Sign in to use this feature.

Years

Between: -

Subjects

remove_circle_outline
remove_circle_outline
remove_circle_outline
remove_circle_outline
remove_circle_outline
remove_circle_outline
remove_circle_outline
remove_circle_outline
remove_circle_outline

Journals

remove_circle_outline
remove_circle_outline
remove_circle_outline
remove_circle_outline
remove_circle_outline
remove_circle_outline
remove_circle_outline

Article Types

Countries / Regions

remove_circle_outline
remove_circle_outline
remove_circle_outline
remove_circle_outline
remove_circle_outline
remove_circle_outline

Search Results (372)

Search Parameters:
Keywords = One Step RT-PCR

Order results
Result details
Results per page
Select all
Export citation of selected articles as:
12 pages, 875 KB  
Article
A Practical and Scalable VIRADEL Workflow for SARS-CoV-2 Wastewater Surveillance in Resource-Limited Communities
by Karla Farmer-Diaz, Makeda Matthew-Bernard, Sonia Cheetham, Kerry Mitchell, Calum N. L. Macpherson and Maria E. Ramos-Nino
COVID 2026, 6(3), 35; https://doi.org/10.3390/covid6030035 - 27 Feb 2026
Abstract
Wastewater-based epidemiology (WBE) allows for early surveillance of viral pathogens, including SARS-CoV-2. Simplified low-cost approaches are needed to deploy WBE surveillance in resource-limited small-island settings, where high sensitivity must be maintained. In this study, we optimized key upstream steps in an electronegative membrane [...] Read more.
Wastewater-based epidemiology (WBE) allows for early surveillance of viral pathogens, including SARS-CoV-2. Simplified low-cost approaches are needed to deploy WBE surveillance in resource-limited small-island settings, where high sensitivity must be maintained. In this study, we optimized key upstream steps in an electronegative membrane virus adsorption–elution (VIRADEL) workflow, including sample acidification, composite sampling duration, and RT-qPCR inhibition mitigation. Wastewater influent was sampled at a pump station in Grenada using 12 h and 24 h time-weighted composite samples, concentrated using electronegative membrane VIRADEL with and without sample acidification (pH 3.5), and used Phi 6 (enveloped virus) and MS2 (non-enveloped virus) bacteriophages as process controls and PMMoV as a fecal-derived normalization target. Targets for SARS-CoV-2 N1 and a non-enveloped virus surrogate were measured by RT-qPCR. Quantitative wastewater data were compared to reported clinical cases in the community. Sample acidification significantly increased recovery of the enveloped process control, Phi 6 (p < 0.01) indicating improved efficiency in capturing enveloped viral targets during filtration. Twelve-hour composite samples had a false-negative percentage of 88%, while 24 h samples had only 6% false negatives and were able to mirror clinical case trends. Wastewater viral signals were detected 3–5 days prior to an increase in clinical cases. Hydraulic travel time within the contributing sewer network was not directly measured; therefore, the reported 3–5 day lead time reflects the combined effect of shedding dynamics, sampling integration, and sewer transport. This optimized workflow was deployed for nine months showing sustained analytical performance and operational feasibility. Full article
(This article belongs to the Section COVID Public Health and Epidemiology)
Show Figures

Figure 1

17 pages, 1210 KB  
Article
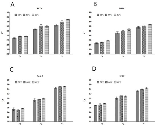
Multiplex One-Step qPCR/RT-qPCR Assays for Detection of Ectromelia Virus, Murine Hepatitis Virus, Reovirus Type 3, and Parvoviruses
by Wenxin Luo, Xia Li, Yuewei Zhang, Jianyu Chang and Guoheng Xu
Vet. Sci. 2026, 13(3), 217; https://doi.org/10.3390/vetsci13030217 - 25 Feb 2026
Viewed by 3
Abstract
The use of experimental animals with unified quality standards is an important condition for ensuring the effectiveness of scientific research. Ectromelia virus (ECTV), murine hepatitis virus (MHV), reovirus type 3 (Reo-3), and murine parvoviruses (MUV) are the four pathogens that need to be [...] Read more.
The use of experimental animals with unified quality standards is an important condition for ensuring the effectiveness of scientific research. Ectromelia virus (ECTV), murine hepatitis virus (MHV), reovirus type 3 (Reo-3), and murine parvoviruses (MUV) are the four pathogens that need to be eliminated from SPF (Specific Pathogen-Free) level mice. These four pathogens present fast transmission and high pathogenicity, making it difficult to control. The previously described detection methods present substantial limitations in efficiency and accuracy. Thus, there is an urgent need for rapid and precise diagnostic methods to improve prevention and diagnosis efforts. In this study, we developed a one-step multiplex real-time PCR (mrt-PCR) detection method that can simultaneously detect four key viral pathogens causing diseases in laboratory mice without cross-reactivity with other mouse susceptible pathogens. We tested 128 suspected diseased mouse tissue samples collected from Beijing, and the results showed that this new method has higher sensitivity and specificity than ordinary PCR. The detection limit for ECTV, MHV, and MUV was determined to be 1.08 × 101 copies/μL, 1.14 × 101 copies/μL, 2.38 ×101 copies/μL, and 1.08 × 101 copies/μL, respectively. In addition, the assay showed excellent reproducibility, with a coefficient of variation below 1.5%, strong linear correlation (R2 > 0.996), and amplification efficiency between 90% and 100%. In summary, the mrt-PCR serves not only as a rapid and accurate detection and early prevention method for laboratory mice but also constitutes a robust tool for microbial quality control in laboratory mice. Full article
Show Figures

