Precision Estimation of Rice Nitrogen Fertilizer Topdressing According to the Nitrogen Nutrition Index Using UAV Multi-Spectral Remote Sensing: A Case Study in Southwest China
Abstract
1. Introduction
2. Materials and Methods
3. Results
3.1. Model of Critical N Dilution Curves and the Relative Yield
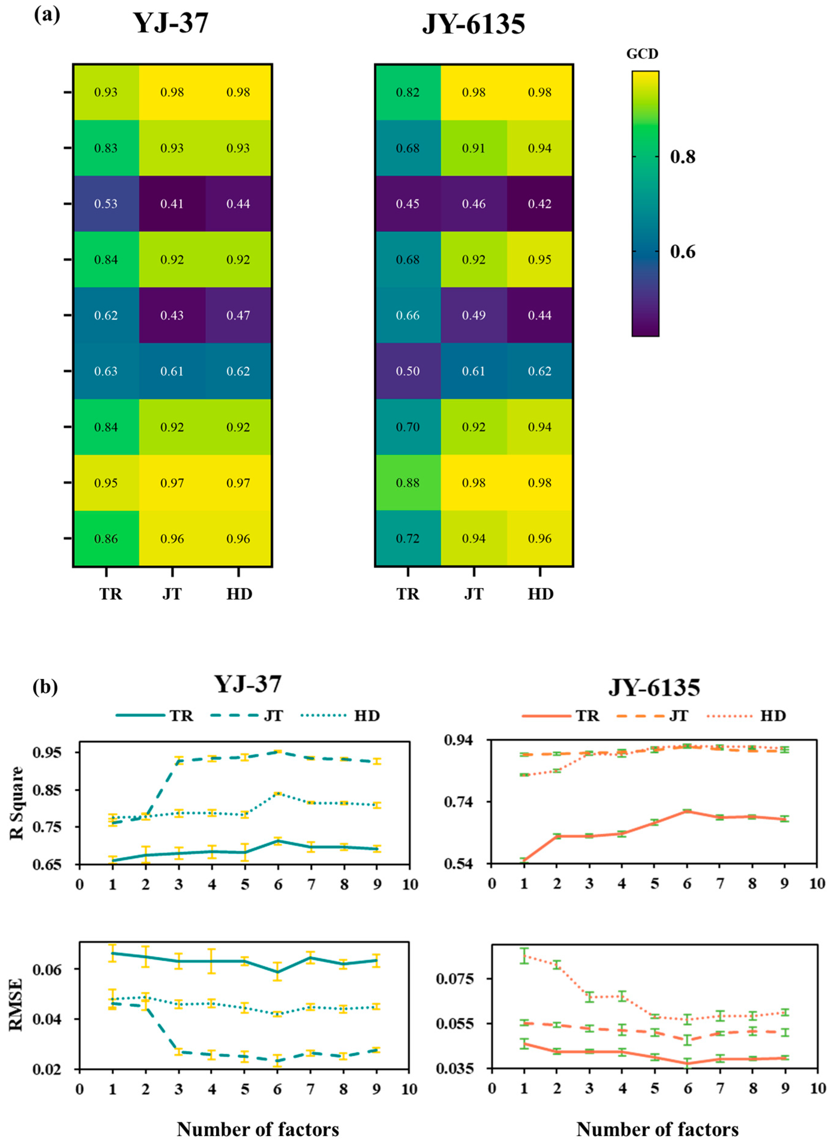
3.2. Inversion Model of N Nutrient Index by Vegetation Indexes
3.3. Field Fertilizer Application of Rice Based on NNI and Ry
4. Discussion
5. Conclusions
Author Contributions
Funding
Data Availability Statement
Acknowledgments
Conflicts of Interest
Appendix A
| Growth | Treatment | MZF (Cultivar: YJ-37) | BPS (Cultivar: JY-6135) | ||||||
|---|---|---|---|---|---|---|---|---|---|
| Stem | Leaf | Grain | Plant | Stem | Leaf | Grain | Plant | ||
| TR | N0 | 1.09 ± 0.02 c | 2.55 ± 0.09 d | — | 2.04 ± 0.06 d | 1.47 ± 0.04 c | 3.18 ± 0.09 d | — | 2.50 ± 0.08 d |
| N1 | 1.26 ± 0.03 b | 2.84 ± 0.08 c | — | 2.30 ± 0.06 c | 1.77 ± 0.07 b | 3.50 ± 0.19 c | — | 2.83 ± 0.1 c | |
| N2 | 1.40 ± 0.06 b | 3.12 ± 0.05 b | — | 2.51 ± 0.05 b | 1.83 ± 0.06 b | 3.74 ± 0.15 b | — | 3.08 ± 0.19 b | |
| N3 | 1.66 ± 0.06 a | 3.43 ± 0.15 a | — | 2.78 ± 0.12 a | 1.97 ± 0.13 a | 4.04 ± 0.15 a | — | 3.23 ± 0.18 ab | |
