Sign in to use this feature.

Years

Between: -

Subjects

remove_circle_outline
remove_circle_outline
remove_circle_outline
remove_circle_outline
remove_circle_outline
remove_circle_outline
remove_circle_outline
remove_circle_outline
remove_circle_outline

Journals

remove_circle_outline
remove_circle_outline
remove_circle_outline
remove_circle_outline
remove_circle_outline
remove_circle_outline
remove_circle_outline
remove_circle_outline
remove_circle_outline
remove_circle_outline
remove_circle_outline
remove_circle_outline
remove_circle_outline
remove_circle_outline
remove_circle_outline
remove_circle_outline
remove_circle_outline
remove_circle_outline

Article Types

Countries / Regions

remove_circle_outline
remove_circle_outline
remove_circle_outline
remove_circle_outline
remove_circle_outline
remove_circle_outline

Search Results (1,741)

Search Parameters:
Keywords = Omicron

Order results
Result details
Results per page
Select all
Export citation of selected articles as:
28 pages, 3252 KB  
Article
Psychiatric and Neurological Involvement in COVID-19 Hospitalized Patients Through the Global Pandemic in Central Romania
by Claudia Daniela Lupu, Vlad-Dan Cotuțiu and Victoria Birlutiu
J. Clin. Med. 2026, 15(8), 3030; https://doi.org/10.3390/jcm15083030 - 16 Apr 2026
Abstract
Background: Neuropsychiatric manifestations are a recognized complication of COVID-19, yet their temporal evolution across pandemic waves remains poorly characterized in hospitalized cohorts. This study examined whether their prevalence and composition changed across five successive waves. Methods: We conducted a retrospective observational study of [...] Read more.
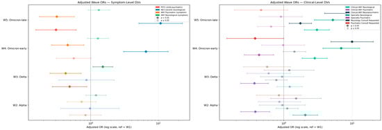
Background: Neuropsychiatric manifestations are a recognized complication of COVID-19, yet their temporal evolution across pandemic waves remains poorly characterized in hospitalized cohorts. This study examined whether their prevalence and composition changed across five successive waves. Methods: We conducted a retrospective observational study of 1471 hospitalized adults with confirmed Severe acute respiratory syndrome coronavirus 2 (SARS-CoV-2) infection at Sibiu County Emergency Clinical Hospital, Romania (March 2020–January 2025), spanning ancestral through Omicron variants. A custom natural language processing pipeline extracted symptoms, medications, and International Classification of Diseases, 10th Revision (ICD-10) codes from electronic medical records. Nine hierarchical clinical clusters were defined; temporal trends were assessed using multivariable logistic regression with age-stratified replication. Results: Severe neurological presentations (stroke, seizures, hemiparesis) increased six-fold from 3.5% in Wave 1 to 20.1% in Wave 5, while psychiatric symptoms (anxiety, insomnia) declined from 13.3% to 4.3%. Overall, neuropsychiatric burden remained stable (~40–45%), revealing a compositional shift. This neurological trend persisted after multivariable adjustment (adjusted odds ratio 4.34, for Wave 5 vs. Wave 1) and within age-stratified subgroups, was inversely associated with respiratory severity and could not be attributed to vaccination status. The composite neurological severity index independently predicted mortality and intensive care unit admission. Conclusions: Neuropsychiatric manifestations in hospitalized Coronavirus disease of 2019 (COVID-19) patients underwent a compositional shift from psychiatric dominance in early waves to severe neurological dominance in later waves, consistent with a transition from reactive psychiatric presentations toward progressive neurological injury. This pattern, largely independent of measured confounders, underscores the need for sustained neurological surveillance beyond the acute respiratory phase. Full article
(This article belongs to the Special Issue Sequelae of COVID-19: Clinical to Prognostic Follow-Up)
Show Figures

Figure 1

14 pages, 942 KB  
Article
Humoral Immunogenicity of SARS-CoV-2 mRNA Primary Vaccination Among People with HIV
by Daniel K. Nomah, Alba G. Robles, Andreu Bruguera, Juan M. Tiraboschi, Susana Benet, Javier García-Pérez, Paloma Jimenez, Ingrid Vilaró, Gemma Navarro, Sonsoles Sánchez-Palomino, Paula Suanzes, Mercedes Garcia-Gasalla, Francisco Homar, Beatriz Mothe, Jordi Casabona, Juliana Reyes-Urueña, María J. Buzón, Jose M. Miro and The COVIHVAC Study Group
Microorganisms 2026, 14(4), 893; https://doi.org/10.3390/microorganisms14040893 - 16 Apr 2026
Abstract
People with HIV (PWH) may exhibit altered immune responses to SARS-CoV-2 vaccination due to persistent immune dysregulation despite antiretroviral therapy. We evaluated humoral immunogenicity following mRNA SARS-CoV-2 vaccination in PWH according to CD4 T-cell count and compared responses with HIV-negative controls. The study [...] Read more.
People with HIV (PWH) may exhibit altered immune responses to SARS-CoV-2 vaccination due to persistent immune dysregulation despite antiretroviral therapy. We evaluated humoral immunogenicity following mRNA SARS-CoV-2 vaccination in PWH according to CD4 T-cell count and compared responses with HIV-negative controls. The study included 57 PWH stratified by CD4 count (<200 and ≥200 cells/µL), alongside 12 HIV-negative controls. Neutralizing antibody titers (NT50) against SARS-CoV-2 pseudoviruses expressing the D614G and Omicron BA.5 spike variants were measured using a luciferase-based neutralization assay one month (M1) and six months (M6) after primary vaccination with BNT162b2 or mRNA-1273. PWH with CD4 counts ≥ 200 cells/µL demonstrated higher neutralizing titers against D614G at M1 and M6, with significant differences observed between CD4 groups (M1: p = 0.03; M6: p = 0.02). Neutralization of BA.5 was lower overall; while no overall group differences were observed at M1, higher titers were detected among individuals with CD4 ≥ 200 cells/µL at six months (p = 0.04). Neutralizing titers correlated positively with CD4 counts among PWH. Responses were broadly comparable between PWH and HIV-negative controls and did not differ substantially by vaccine type. These findings indicate that immune status, reflected by CD4 T-cell count, is a key determinant of SARS-CoV-2 vaccine-induced humoral responses in PWH and support prioritizing vaccination strategies for individuals with advanced immunosuppression. Full article
Show Figures

