Modeling Current and Future Potential Land Distribution Dynamics of Wheat, Rice, and Maize under Climate Change Scenarios Using MaxEnt
Abstract
1. Introduction
2. Materials and Methods
2.1. Study Site and Species Occurrence Record
2.2. Current Bioclimatic Variables
2.3. Future Climate Change Scenarios
2.4. MaxEnt Model Description
2.5. MaxEnt Model Validation and Application
3. Results and Discussion
3.1. MaxEnt Model Performance and Jackknife Tests
3.2. Contribution and Importance of the Bioclimatic Variables under Different Scenarios
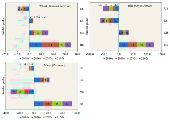
3.3. Potential Land Suitability under Current and Future Climate
3.4. Dominant Environmental Variables
3.5. Pearson Correlation Analysis
4. Conclusions
Author Contributions
Funding
Data Availability Statement
Acknowledgments
Conflicts of Interest
References
- Akpoti, K.; Kabo-bah, A.T.; Dossou-Yovo, E.R.; Groen, T.A.; Zwart, S.J. Mapping suitability for rice production in inland valley landscapes in Benin and Togo using environmental niche modeling. Sci. Total Environ. 2020, 709, 136165. [Google Scholar] [CrossRef]
- Angelieri, C.C.; Adams-Hosking, C.; Ferraz, K.M.; de Souza, M.P.; McAlpine, C.A. Using species distribution models to predict potential landscape restoration effects on Puma conservation. PLoS ONE 2016, 11, e0145232. [Google Scholar] [CrossRef] [PubMed]
- Ashoori, A.; Kafash, A.; Varasteh Moradi, H.; Yousefi, M.; Kamyab, H.; Behdarvand, N.; Mohammadi, S. Habitat modeling of the common pheasant Phasianus colchicus (Galliformes: Phasianidae) in a highly modified landscape: Application of species distribution models in the study of a poorly documented bird in Iran. Eur. Zool. J. 2018, 85, 372–380. [Google Scholar] [CrossRef]
- Asseng, S.; Ewert, F.; Martre, P.; Rötter, R.P.; Lobell, D.B.; Cammarano, D.; Kimball, B.A.; Ottman, M.J.; Wall, G.W.; White, J.W. Rising temperatures reduce global wheat production. Nat. Clim. Chang. 2014, 5, 143–147. [Google Scholar] [CrossRef]
- Asseng, S.; Foster, I.A.N.; Turner, N.C. The impact of temperature variability on wheat yields. Glob. Chang. Biol. 2011, 17, 997–1012. [Google Scholar] [CrossRef]
- Booth, T.H.; Nix, H.A.; Busby, J.R.; Hutchinson, M.F. BIOCLIM: The first species distribution modelling package, its early applications and relevance to most current MAXENT studies. Divers. Distrib. 2014, 20, 1–9. [Google Scholar] [CrossRef]
- Brown, J.L.; Bennett, J.R.; French, C.M. SDMtoolbox 2.0: The next generation Python-based GIS toolkit for landscape genetic, biogeographic and species distribution model analyses. PeerJ 2017, 5, e4095. [Google Scholar] [CrossRef]
- Bu, K.; Wang, Z.; Zhang, S.; Yang, J. Evaluation of agricultural land suitability for soybean cultivation in the Sanjiang Plain. Chin. J. Eco-Agric. 2017, 25, 419–428. [Google Scholar] [CrossRef]
- Carpenter, G.; Gillison, A.N.; Winter, J. DOMAIN: A flexible modelling procedure for mapping potential distributions of plants and animals. Biodivers. Conserv. 1993, 2, 667–680. [Google Scholar] [CrossRef]
- Chemura, A.; Mudereri, B.T.; Yalew, A.W.; Gornott, C. Climate change and specialty coffee potential in Ethiopia. Sci. Rep. 2021, 11, 8097. [Google Scholar] [CrossRef]
- Chersich, M.F.; Wright, C.Y. Climate change adaptation in South Africa: A case study on the role of the health sector. Glob. Health 2019, 15, 22. [Google Scholar] [CrossRef] [PubMed]
- Duan, J.Q.; Zhou, G.S. Climatic suitability of double rice planting region in China. Chin. Acad. Meteorol. Sci. 2012, 45, 218–227, (In Chinese with English Abstract). [Google Scholar] [CrossRef]
- Elith, J.; Phillips, S.J.; Hastie, T.; Dudík, M.; Chee, Y.E.; Yates, C.J. A statistical explanation of MaxEnt for ecologists. Divers. Distrib. 2011, 17, 43–57. [Google Scholar] [CrossRef]
- Fischer, G.; Shah, M.; Tubiello, F.N.; van Velhuizen, H. Socio-economic and climate change impacts on agriculture: An integrated assessment, 1990–2080. Philos. Trans. R. Soc. Lond. Ser. B Biol. Sci. 2005, 360, 2067–2083. [Google Scholar] [CrossRef]
- Fodor, N.; Challinor, A.; Droutsas, I.; Ramirez-Villegas, J.; Zabel, F.; Koehler, A.-K.; Foyer, C.H. Integrating plant science and crop modeling: Assessment of the impact of climate change on soybean and maize production. Plant Cell Physiol. 2017, 58, 1833–1847. [Google Scholar]
- Fourcade, Y.; Engler, J.O.; Rodder, D.; Secondi, J. Mapping species distributions with MAXENT using a geographically biased sample of presence data: A performance assessment of methods for correcting sampling bias. PLoS ONE 2014, 9, e97122. [Google Scholar] [CrossRef]
- Franklin, J. Species distribution models in conservation biogeography: Developments and challenges. Divers. Distrib. 2013, 19, 1217–1223. [Google Scholar] [CrossRef]
- Gao, Y.; Zhang, A.; Yue, Y.; Wang, J.; Su, P. Predicting shifts in land suitability for maize cultivation worldwide due to climate change: A modeling approach. Land 2021, 10, 295. [Google Scholar] [CrossRef]
- GBIF. 2021. Available online: https://doi.org/10.15468/dl.cjnj2p (accessed on 6 May 2021).
