Sign in to use this feature.

Years

Between: -

Subjects

remove_circle_outline
remove_circle_outline
remove_circle_outline
remove_circle_outline
remove_circle_outline
remove_circle_outline
remove_circle_outline
remove_circle_outline
remove_circle_outline

Journals

Article Types

Countries / Regions

Search Results (42)

Search Parameters:
Keywords = ORYZA crop growth model

Order results
Result details
Results per page
Select all
Export citation of selected articles as:
22 pages, 8602 KB  
Article
Modeling Impacts of Climate Change and Adaptation Measures on Rice Growth in Hainan, China
by Rongchang Yang, Yahui Guo, Jiangwen Nie, Wei Zhou, Ruichen Ma, Bo Yang, Jinhe Shi, Jing Geng, Wenxiang Wu, Ji Liu, W. M. W. W. Kandegama and Mario Cunha
Sustainability 2026, 18(1), 115; https://doi.org/10.3390/su18010115 - 22 Dec 2025
Abstract
Rising temperatures, extreme precipitation events such as excessive or insufficient rainfall, increasing levels of carbon dioxide, and associated climatic factors will persistently impact crop growth and agricultural production. The warming temperatures have reduced the agricultural crop yields. Rice (Oryza sativa L.) is [...] Read more.
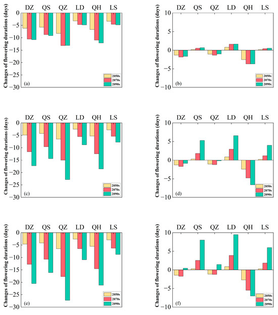
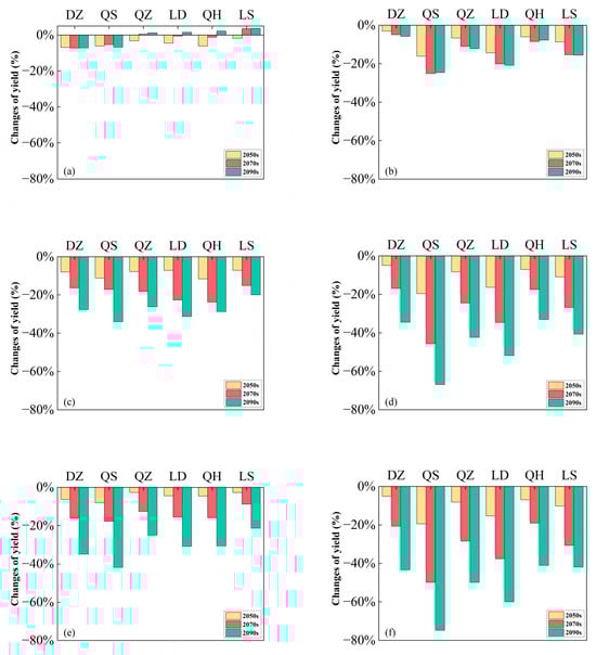
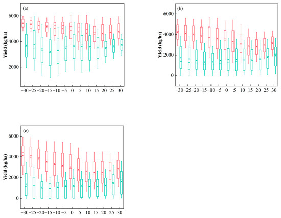
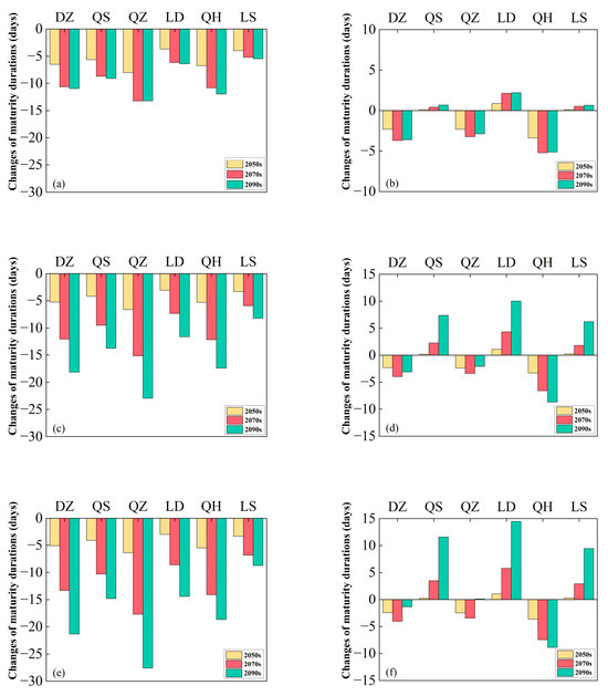
Rising temperatures, extreme precipitation events such as excessive or insufficient rainfall, increasing levels of carbon dioxide, and associated climatic factors will persistently impact crop growth and agricultural production. The warming temperatures have reduced the agricultural crop yields. Rice (Oryza sativa L.) is the major food crop, which is particularly susceptible to the effects of climate change. It is very important to accurately evaluate the impacts of climate change on rice growth and rice yield. In this study, the rice growth during 1981–2018 (baseline period) and 2041–2100 (future period) were separately simulated and compared within the CERES-Rice model (v4.6) using high-quality weather data, soil, and field experimental data at six agro-meteorological stations in Hainan Province. For the climate data of the future period, the SSP1-2.6, SSP3-7.0, and SSP5-8.5 scenarios were applied, with carbon dioxide (CO2) fertilization effects considered. The adaptation strategies such as adjusting planting dates and switching rice cultivars were also assessed. The simulation results indicated that the early rice yields in the 2050s, 2070s, and 2090s were projected to decrease by 6.2%, 11.8%, and 20.0% when the CO2 fertilization effect was not considered, compared with the results of the baseline period, respectively, while late rice yields would decline by 9.9%, 23.4%, and 36.3% correspondingly. When accounting for the CO2 fertilization effect, the yields of early rice and late rice in the 2090s increased 16.9% and 6.2%, respectively. Regarding adaptation measures, adjusting planting dates and switching rice cultivars could increase early rice yields by 22.7% and 43.3%, respectively, while increasing late rice yields by 20.2% and 34.2% correspondingly. This study holds substantial scientific importance for elucidating the mechanistic pathways through which climate change influences rice productivity in tropical agro-ecosystems, and provides a critical foundation for formulating evidence-based adaptation strategies to mitigate climate-related risks in a timely manner. Cultivar substitution and temporal shifts in planting dates constituted two adaptation strategies for attenuating the adverse impacts of anthropogenic climate change on rice. Full article
Show Figures

