provides an efficient and reliable solution for automated crack detection and classification in metro tunnel infrastructure and similar underground segment-based systems. Full article
(This article belongs to the Special Issue Novel Sensor Technologies for Civil Infrastructure Monitoring)
Show Figures

Figure 1

23 pages, 9838 KB  
Article
Bimodal Image Fusion and Brightness Piecewise Linear Enhancement for Crack Segmentation
by Yong Li, Nian Ji, Fuzhe Zhao, Huaiwen Zhang, Zeqi Liu, Laxmisha Rai and Zhaopeng Deng
Mathematics 2026, 14(7), 1235; https://doi.org/10.3390/math14071235 - 7 Apr 2026
Viewed by 346
Abstract
Accurate segmentation of structural cracks is a core prerequisite for quantifying crack parameters, assessing damage severity, and providing early warning of structural safety. However, different types of structures exhibit significant individual variations in features such as color, texture, and brightness. Consequently, commonly used [...] Read more.
Accurate segmentation of structural cracks is a core prerequisite for quantifying crack parameters, assessing damage severity, and providing early warning of structural safety. However, different types of structures exhibit significant individual variations in features such as color, texture, and brightness. Consequently, commonly used image segmentation algorithms struggle to establish a universal mathematical model, making it challenging to robustly identify and precisely segment crack targets amidst multi-feature disparities. To address the issue, this paper proposes a crack-segmentation algorithm based on bimodal image fusion and brightness piecewise linear enhancement (CSA-BB), and further enables parameter extraction and crack monitoring. The algorithm utilizes the complementary properties of visible-light and pseudo-color images for bimodal image fusion, thereby enhancing the detailed features of cracks. Furthermore, a brightness piecewise linear function has been devised that automatically selects appropriate parameters for image enhancement of structural cracks across varying background brightness. Subsequently, the crack region is effectively segmented using the bottom-hat transform and the OTSU algorithm. Ultimately, the crack’s safety level is determined from the acquired crack parameters, thereby enabling effective monitoring and assessment of the crack development process. In this paper, the proposed method achieves the best segmentation performance with a Dice coefficient of 0.4511 and a Jaccard index of 0.2981. Compared to the second-best algorithm, it yields significant improvements of 26.9% and 34.5%, respectively, demonstrating higher consistency with the ground truth. Moreover, superior computational efficiency and robustness are achieved, fulfilling the operational demands of real-world engineering environments. Full article
Show Figures

Figure 1

41 pages, 35277 KB  
Article
A Multi-Strategy Improved Seagull Optimization Algorithm for Global Optimization and Artistic Image Segmentation
by Yangyang Jiang
Biomimetics 2026, 11(4), 247; https://doi.org/10.3390/biomimetics11040247 - 3 Apr 2026
Viewed by 464
Abstract
Multilevel threshold image segmentation is a key task in image processing, yet it faces challenges such as low search efficiency in high-dimensional spaces, difficulty in balancing segmentation accuracy and stability, and insufficient adaptability to complex scenes. Existing solutions mainly include traditional thresholding methods [...] Read more.
Multilevel threshold image segmentation is a key task in image processing, yet it faces challenges such as low search efficiency in high-dimensional spaces, difficulty in balancing segmentation accuracy and stability, and insufficient adaptability to complex scenes. Existing solutions mainly include traditional thresholding methods and metaheuristic optimization-based schemes, but they still face limitations in high-dimensional and complex segmentation tasks. The standard Seagull Optimization Algorithm (SOA) suffers from shortcomings including a single exploration mechanism, weak local exploitation capability, and a tendency for population diversity to deteriorate, making it difficult to meet the demands of high-dimensional optimization. To address these issues, this paper proposes a multi-strategy fused improved Seagull Optimization Algorithm (MFISOA), which integrates three strategies: adaptive cooperative foraging, differential evolution-driven exploitation, and centroid opposition-based boundary control. These strategies jointly construct a collaborative optimization framework with dynamic resource allocation, fine local search, and population diversity maintenance, thereby improving global exploration efficiency, local exploitation accuracy, and population stability. To evaluate the optimization performance of MFISOA, numerical simulation experiments were conducted on the CEC2017 and CEC2022 benchmark test suites, and comparisons were made with nine other mainstream advanced algorithms. The results show that MFISOA outperforms the competing algorithms in terms of optimization accuracy, convergence speed, and operational stability. Its superiority is further verified by the Wilcoxon rank-sum test and the Friedman test, with statistical significance (p < 0.05). In the multilevel threshold image segmentation task, using the Otsu criterion as the objective function, MFISOA was tested on nine benchmark images under 4-, 6-, 8-, and 10-threshold segmentation scenarios. The results indicate that MFISOA achieves better performance on metrics such as Structural Similarity Index (SSIM), Peak Signal-to-Noise Ratio (PSNR), and Feature Similarity Index (FSIM), enabling more accurate characterization of image grayscale distribution features and producing higher-quality segmentation results. This study provides an efficient and reliable approach for numerical optimization and multilevel threshold image segmentation. Full article
Show Figures