- Gong, L.; Tian, B.; Li, Y.; Wu, S. Phenological changes of soybean in response to climate conditions in frigid region in China over the past decades. Int. J. Plant Prod. 2021, 15, 363–375. [Google Scholar] [CrossRef]
- Habtemariam, L.T.; Kassa, G.A.; Gandorfer, M. Impact of climate change on farms in smallholder farming systems: Yield impacts, economic implications and distributional effects. Agric. Syst. 2017, 152, 58–66. [Google Scholar]
- He, Q.; Zhou, G. Climatic suitability of potential spring maize cultivation distribution in China. Acta Ecol. Sin. 2012, 32, 3931–3939. [Google Scholar] [CrossRef]
- Hong, D.Y.; Zhou, S.L.; He, X.J.; Yuan, J.H.; Zhang, Y.L.; Cheng, F.Y.; Zeng, X.L.; Wang, Y.; Zhang, X.X. Current status of wild tree peony species with special reference to conservation. Biodivers. Sci. 2017, 25, 781–793. [Google Scholar] [CrossRef]
- Zheng, C.; Wang, Y.C.; Yuan, S.; Xiao, S.; Sun, Y.T.; Huang, J.L.; Peng, S.B. Heavy soil drying during mid-to-late grain filling stage of the main crop to reduce yield loss of the ratoon crop in a mechanized rice ratooning system. Crop J. 2022, 10, 280–285. [Google Scholar] [CrossRef]
- Bunn, C.; Peter, L.; Quaye, A.; Muilerman, S.; Noponen, M.R.A.; Lundy, M. Recommendation domains to scale out climate change adaptation in cocoa production in Ghana. Clim. Serv. 2019, 16, 100123. [Google Scholar] [CrossRef]
- Hou, J.; Geng, T.; Chen, Q.; Chen, C. Impacts of climate warming on growht period and yield of rice in Northeast China during recent two decades. Chin. J. Appl. Ecol. 2015, 26, 249–259. [Google Scholar]
- Huang, C.; Zhang, M.; Zou, J.; Zhu, A.-X.; Chen, X.; Mi, Y.; Wang, Y.; Yang, H.; Li, Y. Changes in land use, climate and the environment during a period of rapid economic development in Jiangsu Province. China Sci. Total Environ. 2015, 536, 173–181. [Google Scholar] [PubMed]
- Ihlow, F.; Dambach, J.; Engler, J.O.; Flecks, M.; Hartmann, T.; Nekum, S.; Rajaei, H.; Rödder, D. On the brink of extinction? How climate change may affect global chelonian species richness and distribution. Glob. Chang. Biol. 2012, 18, 1520–1530. [Google Scholar] [CrossRef]
- Intergovernmental Panel on Climate Change (IPCC). 2023: Sections. In Climate Change 2023: Synthesis Report. Contribution of Working Groups I, II and III to the Sixth Assessment Report of the Intergovernmental Panel on Climate Change; Core Writing Team, Lee, H., Romero, J., Eds.; Intergovernmental Panel on Climate Change (IPCC): Geneva, Switzerland, 2023; pp. 35–115. [Google Scholar] [CrossRef]
- Kogo, B.K.; Kumar, L.; Koech, R.; Kariyawasam, C.S. Modelling climate suitability for rainfed maize cultivation in Kenya using a maximum entropy (MAXENT) approach. Agronomy 2019, 9, 727. [Google Scholar] [CrossRef]
- Kramer-Schadt, S.; Niedballa, J.; Pilgrim, J.D.; Schroder, B.; Lindenborn, J.; Reinfelder, V.; Stillfried, M.; Heckmann, I.; Scharf, A.K.; Augeri, D.M.; et al. The importance of correcting for sampling bias in MaxEnt species distribution models. Divers. Distrib. 2013, 19, 1366–1379. [Google Scholar] [CrossRef]
- Kulhanek, S.A.; Leung, B.; Ricciardi, A. Using ecological niche models to predict the abundance and impact of invasive species: Application to the common carp. Ecol. Appl. 2011, 21, 203–213. [Google Scholar]
- Li, Y.; Li, M.; Li, C.; Liu, Z. Optimized Maxent Model Predictions of Climate Change Impacts on the Suitable Distribution of Cunninghamia lanceolata in China. Forests 2020, 11, 302. [Google Scholar] [CrossRef]