Figure 1

15 pages, 1099 KB  
Article
A Study to Investigate the Safety and Immunogenicity of Monovalent Omicron LP.8.1-Adapted BNT162b2 COVID-19 Vaccine in Adults ≥ 65 Years of Age and High-Risk Adults 18–64 Years of Age (Preliminary Results)
by Rucha Dadhe, Juleen Gayed, Muneeb Iqbal, Rohit Solan, Han Wu, Hua Ma, Xia Xu, Federico J. Mensa, Todd Belanger, David Cooper, Robin Mogg, Annaliesa S. Anderson, Özlem Türeci, Uǧur Şahin, Pirada Suphaphiphat Allen, Kayvon Modjarrad, Alejandra Gurtman and Kelly Lindert
Vaccines 2026, 14(4), 350; https://doi.org/10.3390/vaccines14040350 - 15 Apr 2026
Abstract
Background/Objectives: This study evaluated the Omicron LP.8.1 variant-adapted BNT162b2 mRNA vaccine (LP.8.1-adapted BNT162b2). Methods: This analysis is part of an ongoing phase 3 open-label study evaluating the immunogenicity, safety, and tolerability of LP.8.1-adapted BNT162b2. Reported here are descriptive 2-week post-vaccination results in 18–64 [...] Read more.
Background/Objectives: This study evaluated the Omicron LP.8.1 variant-adapted BNT162b2 mRNA vaccine (LP.8.1-adapted BNT162b2). Methods: This analysis is part of an ongoing phase 3 open-label study evaluating the immunogenicity, safety, and tolerability of LP.8.1-adapted BNT162b2. Reported here are descriptive 2-week post-vaccination results in 18–64 -year-olds at high risk of severe COVID-19 and in ≥65-year-olds who received the Omicron KP.2-adapted COVID-19 vaccine ≥ 6 months previously. Primary immunogenicity endpoints included neutralizing antibody geometric mean titers (GMTs) against LP.8.1 and KP.2 at 2 weeks after vaccination and geometric mean fold rises from baseline to 2 weeks after vaccination. Results were compared with a historical control group of adults who received KP.2-adapted BNT162b2 in a previous study. Tolerability and safety were also assessed. Results: Overall, 104 participants received LP.8.1-adapted BNT162b2 (18–64-year-olds, n = 51; ≥65-year-olds, n = 53). Baseline neutralizing GMTs were higher in LP.8.1-adapted BNT162b2 recipients than in the historical control group of KP.2-adapted BNT162b2 recipients against both sublineages (248 vs. 157 against LP.8.1; 372 vs. 187 against KP.2). Serum-neutralizing LP.8.1 and KP.2 GMTs increased 2 weeks after vaccination with LP.8.1-adapted BNT162b2 (1752 against LP.8.1; 2104 against KP.2) and historical control groups (1555 and 2395, respectively), and across both age groups. Reactogenicity events with LP.8.1-adapted BNT162b2 were generally mild or moderate and occurred at generally similar frequencies in both age groups. Adverse events were reported in 4.8% of participants (all in 18–64-year-olds); no serious adverse events were reported. Conclusions: After 2 weeks of follow-up, and in a small sample size, LP.8.1-adapted BNT162b2 was immunogenic in ≥65-year-olds and ≥18-year-olds at high risk of severe COVID-19. The safety and tolerability profile for LP.8.1-adapted BNT162b2 was consistent with the current US prescribing information for BNT162b2 and that of other variant-adapted BNT162b2 vaccines (Clinicaltrials.gov Identifier: NCT07069309, registered 16 July 2025). Full article
(This article belongs to the Section COVID-19 Vaccines and Vaccination)
Show Figures