Figure 1

15 pages, 2768 KB  
Article
Non-Destructive Detection Model and Device Development for Duck Egg Freshness
by Qian Yan, Qiaohua Wang, Meihu Ma, Zhihui Zhu, Weiguo Lin, Shiwei Liu and Wei Fan
Foods 2026, 15(7), 1211; https://doi.org/10.3390/foods15071211 - 2 Apr 2026
Viewed by 370
Abstract
To address the low accuracy of traditional freshness detection/grading and poor adaptability to different shell colors in the duck egg industry, this study developed a non-destructive detection model and an integrated device for duck egg freshness based on machine vision combined with eggshell [...] Read more.
To address the low accuracy of traditional freshness detection/grading and poor adaptability to different shell colors in the duck egg industry, this study developed a non-destructive detection model and an integrated device for duck egg freshness based on machine vision combined with eggshell optical property analysis. A four-sided yolk transmission imaging system was designed, and accurate yolk region segmentation was achieved via grayscale conversion, a weighted improved Otsu algorithm for whole-egg segmentation, histogram equalization enhancement, and K-means clustering in the LAB color space. A relational model between the average four-angle yolk projected area ratio and Haugh Units (HU) freshness grades was constructed, with grading thresholds determined by constrained optimization combined with the Youden index to balance food safety and grading accuracy. Experimental results showed the model achieved an overall freshness grade discrimination accuracy of 91.3%, with a sensitivity of 97.1% and specificity of 98.9% for inedible Grade B (HU < 60) duck eggs and below. An automated testing device was further developed, adopting a roller-rotating motor collaborative mechanism for automatic flipping and imaging, and equipped with a 10 W/5500 K LED cool white light source to solve the problem of poor adaptability to different shell colors. The device achieved an overall discrimination accuracy of 88.5% with a detection time of ≤5 s per egg, and its host computer can real-time output the yolk area ratio, predicted HU value, and freshness level. This study provides a high-precision and low-cost technical solution for the refined grading of the poultry egg industry. Full article
Show Figures

Figure 1

23 pages, 9755 KB  
Article
ABC Classification as Business Intelligence Method Based on a Novel Sales Segmentation and Feature Extraction Proposal
by Roberto Baeza-Serrato and Jorge Manuel Barrios-Sánchez
Appl. Syst. Innov. 2026, 9(4), 74; https://doi.org/10.3390/asi9040074 - 30 Mar 2026
Viewed by 691
Abstract
Daily, monthly, and annual multi-product sales records are stored in databases, but due to the massive amounts of data, they are not used for decision-making when updating product catalogs. Meanwhile, the use of artificial intelligence in business is increasing across all sectors of [...] Read more.
Daily, monthly, and annual multi-product sales records are stored in databases, but due to the massive amounts of data, they are not used for decision-making when updating product catalogs. Meanwhile, the use of artificial intelligence in business is increasing across all sectors of the economy. Large-scale data handling can be achieved using artificial intelligence techniques. Specifically, ABC inventory classification currently employs artificial intelligence techniques, including neural networks, fuzzy systems, and genetic algorithms. However, a state-of-the-art review has not found any research using vision techniques to classify ABC inventories. To address this gap, this research presents a novel approach to the intelligent classification of a company’s multiple products, using ABC. Recent vision system research often uses the Otsu method or its variants to determine the optimum threshold for binary image segmentation. Unlike this approach, our research does not use a single threshold value; instead, it uses the full binary frequency histogram as an image representation. From this, eight invariant characteristics are extracted from translation, rotation, and scale. The results show that the classification is accurate, clear, and simple as a decision-making tool. The proposed method is general and can be used in any production sector and at any enterprise size. Full article
(This article belongs to the Special Issue Information Industry and Intelligence Innovation)
Show Figures