- Liu, B.; Gao, X.; Zheng, K.; Ma, J.; Jiao, Z.; Xiao, J.; Wang, H. The potential distribution and dynamics of important vectors Culex pipiens pallens and Culex pipiens quinquefasciatus in China under climate change scenarios: An ecological niche modelling approach. Pest Manag. Sci. 2020, 76, 3096–3107. [Google Scholar] [PubMed]
- Liu, B.; Gao, X.; Ma, J.; Jiao, Z.; Xiao, J.; Hayat, M.A.; Wang, H. Modeling the present and future distribution of arbovirus vectors Aedes aegypti and Aedes albopictus under climate change scenarios in Mainland China. Sci. Total Environ. 2019, 664, 203–214. [Google Scholar] [CrossRef]
- Liu, Z.; Yang, X.; Lv, S.; Wang, J.; Lin, X. Spatio-temporal variations of yield gaps of spring Maize in Northeast China. Sci. Agric. Sin. 2017, 50, 1606–1616. [Google Scholar]
- Lu, F.; Wang, H.; Ma, X.; Peng, H.; Shan, J. Modeling the current land suitability and future dynamics of global soybean cultivation under climate change scenarios. Field Crops Res. 2021, 263, 108069. [Google Scholar] [CrossRef]
- Luo, M.; Wang, H.; Lv, Z. Evaluating the performance of species distribution models Biomod2 and MaxEnt using the giant panda distribution data. Chin. J. Appl. Ecol. 2017, 28, 4001–4006. [Google Scholar] [CrossRef]
- Mabhaudhi, T.; Chimonyo, V.G.P.; Hlahla, S.; Massawe, F.; Mayes, S.; Nhamo, L.; Modi, A.T. Prospects of orphan crops in climate change. Planta 2019, 250, 695–708. [Google Scholar] [CrossRef]
- Mall, R.; Lal, M.; Bhatia, V.; Rathore, L.; Singh, R. Mitigating climate change impact on soybean productivity in India: A simulation study. Agric. For. Meteorol. 2004, 121, 113–125. [Google Scholar] [CrossRef]
- Marcer, A.; Saez, L.; Molowny-Horas, R.; Pons, X.; Pino, J. Using species distribution modelling to disentangle realised versus potential distributions for rare species conservation. Biol. Conserv. 2013, 166, 221–230. [Google Scholar] [CrossRef]
- Massimo, F.; Ma, P.M. Impact on human health of climate changes. Eur. J. Int. Med. 2015, 26, 1–5. [Google Scholar]
- Fan, M.; Shibata, H.; Chen, L. Environmental and economic risks assessment under climate changes for three land uses scenarios analysis across Teshio watershed, northernmost of Japan. Sci. Total Environ. 2017, 599–600, 451–463. [Google Scholar]
- Mohammadi, S.; Ebrahimi, E.; Shahriari Moghadam, M.; Bosso, L. Modelling current and future potential distributions of two desert jerboas under climate change in Iran. Ecol. Inform. 2019, 52, 7–13. [Google Scholar] [CrossRef]
- Montoya, F.; García, C.; Pintos, F.; Otero, A. Effects of irrigation regime on the growth and yield of irrigated soybean in temperate humid climatic conditions. Agric. Water Manag. 2017, 193, 30–45. [Google Scholar]
- Motuma, M.; Suryabhagavan, K.V.; Balakrishnan, M. Land suitability analysis for wheat and sorghum crops in Wogdie District, South Wollo, Ethiopia, using geospatial tools. Appl. Geomat. 2016, 8, 57–66. [Google Scholar] [CrossRef]
- Mustafa, A.; Singh, M.; Sahoo, R.; Ahmed, N.; Khanna, M.; Sarangi, A.; Mishra, A. Land Suitability Analysis for Different Crops: A Multi Criteria Decision Making Approach Using Remote Sensing and GIS. Researcher 2011, 3, 61–84. [Google Scholar]
- Nam, J.; Cho, H.; Kim, J. Effect of plant life cycle on plant settlement in diverse water level. J. Wetl. Res. 2015, 17, 19–25. [Google Scholar] [CrossRef][Green Version]
- Ncube, B.; Shekede, M.D.; Gwitira, I.; Dube, T. Spatial modelling the effects of climate change on the distribution of Lantana camara in Southern Zimbabwe. Appl. Geogr. 2020, 117, 102172. [Google Scholar]
- Nyathi, M.K.; van Halsema, G.E.; Annandale, J.G.; Struik, P.C. Calibration and validation of the AquaCrop model for repeatedly harvested leafy vegetables grown under different irrigation regimes. Agric. Water Manag. 2018, 208, 107–119. [Google Scholar] [CrossRef]