Figure 1

22 pages, 4783 KB  
Article
Engineering a Modular PapMV Nanoparticle Vaccine: Comparative Efficacy of a Covalent and a Non-Covalent N-Antigen Vaccine Against Emerging SARS-CoV-2 Variants
by Léa-J. Blanchette, Marilène Bolduc, Tekeleselassie Woldemariam, Mitra Yousefi, Henintsoa Rabezanahary, Santa-M. Olivera-Ugarte, Caroline Garneau, Myriam Angers, Rong Shi, Louis Flamand, Mariana Baz, Silvia Vidal, Darryl Falzarano, Jean-François Lemay and Denis Leclerc
Vaccines 2026, 14(4), 349; https://doi.org/10.3390/vaccines14040349 - 15 Apr 2026
Abstract
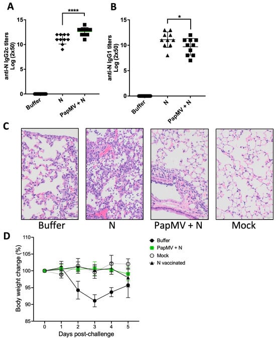
Background: Despite the effectiveness of current SARS-CoV-2 vaccines, the genetic variability of the viral target has led to the emergence of variants capable of evading vaccine-induced protection. To ensure broader and more durable protection, we investigated the efficacy of a novel vaccine [...] Read more.
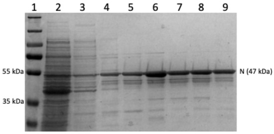
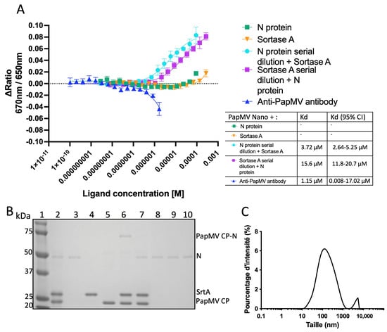
Background: Despite the effectiveness of current SARS-CoV-2 vaccines, the genetic variability of the viral target has led to the emergence of variants capable of evading vaccine-induced protection. To ensure broader and more durable protection, we investigated the efficacy of a novel vaccine strategy. Methods: This vaccine utilizes the highly conserved nucleocapsid (N) protein as its primary antigen, rather than the spike (S) protein. It incorporates the Papaya Mosaic Virus (PapMV) nanoparticle, a Toll-like receptor (TLR) 7/8 agonist with intrinsic adjuvant properties, as a vaccine platform. Results: The vaccine formulations, comprising PapMV nanoparticles and the N antigen covalently or non-covalently attached to the PpaMV nano, generated robust humoral (antibody) and cellular (T-cell) immune responses. Protective efficacy was evaluated in K18-hACE2 transgenic mice challenged with either the ancestral SARS-CoV-2 strain or the Omicron XBB.1.5 variant. In both cases, the vaccine significantly reduced inflammation and viral titers in the lungs of vaccinated animals. Conclusions: These results highlight the potential of this PapMV-N vaccine to induce broad protection against diverse SARS-CoV-2 variants. Full article
Show Figures

Figure 1

17 pages, 1320 KB  
Article
Comparison of Immune Responses and Safety Profiles Following a Fourth Heterologous Dose (Second Booster) with mRNA-1273 in Individuals Previously Vaccinated with Two Doses of CoronaVac and a Booster Dose of Either AZD1222 or BNT162b2
by Auchara Tangsathapornpong, Sira Nanthapisal, Waraphon Fukpho, Pornumpa Bunjoungmanee, Yamonbhorn Neamkul, Kanassanan Pontan, Arthit Boonyarangkul, Supattra Wanpen, Kanokporn Thongphubeth, Phuntila Tharabenjasin and Peera Jaru-Ampornpan
Vaccines 2026, 14(4), 348; https://doi.org/10.3390/vaccines14040348 - 15 Apr 2026
Abstract
Background/Objectives: Our previous study demonstrated that while the third SARS-CoV-2 booster effectively enhanced immunity against the Delta subvariant, its protection declined over time. This study aimed to evaluate and compare the humoral and cellular immune responses, as well as reactogenicity, of the [...] Read more.
Background/Objectives: Our previous study demonstrated that while the third SARS-CoV-2 booster effectively enhanced immunity against the Delta subvariant, its protection declined over time. This study aimed to evaluate and compare the humoral and cellular immune responses, as well as reactogenicity, of the mRNA-1273 vaccine administered as a fourth booster in healthy Thai adults previously vaccinated with two doses of CoronaVac (CV) followed by a third dose of either AZD1222 (AZ) or BNT162b2 (BNT). Methods: Participants received a single 100 µg (0.5 mL) intramuscular dose of mRNA-1273. Blood samples were collected at baseline (D0), D14, D90, and D180 to assess anti-RBD IgG, conduct a surrogate virus neutralization test (sVNT) against the Delta and Omicron variants, and assess IFN-γ levels and reactogenicity. Results: Both 2CV/AZ- and 2CV/BNT-primed groups exhibited comparable local and systemic reactogenicity. The fourth mRNA-1273 dose markedly increased Delta variant inhibition within 14 days in both groups and remained at high levels at Days 90 and 180. sVNT inhibition against Omicron rose similarly in both groups at Day 14; it declined sharply by Days 90 and 180, with the 2CV/AZ-primed group showing significantly lower levels than the 2CV/BNT-primed group. Baseline anti-RBD IgG levels were lower in the 2CV/AZ group (p = 0.003) but surpassed those of the 2CV/BNT group by Day 14, with no significant differences at later time points. IFN-γ responses followed a similar pattern to anti-RBD IgG Conclusions: A heterologous fourth mRNA-1273 booster in both 2CV/AZ- and 2CV/BNT-primed groups effectively enhances B-cell and T-cell responses against SARS-CoV-2. However, emerging variants such as Omicron may still pose challenges. The trial was registered with the Thai Clinical Trials Registry: the name of the registry: “The comparison of immune response to the 4th dose booster with mRNA-1273 COVID-19 vaccine in individuals who had received 2 doses of CoronaVac and booster with ChAdOx-1 or BNT162b2 COVID-19 vaccine”, TCTR20220205002 on 5 February 2022. Full article
(This article belongs to the Section COVID-19 Vaccines and Vaccination)
Show Figures