Figure 1

17 pages, 3875 KB  
Article
Molecular Surveillance, Evolution, and Vaccine Strain Match of the HA and NA Genes of 2009 H1N1 Pandemic Virus Circulating in Riyadh, Saudi Arabia
by Reem M. Aljowaie, Ibrahim M. Aziz, Mohamed A. Farrag, Abdulaziz M. Almuqrin and Fahad N. Almajhdi
Int. J. Mol. Sci. 2026, 27(3), 1412; https://doi.org/10.3390/ijms27031412 - 30 Jan 2026
Viewed by 273
Abstract
Influenza viruses are characterized by their high mutation rates which require continuous molecular surveillance to ensure the annual effectiveness of influenza vaccines. The current study aimed to investigate the molecular evolution and vaccine match of the 2009 pandemic (A(H1N1) pdm09) virus circulating in [...] Read more.
Influenza viruses are characterized by their high mutation rates which require continuous molecular surveillance to ensure the annual effectiveness of influenza vaccines. The current study aimed to investigate the molecular evolution and vaccine match of the 2009 pandemic (A(H1N1) pdm09) virus circulating in Riyadh, Saudi Arabia. A total of 380 nasopharyngeal aspirates (NPAs) were collected during the 2020–2023 winter seasons from patients with influenza-like illness. Influenza A virus (IAV) detection, typing, and amplification of hemagglutinin (HA) and neuraminidase (NA) genes were achieved using one-step RT-PCR. The full-length HA and NA genes of 14 selected A(H1N1) pdm09 isolates were sequenced and used for sequence and phylogenetic analysis, which also included sequences of seven A(H1N1) pdm09 isolates collected in Riyadh during the 2024–2025 season. IAV was detected in 17.11% samples; A/H3N2 (9.21%) was somewhat more prevalent than A(H1N1) pdm09 (7.89%). Children aged 0–4 years had the highest incidence rate of infection. Comparing the HA1 domain of A(H1N1) pdm09 isolates circulating in Riyadh to the current vaccine strains (A/Wisconsin/67/2022 and A/Victoria/4897/2022), a total of 24 amino acid substitutions were identified. O-linked and N-linked glycosylation sites in the HA and NA proteins of the Riyadh isolates coincided with those of the two vaccine strains. The receptor-binding domain (130-loop) of the HA1 domain showed a persistent S137P substitution in all study isolates; this mutation is not present in the current vaccination strain. This finding suggests a potential antigenic mismatch between the current vaccine and the circulating A(H1N1) pdm09 strains in Riyadh, warranting hemagglutination inhibition (HAI) assays to confirm the impact of the S137P substitution on antigenicity and immune evasion. As shown above, ongoing molecular surveillance is essential for guiding the yearly selection of vaccine candidates to increase efficacy. Full article
(This article belongs to the Special Issue Influenza Pathogenesis and Vaccine Development)
Show Figures