Graphical abstract

40 pages, 3182 KB  
Review
Epigenetic Regulation of Salt Stress Responses in Rice: Mechanisms and Prospects for Enhancing Tolerance
by Emanuela Talarico, Eleonora Greco, Francesco Guarasci, Fabrizio Araniti, Adriana Chiappetta and Leonardo Bruno
Epigenomes 2025, 9(4), 46; https://doi.org/10.3390/epigenomes9040046 - 16 Nov 2025
Viewed by 670
Abstract
Rice (Oryza sativa L.) is a staple food for over half the global population and a model organism for monocot plant research. However, it is susceptible to salinity, with most cultivated varieties showing reduced growth at salt levels above 3 dS/m. Despite [...] Read more.
Rice (Oryza sativa L.) is a staple food for over half the global population and a model organism for monocot plant research. However, it is susceptible to salinity, with most cultivated varieties showing reduced growth at salt levels above 3 dS/m. Despite numerous efforts to improve its salt tolerance, little progress has been made. A promising area of research lies in the study of epigenetic regulation, which encompasses DNA methylation, histone modifications, and chromatin remodelling. These processes play a crucial role in mediating how plants respond to salt stress by modulating gene expression. This often results in heritable changes that can be used as molecular markers. Studies in rice and other cereals have demonstrated a clear association between histone alterations, shifts in DNA methylation patterns, and the expression of salt-responsive genes. Furthermore, epigenetic mechanisms contribute to the development of stress memory, enabling plants to respond more effectively to recurring stressful conditions. Understanding these regulatory pathways offers new opportunities for breeding or engineering salt-tolerant rice varieties, potentially leading to improved crop resilience and productivity under saline conditions. Full article
Show Figures

Figure 1

21 pages, 1149 KB  
Review
Recent Advances and Application of Machine Learning for Protein–Protein Interaction Prediction in Rice: Challenges and Future Perspectives
by Sarah Bernard Merumba, Habiba Omar Ahmed, Dong Fu and Pingfang Yang
Proteomes 2025, 13(4), 54; https://doi.org/10.3390/proteomes13040054 - 27 Oct 2025
Viewed by 1032
Abstract
Protein–protein interactions (PPIs) are significant in understanding the complex molecular processes of plant growth, disease resistance, and stress responses. Machine learning (ML) has recently emerged as a powerful tool that can predict and analyze PPIs, offering complementary insights into traditional experimental approaches. It [...] Read more.
Protein–protein interactions (PPIs) are significant in understanding the complex molecular processes of plant growth, disease resistance, and stress responses. Machine learning (ML) has recently emerged as a powerful tool that can predict and analyze PPIs, offering complementary insights into traditional experimental approaches. It also accounts for proteoforms, distinct molecular variants of proteins arising from alternative splicing, or genetic variations and modifications, which can significantly influence PPI dynamics and specificity in rice. This review presents a comprehensive summary of ML-based methods for PPI predictions in rice (Oryza sativa) based on recent developments in algorithmic innovation, feature extraction processes, and computational resources. We present applications of these models in the discovery of candidate genes, unknown protein annotations, identification of plant–pathogen interactions, and precision breeding. Case studies demonstrate the utility of ML-based methods in improving rice resistance to abiotic and biotic stresses. Additionally, this review highlights key challenges like data limits, model generalizability, and future directions like multi-omics, deep learning and artificial intelligence (AI). This review provides a roadmap for researchers aiming to use ML to generate predictive and mechanistic insights on rice PPI networks, hence helping to achieve enhanced crop improvement programs. Full article
(This article belongs to the Special Issue Plant Genomics and Proteomics)
Show Figures