Figure 1

12 pages, 396 KB  
Article
Post-Exertional Malaise in Post-COVID-19 Syndrome: A Shift in the Frequency Across Pandemic Phases
by Alaa Ghali, Christian Lavigne, Maria Ghali and Valentin Lacombe
J. Clin. Med. 2026, 15(8), 2948; https://doi.org/10.3390/jcm15082948 - 13 Apr 2026
Viewed by 239
Abstract
Background: Post-exertional malaise (PEM), which is the cardinal feature of myalgic encephalomyelitis/chronic fatigue syndrome (ME/CFS), is also reported in a proportion of patients with post-COVID-19 syndrome (PCS). Our objective was to identify determinants that may be linked to the emergence of PEM in [...] Read more.
Background: Post-exertional malaise (PEM), which is the cardinal feature of myalgic encephalomyelitis/chronic fatigue syndrome (ME/CFS), is also reported in a proportion of patients with post-COVID-19 syndrome (PCS). Our objective was to identify determinants that may be linked to the emergence of PEM in PCS patients. Methods: Patients fulfilling the World Health Organization definition for PCS who attended the post-COVID unit of the Internal Medicine Department of Angers University Hospital, France, between June 2020 and December 2023 were included retrospectively. Their medical records were reviewed to extract information on COVID-19 infection history, characteristics of post-exertional malaise (PEM), fatigue severity, and relevant epidemiological variables. Results: The study included 220 patients, grouped according to whether post-exertional malaise was present (PCS/PEM+) or absent (PCS/PEM–). PEM was observed in 26.4% of patients and was significantly linked to earlier COVID onset in 2020/2021 (OR 5.68 (95% CI: 1.66–19.45), p = 0.006), as well as higher fatigue levels (OR 2.07 (95% CI: 1.22–3.50), p = 0.007). Conclusions: Patients who contracted COVID-19 during the pre-Omicron period reported PEM more frequently than those infected in later waves. This observation could reflect differences in viral characteristics following the emergence of the Omicron variant; however, alternative explanations—such as increasing vaccination coverage, accumulating post-infectious immunity, or other unmeasured factors—cannot be ruled out. Based on the observed link between PEM and symptom severity, PCS patients should be systematically assessed for the presence of PEM. Full article
(This article belongs to the Special Issue POTS, ME/CFS and Long COVID: Recent Advances and Future Direction)
Show Figures

Figure 1

15 pages, 1791 KB  
Article
Antibody Responses After BA.5/BF.7 Breakthrough Infection in People Living with HIV
by Ying Liu, Zhaowei Guo, Zhuo Yang, Yaruo Qiu, Xinglin Li, Xin Li, Leidan Zhang, Danying Chen, Xuesen Zhao and Hongxin Zhao
Vaccines 2026, 14(4), 339; https://doi.org/10.3390/vaccines14040339 - 11 Apr 2026
Viewed by 240
Abstract
Background: People living with HIV (PLWH) constitute a vulnerable population during the COVID-19 pandemic; however, it remains uncertain whether long-term suppressive antiretroviral therapy (ART) restores sufficient immune competence to support robust hybrid immunity. While vaccination followed by breakthrough infection—termed hybrid immunity—typically elicits potent [...] Read more.
Background: People living with HIV (PLWH) constitute a vulnerable population during the COVID-19 pandemic; however, it remains uncertain whether long-term suppressive antiretroviral therapy (ART) restores sufficient immune competence to support robust hybrid immunity. While vaccination followed by breakthrough infection—termed hybrid immunity—typically elicits potent humoral responses in immunocompetent individuals, the functional quality and breadth of these responses against evolving Omicron subvariants remain poorly characterized in PLWH. This study aimed to assess functional antibody responses, including neutralizing activity and Fc effector functions, in vaccinated and unvaccinated PLWH who experienced breakthrough infection with Omicron subvariants BA.4/5 or BF.7. Methods: We enrolled three cohorts between December 5 and December 20, 2022: 25 HIV-negative individuals with breakthrough infection (BTI-HC), 20 ART-experienced PLWH with breakthrough infection following three-dose COVID-19 vaccination (BTI-HIV), and 10 ART-experienced PLWH with primary infection without prior vaccination (PI-HIV). All HIV-positive participants were receiving suppressive ART with regimens based on non-nucleoside reverse transcriptase inhibitors or integrase strand transfer inhibitors for a median of 3.4 years. We measured receptor-binding domain (RBD)-specific IgG, neutralizing antibody titers against ancestral D614G, Delta, BA.1, BA.4/5, BF.7, XDV, KP.2, and KP.3 variants, and antibody-dependent cellular cytotoxicity (ADCC) responses. Results: Despite lower absolute CD4+ T cell counts, BTI-HIV participants mounted RBD-binding IgG, neutralizing antibody, and ADCC responses that were comparable to BTI-HC and significantly exceeded PI-HIV across all tested variants. Both breakthrough infection cohorts exhibited immunological imprinting, with higher neutralizing titers against ancestral D614G than infecting BA.4/5 or BF.7 variants. Emerging variants XDV, KP.2, and KP.3 demonstrated substantial neutralization escape in all groups. PI-HIV showed markedly diminished neutralization breadth and failed to generate enough responses against all tested Omicron strains. Conclusions: Suppressive ART enables PLWH to mount hybrid immunity—conferred by vaccination followed by BF.7 or BA.4/5 breakthrough infection—with neutralizing and ADCC responses comparable to HIV-negative individuals, and significantly exceeding those of unvaccinated PLWH with primary infection. This underscores the critical role of vaccination in establishing effective hybrid immunity in this population. However, we observed immunological imprinting, with higher titers against ancestral strains than against infecting variants, and substantial escape by emerging sublineages XDV, KP.2, and KP.3 across all groups. These findings support prioritizing updated variant-containing vaccines for HIV-positive populations and reinforce the essential role of vaccination in this vulnerable group. Full article
Show Figures