Figure 1

15 pages, 2489 KB  
Article
Surveillance of Swine Coronaviruses in Hungarian Herds with a Newly Established Pan-Coronavirus RT-PCR System
by Dóra Máté, Renáta Varga-Kugler, Eszter Kaszab, Henrik Fülöp Károlyi, Tamás Görföl, Gábor Kemenesi, Barbara Igriczi, Gyula Balka, Marianna Domán, Ádám Bálint, Zoltán Zádori and Enikő Fehér
Animals 2026, 16(3), 358; https://doi.org/10.3390/ani16030358 - 23 Jan 2026
Viewed by 273
Abstract
The rapid evolution of coronaviruses (CoVs) requires researchers to develop specific yet broad-spectrum detection methods to monitor their constant genomic changes. The goal of the present study was to establish a current pan-coronavirus RT-PCR system capable of detecting a wide variety of CoVs [...] Read more.
The rapid evolution of coronaviruses (CoVs) requires researchers to develop specific yet broad-spectrum detection methods to monitor their constant genomic changes. The goal of the present study was to establish a current pan-coronavirus RT-PCR system capable of detecting a wide variety of CoVs and useful for the investigation of virus diversity and host spectrum. For optimization, one-step and two-step nested RT-PCRs with three RT enzymes were examined, amplifying a ~600 bp long product of the RNA-dependent RNA polymerase. As templates, the in vitro transcribed RNA of ten pathogenic CoVs (SARS-CoV, SARS-CoV-2, NL-63, OC43, feline CoV, porcine epidemic diarrhea virus or PEDV, transmissible gastroenteritis virus or TGEV, canine CoV, bat CoV, and infectious bronchitis virus) were applied instead of the often-used DNA standards. A limit of detection of 5–50 copies/reaction was achieved with a random hexamer-primed two-step RT-PCR and a touchdown cycling profile, representing a lower detection limit and higher specificity compared to previously published primer sets. Swine origin pooled samples (n = 121), collected from apparently healthy herds in Hungary, were tested with the novel RT-PCR system. Sequences of porcine respiratory CoV/TGEV and porcine hemagglutinating encephalomyelitis virus were identified in 24 oral fluid and nasal swab pools, demonstrating the circulation of these viruses in this country, as well as the suitability of the new PCR for their detection. The results highlighted the importance of adequate RT enzyme selection and the use of RNase inhibitors in sample preparation and conservation. Full article
(This article belongs to the Section Veterinary Clinical Studies)
Show Figures

Figure 1

16 pages, 3513 KB  
Communication
Cnidium monnieri Polysaccharides Exhibit Inhibitory Effect on Airborne Transmission of Influenza A Virus
by Heng Wang, Yifei Jin, Yanrui Li, Yan Wang, Yixin Zhao, Shuang Cheng, Zhenyue Li, Mengxi Yan, Zitong Yang, Xiaolong Chen, Yan Zhang, Zhixin Yang, Zhongyi Wang, Kun Liu and Ligong Chen
Viruses 2026, 18(1), 86; https://doi.org/10.3390/v18010086 - 8 Jan 2026
Viewed by 594
Abstract
Influenza A virus (IAV) continues to present a threat to public health, highlighting the need for safe and multi-target antivirals. In this study, anti-influenza activity, airborne transmission blocking capacity, and immunomodulatory effects of Cnidium monnieri polysaccharides (CMP) were evaluated. Cytotoxicity in A549 cells [...] Read more.
Influenza A virus (IAV) continues to present a threat to public health, highlighting the need for safe and multi-target antivirals. In this study, anti-influenza activity, airborne transmission blocking capacity, and immunomodulatory effects of Cnidium monnieri polysaccharides (CMP) were evaluated. Cytotoxicity in A549 cells was assessed by CCK-8 (CC50 = 8.49 mg/mL), antiviral efficacy against A/California/04/2009 (CA04) by dose–response (EC50 = 1.63 mg/mL), and the stage of action by time-of-addition assays (pre-, co-, post-treatment). A guinea pig model infected with CA04 was used for testing the effect of pre-exposure CMP on transmission, with readouts including nasal-wash titers, seroconversion, lung index, and tissue titers (EID50). RT-qPCR was employed to quantify the mRNA expression levels of proinflammatory cytokines, including TNF-α, IL-1β, and IL-6, in lung tissue, while Western blot analysis was performed to assess the expression and phosphorylation status of key proteins involved in the NF-κB signaling pathway. CMP suppressed viral replication in vitro within non-cytotoxic ranges, and pre-treatment—rather than co- or post-treatment—significantly reduced titers and cytopathic effect, consistent with effects at pre-entry steps and/or host priming. In vivo, pre-exposure CMP lowered nasal shedding, reduced aerosol transmission (3/6 seroconverted vs. 6/6 controls), decreased lung indices, and diminished tissue viral loads; IAV was undetectable in trachea at 7 days post-infection in pre-exposed animals, and nasal-turbinate titers declined relative to infection controls. Moreover, during in vivo treatment in mice, CMP significantly suppressed the levels of inflammatory cytokines (TNF-α, IL-1β, and IL-6) in lung tissue. This effect was mechanistically associated with CMP-mediated regulation of the NF-κB signaling pathway, leading to attenuation of inflammatory responses. These data indicate that CMP combines a favorable in vitro safety and efficacy profile with inhibition of airborne spread in vivo, supporting further mechanistic, pharmacokinetic, and fractionation studies toward translational development. Full article
Show Figures