Figure 1

33 pages, 10075 KB  
Article
Comparative Analysis of Image Binarization Algorithms for UAV-Based Soybean Canopy Extraction Across Growth Stages for Image Labelling
by Chi-Yong An, Jinki Park and Chulmin Song
Agriculture 2026, 16(5), 582; https://doi.org/10.3390/agriculture16050582 - 3 Mar 2026
Viewed by 440
Abstract
The advent of smart farms, enabled by information and communication technologies (ICT) and the Internet of Things (IoT), has improved productivity and sustainable agriculture. However, the large-scale implementation of smart farms is currently hampered by physical constraints. These constraints have led to the [...] Read more.
The advent of smart farms, enabled by information and communication technologies (ICT) and the Internet of Things (IoT), has improved productivity and sustainable agriculture. However, the large-scale implementation of smart farms is currently hampered by physical constraints. These constraints have led to the concept of open-field smart farming as a viable alternative. In this paradigm, data from unmanned aerial vehicles (UAVs) play a central role in effective and sustainable agricultural management. The quantitative analysis of such data requires highly reliable technological solutions. The objective of this study is to conduct a comparative analysis of image binarization algorithms for UAV-based soybean canopy extraction across growth stages and to contribute to the development of an image labeling methodology. UAVs were used to capture images of soybean fields at different growth stages, and a comparative analysis was performed using binarization image algorithms. The performance of each algorithm was evaluated using Normalized Cross Correlation (NCC) and Mean Absolute Error (MAE). The results indicate that the Excess Green (ExG) and Excess Green minus Excess Red (ExGR) vegetation indices provide accurate and stable soybean canopy extraction across growth stages when combined with Adaptive and Otsu binarization algorithms. These indices are particularly suitable for extracting soybean canopy from UAV-based data, thereby expanding the scope of precision analysis in the agricultural sector and providing data for advancing precision agriculture technology. This study contributes to the standardization and efficient use of UAV-based agricultural data processing. However, since manual weeding was performed prior to image acquisition to ensure that only soybean plants were present, reflecting standard agricultural practices in South Korea, additional validation would be required for application in fields where weeds are naturally present. Full article
(This article belongs to the Section Artificial Intelligence and Digital Agriculture)
Show Figures

Figure 1

21 pages, 1754 KB  
Article
Analysis of the Consensual Pupillary Reflex Using Blue LED Step Light and Automated Image Segmentation
by Edyson R. Torres-Centeno, Erwin J. Sacoto-Cabrera, Roger Jesus Coaquira-Castillo, L. Walter Utrilla Mego, Miguel A. Castillo-Guevara, Yesenia Concha-Ramos and Edison Moreno-Cardenas
Computers 2026, 15(3), 160; https://doi.org/10.3390/computers15030160 - 3 Mar 2026
Viewed by 517
Abstract
This study evaluates the dynamics of the human pupillary reflex in response to a stepped blue light stimulus (465 nm) in young adults residing at high altitude (3400 m above sea level). High-resolution video sequences of three participants were analyzed using four classical [...] Read more.
This study evaluates the dynamics of the human pupillary reflex in response to a stepped blue light stimulus (465 nm) in young adults residing at high altitude (3400 m above sea level). High-resolution video sequences of three participants were analyzed using four classical image segmentation techniques: K-Means, Otsu, fixed binary threshold, and multi-channel RGB threshold. Rather than proposing new algorithms, this work evaluates the technical feasibility and stability of computationally lightweight segmentation approaches under controlled lighting conditions and with low-cost hardware constraints. Among the methods evaluated, fixed binary thresholding showed stable temporal behavior and minimal computational complexity within the experimental setup. The results show a consistent contraction–plateau–recovery pattern across all participants, with representative contraction, stabilization, and recovery times of 1.89 s, 0.41 s, and 2.33 s, respectively. Although limited by the small sample size, these findings support the feasibility of implementing simplified segmentation strategies for pupillometry in resource-limited settings. Full article
Show Figures