Figure 1

30 pages, 8598 KB  
Article
Synergistic Virus Neutralizing Activities of European Black Elderberry Fruit Extract and Iota-Carrageenan Against SARS-CoV-2, Influenza A Virus and Respiratory Syncytial Virus
by Christian Setz, Melanie Setz, Pia Rauch, Oskar Schleicher, Stephan Plattner, Andreas Grassauer and Ulrich Schubert
Nutrients 2026, 18(8), 1205; https://doi.org/10.3390/nu18081205 - 10 Apr 2026
Viewed by 297
Abstract
Background/Objectives: Seasonal waves of respiratory viruses—including SARS-CoV-2, influenza A virus (IAV), and respiratory syncytial virus (RSV)—continue to pose a global health burden and highlight the need for antiviral agents that are effective, safe, broadly active, affordable, and widely accessible. Current interventions are limited [...] Read more.
Background/Objectives: Seasonal waves of respiratory viruses—including SARS-CoV-2, influenza A virus (IAV), and respiratory syncytial virus (RSV)—continue to pose a global health burden and highlight the need for antiviral agents that are effective, safe, broadly active, affordable, and widely accessible. Current interventions are limited by the need for their early administration, the risk of resistance, their costs, and the restricted availability in large parts of the world. For certain natural products, such as European black elderberry (Sambucus nigra L.) fruit extract (ElderCraft®; EC) and the seaweed-derived sulfated polymer iota-carrageenan (IC), antiviral activities against respiratory viruses, particularly IAV and SARS-CoV-2, have previously been shown. Here, we assessed the antiviral activity of IC and an anthocyanin-standardized EC extract against SARS-CoV-2, IAV, and RSV, either as monotherapy or in multiple-dose combinations. Methods: MDCKII cells were infected with IAVPR8, human Calu-3 lung epithelial cells with the SARS-CoV-2 Omicron variant, and HEp-2 cells with RSV (A2 strain). Inhibitors were administered either by pre-incubation of cell-free virions prior to infection or, in separate time-of-addition experiments, during or post-infection. Viral replication was quantified by qRT-PCR or intracellular immunostaining. Cytotoxicity was evaluated using a neutral red uptake assay. Results: Most intriguingly, both EC and IC are able to neutralize virions derived from SARS-CoV-2, IAV, or RSV extracellularly in a dose-dependent manner. Notably, EC and IC alone exhibited strong anti-RSV activity, which was not reported previously. Most importantly, combined treatment with IC and EC caused a pronounced synergistic antiviral effect against the tested viruses, as confirmed by the Bliss independence model, without any detectable impact on cell viability. Finally, solutions prepared from matrix-standardized mono- or combi-lozenges, containing IC and/or EC in high or low doses, reproduced the antiviral and synergistic combination effects observed with the pure compounds. Conclusions: In summary, these findings support further development of EC and IC as a topically accessible, virion-neutralizing combination (e.g., lozenges) to provide additional protection against major respiratory viruses and potentially strengthen pandemic preparedness. Full article
(This article belongs to the Section Phytochemicals and Human Health)
21 pages, 6912 KB  
Article
Molecular Dynamics and Solvated Interaction Energy Prioritize Cannabidiol and Cannabinol as Variant-Spanning SARS-CoV-2 RBD–ACE2 Interface Blockers
by Napat Kongtaworn, Silpsiri Sinsulpsiri, Chonnikan Hanpaibool, Phornphimon Maitarad, Panupong Mahalapbutr and Thanyada Rungrotmongkol
Molecules 2026, 31(8), 1253; https://doi.org/10.3390/molecules31081253 - 10 Apr 2026
Viewed by 362
Abstract
Severe acute respiratory syndrome coronavirus 2 (SARS-CoV-2) enters host cells when the spike receptor-binding domain (RBD) engages angiotensin-converting enzyme 2 (ACE2). Cannabinoid scaffolds have recently been reported to bind S1/RBD, block spike-mediated membrane fusion, and modulate host inflammatory pathways, making them attractive candidates [...] Read more.
Severe acute respiratory syndrome coronavirus 2 (SARS-CoV-2) enters host cells when the spike receptor-binding domain (RBD) engages angiotensin-converting enzyme 2 (ACE2). Cannabinoid scaffolds have recently been reported to bind S1/RBD, block spike-mediated membrane fusion, and modulate host inflammatory pathways, making them attractive candidates for entry inhibition. Here, we applied an integrated computational pipeline to prioritize cannabis-derived compounds as interfacial blockers of the RBD–ACE2 complex across variants. Eleven phytocannabinoids were docked into the wild-type (WT) RBD–ACE2 interface, identifying three cavities, with ligands preferentially occupying pocket 1. Complexes were subjected to triplicate 200 ns all-atom molecular dynamics (MD) simulations for WT, Delta, and Omicron BA.1 RBD–ACE2. Binding energetics were quantified using molecular mechanics/generalized Born surface area (MM/GBSA) and solvated interaction energy (SIE), and per-residue contributions were analyzed together with solvent-accessible surface area (SASA) and residue interaction networks. Among all compounds, cannabidiol (CBD) and cannabinol (CBN) were the only ligands that remained stably bound in pocket 1 for all variants. CBN showed the most favorable ligand–complex binding in WT, whereas CBD preserved favorable binding in Omicron BA.1 despite reduced interface burial, indicating that van der Waals/electrostatic complementarity and solvation, rather than surface coverage alone, govern affinity. Both ligands weakened modeled RBD–ACE2 binding by perturbing hot-spot residues centered on Y505 or N501Y in RBD and E37, A387, and R393 in ACE2. Overall, our results highlight CBD and CBN as tractable, variant-spanning interface disruptors and illustrate how MD-based free-energy calculations can support computational drug discovery against evolving viral protein–protein interfaces. Full article
Show Figures