- Ohta, S.; Kimura, A. Impacts of climate changes on the temperature of paddy waters and suitable land for rice cultivation in Japan. Agric. For. Meteorol. 2007, 147, 186–198. [Google Scholar] [CrossRef]
- Ortiz, R.; Sayre, K.D.; Govaerts, B.; Gupta, R.; Subbarao, G.V.; Ban, T.; Hodson, D.; Dixon, J.M.; Iván Ortiz-Monasterio, J.; Reynolds, M. Climate change: Can wheat beat the heat? Agric. Ecosyst. Environ. 2008, 126, 46–58. [Google Scholar] [CrossRef]
- Peterson, A.T.; Soberón, J.; Pearson, R.G.; Anderson, R.P.; Martínez-Meyer, E.; Nakamura, M.; Araújo, M.B. Ecological Niches and Geographic Distributions (MPB-49); Princeton University Press: Princeton, NJ, USA, 2011. [Google Scholar]
- Phillips, S.J.; Anderson, R.P.; Schapire, R.E. Maximum entropy modeling of species geographic distributions. Ecol. Model. 2006, 190, 231–259. [Google Scholar] [CrossRef]
- Phillips, S.; Anderson, R.; Dudík, M.; Schapire, R.; Blair, M. Opening the black box: An open-source release of Maxent. Ecography 2017, 40, 887–893. [Google Scholar] [CrossRef]
- Phillips, S.; Dudìk, M. Modeling of species distributions with Maxent: New extensions and a comprehensive evaluation. Ecography 2008, 31, 161–175. [Google Scholar] [CrossRef]
- Qin, A.; Jin, K.; Batsaikhan, M.-E.; Nyamjav, J.; Li, G.; Li, J.; Xue, Y.; Sun, G.; Wu, L.; Indree, T.; et al. Predicting the current and future suitable habitats of the main dietary plants of the Gobi Bear using MaxEnt modeling. Glob. Ecol. Conserv. 2020, 22, e01032. [Google Scholar] [CrossRef]
- Shabani, F.; Kotey, B. Future distribution of cotton and wheat in Australia under potential climate change. J. Agric. Sci. 2015, 154, 175–185. [Google Scholar] [CrossRef]
- Shabani, F.; Kumar, L.; Ahmadi, M. A comparison of absolute performance of different correlative and mechanistic species distribution models in an independent area. Ecol. Evol. 2016, 6, 5973–5986. [Google Scholar] [PubMed]
- Slater, H.; Michael, E. Predicting the current and future potential distributions of lymphatic filariasis in Africa using maximum entropy ecological niche modelling. PLoS ONE 2012, 7, e32202. [Google Scholar] [CrossRef]
- Su, P.; Zhang, A.; Wang, R.; Wang, J.; Gao, Y.; Liu, F. Prediction of future natural suitable areas for rice under representative concentration pathways (Rcps). Sustainability 2021, 13, 1580. [Google Scholar] [CrossRef]
- Swets, J.A. Measuring the accuracy of diagnostic systems. Science 1988, 240, 1285–1293. [Google Scholar] [CrossRef]
- Teichmann, C.; Jacob, D.; Remedio, A.R.; Remke, T.; Buntemeyer, L.; Hoffmann, P.; Kriegsmann, A.; Lierhammer, L.; Bülow, K.; Weber, T.; et al. Assessing mean climate change signals in the global CORDEX-CORE ensemble. Clim. Dyn. 2021, 57, 1269–1292. [Google Scholar] [CrossRef]
- Trenberth, K.E.; Dai, A.; Van Der Schrier, G.; Jones, P.D.; Barichivich, J.; Briffa, K.R.; Sheffield, J. Global warming and changes in drought. Nat. Clim. Chang. 2014, 4, 17–22. [Google Scholar] [CrossRef]
- Walke, N.; Obi Reddy, G.P.; Maji, A.K.; Thayalan, S. GIS-based multicriteria overlay analysis in soil-suitability evaluation for cotton (Gossypium spp.): A case study in the black soil region of Central India. Comput. Geosci. 2012, 41, 108–118. [Google Scholar] [CrossRef]
- Wang, L.; Li, Y.; Wang, P.; Wang, X.; Luo, Y.; Wu, H. Assessment of ecological suitability of winter wheat in Jiangsu Province based on the niche—Fitness theory and fuzzy mathematics. Acta Ecol. Sin. 2016, 36, 4465–4474. [Google Scholar] [CrossRef]