Figure 1

13 pages, 1099 KB  
Article
Identification and Long-Term Detection of Hepacivirus bovis Genotype 1 and 2 on a Cattle Farm in Germany
by Nadine Hake, Christian von Holtum, Dirk Höper, Ard M. Nijhof, Klaas Dietze and Bernd Hoffmann
Viruses 2026, 18(1), 78; https://doi.org/10.3390/v18010078 - 6 Jan 2026
Viewed by 523
Abstract
In 2020, a dairy farm in northwest Germany reported several cows with severe respiratory disease, fever, and reduced milk production. Multiple direct and indirect diagnostic methods were used to identify the cause of the disease. However, the pathogens detected could not be correlated [...] Read more.
In 2020, a dairy farm in northwest Germany reported several cows with severe respiratory disease, fever, and reduced milk production. Multiple direct and indirect diagnostic methods were used to identify the cause of the disease. However, the pathogens detected could not be correlated with the severity of the clinical symptoms, so further diagnostic steps were taken. Blood and nasal swab samples were examined using next-generation sequencing (NGS) as part of a metagenomic analysis. For the first time in Germany, Hepacivirus bovis genotype 2 was detected. Real-time RT-PCR assays confirmed the presence of BovHepV genotypes 1 and 2 in the herd between 2020 and 2023. Analyses of complete and partial genome sequences demonstrated the presence of different virus variants in the herd over several years. In addition, the sequence data indicated that cattle can be reinfected with viruses belonging either to different BovHepV subtypes or to the same subtype. Although no direct link could be established between the detection of bovine hepaciviruses and the observed clinical symptoms, the PCR and sequence data obtained provide valuable insights into the epidemiology and pathogenesis of BovHepV infections. Full article
(This article belongs to the Special Issue Animal Virus Discovery and Genetic Diversity: 2nd Edition)
Show Figures

Figure 1

17 pages, 555 KB  
Article
New Candidate Genes for a Chicken Pectoralis Muscle Weight QTL Identified by a Hypothesis-Free Integrative Genetic Approach
by Akihiro Furuta and Akira Ishikawa
Genes 2026, 17(1), 62; https://doi.org/10.3390/genes17010062 - 5 Jan 2026
Cited by 1 | Viewed by 557
Abstract
Background/Objectives: Identifying candidate genes underlying quantitative trait loci (QTL) in poultry has traditionally required labor-intensive positional cloning. Previous studies using an F2 population derived from native Japanese Nagoya (NAG) and White Plymouth Rock (WPR) breeds revealed a major QTL on chromosome [...] Read more.
Background/Objectives: Identifying candidate genes underlying quantitative trait loci (QTL) in poultry has traditionally required labor-intensive positional cloning. Previous studies using an F2 population derived from native Japanese Nagoya (NAG) and White Plymouth Rock (WPR) breeds revealed a major QTL on chromosome 2 affecting 3-week body weight and 4-week pectoralis muscle weight. This study aimed to identify candidate genes for this QTL using a hypothesis-free integrative genetic approach. Methods: We employed a multi-step analytical framework combining QTL remapping, transcriptome analysis, gene enrichment analysis, haplotype frequency comparison, and correlation analysis. QTL remapping was performed using individual traits and their first principal component (PC1) in 239 F2 chickens. RNA-sequencing (RNA-seq) of liver tissue was conducted for F2 individuals with extreme PC1 scores, followed by reverse transcription quantitative polymerase chain reaction (RT-qPCR) validation. Results: QTL remapping refined the 95% confidence interval to a chromosome 2 region containing 329 genes. RNA-seq analysis identified 23 differentially expressed genes (DEGs) within this interval. Although gene enrichment analysis initially highlighted GATA binding protein 6 (GATA6) as a potential candidate, RT-qPCR in NAG, WPR, and F1 chickens showed no significant expression differences, excluding GATA6. Haplotype frequency and correlation analyses prioritized cadherin-17 (CDH17) as the strongest candidate gene and ring finger protein 151 (RNF151) as a secondary candidate. Conclusions: Our hypothesis-free integrative approach effectively refined candidate genes for a chromosome 2 QTL influencing early growth and pectoralis muscle weight. CDH17 and RNF151 represent promising targets for functional validation and may support marker-assisted selection to improve muscle-related traits in chickens. Full article
(This article belongs to the Section Animal Genetics and Genomics)
Show Figures