Graphical abstract

29 pages, 2304 KB  
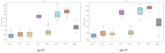
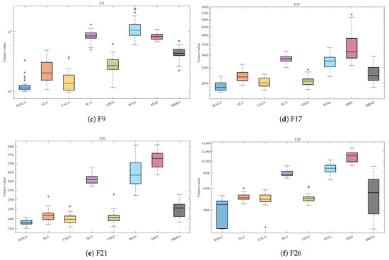
Article
Multi-Mechanism Artificial Lemming Algorithm for Global Optimization and Color Multi-Threshold Image Segmentation
by Liang Tao, Lingzhi Li and Fan Lu
Biomimetics 2026, 11(3), 161; https://doi.org/10.3390/biomimetics11030161 - 28 Feb 2026
Viewed by 403
Abstract
Color multi-threshold image segmentation is a non-convex, gradient-free global optimization problem. The number of decision variables increases with the number of thresholds, leading to a rapid expansion of the search space and increased computational complexity. To address this problem, this paper proposes a [...] Read more.
Color multi-threshold image segmentation is a non-convex, gradient-free global optimization problem. The number of decision variables increases with the number of thresholds, leading to a rapid expansion of the search space and increased computational complexity. To address this problem, this paper proposes a Multi-Mechanism Artificial Lemming Algorithm (MALA). When applied to color multi-threshold image segmentation, the original Artificial Lemming Algorithm (ALA) suffers from an imbalance between exploration and exploitation, excessive reliance on the current best solution, and rigid boundary handling, which may lead to premature convergence and suboptimal threshold selection. MALA integrates three lightweight yet structurally enhancement mechanisms to enhance the stability of the exploration–exploitation process, population-level guidance, and boundary-handling behavior. To verify its general optimization capability, MALA is evaluated on the CEC2017 benchmark suite, where it shows competitive convergence behavior and improved objective values compared with ALA and representative baseline algorithms. Furthermore, segmentation experiments on six benchmark images using Otsu’s criterion show that MALA attains competitive fitness values and generally higher PSNR, SSIM, and FSIM metrics. These results suggest that MALA can serve as a general optimization method with applicability to color multi-threshold image segmentation. Full article
(This article belongs to the Section Biological Optimisation and Management)
Show Figures

Figure 1

20 pages, 2259 KB  
Article
A Portable Image-Based Detection Device with Improved Algorithms for Real-Time Droplet Deposition Analysis in Plant Protection UAV Spraying
by Ruizhi Chang, Yu Yan, Guobin Wang, Shengde Chen, Yanhua Meng, Cong Ma and Yubin Lan
Agriculture 2026, 16(5), 499; https://doi.org/10.3390/agriculture16050499 - 25 Feb 2026
Viewed by 486
Abstract
Unmanned aerial vehicles (UAVs) have revolutionized plant protection spraying due to their high efficiency and adaptability. However, the lack of rapid, portable tools for assessing droplet deposition remains a bottleneck for optimizing spray quality and improving pesticide utilization. The main purpose of this [...] Read more.
Unmanned aerial vehicles (UAVs) have revolutionized plant protection spraying due to their high efficiency and adaptability. However, the lack of rapid, portable tools for assessing droplet deposition remains a bottleneck for optimizing spray quality and improving pesticide utilization. The main purpose of this study is to develop a portable, image-based detection device with improved algorithms for real-time analysis (<3 s per card) of droplet deposition on spray cards during UAV plant protection spraying, addressing the limitations of existing methods in portability, real-time capability, and field robustness. This study presents a portable detection device integrated with advanced image processing algorithms for real-time analysis of droplet deposition on copperplate paper cards during UAV operations. The device employs a Raspberry Pi 5 as the core processor, coupled with a high-resolution camera and a standard chessboard calibration board for field-portable image acquisition. Key innovations include an adaptive background subtraction and local contrast enhancement method to address variable field lighting conditions, and an improved adhesion droplet segmentation algorithm combining iterative morphological opening operations with refined distance transform-based concave point matching. Validation on 21 field-collected cards using ImageJ as reference demonstrated a droplet extraction accuracy of 89.4%, with coverage rate improvements of 25.4% and 15.2% compared to OTSU and block thresholding methods, respectively. The adhesion segmentation relative error averaged 6.3%. This low-cost, lightweight device provides farmers and researchers with an effective tool for on-site spray quality evaluation, contributing to precision agriculture and reduced pesticide waste. Full article
(This article belongs to the Section Agricultural Technology)
Show Figures