- Wang, W.; He, A.; Jiang, G.; Sun, H.; Jiang, M.; Man, J.; Ling, X.; Cui, K.; Huang, J.; Peng, S.; et al. Chapter Four—Ratoon rice technology: A green and resource-efficient way for rice production. Adv. Agron. 2020, 159, 135–167. [Google Scholar] [CrossRef]
- Wisz, M.S.; Hijmans, R.; Li, J.; Peterson, A.T.; Graham, C.; Guisan, A.; NCEAS Predicting Species Distributions Working Group. Effects of sample size on the performance of species distribution models. Divers. Distrib. 2008, 14, 763–773. [Google Scholar] [CrossRef]
- Xu, L.L.; Ren, Z. Relationships between rice growth and climatic factors. Mod. Agric. Sci. Technol. 2017, 18, 183–185. [Google Scholar]
- Yao, H.; Zuo, X.; Zuo, D.; Lin, H.; Huang, X.; Zang, C. Study on soybean potential productivity and food security assessment in China under the influence of the COVID-19 outbreak. Geogr. Sustain. 2020, 1, 163–171. [Google Scholar] [CrossRef]
- Yin, X.; Chen, F. Temporal and spatial changes of global soybean production in 1961–2017. World Agric. 2019, 11, 65–71. [Google Scholar]
- Yue, Y.; Zhang, P.; Shang, Y. The potential global distribution and dynamics of wheat under multiple climate change scenarios. Sci. Total Environ. 2019, 688, 1308–1318. [Google Scholar] [CrossRef]
- Zhang, K.L.; Yao, L.J.; Meng, J.S.; Tao, J. Maxent modeling for predicting the potential geographical distribution of two peony species under climate change. Sci. Total Environ. 2018, 634, 1326–1334. [Google Scholar] [CrossRef]
- Zipper, S.C.; Qiu, J.; Kucharik, C.J. Drought effects on US maize and soybean production: Spatiotemporal patterns and historical changes. Environ. Res. Lett. 2016, 11, 094021. [Google Scholar]









| Variable Code | Description | Unit | Source |
|---|---|---|---|
| Bio1 | Annual mean temperature | °C | |
| Bio2 | Mean diurnal range | °C | |
| Bio3 | Isothermality | °C | |
| Bio4 | Temperature seasonality | °C | |
| Bio5 | Maximum temperature of the warmest month | °C | |
| Bio6 | Minimum temperature of the coldest month | °C | |
| Bio7 | Temperature annual range | °C | |
| Bio8 | Mean temperature of the wettest quarter | °C | |
| Bio9 | Mean temperature of the driest quarter | °C | WorldClim a,b |
| Bio10 | Mean temperature of the warmest quarter | °C | |
| Bio11 | Mean temperature of the coldest quarter | °C | |
| Bio12 | Annual precipitation | mm | |
| Bio13 | Precipitation of the wettest month | mm | |
| Bio14 | Precipitation of the driest month | mm | |
| Bio15 | Precipitation seasonality | mm | |
| Bio16 | Precipitation of the wettest quarter | mm | |
| Bio17 | Precipitation of the driest quarter | mm | |
| Bio18 | Precipitation of the warmest quarter | mm | |
| Bio19 | Precipitation of the coldest quarter | mm | |
| Elev | Elevation | km | |
| SR | Solar radiation | KJ m−2 day−1 | |
| WS | Wind speed | m s−1 | |
| WVP | Water vapor pressure | kPa |
| Bioclimatic Variables | Wheat (Triticum_Aestivum) | |||||||||
|---|---|---|---|---|---|---|---|---|---|---|
| Current (1970–2000) | SSP585 (2021–2040) | SSP585 (2041–2060) | SSP585 (2061–2080) | SSP585 (2081–2100) | ||||||
| Percent Contribution | Permutation Importance (%) | Percent Contribution | Permutation Importance (%) | Percent Contribution | Permutation Importance (%) | Percent Contribution | Permutation Importance (%) | Percent Contribution | Permutation Importance (%) | |
| Bio1 | 39.2 | 16.0 | 48.5 | 30.7 | 46.1 | 42.1 | 24.2 | 37.9 | 9.9 | 37.3 |
| Bio2 | 1.8 | 7.9 | 1.9 | 3.7 | 1.9 | 5.1 | 1.9 | 5.0 | 1.7 | 4.5 |
| Bio3 | 1.0 | 3.6 | 0.3 | 1.2 | 0.2 | 0.7 | 0.2 | 0.6 | 0.4 | 0.9 |