Figure 1

19 pages, 2949 KB  
Article
Precision Estimation of Rice Nitrogen Fertilizer Topdressing According to the Nitrogen Nutrition Index Using UAV Multi-Spectral Remote Sensing: A Case Study in Southwest China
by Lijuan Wang, Qihan Ling, Zhan Liu, Mingzhu Dai, Yu Zhou, Xiaojun Shi and Jie Wang
Plants 2025, 14(8), 1195; https://doi.org/10.3390/plants14081195 - 11 Apr 2025
Cited by 2 | Viewed by 1346
Abstract
The precision estimation of N fertilizer application according to the nitrogen nutrition index (NNI) using unmanned aerial vehicle (UAV) multi-spectral measurements remains to be tested in different rice cultivars and planting areas. Therefore, two field experiments were conducted using varied N rates (0, [...] Read more.
The precision estimation of N fertilizer application according to the nitrogen nutrition index (NNI) using unmanned aerial vehicle (UAV) multi-spectral measurements remains to be tested in different rice cultivars and planting areas. Therefore, two field experiments were conducted using varied N rates (0, 60, 120, 160, and 200 kg N ha−1) on two rice cultivars, Yunjing37 (YJ-37, Oryza sativa subsp. Japonica Kato., the Institute of Food Crops at the Yunnan Academy of Agricultural Sciences, Kunming, China) and Jiyou6135 (JY-6135, Oryza sativa subsp. indica Kato., Hunan Longping Gaoke Nongping seed industry Co., Ltd., Changsha, China), in southwest China. The rice canopy spectral images were measured by the UAV’s multi-spectral remote sensing at three growing stages. The NNI was calculated based on the critical N (Nc) dilution curve. A random forest model integrating multi-vegetation indices established the NNI inversion, facilitating precise N topdressing through a linear platform of NNI-Relative Yield and the remote sensing NNI-based N balance approaches. The Nc dilution curve calibrated with aboveground dry matter demonstrated the highest accuracy (R2 = 0.93, 0.97 for shoot components in cultivars YJ-37 and JY-6135), outperforming stem (R2 = 0.70, 0.76) and leaf (R2 = 0.80, 0.89) based models. The RF combined with six vegetation index combinations was found to be the best predictor of NNI at each growing period (YJ-37: R2 is 0.70–0.97, RMSE is 0.02~0.04; JY-6135: R2 is 0.71–0.92, RMSE is 0.04~0.05). The RF surpassed BPNN/PLSR by 6.14–10.10% in R2 and 13.71–33.65% in error reduction across the critical rice growth stages. The topdressing amounts of YJ-37 and JY-6135 were 111–124 kg ha−1 and 80–133 kg ha−1, with low errors of 2.50~8.73 kg ha−1 for YJ-37 and 2.52~5.53 kg ha−1 for JY-6135 in the jointing (JT) and heading (HD) stages. These results are promising for the precise topdressing of rice using a remote sensing NNI-based N balance method. The combination of UAV multi-spectral imaging with the NNI-nitrogen balance method was tested for the first time in southwest China, demonstrating its feasibility and offering a regional approach for precise rice topdressing. Full article
(This article belongs to the Special Issue Precision Agriculture in Crop Production)
Show Figures