Figure 1

17 pages, 7056 KB  
Article
An Efficient and Streamlined System for In Vitro Regeneration and Genetic Transformation of Paper Mulberry (Broussonetia papyrifera)
by Fangyu Ye, Tong Ke, Shuiqing Deng, Lan Pan, Ming Tang and Wentao Hu
Life 2026, 16(1), 78; https://doi.org/10.3390/life16010078 - 4 Jan 2026
Viewed by 478
Abstract
In the present study, we developed an efficient and reproducible protocol for in vitro regeneration and Agrobacterium tumefaciens-mediated genetic transformation of Broussonetia papyrifera (L.) L’Hér. ex Vent. (paper mulberry) using leaf explants from a hybrid genotype. First, we optimized surface sterilization of [...] Read more.
In the present study, we developed an efficient and reproducible protocol for in vitro regeneration and Agrobacterium tumefaciens-mediated genetic transformation of Broussonetia papyrifera (L.) L’Hér. ex Vent. (paper mulberry) using leaf explants from a hybrid genotype. First, we optimized surface sterilization of leaf explants. Treatment with 0.6% (w/v) sodium hypochlorite for 8 min, followed by three rinses with sterile water and blotting on sterile filter paper, yielded a 33.60% explant survival rate and reduced contamination to 35.84%. Second, we refined the co-cultivation step for transformation using A. tumefaciens strain EHA105 carrying pCAMBIA1300-35S-eGFP. Leaf discs were infected for 20 min and co-cultured for 2 days on co-cultivation medium overlaid with sterile filter paper, which limited the overgrowth of A. tumefaciens. After co-cultivation, explants were transferred sequentially to callus induction, shoot induction, shoot multiplication, and rooting media supplemented with 250 mg·L−1 cefotaxime and 200 mg·L−1 Timentin, as well as 5.0 mg·L−1 hygromycin at a concentration that completely suppressed regeneration of non-transformed explants. Meanwhile, after transfer to the callus induction medium, eGFP fluorescence was detected in resistant calli as an initial screening for transformants. The integration and expression of the transgene were further confirmed by PCR and quantitative reverse transcription PCR (qRT-PCR) after the resistant calli developed into plantlets. Collectively, this streamlined protocol provides a practical platform for functional genomics and genetic improvement of B. papyrifera. Full article
(This article belongs to the Section Plant Science)
Show Figures

Figure 1

9 pages, 1116 KB  
Article
A Rapid, Cost-Effective RNA Recovery of Cowpea Mild Mottle Virus (CPMMV) Directly from PCR Tubes Adsorption for Routine-Scale Detection in Soybean
by Pedro Henrique Ribeiro, Marcos R. Ribeiro-Junior, Bárbara R. R. Silveira, Francisco M. Ochoa-Corona and Renate Krause-Sakate
Viruses 2026, 18(1), 41; https://doi.org/10.3390/v18010041 - 25 Dec 2025
Viewed by 509
Abstract
This study describes an optimized plastic surface-based capsid protein adsorption/capturing method for detection of cowpea mild mottle virus (CPMMV) adapted from the direct antigen-capture method reported for the extraction of rose rosette virus (RRV) and other direct virus capturing attempts. Briefly, the method [...] Read more.
This study describes an optimized plastic surface-based capsid protein adsorption/capturing method for detection of cowpea mild mottle virus (CPMMV) adapted from the direct antigen-capture method reported for the extraction of rose rosette virus (RRV) and other direct virus capturing attempts. Briefly, the method starts with sap incubation, removal of unbound residual tissue and inhibitors by washing, and the viral RNA release using nuclease-free water and heat, in the presence of an RNase inhibitor. The protocol’s efficiency was assessed across different pH conditions, RNaseOUT concentrations, and reverse-transcriptase choices, and its performance was compared with commercial RNA-extraction methods. Three hundred thirty-two positive samples for CPMMV were processed using the optimized protocol (PBS-T, pH 7.4; RNaseOUT at 0.5 U/µL; and M-MLV reverse transcriptase). RT-PCR detection results were consistent with those obtained using the standard method. Cost estimates for tissue trapping indicate reductions of approximately 70% and 90% compared with the Qiagen RNeasy kit (Qiagen, Hilden, Germany) and the Bertheau method, respectively. The tissue-absorption protocol combines simplicity and low cost, making it particularly well suited for field diagnostics; by enabling rapid recovery of viral RNA without commercial kits and substantially reducing processing steps, it represents a practical, cost-effective alternative for routine CPMMV testing. Full article
Show Figures