Graphical abstract

20 pages, 1507 KB  
Article
Persistent Symptoms After SARS-CoV-2 Infection in a Referred Occupational Clinical Registry: Symptom Patterns and Associated Factors
by Agnessa Kozak, Jana Wischnat, Corinna Rademacher, Andreas Gonschorek, Ingo Schmehl, Susann Seddigh, Andrea Fürst, Kai Wohlfarth, Lynn Engel, Jakob Wefers, Kerrin Kobes, Olaf Kleinmüller, Majid Essa, Martin Tegenthoff, Albert Nienhaus and Peter Schwenkreis
Diseases 2026, 14(4), 141; https://doi.org/10.3390/diseases14040141 - 9 Apr 2026
Viewed by 151
Abstract
Background/Objectives: Persistent symptoms following SARS-CoV-2 infection pose a substantial burden in occupational settings. This study aimed to characterize symptoms following work-related SARS-CoV-2 infection and to assess their associations with sociodemographic and clinical factors. Methods: Data were obtained from a multicenter clinical registry of [...] Read more.
Background/Objectives: Persistent symptoms following SARS-CoV-2 infection pose a substantial burden in occupational settings. This study aimed to characterize symptoms following work-related SARS-CoV-2 infection and to assess their associations with sociodemographic and clinical factors. Methods: Data were obtained from a multicenter clinical registry of insured individuals referred for persistent symptoms 12 weeks after laboratory-confirmed work-related SARS-CoV-2 infection. Participants were assessed within a standardized post-COVID diagnostic program at six specialized clinics for occupational accident insurance in Germany. Persistent symptoms reported by ≥50% of participants were analyzed using generalized linear mixed models with random intercepts for center. Results: A total of 1511 participants (76.7% women; median age 54 years) were included, with a median interval of 16 months between infection and assessment. On average, participants reported ten persistent symptoms. The most frequent complaints were limited physical capacity (95.6%), concentration difficulties (78.8%), dyspnea (70.5%), exhaustion/tiredness (68.9%), and memory difficulties (67.5%). Individuals reporting more than ten acute symptoms had increased odds of persistent complaints (ORs between 2.1 and 4.66). Hospitalization was independently associated with persistent dyspnea (OR 1.62; 95%CI 1.17–2.25). Reinfections were linked to exhaustion and cognitive fatigue. Compared with Omicron, wild-type infection was associated with higher odds of concentration difficulties (OR 1.65; 95%CI 1.17–2.33). Comorbidities demonstrated symptom-specific associations. Conclusions: Among individuals with work-related SARS-CoV-2 infection, limited physical capacity and cognitive impairments were the most frequently reported symptoms, and higher acute symptom burden was strongly associated with the development of persistent symptoms. These findings support course-oriented evaluation and symptom-specific approaches in occupational disease assessment and management. Full article
(This article belongs to the Section Infectious Disease)
15 pages, 9332 KB  
Article
Genomic Characterization and Evolutionary Dynamics of SARS-CoV-2 Lineage NB.1.8.1 in Thailand, 2025
by Jiratchaya Puenpa, Preeyaporn Vichaiwattana, Ratchadawan Aeemjinda, Sumeth Korkong, Ritthideach Yorsaeng and Yong Poovorawan
Viruses 2026, 18(4), 450; https://doi.org/10.3390/v18040450 - 8 Apr 2026
Viewed by 210
Abstract
SARS-CoV-2 continues to cause recurrent waves in the post-pandemic period, yet genomic data from Southeast Asia remain limited for several emerging Omicron lineages, including NB.1.8.1. In this study, routine acute respiratory infection (ARI) surveillance performed in Bangkok, Thailand, from January to December 2025 [...] Read more.
SARS-CoV-2 continues to cause recurrent waves in the post-pandemic period, yet genomic data from Southeast Asia remain limited for several emerging Omicron lineages, including NB.1.8.1. In this study, routine acute respiratory infection (ARI) surveillance performed in Bangkok, Thailand, from January to December 2025 was integrated with real-time RT-PCR testing and complete spike-gene sequencing for lineage assignment and evolutionary analysis. Among 4756 ARI specimens, 473 (9.9%) tested positive for SARS-CoV-2. Positivity increased in late April, peaked in May (epidemiological week 21; 58.4%), and declined through late June. Lineage typing was successful for 165/473 positive samples (34.9%), identifying 16 Pango lineages. Early 2025 showed heterogeneous circulation, including XEC- and XEC.8-related lineages, whereas NB.1.8.1 predominated during the main wave, accounting for 92.4% of typed cases in May and 89.8% in June. No recombination signals meeting predefined criteria were detected in the spike dataset. The mean spike substitution rate was estimated at 1.11 × 10−3 substitutions/site/year (95% HPD, 9.13 × 10−4–1.31 × 10−3), and the major Thai-containing NB.1.8.1 clade had an estimated tMRCA of 17 July 2024. These findings show that routine ARI surveillance combined with spike-based genomics can provide timely insights into SARS-CoV-2 circulation, lineage replacement, and ongoing viral evolution in Thailand. Full article
(This article belongs to the Special Issue Molecular Epidemiology of SARS-CoV-2, 4th Edition)
Show Figures