Figure 1

23 pages, 4409 KB  
Article
Novel Hybrid Feature Engineering with Optimized BAS Algorithm for Shipborne Radar Marine Oil Spill Detection
by Jin Xu, Bo Xu, Haihui Dong, Qiao Liu, Lihui Qian, Boxi Yao, Zekun Guo and Peng Liu
J. Mar. Sci. Eng. 2026, 14(3), 312; https://doi.org/10.3390/jmse14030312 - 5 Feb 2026
Viewed by 401
Abstract
Offshore oil exploration and the volume of imported crude oil shipping have increased steadily, elevating the risk of oil spills. An advanced offshore oil film identification method is proposed to realize the accurate and robust recognition and segmentation of oil films from marine [...] Read more.
Offshore oil exploration and the volume of imported crude oil shipping have increased steadily, elevating the risk of oil spills. An advanced offshore oil film identification method is proposed to realize the accurate and robust recognition and segmentation of oil films from marine radar images in offshore oil spill detection. This method integrates feature engineering with an improved Beetle Antennae Search (BAS) optimization algorithm, aiming to address the key issues of low discrimination between oil films and complex marine backgrounds and insufficient spill boundary localization accuracy in radar image analysis. First, the raw radar image was transformed into the Cartesian coordinate system, and a filtering procedure was applied to attenuate interference. Subsequently, the gray distribution and local contrast of the denoised image was further improved. Afterwards, the complexity of the grayscale distribution within each feature map was quantified using Shannon entropy. The Top-K feature maps with the highest entropy values were subsequently used to construct an information-rich subset. The subset was then processed through a pixel-wise averaging strategy to generate a coupled feature image. Then, Otsu threshold was used to refine ocean wave regions. Finally, the oil films were segmented with an improved BAS optimization algorithm. The fitness function of the improved BAS algorithm was augmented through the integration of edge fitting accuracy, and a target-proximity penalization scheme. Through an adaptive step-length modulation paradigm and Perceptual Mechanism, it can achieve a marked improvement in search accuracy and achieving precise segmentation of oil slicks. The detection accuracy of the proposed method is significantly enhanced relative to the traditional BAS algorithm and existing marine radar oil spill detection methods. The IOU, Dice, recall and F1-score reached 81.2%, 89.6%, 85.2%, and 90.1% respectively. This method not only advances the methodological rigor of spill detection but also provides critical data support for the development of more effective control and remediation practices. Full article
(This article belongs to the Section Ocean Engineering)
Show Figures

Figure 1

16 pages, 4801 KB  
Article
Welding Seam Recognition and Trajectory Planning Based on Deep Learning in Electron Beam Welding
by Hao Yang, Congjin Zuo, Haiying Xu and Xiaofei Xu
Sensors 2026, 26(2), 641; https://doi.org/10.3390/s26020641 - 18 Jan 2026
Viewed by 699
Abstract
To address challenges in weld recognition during vacuum electron beam welding caused by dark environments and metal reflections, this study proposes an improved hybrid algorithm combining YOLOv11-seg with adaptive Canny edge detection. By incorporating the UFO-ViT attention mechanism and optimizing the network architecture [...] Read more.
To address challenges in weld recognition during vacuum electron beam welding caused by dark environments and metal reflections, this study proposes an improved hybrid algorithm combining YOLOv11-seg with adaptive Canny edge detection. By incorporating the UFO-ViT attention mechanism and optimizing the network architecture with the EIoU loss function, along with adaptive threshold setting for the Canny operator using the Otsu method, the recognition performance under complex conditions is significantly enhanced. Experimental results demonstrate that the optimized model achieves an average precision (mAP) of 77.4%, representing a 9-percentage-point improvement over the baseline YOLOv11-seg. The system operates at 20 frames per second (FPS), meeting real-time requirements, with the generated welding trajectories showing an average length deviation of less than 3 mm from actual welds. This approach provides an effective pre-weld visual guidance solution, which is a critical step towards the automation of electron beam welding. Full article
Show Figures