Graphical abstract

11 pages, 696 KB  
Article
First Detection of Jingmen Tick Virus in Hard Ticks Collected Across Multiple Regions of Italy
by Silvia Fabi, Mariachiara Vardeu, Alex Martini, Elisa Franchin, Renata Fagundes-Moreira, Giulia Chiarello, Graziana Da Rold, Federica Gobbo, Federica Obber, Valentina Tagliapietra, Chiara Agostini, Arianna Breda, Elisabetta Valente, Valentina Chisu, Cipriano Foxi, Federica Cavaliere, Rokia Moretti, Annapaola Rizzoli, Ilaria Pascucci, Carlo Vittorio Citterio, Giovanna Masala, Fabrizio Montarsi, Claudia Del Vecchio, Ignazio Castagliuolo, Enrico Lavezzo and Cristiano Salataadd Show full author list remove Hide full author list
Viruses 2026, 18(1), 6; https://doi.org/10.3390/v18010006 - 19 Dec 2025
Viewed by 691
Abstract
Jingmen tick virus (JMTV) is a novel flavi-like virus first identified in 2010 in Rhipicephalus microplus in the Jingmen region of Hubei Province, China and has been reported in different Asian countries, Central and South America, Africa, and Europe. Beyond ticks, JMTV has [...] Read more.
Jingmen tick virus (JMTV) is a novel flavi-like virus first identified in 2010 in Rhipicephalus microplus in the Jingmen region of Hubei Province, China and has been reported in different Asian countries, Central and South America, Africa, and Europe. Beyond ticks, JMTV has been detected in a range of other arthropods and in vertebrate hosts. In humans, JMTV has been found in patients with Crimean-Congo hemorrhagic fever in Kosovo and Turkey, and in febrile patients with a history of tick bites in China, suggesting it may be a novel human pathogen. To investigate the presence of JMTV in Italy, we developed a One-step real-time RT-PCR assay and applied it to individually screen 1150 ticks collected from northeastern, central, and southern Italy. JMTV RNA was detected in multiple tick species, including Ixodes ricinus, Rhipicephalus bursa, Rhipicephalus sanguineus s.l., Dermacentor marginatus, and Hyalomma marginatum with a prevalence ranging from 0.52% to 18.42% in questing ticks. The detection of JMTV in ticks from all surveyed areas, indicates that the virus is geographically widespread in Italy. These findings highlight the need for comprehensive surveillance strategies to identify new areas of active virus circulation and to investigate the potential impact of JMTV on public health. Full article
(This article belongs to the Section Animal Viruses)
Show Figures

Graphical abstract

18 pages, 2719 KB  
Article
A Novel Diagnostic Tool for West Nile Virus Lineage 1a and 2 Using a CRISPR-Cas12a System
by Soo Bin Hwang, Yoon-Jae Song and Pil-Gu Park
Biosensors 2025, 15(12), 807; https://doi.org/10.3390/bios15120807 - 10 Dec 2025
Viewed by 684
Abstract
The West Nile Virus (WNV), transmitted by Culex mosquitoes as a major vector, has been reported worldwide. Also, West Nile neuroinvasive disease (WNND) caused by WNV lineage 1a and 2 neuroinvasive infections has been constantly reported with high fatality rates. Nevertheless, there are [...] Read more.
The West Nile Virus (WNV), transmitted by Culex mosquitoes as a major vector, has been reported worldwide. Also, West Nile neuroinvasive disease (WNND) caused by WNV lineage 1a and 2 neuroinvasive infections has been constantly reported with high fatality rates. Nevertheless, there are no treatments and vaccinations, so diagnosis in the early stages is important. Recently, a molecular diagnostic technique using DNA endonuclease-targeted CRISPR trans reporter (DETECTR) with the CRISPR-Cas12a system integrated with isothermal nucleic acid amplification has newly emerged. In this study, we designed a 2-Step WNV DETECTR with reverse transcription–recombinase polymerase amplification (RT-RPA) for rapid and sensitive WNV diagnosis. It successfully detected down to 1.0 × 102 RNA copies for both WNV lineage 1a and 2 with demonstrating similar sensitivity to qRT-PCR without cross-reactivity to other viruses. Additionally, we designed a 1-Step WNV DETECTR, incorporating all processing steps into a single tube, capable of detecting down to 1.0 × 103 RNA copies for both lineages. Furthermore, we developed a more streamlined method, the 1-Step with Filter WNV DETECTR, which achieved detection limits comparable to the 2-Step method, while reducing the processing time by 5 min. This study also explored the potential of the Punch-it™ NA-Sample Kit as an efficient alternative lysis method by comparing the detection differences across various lysis methods. Through this method, we achieved rapid and simple amplification and detection processes suitable for field diagnostics with high specificity and sufficient sensitivity. Therefore, DETECTR methods presented themselves as promising alternatives to conventional diagnostic tools, potentially overcoming financial and technical constraints in diverse medical settings. Full article
(This article belongs to the Section Biosensors and Healthcare)
Show Figures