| Bio4 | 1.9 | 1.6 | 1.9 | 1.0 | 2.6 | 1.1 | 1.9 | 1.7 | 1.6 | 2.5 |
| Bio5 | 4.7 | 11.3 | 1.9 | 5.6 | 2.5 | 5.6 | 2.0 | 3.8 | 2.3 | 7.8 |
| Bio6 | 1.4 | 0.0 | 3.5 | 0.2 | 5.0 | 2.1 | 11.7 | 1.6 | 8.0 | 2.3 |
| Bio7 | 0.5 | 0.3 | 0.6 | 0.4 | 0.7 | 0.4 | 0.4 | 0.1 | 0.4 | 0.3 |
| Bio8 | 2.2 | 1.7 | 3.2 | 1.6 | 1.9 | 1.2 | 2.4 | 2.7 | 4.7 | 1.4 |
| Bio9 | 0.2 | 0.0 | 0.6 | 0.4 | 0.9 | 1.0 | 0.6 | 0.7 | 0.7 | 0.3 |
| Bio10 | 5.1 | 4.0 | 7.1 | 4.9 | 7.6 | 6.0 | 6.1 | 4.6 | 6.7 | 2.1 |
| Bio11 | 13.4 | 5.8 | 13.8 | 36.3 | 15.1 | 24.1 | 33.3 | 27.4 | 48.2 | 25.9 |
| Bio12 | 1.4 | 2.0 | 1.3 | 2.1 | 1.4 | 2.0 | 1.7 | 2.9 | 2.2 | 2.8 |
| Bio13 | 1.0 | 2.3 | 0.7 | 1.5 | 1.1 | 1.4 | 1.1 | 1.6 | 0.9 | 2.0 |
| Bio14 | 2.3 | 0.2 | 3.5 | 1.2 | 3.3 | 1.2 | 3.5 | 1.1 | 3.4 | 2.0 |
| Bio15 | 0.5 | 1.0 | 1.1 | 1.5 | 0.8 | 0.9 | 0.8 | 1.4 | 0.6 | 1.0 |
| Bio16 | 0.1 | 0.8 | 0.1 | 0.4 | 0.1 | 0.4 | 0.1 | 0.4 | 0.1 | 0.6 |
| Bio17 | 0.0 | 1.6 | 0.0 | 0.5 | 0.0 | 0.4 | 0.0 | 0.2 | 0.0 | 0.1 |
| Bio18 | 6.4 | 5.4 | 10.0 | 6.8 | 8.7 | 4.0 | 8.2 | 6.2 | 8.3 | 6.2 |
| Bio19 | 0.2 | 0.8 | 0.0 | 0.1 | 0.0 | 0.1 | 0.0 | 0.1 | 0.0 | 0.0 |
| Elevation | 5.8 | 5.7 | ||||||||
| Solar radiation | 2.1 | 10.9 | ||||||||
| Wind speed | 2.4 | 6.8 | ||||||||
| Water vapor pressure | 6.3 | 10.3 | ||||||||
| Bioclimatic Variables | Rice (Oryza_Sativa) | |||||||||
|---|---|---|---|---|---|---|---|---|---|---|
| Current (1970–2000) | SSP585 (2021–2040) | SSP585 (2041–2060) | SSP585 (2061–2080) | SSP585 (2081–2100) | ||||||
| Percent Contribution | Permutation Importance (%) | Percent Contribution | Permutation Importance (%) | Percent Contribution | Permutation Importance (%) | Percent Contribution | Permutation Importance (%) | Percent Contribution | Permutation Importance (%) | |
| Bio1 | 1.9 | 0.9 | 0.9 | 6.6 | 1.1 | 5.9 | 0.8 | 5.2 | 0.6 | 3.2 |
| Bio2 | 4.3 | 14.1 | 8.3 | 8.6 | 5.2 | 7.1 | 4.0 | 6.0 | 5.2 | 5.8 |
| Bio3 | 2.1 | 12.8 | 1.5 | 2.1 | 2.0 | 2.6 | 1.6 | 1.4 | 2.6 | 2.1 |
| Bio4 | 2.7 | 1.7 | 3.8 | 9.0 | 4.9 | 11.2 | 7.8 | 11.1 | 5.1 | 14.5 |
| Bio5 | 0.3 | 2.3 | 1.5 | 0.6 | 1.0 | 0.1 | 1.3 | 0.1 | 1.5 | 0.4 |
| Bio6 | 3.0 | 7.1 | 3.6 | 11.8 | 4.3 | 12.6 | 3.7 | 13.0 | 3.10 | 17.4 |
| Bio7 | 1.5 | 1.2 | 6.0 | 2.0 | 7.4 | 2.0 | 3.8 | 1.9 | 3.2 | 2.1 |
| Bio8 | 0.6 | 4.0 | 0.7 | 3.6 | 0.6 | 3.2 | 0.8 | 2.9 | 1.0 | 3.1 |
| Bio9 | 1.1 | 1.8 | 1.9 | 2.3 | 1.2 | 2.7 | 2.0 | 3.0 | 1.1 | 2.3 |
| Bio10 | 0.2 | 0.7 | 1.1 | 12.4 | 1.1 | 16.7 | 1.8 | 23.1 | 0.8 | 5.9 |
| Bio11 | 0.9 | 2.4 | 0.5 | 6.0 | 0.2 | 1.0 | 0.2 | 2.0 | 0.4 | 2.3 |
| Bio12 | 4.2 | 4.3 | 12.3 | 11.2 | 10.6 | 7.0 | 12.0 | 8.6 | 22.3 | 4.2 |
| Bio13 | 0.2 | 0.3 | 1.0 | 0.7 | 0.4 | 0.5 | 0.8 | 0.7 | 1.0 | 4.1 |
| Bio14 | 8.7 | 4.3 | 2.4 | 1.4 | 2.9 | 1.4 | 4.3 | 2.0 | 6.5 | 4.2 |
| Bio15 | 1.0 | 0.8 | 1.0 | 0.8 | 0.8 | 1.1 | 0.7 | 1.0 | 0.4 | 0.6 |
| Bio16 | 0.1 | 0.1 | 0.6 | 1.7 | 0.5 | 0.1 | 0.2 | 0.1 | 0.4 | 0.3 |
| Bio17 | 2.1 | 0.2 | 2.1 | 4.0 | 2.1 | 4.3 | 1.7 | 2.4 | 2.4 | 5.8 |
| Bio18 | 34.9 | 10.4 | 47.5 | 10.3 | 50.6 | 16.0 | 49.6 | 10.8 | 37.6 | 12.7 |
| Bio19 | 2.0 | 4.1 | 3.4 | 4.9 | 3.2 | 4.5 | 2.9 | 4.7 | 3.9 | 8.9 |
| Elevation | 19.9 | 14.2 | ||||||||
| Solar radiation | 2.9 | 7.5 | ||||||||
| Wind speed | 2.6 | 3.0 | ||||||||
| Water vapor pressure | 2.7 | 1.8 | ||||||||
| Bioclimatic Variables | Maize (Zea_Mays) | |||||||||
|---|---|---|---|---|---|---|---|---|---|---|
| Current (1970–2000) | SSP585 (2021–2040) | SSP585 (2041–2060) | SSP585 (2061–2080) | SSP585 (2081–2100) | ||||||
| Percent Contribution | Permutation Importance (%) | Percent Contribution | Permutation Importance (%) | Percent Contribution | Permutation Importance (%) | Percent Contribution | Permutation Importance (%) | Percent Contribution | Permutation Importance (%) | |