Figure 1

24 pages, 5552 KB  
Article
Improving Simulations of Rice Growth and Nitrogen Dynamics by Assimilating Multivariable Observations into ORYZA2000 Model
by Jinmin Li, Liangsheng Shi, Jingye Han, Xiaolong Hu, Chenye Su and Shenji Li
Agronomy 2024, 14(10), 2402; https://doi.org/10.3390/agronomy14102402 - 17 Oct 2024
Cited by 2 | Viewed by 1884
Abstract
The prediction of crop growth and nitrogen status is essential for agricultural development and food security under climate change scenarios. Crop models are powerful tools for simulating crop growth and their responses to environmental variables, but accurately capturing the dynamic changes in crop [...] Read more.
The prediction of crop growth and nitrogen status is essential for agricultural development and food security under climate change scenarios. Crop models are powerful tools for simulating crop growth and their responses to environmental variables, but accurately capturing the dynamic changes in crop nitrogen remains a considerable challenge. Data assimilation can reduce uncertainties in crop models by integrating observations with model simulations. However, current data assimilation research is primarily focused on a limited number of observational variables, and insufficiently utilizes nitrogen observations. To address these challenges, this study developed a new multivariable data assimilation system, ORYZA-EnKF, that is capable of simultaneously integrating multivariable observations (including development stage, DVS; leaf area index, LAI; total aboveground dry matter, WAGT; and leaf nitrogen concentration, LNC). Then, the system was tested through three consecutive years of field experiments from 2021 to 2023. The results revealed that the ORYZA-EnKF model significantly improved the simulations of crop growth compared to the ORYZA2000 model. The relative root mean squared error (RRMSE) for LAI simulations decreased from 23–101% to 16–47% in the three-year experiment. Moreover, the incorporation of LNC observations enabled more accurate predictions of rice nitrogen dynamics, with RRMSE for LNC simulations reduced from 16–31% to 14–26%. And, the RRMSE decreased from 32–50% to 30–41% in the simulations of LNC under low-nitrogen conditions. The multivariable data assimilation system demonstrated its effectiveness in improving crop growth simulations and nitrogen status predictions, providing valuable insights for precision agriculture. Full article
Show Figures

Figure 1

15 pages, 663 KB  
Review
Molecular Mechanisms for Regulating Stomatal Formation across Diverse Plant Species
by Wenqi Zhou, Jieshan Liu, Wenjin Wang, Yongsheng Li, Zixu Ma, Haijun He, Xiaojuan Wang, Xiaorong Lian, Xiaoyun Dong, Xiaoqiang Zhao and Yuqian Zhou
Int. J. Mol. Sci. 2024, 25(19), 10403; https://doi.org/10.3390/ijms251910403 - 27 Sep 2024
Cited by 6 | Viewed by 4439
Abstract
Plant stomata play a crucial role in photosynthesis by regulating transpiration and gas exchange. Meanwhile, environmental cues can also affect the formation of stomata. Stomatal formation, therefore, is optimized for the survival and growth of the plant despite variable environmental conditions. To adapt [...] Read more.
Plant stomata play a crucial role in photosynthesis by regulating transpiration and gas exchange. Meanwhile, environmental cues can also affect the formation of stomata. Stomatal formation, therefore, is optimized for the survival and growth of the plant despite variable environmental conditions. To adapt to environmental conditions, plants open and close stomatal pores and even regulate the number of stomata that develop on the epidermis. There are great differences in the leaf structure and developmental origin of the cell in the leaf between Arabidopsis and grass plants. These differences affect the fine regulation of stomatal formation due to different plant species. In this paper, a comprehensive overview of stomatal formation and the molecular networks and genetic mechanisms regulating the polar division and cell fate of stomatal progenitor cells in dicotyledonous plants such as Arabidopsis and Poaceae plants such as Oryza sativa and Zea mays is provided. The processes of stomatal formation mediated by plant hormones and environmental factors are summarized, and a model of stomatal formation in plants based on the regulation of multiple signaling pathways is outlined. These results contribute to a better understanding of the mechanisms of stomatal formation and epidermal morphogenesis in plants and provide a valuable theoretical basis and gene resources for improving crop resilience and yield traits. Full article
(This article belongs to the Special Issue Recent Advances in Maize Stress Biology)
Show Figures