Figure 1

11 pages, 1151 KB  
Article
LL-37 Inhibits EV71 Infection by Upregulating STAC via the EGFR-ERK Signaling Pathway
by Jiaqi Zhang, Hanlin Zhang, Yi Chen, Hanfei Liu, Shuhuang Peng, Jiwei Zhao, Zhe Luan, Yujian Zhang, Meng Dong, Wanzhu Jin and Gang Sun
Viruses 2026, 18(4), 442; https://doi.org/10.3390/v18040442 - 7 Apr 2026
Viewed by 289
Abstract
LL-37, a 37-amino acid human-derived antimicrobial peptide, was shown in our earlier clinical study to shorten the negative conversion time of the Omicron BA.5.1.3 variant of SARS-CoV-2. In this work, we investigated the broad mechanism of LL-37 by examining its inhibitory effect on [...] Read more.
LL-37, a 37-amino acid human-derived antimicrobial peptide, was shown in our earlier clinical study to shorten the negative conversion time of the Omicron BA.5.1.3 variant of SARS-CoV-2. In this work, we investigated the broad mechanism of LL-37 by examining its inhibitory effect on non-enveloped virus Enterovirus 71 (EV71). LL-37 treatment dose-dependently reduced EV71 viral RNA abundance, suppressed virus-encoded protein expression, and decreased infectious titers, acting predominantly at a post-entry stage of the viral life cycle. Transcriptomic analysis revealed that the SH3 and cysteine-rich domain protein (Stac) was uniquely upregulated by LL-37 irrespective of EV71 infection. Short hairpin RNA (shRNA)-mediated Stac silencing significantly enhanced EV71 infection, while Stac overexpression markedly reduced it. Furthermore, we found that LL-37 activates the EGFR–ERK signaling pathway, leading to time-dependent upregulation of Stac expression. These findings uncover a novel host-directed mechanism by which LL-37 combats EV71 infection and suggests a potential therapeutic use of LL-37 against non-enveloped viral disease. Full article
(This article belongs to the Special Issue Virus-Host Interactions: From Mechanisms to Therapeutics)
Show Figures

Figure 1

14 pages, 870 KB  
Article
Longitudinal Antibody Dynamics Following SARS-CoV-2 Viral-Vectored and mRNA Booster Vaccination in Ghanaian Adults
by Frederica D. Partey, Hidaya Mohammed, Frank Osei, Abigail Naa Adjorkor Pobee, Doris E. Atta-Poku, Yvette A. Ansah, Mary M. A. K. Owusu-Amponsah, Nana Yaa A. Appiah, Nana Akua O. Koranteng, Esther Appiagyei-Mintah, Theophilus Brenko, Stella Nartey, Peter K. Quashie, Michael F. Ofori and Kwadwo A. Kusi
Vaccines 2026, 14(4), 303; https://doi.org/10.3390/vaccines14040303 - 28 Mar 2026
Viewed by 518
Abstract
Background/objectives: SARS-CoV-2 antibodies wane after natural infections and vaccinations. COVID-19 booster vaccination enhances the durability and functionality of antibodies against emerging SARS-CoV-2 variants. Data on booster-induced antibody durability in sub-Saharan Africa remain sparse. Comparative analysis of vaccine-induced responses between heterologous and homologous [...] Read more.
Background/objectives: SARS-CoV-2 antibodies wane after natural infections and vaccinations. COVID-19 booster vaccination enhances the durability and functionality of antibodies against emerging SARS-CoV-2 variants. Data on booster-induced antibody durability in sub-Saharan Africa remain sparse. Comparative analysis of vaccine-induced responses between heterologous and homologous vaccination regimens remains limited. This study evaluated longitudinal RBD-specific IgG responses following homologous and heterologous COVID-19 booster vaccination in previously vaccinated adults. Methods: Adults with prior mRNA or adenoviral-vectored vaccination were boosted with either Pfizer (mRNA) or Janssen (adenoviral-vectored) vaccines. Plasma IgG binding to Wuhan, Delta, and Omicron RBDs was measured pre-booster and at 3, 6, and 9 months. A total of 181 participants were enrolled between November 2022 and October 2023. Results: More than 60% of participants had detectable pre-booster RBD- and N-antigen-specific IgG. Booster vaccination substantially increased Wuhan-specific RBD-IgG at three months, with limited boosting of Delta and Omicron responses. Antibody levels waned to pre-booster concentrations by month nine. Heterologous boosting with a viral-vectored prime followed by Pfizer mRNA significantly enhanced both peak RBD-IgG levels and durability. Conclusions: These longitudinal data provide rare real-world evidence on booster immunogenicity in African adults and demonstrate that heterologous regimens confer a short- to intermediate-term advantage in antibody magnitude compared to a homologous regimen. This benefit was most pronounced within the first six months post-boost. The findings support additional booster dosing to strengthen protection against emerging variants in sub-Saharan Africa. Full article
(This article belongs to the Section COVID-19 Vaccines and Vaccination)
Show Figures