Figure 1

14 pages, 3133 KB  
Article
Three-Dimensional Modeling of Full-Diameter Micro–Nano Digital Rock Core Based on CT Scanning
by Changyuan Xia, Jingfu Shan, Yueli Li, Guowen Liu, Huanshan Shi, Penghui Zhao and Zhixue Sun
Processes 2026, 14(2), 337; https://doi.org/10.3390/pr14020337 - 18 Jan 2026
Viewed by 580
Abstract
Characterizing tight reservoirs is challenging due to the complex pore structure and strong heterogeneity at various scales. Current digital rock physics often struggles to reconcile high-resolution imaging with representative sample sizes, and 3D digital cores are frequently used primarily as visualization tools rather [...] Read more.
Characterizing tight reservoirs is challenging due to the complex pore structure and strong heterogeneity at various scales. Current digital rock physics often struggles to reconcile high-resolution imaging with representative sample sizes, and 3D digital cores are frequently used primarily as visualization tools rather than predictive, computable platforms. Thus, a clear methodological gap persists: high-resolution models typically lack macroscopic geological features, while existing 3D digital models are seldom leveraged for quantitative, predictive analysis. This study, based on a full-diameter core sample of a single lithology (gray-black shale), aims to bridge this gap by developing an integrated workflow to construct a high-fidelity, computable 3D model that connects the micro–nano to the macroscopic scale. The core was scanned using high-resolution X-ray computed tomography (CT) at 0.4 μm resolution. The raw CT images were processed through a dedicated pipeline to mitigate artifacts and noise, followed by segmentation using Otsu’s algorithm and region-growing techniques in Avizo 9.0 to isolate minerals, pores, and the matrix. The segmented model was converted into an unstructured tetrahedral finite element mesh within ANSYS 2024 Workbench, with quality control (aspect ratio ≤ 3; skewness ≤ 0.4), enabling mechanical property assignment and simulation. The digital core model was rigorously validated against physical laboratory measurements, showing excellent agreement with relative errors below 5% for key properties, including porosity (4.52% vs. 4.615%), permeability (0.0186 mD vs. 0.0192 mD), and elastic modulus (38.2 GPa vs. 39.5 GPa). Pore network analysis quantified the poor connectivity of the tight reservoir, revealing an average coordination number of 2.8 and a pore throat radius distribution of 0.05–0.32 μm. The presented workflow successfully creates a quantitatively validated “digital twin” of a full-diameter core. It provides a tangible solution to the scale-representativeness trade-off and transitions digital core analysis from a visualization tool to a computable platform for predicting key reservoir properties, such as permeability and elastic modulus, through numerical simulation, offering a robust technical means for the accurate evaluation of tight reservoirs. Full article
(This article belongs to the Section Energy Systems)
Show Figures

Figure 1

36 pages, 27311 KB  
Article
Multi-Threshold Image Segmentation Based on the Hybrid Strategy Improved Dingo Optimization Algorithm
by Qianqian Zhu, Min Gong, Yijie Wang and Zhengxing Yang
Biomimetics 2026, 11(1), 52; https://doi.org/10.3390/biomimetics11010052 - 8 Jan 2026
Viewed by 614
Abstract
This study proposes a Hybrid Strategy Improved Dingo Optimization Algorithm (HSIDOA), designed to address the limitations of the standard DOA in complex optimization tasks, including its tendency to fall into local optima, slow convergence speed, and inefficient boundary search. The HSIDOA integrates a [...] Read more.
This study proposes a Hybrid Strategy Improved Dingo Optimization Algorithm (HSIDOA), designed to address the limitations of the standard DOA in complex optimization tasks, including its tendency to fall into local optima, slow convergence speed, and inefficient boundary search. The HSIDOA integrates a quadratic interpolation search strategy, a horizontal crossover search strategy, and a centroid-based opposition learning boundary-handling mechanism. By enhancing local exploitation, global exploration, and out-of-bounds correction, the algorithm forms an optimization framework that excels in convergence accuracy, speed, and stability. On the CEC2017 (30-dimensional) and CEC2022 (10/20-dimensional) benchmark suites, the HSIDOA achieves significantly superior performance in terms of average fitness, standard deviation, convergence rate, and Friedman test rankings, outperforming seven mainstream algorithms including MLPSO, MELGWO, MHWOA, ALA, HO, RIME, and DOA. The results demonstrate strong robustness and scalability across different dimensional settings. Furthermore, HSIDOA is applied to multi-level threshold image segmentation, where Otsu’s maximum between-class variance is used as the objective function, and PSNR, SSIM, and FSIM serve as evaluation metrics. Experimental results show that HSIDOA consistently achieves the best segmentation quality across four threshold levels (4, 6, 8, and 10 levels). Its convergence curves exhibit rapid decline and early stabilization, with stability surpassing all comparison algorithms. In summary, HSIDOA delivers comprehensive improvements in global exploration capability, local exploitation precision, convergence speed, and high-dimensional robustness. It provides an efficient, stable, and versatile optimization method suitable for both complex numerical optimization and image segmentation tasks. Full article
(This article belongs to the Special Issue Bio-Inspired Machine Learning and Evolutionary Computing)
Show Figures

Figure 1

Back to TopTop