Figure 1

26 pages, 3514 KB  
Article
Modeling Current and Future Potential Land Distribution Dynamics of Wheat, Rice, and Maize under Climate Change Scenarios Using MaxEnt
by Shahzad Ali, Muhammad Umair, Tyan Alice Makanda, Siqi Shi, Shaik Althaf Hussain and Jian Ni
Land 2024, 13(8), 1156; https://doi.org/10.3390/land13081156 - 28 Jul 2024
Cited by 9 | Viewed by 3181
Abstract
Accurately predicting changes in the potential distribution of crops resulting from climate change has great significance for adapting to and mitigating the impacts of climate change and ensuring food security. After understanding the spatial and temporal suitability of wheat (Triticum aestivum), [...] Read more.
Accurately predicting changes in the potential distribution of crops resulting from climate change has great significance for adapting to and mitigating the impacts of climate change and ensuring food security. After understanding the spatial and temporal suitability of wheat (Triticum aestivum), rice (Oryza sativa), and maize (Zea mays), as well as the main bioclimatic variables affecting crop growth, we used the MaxEnt model. The accuracy of the MaxEnt was extremely significant, with mean AUC (area under curve) values ranging from 0.876 to 0.916 for all models evaluated. The results showed that for wheat, annual mean temperature (Bio-1) and mean temperature of the coldest quarter (Bio-11) contributed 39.2% and 13.4%, respctively; for rice, precipitation of the warmest quarter (Bio-18) and elevation contributed 34.9% and 19.9%, respectively; and for maize, Bio-1 and precipitation of the driest quarter (Bio-17) contributed 36.3% and 14.3%, respectively. The map drawn indicates that the suitability of wheat, rice, and corn in South Asia may change in the future. Understanding the future distribution of crops can help develop transformative climate change adaptation strategies that consider future crop suitability. The study showed an average significant improvement in high-suitable areas of 8.7%, 30.9%, and 13.1%, for wheat, rice, and maize, respectively; moderate-suitable area increases of 3.9% and 8.6% for wheat and rice, respectively; and a decrease of −8.3% for maize as compared with the current values. The change in the unsuitable areas significantly decreases by −2.5%, −13.5%, and −1.7% for wheat, rice, and maize, respectively, compared to current land suitability. The results of this study are crucial for South Asia as they provide policy-makers with an opportunity to develop appropriate adaptation and mitigation strategies to sustain wheat, rice, and corn production in future climate scenarios. Full article
(This article belongs to the Special Issue Plant-Soil Interactions in Agricultural Systems)
Show Figures

Figure 1

22 pages, 3108 KB  
Article
Global Sensitivity Analysis of the Advanced ORYZA-N Model with Different Rice Types and Irrigation Regimes
by Ya Gao, Chen Sun, Tiago B. Ramos, Junwei Tan, Ana R. Oliveira, Quanzhong Huang, Guanhua Huang and Xu Xu
Plants 2024, 13(2), 262; https://doi.org/10.3390/plants13020262 - 17 Jan 2024
Cited by 3 | Viewed by 2329
Abstract
Identifying important parameters in crop models is critical for model application. This study conducted a sensitivity analysis of 23 selected parameters of the advanced rice model ORYZA-N using the Extended FAST method. The sensitivity analysis was applied for three rice types (single-season rice [...] Read more.
Identifying important parameters in crop models is critical for model application. This study conducted a sensitivity analysis of 23 selected parameters of the advanced rice model ORYZA-N using the Extended FAST method. The sensitivity analysis was applied for three rice types (single-season rice in cold regions and double-season rice (early rice and late rice) in subtropical regions) and two irrigation regimes (traditional flood irrigation (TFI) and shallow–wet irrigation (SWI)). This study analyzed the parameter sensitivity of six crop growth outputs at four developmental stages and yields. Furthermore, we compared the variation in parameter sensitivity on model outputs between TFI and SWI scenarios for single-season rice, early rice, and late rice. Results indicated that parameters RGRLMX, FRPAR, and FLV0.5 significantly affected all model outputs and varied over developmental stages. Water stress in paddy fields caused by water-saving irrigation had more pronounced effects on single-season rice than on double-season rice. Full article
(This article belongs to the Special Issue Water and Nitrogen Management in Soil-Crop System II)
Show Figures

Figure 1

28 pages, 2016 KB  
Review
Novel Insights into Exogenous Phytohormones: Central Regulators in the Modulation of Physiological, Biochemical, and Molecular Responses in Rice under Metal(loid) Stress
by Saqib Bilal, Syed Saad Jan, Muhammad Shahid, Sajjad Asaf, Abdul Latif Khan, Lubna, Ahmed Al-Rawahi, In-Jung Lee and Ahmed AL-Harrasi
Metabolites 2023, 13(10), 1036; https://doi.org/10.3390/metabo13101036 - 26 Sep 2023
Cited by 12 | Viewed by 2529
Abstract
Rice (Oryza sativa) is a research model for monocotyledonous plants. Rice is also one of the major staple foods and the primary crop for more than half of the world’s population. Increasing industrial activities and the use of different fertilizers and [...] Read more.
Rice (Oryza sativa) is a research model for monocotyledonous plants. Rice is also one of the major staple foods and the primary crop for more than half of the world’s population. Increasing industrial activities and the use of different fertilizers and pesticides containing heavy metals (HMs) contribute to the contamination of agriculture fields. HM contamination is among the leading causes that affect the health of rice plants by limiting their growth and causing plant death. Phytohormones have a crucial role in stress-coping mechanisms and in determining a range of plant development and growth aspects during heavy metal stress. This review summarizes the role of different exogenous applications of phytohormones including auxin, cytokinin, gibberellins, ethylene, abscisic acid, strigolactones, jasmonates, brassinosteroids, and salicylic acids in rice plants for mitigating heavy metal stress via manipulation of their stress-related physiological and biochemical processes, and alterations of signaling and biosynthesis of genes. Exogenous administration of phytohormones and regulation of endogenous levels by targeting their biosynthesis/signaling machineries is a potential strategy for protecting rice from HM stress. The current review primarily emphasizes the key mechanistic phytohormonal-mediated strategies for reducing the adverse effects of HM toxicity in rice. Herein, we have provided comprehensive evidence for the effective role of exogenous phytohormones in employing defense responses and tolerance in rice to the phytotoxic effects of HM toxicity along with endogenous hormonal crosstalk for modulation of subcellular mechanisms and modification of stress-related signaling pathways, and uptake and translocation of metals. Altogether, this information offers a systematic understanding of how phytohormones modulate a plant’s tolerance to heavy metals and may assist in directing the development of new approaches to strengthen rice plant resistance to HM toxicity. Full article
(This article belongs to the Special Issue Metabolic Responses to Abiotic Stress in Plants)
Show Figures