| Bio1 | 36.3 | 2.0 | 50.3 | 14.8 | 52.8 | 10.3 | 51.7 | 13.9 | 50.3 | 10.7 |
| Bio2 | 1.8 | 2.2 | 2.0 | 1.8 | 1.5 | 2.1 | 1.4 | 2.7 | 1.9 | 2.8 |
| Bio3 | 1.3 | 7.2 | 1.3 | 3.6 | 1.2 | 4.2 | 1.3 | 3.5 | 1.4 | 3.2 |
| Bio4 | 1.5 | 12.8 | 1.8 | 9.8 | 1.5 | 12.7 | 1.6 | 13.8 | 1.2 | 13.0 |
| Bio5 | 4.6 | 5.5 | 2.8 | 3.0 | 2.9 | 2.1 | 3.2 | 2.0 | 3.3 | 1.5 |
| Bio6 | 0.9 | 2.1 | 1.5 | 10.6 | 1.2 | 8.6 | 2.1 | 8.0 | 2.1 | 8.9 |
| Bio7 | 0.7 | 2.0 | 1.2 | 1.1 | 0.7 | 2.1 | 0.8 | 2.0 | 0.6 | 2.4 |
| Bio8 | 0.4 | 0.3 | 0.4 | 0.8 | 0.4 | 1.1 | 0.2 | 0.4 | 0.1 | 0.6 |
| Bio9 | 2.6 | 2.0 | 0.3 | 2.4 | 0.2 | 1.6 | 0.3 | 1.6 | 0.8 | 2.0 |
| Bio10 | 4.1 | 1.7 | 5.9 | 3.7 | 5.1 | 5.6 | 3.5 | 4.9 | 3.0 | 4.2 |
| Bio11 | 3.1 | 3.2 | 3.4 | 19.0 | 4.6 | 18.6 | 6.7 | 17.2 | 9.6 | 19.0 |
| Bio12 | 0.1 | 0.8 | 0.3 | 0.2 | 0.0 | 0.1 | 0.0 | 0.1 | 0.0 | 0.0 |
| Bio13 | 1.3 | 0.3 | 1.2 | 0.7 | 0.7 | 1.3 | 0.9 | 1.3 | 0.7 | 1.5 |
| Bio14 | 8.7 | 0.5 | 5.8 | 0.7 | 5.2 | 0.7 | 5.9 | 1.3 | 2.8 | 0.8 |
| Bio15 | 1.2 | 5.1 | 1.5 | 4.3 | 1.5 | 3.8 | 1.4 | 3.7 | 0.5 | 1.6 |
| Bio16 | 0.1 | 0.1 | 0.1 | 0.2 | 0.2 | 0.2 | 0.0 | 0.2 | 0.1 | 0.6 |
| Bio17 | 14.3 | 14.7 | 15.5 | 17.4 | 16.4 | 18.0 | 13.7 | 15.6 | 16.9 | 20.3 |
| Bio18 | 2.4 | 3.9 | 4.4 | 4.6 | 3.5 | 5.4 | 4.4 | 5.9 | 3.6 | 4.9 |
| Bio19 | 0.1 | 2.7 | 0.3 | 1.2 | 0.4 | 1.6 | 0.7 | 2.0 | 1.2 | 1.9 |
| Elevation | 7.1 | 16.3 | ||||||||
| Solar radiation | 0.5 | 9.1 | ||||||||
| Wind speed | 6.5 | 5.0 | ||||||||
| Water vapor pressure | 0.5 | 0.2 | ||||||||
| Suitability Index | Climate Scenarios | Time Period | Wheat ×105 km2 | Change in Area (%) | Rice ×105 km2 | Change in Area (%) | Maize ×105 km2 | Change in Area (%) |
|---|---|---|---|---|---|---|---|---|
| Unsuitable | Current | 1970–2000 | 5.53 | 1.35 | 7.61 | |||
| ACCESS_CM2_ssp585 | 2021–2040 | 5.37 | −2.92 | 1.20 | −12.22 | 7.40 | −2.83 | |
| ACCESS_CM2_ssp585 | 2041–2060 | 5.38 | −2.77 | 1.25 | −7.39 | 7.48 | −1.70 | |
| ACCESS_CM2_ssp585 | 2061–2080 | 5.42 | −2.14 | 1.18 | −14.33 | 7.53 | −1.10 | |
| ACCESS_CM2_ssp585 | 2081–2100 | 5.42 | −2.01 | 1.12 | −20.18 | 7.52 | −1.24 | |
| Low suitable | Current | 1970–2000 | 3.65 | 5.00 | 2.06 | |||
| ACCESS_CM2_ssp585 | 2021–2040 | 3.72 | 1.88 | 4.15 | −20.71 | 2.25 | 8.61 | |
| ACCESS_CM2_ssp585 | 2041–2060 | 3.69 | 1.00 | 4.38 | −14.24 | 2.17 | 5.17 | |
| ACCESS_CM2_ssp585 | 2061–2080 | 3.65 | 0.18 | 4.40 | −13.72 | 2.13 | 3.45 | |
| ACCESS_CM2_ssp585 | 2081–2100 | 3.66 | 0.22 | 4.35 | −14.91 | 2.15 | 4.06 | |
| Moderate suitable | Current | 1970–2000 | 1.27 | 3.48 | 0.81 | |||
| ACCESS_CM2_ssp585 | 2021–2040 | 1.30 | 2.02 | 3.94 | 11.69 | 0.76 | −7.14 | |
| ACCESS_CM2_ssp585 | 2041–2060 | 1.30 | 2.09 | 3.66 | 5.09 | 0.76 | −6.53 | |
| ACCESS_CM2_ssp585 | 2061–2080 | 1.36 | 6.17 | 3.76 | 7.43 | 0.73 | −10.71 | |
| ACCESS_CM2_ssp585 | 2081–2100 | 1.35 | 5.45 | 3.88 | 10.34 | 0.75 | −8.77 | |
| High suitable | Current | 1970–2000 | 0.51 | 1.14 | 0.49 | |||
| ACCESS_CM2_ssp585 | 2021–2040 | 0.57 | 10.56 | 1.68 | 32.37 | 0.56 | 12.53 | |
| ACCESS_CM2_ssp585 | 2041–2060 | 0.60 | 14.26 | 1.67 | 31.75 | 0.55 | 11.78 | |
| ACCESS_CM2_ssp585 | 2061–2080 | 0.54 | 4.78 | 1.63 | 30.22 | 0.57 | 15.30 | |
| ACCESS_CM2_ssp585 | 2081–2100 | 0.54 | 5.14 | 1.61 | 29.41 | 0.56 | 12.83 |
| Bio1 | Bio2 | Bio3 | Bio4 | Bio5 | Bio6 | Bio7 | Bio8 | Bio9 | Bio11 | Bio12 | Bio13 | Bio16 | SR | |
|---|---|---|---|---|---|---|---|---|---|---|---|---|---|---|
| Bio4 | 0.551 | |||||||||||||
| Bio6 | 0.604 | |||||||||||||