Figure 1

13 pages, 916 KB  
Article
The COVIDTW3 Study: Impact of Variants of Concern and Vaccination on Mortality in Intubated Patients with COVID-19-Related Respiratory Failure from 2021 to 2023
by Kuan-Chun Wong, I-Shiang Tzeng, Tsung-Han Hsieh, Chan-Yen Kuo and Chih-Wei Wu
Biomedicines 2026, 14(4), 756; https://doi.org/10.3390/biomedicines14040756 - 26 Mar 2026
Viewed by 676
Abstract
Background: In recent years, the severity of COVID-19 has diminished. However, some patients progressed to respiratory failure, necessitating intubation and mechanical ventilation. This study investigated the impact of variants of concern and vaccination status on mortality in mechanically ventilated patients. Method: We conducted [...] Read more.
Background: In recent years, the severity of COVID-19 has diminished. However, some patients progressed to respiratory failure, necessitating intubation and mechanical ventilation. This study investigated the impact of variants of concern and vaccination status on mortality in mechanically ventilated patients. Method: We conducted a retrospective analysis of the medical records of intubated COVID-19 patients from 1 January 2021, to 31 December 2023. Patients who received at least one dose of a vaccine were classified as vaccinated, and variant types were classified based on the dominant variant reported by the Taiwan Centers for Disease Control. The primary outcome measured was time from intubation to all-cause in-hospital death. Result: A total of 254 patients were analyzed, comprising 65 patients infected with the Alpha variant and 189 with the Omicron variant. Clinical data, including variant type, vaccination status, and SOFA score at the time of intubation, were meticulously recorded. The overall mortality rate was 40%, with two epidemic surges occurring in 2021 and 2022. Infection with the Alpha variant was associated with a significantly higher risk of mortality (adjusted hazard ratio = 5.42 (2.78–10.7); p < 0.01). Key prognostic factors identified included age, body mass index, SOFA score, and serum bicarbonate levels. Conclusions: The overall mortality rate remained notably high. The study identified several factors associated with increased mortality risk, including older age, higher SOFA scores, Alpha variant infection, decreased serum bicarbonate levels, and lower BMI. However, vaccination status was not a significant prognostic indicator. Full article
(This article belongs to the Section Microbiology in Human Health and Disease)
Show Figures

Figure 1

22 pages, 2235 KB  
Article
A Rabbit-Derived Single-Domain Antibody Fused to the Streptococcus zooepidemicus Zag Protein Engineered for SARS-CoV-2 Neutralization and Extended Half-Life
by Isa Moutinho, Rafaela Marimon, Rúben D. M. Silva, Célia Fernandes, Lurdes Gano, João D. G. Correia, João Gonçalves, Luís Tavares and Frederico Aires-da-Silva
Biologics 2026, 6(2), 10; https://doi.org/10.3390/biologics6020010 - 26 Mar 2026
Viewed by 411
Abstract
Background/Objectives: The continuous emergence of immune-evasive SARS-CoV-2 variants underscores the need for adaptable and accessible therapeutics that complement vaccination. Single-domain antibodies (sdAbs) offer advantages in size, stability, and production costs compared to conventional monoclonal antibodies, but their clinical utility is limited by [...] Read more.
Background/Objectives: The continuous emergence of immune-evasive SARS-CoV-2 variants underscores the need for adaptable and accessible therapeutics that complement vaccination. Single-domain antibodies (sdAbs) offer advantages in size, stability, and production costs compared to conventional monoclonal antibodies, but their clinical utility is limited by rapid clearance. This study aimed to develop a rabbit-derived sdAb with broad SARS-CoV-2 neutralization capacity and improved pharmacokinetic properties. Methods: A rabbit-derived variable light-chain (VL) sdAb library was constructed and subjected to phage display selection to identify high-affinity binders. Candidate sdAbs were characterized for cross-variant binding and neutralization. The lead sdAb, B3, was fused to the albumin-binding domain (ABD) of the Streptococcus zooepidemicus Zag protein to enhance in vivo half-life. Expression, albumin-binding capacity, and in vitro neutralization were assessed, followed by biodistribution studies in mice. Results: The selected sdAb, B3, showed strong binding and cross-variant neutralization against multiple SARS-CoV-2 lineages, including Delta and Omicron. Fusion to ABD(Zag) preserved neutralization potency, increased expression yields ~5-fold, and enabled cross-species albumin binding. In vivo, B3-ABD(Zag) exhibited markedly extended blood retention, showing a 21.2-fold increase at 24 h post-injection (5.30 vs. 0.25% I.A./g), and reduced renal uptake by 40% compared with unmodified B3. Conclusions: Rabbit-derived VL sdAbs fused to ABD(Zag) provide a promising platform for next-generation SARS-CoV-2 biologics. The enhanced pharmacokinetic profile of B3-ABD(Zag) supports its potential as a scalable therapeutic modality and highlights the broader utility of this approach for future emerging infectious threats. Full article
(This article belongs to the Section Monoclonal Antibodies)
Show Figures

Figure 1

Back to TopTop