Figure 1

17 pages, 1372 KB  
Article
Comparing Two Methods of Leaf Area Index Estimation for Rice (Oryza sativa L.) Using In-Field Spectroradiometric Measurements and Multispectral Satellite Images
by Jorge Serrano Reyes, José Ulises Jiménez, Evelyn Itzel Quirós-McIntire, Javier E. Sanchez-Galan and José R. Fábrega
AgriEngineering 2023, 5(2), 965-981; https://doi.org/10.3390/agriengineering5020060 - 29 May 2023
Cited by 5 | Viewed by 3009
Abstract
This work presents a remote sensing application to estimate the leaf area index (LAI) in two rice (Oryza sativa L.) varieties (IDIAP 52-05 and IDIAP FL 137-11), as a proxy for crop performance. In-field, homogeneous spectroradiometric measurements (350–1050 nm) were carried in [...] Read more.
This work presents a remote sensing application to estimate the leaf area index (LAI) in two rice (Oryza sativa L.) varieties (IDIAP 52-05 and IDIAP FL 137-11), as a proxy for crop performance. In-field, homogeneous spectroradiometric measurements (350–1050 nm) were carried in two campaigns (June–November 2017 and January–March 2018), on a private farm, TESKO, located in Juan Hombrón, Coclé Province, Panama. The spectral fingerprint of IDIAP 52-05 plants was collected in four dates (47, 67, 82 and 116 days after sowing), according to known phenological stages of rice plant growth. Moreover, true LAI or green leaf area was measured from representative plants and compared to LAI calculated from normalized PlanetScope multi-spectral satellite images (selected according to dates close to the in-field collection). Two distinct estimation models were used to establish the relationships of measured LAI and two vegetational spectral indices (NDVI and MTVI2). The results show that the MTVI2 based model has a slightly higher predictive ability of true LAI (R2 = 0.92, RMSE = 2.20), than the NDVI model. Furthermore, the satellite images collected were corrected and satellite LAI was contrasted with true LAI, achieving in average 18% for Model 2 for MTVI2, with the NDVI (Model 1) corrected model having a smaller error around 13%. This work provides an important advance in precision agriculture, specifically in the monitoring of total crop growth via LAI for rice crops in the Republic of Panama. Full article
(This article belongs to the Special Issue Remote Sensing-Based Machine Learning Applications in Agriculture)
Show Figures

Figure 1

16 pages, 1120 KB  
Review
Phenotypes and Molecular Mechanisms Underlying the Root Response to Phosphate Deprivation in Plants
by Meiyan Ren, Yong Li, Jianshu Zhu, Keju Zhao, Zhongchang Wu and Chuanzao Mao
Int. J. Mol. Sci. 2023, 24(6), 5107; https://doi.org/10.3390/ijms24065107 - 7 Mar 2023
Cited by 11 | Viewed by 5308
Abstract
Phosphorus (P) is an essential macronutrient for plant growth. The roots are the main organ for nutrient and water absorption in plants, and they adapt to low-P soils by altering their architecture for enhancing absorption of inorganic phosphate (Pi). This review summarizes the [...] Read more.
Phosphorus (P) is an essential macronutrient for plant growth. The roots are the main organ for nutrient and water absorption in plants, and they adapt to low-P soils by altering their architecture for enhancing absorption of inorganic phosphate (Pi). This review summarizes the physiological and molecular mechanisms underlying the developmental responses of roots to Pi starvation, including the primary root, lateral root, root hair, and root growth angle, in the dicot model plant Arabidopsis thaliana and the monocot model plant rice (Oryza sativa). The importance of different root traits and genes for breeding P-efficient roots in rice varieties for Pi-deficient soils are also discussed, which we hope will benefit the genetic improvement of Pi uptake, Pi-use efficiency, and crop yields. Full article
(This article belongs to the Special Issue Phosphorus Signaling and Utilization in Plants)
Show Figures