| Bio7 | −0.676 | |||||||||||||
| Bio9 | 0.583 | |||||||||||||
| Bio11 | 0.561 | 0.611 | 0.656 | |||||||||||
| Bio12 | 0.848 | 0.57 | ||||||||||||
| Bio13 | −0.654 | 0.674 | ||||||||||||
| Bio14 | −0.562 | 0.638 | ||||||||||||
| Bio16 | −0.754 | |||||||||||||
| Bio17 | 0.592 | −0.659 | −0.625 | |||||||||||
| Bio18 | −0.57 | 0.638 | ||||||||||||
| Elev | −0.796 | |||||||||||||
| SR | 0.625 | 0.593 | 0.596 | 0.551 | ||||||||||
| WS | 0.61 | −0.803 | −0.655 | |||||||||||
| WVP | −0.623 | 0.751 |
| Bio1 | Bio2 | Bio3 | Bio4 | Bio5 | Bio6 | Bio7 | Bio10 | Bio11 | Bio13 | Bio14 | Bio16 | Bio17 | |
|---|---|---|---|---|---|---|---|---|---|---|---|---|---|
| Bio3 | −0.622 | ||||||||||||
| Bio4 | 0.633 | ||||||||||||
| Bio9 | −0.557 | −0.554 | |||||||||||
| Bio10 | −0.618 | 0.674 | −0.686 | −0.597 | |||||||||
| Bio12 | 0.829 | −0.657 | |||||||||||
| Bio13 | 0.792 | ||||||||||||
| Bio14 | −0.89 | 0.687 | |||||||||||
| Bio16 | 0.638 | ||||||||||||
| Bio17 | −0.638 | −0.594 | |||||||||||
| Bio18 | 0.577 | ||||||||||||
| Bio19 | 0.644 | −0.573 | |||||||||||
| Elev | −0.654 | −0.606 | |||||||||||
| SR | −0.709 | 0.565 | |||||||||||
| WS | 0.709 | ||||||||||||
| WVP | 0.767 | −0.605 | −0.763 |
| Bio1 | Bio2 | Bio3 | Bio4 | Bio5 | Bio6 | Bio7 | Bio9 | Bio10 | Bio11 | Bio12 | Bio18 | |
|---|---|---|---|---|---|---|---|---|---|---|---|---|
| Bio4 | −0.551 | |||||||||||
| Bio5 | −0.653 | |||||||||||
| Bio8 | 0.647 | |||||||||||
| Bio9 | 0.563 | −0.941 | ||||||||||
| Bio10 | −0.765 | |||||||||||
| Bio11 | −0.592 | |||||||||||
| Bio12 | −0.812 | 0.71 | ||||||||||
| Bio13 | 0.71 | −0.562 | −0.56 | |||||||||
| Bio17 | 0.74 | 0.717 | ||||||||||
| Bio18 | 0.586 | 0.843 | −0.649 | |||||||||
| Bio19 | −0.561 | −0.557 | 0.659 | 0.648 | ||||||||
| Elev | −0.729 | −0.646 | 0.809 | 0.79 | ||||||||
| WS | −0.581 | −0.587 | −0.599 | |||||||||
| WVP | −0.612 |
Disclaimer/Publisher’s Note: The statements, opinions and data contained in all publications are solely those of the individual author(s) and contributor(s) and not of MDPI and/or the editor(s). MDPI and/or the editor(s) disclaim responsibility for any injury to people or property resulting from any ideas, methods, instructions or products referred to in the content. |
© 2024 by the authors. Licensee MDPI, Basel, Switzerland. This article is an open access article distributed under the terms and conditions of the Creative Commons Attribution (CC BY) license (https://creativecommons.org/licenses/by/4.0/).
Share and Cite
Ali, S.; Umair, M.; Makanda, T.A.; Shi, S.; Hussain, S.A.; Ni, J. Modeling Current and Future Potential Land Distribution Dynamics of Wheat, Rice, and Maize under Climate Change Scenarios Using MaxEnt. Land 2024, 13, 1156. https://doi.org/10.3390/land13081156
Ali S, Umair M, Makanda TA, Shi S, Hussain SA, Ni J. Modeling Current and Future Potential Land Distribution Dynamics of Wheat, Rice, and Maize under Climate Change Scenarios Using MaxEnt. Land. 2024; 13(8):1156. https://doi.org/10.3390/land13081156
Chicago/Turabian StyleAli, Shahzad, Muhammad Umair, Tyan Alice Makanda, Siqi Shi, Shaik Althaf Hussain, and Jian Ni. 2024. "Modeling Current and Future Potential Land Distribution Dynamics of Wheat, Rice, and Maize under Climate Change Scenarios Using MaxEnt" Land 13, no. 8: 1156. https://doi.org/10.3390/land13081156
APA StyleAli, S., Umair, M., Makanda, T. A., Shi, S., Hussain, S. A., & Ni, J. (2024). Modeling Current and Future Potential Land Distribution Dynamics of Wheat, Rice, and Maize under Climate Change Scenarios Using MaxEnt. Land, 13(8), 1156. https://doi.org/10.3390/land13081156