Figure 1

16 pages, 3252 KB  
Article
Generation of WW Superfemale Sturgeons Through Hormonal Masculinization of ZW Females
by Ryohei Surugaya, Kazuki Tousaka, Shun Yoshida, Shinji Adachi and Shigeho Ijiri
Fishes 2025, 10(12), 618; https://doi.org/10.3390/fishes10120618 - 2 Dec 2025
Cited by 1 | Viewed by 588 | Correction
Abstract
In sturgeon aquaculture, all-female production is desirable due to the high value of caviar. Genetic sexing and the production of WW superfemales are important steps toward achieving this. In this study, we identified the WSR and ZSR primers for amplification of W- and [...] Read more.
In sturgeon aquaculture, all-female production is desirable due to the high value of caviar. Genetic sexing and the production of WW superfemales are important steps toward achieving this. In this study, we identified the WSR and ZSR primers for amplification of W- and Z-specific regions, respectively. WSR primers were designed on the gene W-linked RT RNase H-like domain containing protein (rnhW). The polymerase chain reaction (PCR) bands were obtained with the WSR primer only in phenotypic female sturgeons, indicating that stable genetic sexing was achieved in most species, including those captured around Hokkaido. Moreover, rnhW showed female-specific expression in the gonads during early sex differentiation in kaluga and Amur sturgeon. ZSR primers were developed from the orofacial cleft 1 candidate gene 1 protein homolog. Clear and distinct gel band patterns for ZZ, ZW, and WW genotypes were obtained using WSR and ZSR primers, consistent with genotypic estimations by quantitative PCR. This consistency confirmed the presence of WW superfemales among offspring produced by fertilizing ZW females with ZW pseudomales masculinized using 17α-methyltestosterone. Our findings provide new insights into the mechanisms of sex determination and differentiation in sturgeons, bringing the establishment of an all-female production system within reach. Full article
Show Figures

Figure 1

10 pages, 544 KB  
Article
Improved Detection Sensitivity of Spring Viremia of Carp Virus by Substituting a Two-Step with a One-Step Nested Reverse Transcription Polymerase Chain Reaction Method
by Ji-Yoon Park, In-Joo Shin, Hyunwoo Kim, Eun Sup Lee, Euna Choi, Hyoung Jun Kim and Se Ryun Kwon
Microorganisms 2025, 13(12), 2727; https://doi.org/10.3390/microorganisms13122727 - 29 Nov 2025
Viewed by 362
Abstract
Spring viremia of carp (SVC) is a highly contagious disease that affects cyprinids, resulting in systemic hemorrhage, abdominal distension, exophthalmia, and high mortality in juveniles. This can lead to significant losses in the aquaculture industry. The World Organization for Animal Health (WOAH) recommends [...] Read more.
Spring viremia of carp (SVC) is a highly contagious disease that affects cyprinids, resulting in systemic hemorrhage, abdominal distension, exophthalmia, and high mortality in juveniles. This can lead to significant losses in the aquaculture industry. The World Organization for Animal Health (WOAH) recommends a two-step semi-nested reverse transcription polymerase chain reaction (RT-PCR) method for diagnosis. However, this method is labor-intensive, requires large reagent volumes, and is prone to carry-over contamination. Here, we evaluated the detection sensitivity of one-step semi-nested RT-PCR (combining RT and primary amplification in a single tube, followed by a second nested PCR step) against conventional two-step semi-nested RT-PCR. SVC virus (SVCV) subgroup Ia was tested using cell culture, RT-quantitative PCR, and one-step RT-PCR. The two-step semi-nested PCR method detected viral RNA up to a 10−2 dilution, whereas one-step semi-nested RT-PCR detected it up to a 10−5 dilution, showing a 1000-fold improvement in sensitivity. Moreover, detection rates increased from 84.2% with two-step semi-nested RT-PCR to 91.7% with one-step semi-nested RT-PCR in fish tissue samples. One-step semi-nested RT-PCR reduces processing time, minimizes handling steps, and contamination risk, and enhances analytical sensitivity. This supports its adoption as a practical, high-throughput diagnostic tool for SVCV and consideration for future WOAH guidelines. Full article
(This article belongs to the Section Microbial Biotechnology)
Show Figures