Figure 1

22 pages, 7194 KB  
Article
Genome-Wide Identification and Expression Profiling of Aconitase Gene Family Members Reveals Their Roles in Plant Development and Adaptation to Diverse Stress in Triticum aestivum L.
by Mahipal Singh Kesawat, Bhagwat Singh Kherawat, Chet Ram, Anupama Singh, Prajjal Dey, Jagan Singh Gora, Namrata Misra, Sang-Min Chung and Manu Kumar
Plants 2022, 11(24), 3475; https://doi.org/10.3390/plants11243475 - 12 Dec 2022
Cited by 17 | Viewed by 4247
Abstract
Global warming is a serious threat to food security and severely affects plant growth, developmental processes, and, eventually, crop productivity. Respiratory metabolism plays a critical role in the adaptation of diverse stress in plants. Aconitase (ACO) is the main enzyme, which catalyzes the [...] Read more.
Global warming is a serious threat to food security and severely affects plant growth, developmental processes, and, eventually, crop productivity. Respiratory metabolism plays a critical role in the adaptation of diverse stress in plants. Aconitase (ACO) is the main enzyme, which catalyzes the revocable isomerization of citrate to isocitrate in the Krebs cycle. The function of ACO gene family members has been extensively studied in model plants, for instance Arabidopsis. However, their role in plant developmental processes and various stress conditions largely remained unknown in other plant species. Thus, we identified 15 ACO genes in wheat to elucidate their function in plant developmental processes and different stress environments. The phylogenetic tree revealed that TaACO genes were classified into six groups. Further, gene structure analysis of TaACOs has shown a distinctive evolutionary path. Synteny analysis showed the 84 orthologous gene pairs in Brachypodium distachyon, Aegilops tauschii, Triticum dicoccoides, Oryza sativa, and Arabidopsis thaliana. Furthermore, Ka/Ks ratio revealed that most TaACO genes experienced strong purifying selection during evolution. Numerous cis-acting regulatory elements were detected in the TaACO promoters, which play a crucial role in plant development processes, phytohormone signaling, and are related to defense and stress. To understand the function of TaACO genes, the expression profiling of TaACO genes were investigated in different tissues, developmental stages, and stress conditions. The transcript per million values of TaACOs genes were retrieved from the Wheat Expression Browser Database. We noticed the differential expression of the TaACO genes in different tissues and various stress conditions. Moreover, gene ontology analysis has shown enrichment in the tricarboxylic acid metabolic process (GO:0072350), citrate metabolic process (GO:0006101), isocitrate metabolic process GO:0006102, carbohydrate metabolic (GO:0005975), and glyoxylate metabolic process (GO:0046487). Therefore, this study provided valuable insight into the ACO gene family in wheat and contributed to the further functional characterization of TaACO during different plant development processes and various stress conditions. Full article
(This article belongs to the Special Issue Cereal Crop Breeding)
Show Figures

Figure 1

15 pages, 1963 KB  
Article
Rice Leaf Chlorophyll Content Estimation Using UAV-Based Spectral Images in Different Regions
by Songtao Ban, Weizhen Liu, Minglu Tian, Qi Wang, Tao Yuan, Qingrui Chang and Linyi Li
Agronomy 2022, 12(11), 2832; https://doi.org/10.3390/agronomy12112832 - 12 Nov 2022
Cited by 37 | Viewed by 4828
Abstract
Estimation of crop biophysical and biochemical characteristics is the key element for crop growth monitoring with remote sensing. With the application of unmanned aerial vehicles (UAV) as a remote sensing platform worldwide, it has become important to develop general estimation models, which can [...] Read more.
Estimation of crop biophysical and biochemical characteristics is the key element for crop growth monitoring with remote sensing. With the application of unmanned aerial vehicles (UAV) as a remote sensing platform worldwide, it has become important to develop general estimation models, which can interpret remote sensing data of crops by different sensors and in different agroclimatic regions into comprehensible agronomy parameters. Leaf chlorophyll content (LCC), which can be measured as a soil plant analysis development (SPAD) value using a SPAD-502 Chlorophyll Meter, is one of the important parameters that are closely related to plant production. This study compared the estimation of rice (Oryza sativa L.) LCC in two different regions (Ningxia and Shanghai) using UAV-based spectral images. For Ningxia, images of rice plots with different nitrogen and biochar application rates were acquired by a 125-band hyperspectral camera from 2016 to 2017, and a total of 180 samples of rice LCC were recorded. For Shanghai, images of rice plots with different nitrogen application rates, straw returning, and crop rotation systems were acquired by a 5-band multispectral camera from 2017 to 2018, and a total of 228 samples of rice LCC were recorded. The spectral features of LCC in each study area were analyzed and the results showed that the rice LCC in both regions had significant correlations with the reflectance at the green, red, and red-edge bands and 8 vegetation indices such as the normalized difference vegetation index (NDVI). The estimation models of LCC were built using the partial least squares regression (PLSR), support vector regression (SVR), and artificial neural network (ANN) methods. The PLSR models tended to be more stable and accurate than the SVR and ANN models when applied in different regions with R2 values higher than 0.7 through different validations. The results demonstrated that the rice canopy LCC in different regions, cultivars, and different types of sensor-based data shared similar spectral features and could be estimated by general models. The general models can be implied to a wider geographic extent to accurately quantify rice LCC, which is helpful for growth assessment and production forecasts. Full article
Show Figures

Figure 1

15 pages, 2531 KB  
Article
On the Changing Cool Season Affecting Rice Growth and Yield in Taiwan
by Parichart Promchote, Shih-Yu Simon Wang, Jin-Ho Yoon, Paul G. Johnson, Earl Creech, Yuan Shen and Ming-Hwi Yao
Agronomy 2022, 12(11), 2625; https://doi.org/10.3390/agronomy12112625 - 25 Oct 2022
Cited by 5 | Viewed by 4376
Abstract
In the subtropical climate of Taiwan, the cool season (January–June) is most productive for rice cultivation. However, the cool season also sees a large variability and weather impact on the crop. To assess the effect of winter monsoon variability and the warming climate, [...] Read more.
In the subtropical climate of Taiwan, the cool season (January–June) is most productive for rice cultivation. However, the cool season also sees a large variability and weather impact on the crop. To assess the effect of winter monsoon variability and the warming climate, a common ORYZA(v3) model was used to derive the potential growth and yield of the japonica rice variety in different agro-climatological areas of Taiwan. The simulation was constructed for three planting dates (15 January, 30 January, and 14 February) in three time periods (1986–2005, 2006–2025, and 2026–2045) under a high-emission (RCP8.5) scenario, using a dynamically downscaled regional climate simulation data set (CORDEX). The result indicates that increased temperature during the early season significantly shortens the rice vegetative phase in all planting dates. Compared to the 1986 condition, rice maturation is projected to be 6–9 days and 7–11 days earlier by 2045 for the central-west and the north-east regions, respectively. In the future, decreased duration of crop growth will lead to a lowered yield, while increased CO2 can enhance rice yield by 8.5–18%. Rice yield is projected to decline by 3.3-to-10% during 2026–2045, offsetting the fertilizing effect of increasing CO2. Meanwhile, yield variability will increase in the future, due to more exposure to extremely low- and high-yield conditions. As such, a large yield reduction resulting from the increased variability (down to 34%) can offset the increased mean yield. Full article
Show Figures

Figure 1

13 pages, 6383 KB  
Review
Mechanisms Underlying Soybean Response to Phosphorus Deficiency through Integration of Omics Analysis
by Xiaohui Mo, Guoxuan Liu, Zeyu Zhang, Xing Lu, Cuiyue Liang and Jiang Tian
Int. J. Mol. Sci. 2022, 23(9), 4592; https://doi.org/10.3390/ijms23094592 - 21 Apr 2022
Cited by 28 | Viewed by 5046
Abstract
Low phosphorus (P) availability limits soybean growth and yield. A set of potential strategies for plant responses to P deficiency have been elucidated in the past decades, especially in model plants such as Arabidopsis thaliana and rice (Oryza sativa). Recently, substantial [...] Read more.
Low phosphorus (P) availability limits soybean growth and yield. A set of potential strategies for plant responses to P deficiency have been elucidated in the past decades, especially in model plants such as Arabidopsis thaliana and rice (Oryza sativa). Recently, substantial efforts focus on the mechanisms underlying P deficiency improvement in legume crops, especially in soybeans (Glycine max). This review summarizes recent advances in the morphological, metabolic, and molecular responses of soybean to phosphate (Pi) starvation through the combined analysis of transcriptomics, proteomics, and metabolomics. Furthermore, we highlight the functions of the key factors controlling root growth and P homeostasis, base on which, a P signaling network in soybean was subsequently presumed. This review also discusses current barriers and depicts perspectives in engineering soybean cultivars with high P efficiency. Full article
(This article belongs to the Collection Recent Advances in Plant Molecular Science in China 2021)
Show Figures

Figure 1

Back to TopTop