Figure 1

19 pages, 2018 KB  
Article
Identification of a Novel Salivary Four-miRNA Signature for Non-Invasive Diagnosis of Oral Squamous Cell Carcinoma
by Alessia Ciringione, Giovanni Lilloni, Lucas Moron Dalla Tor, Giuseppe Perlangeli, Federica Rizzi and Tito Poli
Int. J. Mol. Sci. 2025, 26(23), 11373; https://doi.org/10.3390/ijms262311373 - 25 Nov 2025
Viewed by 759
Abstract
Oral squamous cell carcinoma (OSCC) is the most common type of oral cancer, often diagnosed at advanced stages due to the lack of early symptoms and limitations of current invasive diagnostic methods. Salivary microRNAs (miRNAs) have emerged as promising non-invasive biomarkers for early [...] Read more.
Oral squamous cell carcinoma (OSCC) is the most common type of oral cancer, often diagnosed at advanced stages due to the lack of early symptoms and limitations of current invasive diagnostic methods. Salivary microRNAs (miRNAs) have emerged as promising non-invasive biomarkers for early detection. This study evaluated the diagnostic potential of ten miRNAs, selected from literature, in saliva samples from 30 OSCC patients and 30 healthy controls. The workflow included RNA extraction, reverse transcription, qRT-PCR amplification, and data normalization using the mean expression of the two most stable miRNAs identified across and within groups. Five miRNAs showed significant differential expression: miR-21 and miR-424 were upregulated, while miR-31, miR-146a, and let-7a were downregulated in OSCC patients. Receiver operating characteristic (ROC) curve analysis indicated moderate individual diagnostic power (AUC 0.658–0.720). A multivariate logistic regression combining miR-21, miR-31, miR-146a, and miR-424 yielded an AUC of 0.959, 96.7% specificity, and 86.7% sensitivity. Although limited by sample size, this study provides the first step for larger validation studies aimed at confirming the diagnostic utility of our salivary four-miRNA signature as a cost-effective and minimally invasive diagnostic tool for OSCC. Full article
Show Figures

Graphical abstract

24 pages, 12379 KB  
Article
Genome-Wide Identification and Hormone-Induced Expression Analysis of the Anthocyanidin Reductase Gene Family in Sainfoin (Onobrychis viciifolia Scop.)
by Yuqing Hu, Guangzhi Jiang, Jiayin Wang, Huan He, Lele Liu, Pingping Du, Hongbin Li, Fei Wang and Quanliang Xie
Int. J. Mol. Sci. 2025, 26(23), 11256; https://doi.org/10.3390/ijms262311256 - 21 Nov 2025
Viewed by 576
Abstract
Sainfoin (Onobrychis viciifolia Scop.) is an important legume forage. Its anthocyanidin reductase (ANR) catalyzes the conversion of anthocyanins to epicatechins. This conversion reaction is not only a key step in the biosynthesis of proanthocyanidins (PAs) but also directly influences both forage quality [...] Read more.
Sainfoin (Onobrychis viciifolia Scop.) is an important legume forage. Its anthocyanidin reductase (ANR) catalyzes the conversion of anthocyanins to epicatechins. This conversion reaction is not only a key step in the biosynthesis of proanthocyanidins (PAs) but also directly influences both forage quality and stress resistance. Here, we systematically identified 67 ANR gene family members in autotetraploid sainfoin for the first time. Using bioinformatics approaches, we analyzed gene structure, conserved domains, motifs, and cis-regulatory elements of the identified ANR genes. In this study, phylogenetic analysis revealed that the ANRs clustered into 11 distinct clades, with genes within the same clade predominantly originating from closely related species within the same family. Significant collinearity with Arabidopsis thaliana, Glycine max, Cicer arietinum, and Medicago truncatula further revealed the conserved evolutionary path of this gene family. RT-qPCR analysis showed differential expression patterns of OvANRs in root, stem, and leaf tissues. For instance, OvANR19 was significantly induced by abscisic acid (ABA) and methyl jasmonate (MeJA), with its expression upregulated by 79.7-fold and 3.8-fold in roots and by 16.2-fold and 31.3-fold in leaves. Furthermore, subcellular localization analysis confirmed that representative ANR proteins were localized in the cytoplasm. This study lays a foundation for molecular breeding aimed at enhancing stress resistance and forage quality in sainfoin. Full article
(This article belongs to the Section Molecular Biology)
Show Figures

Figure 1

Back to TopTop