| N4 | 1.74 ± 0.24 a | 3.46 ± 0.30 a | — | 2.82 ± 0.23 a | 2.01 ± 0.12 a | 4.09 ± 0.05 a | — | 3.32 ± 0.10 a | |
| JT | N0 | 0.88 ± 0.01 d | 2.36 ± 0.02 c | — | 1.43 ± 0.04 d | 0.92 ± 0.04 e | 2.20 ± 0.07 d | — | 1.52 ± 0.05 d |
| N1 | 0.93 ± 0.01 c | 2.44 ± 0.04 c | — | 1.55 ± 0.04 c | 1.05 ± 0.02 d | 2.46 ± 0.02 c | — | 1.74 ± 0.02 c | |
| N2 | 1.08 ± 0.04 b | 2.79 ± 0.02 b | — | 1.68 ± 0.04 b | 1.23 ± 0.09 c | 3.01 ± 0.09 b | — | 2.09 ± 0.03 b | |
| N3 | 1.16 ± 0.04 a | 2.94 ± 0.11 a | — | 1.81 ± 0.07 a | 1.49 ± 0.03 b | 3.25 ± 0.13 a | — | 2.35 ± 0.08 a | |
| N4 | 1.14 ± 0.02 a | 2.89 ± 0.04 a | — | 1.77 ± 0.04 a | 1.39 ± 0.01 a | 3.34 ± 0.16 a | — | 2.34 ± 0.12 a | |
| HD | N0 | 0.76 ± 0.05 c | 2.26 ± 0.08 c | 1.00 ± 0.05 d | 1.31 ± 0.04 c | 0.46 ± 0.02 d | 1.88 ± 0.03 d | 0.94 ± 0.07 c | 0.92 ± 0.03 d |
| N1 | 0.85 ± 0.01 b | 2.55 ± 0.02 b | 1.13 ± 0.02 c | 1.42 ± 0.02 b | 0.58 ± 0.03 c | 2.19 ± 0.15 c | 1.03 ± 0.02 b | 1.11 ± 0.05 c | |
| N2 | 0.89 ± 0.02 b | 2.61 ± 0.03 b | 1.25 ± 0.05 b | 1.46 ± 0.02 b | 0.72 ± 0.01 b | 2.58 ± 0.06 b | 1.06 ± 0.06 ab | 1.33 ± 0.02 b | |
| N3 | 1.05 ± 0.09 a | 2.95 ± 0.13 a | 1.46 ± 0.06 a | 1.73 ± 0.08 a | 0.84 ± 0.03 a | 2.83 ± 0.07 a | 1.11 ± 0.07 a | 1.48 ± 0.05 a | |
| N4 | 1.02 ± 0.04 a | 2.98 ± 0.12 a | 1.49 ± 0.05 a | 1.70 ± 0.08 a | 0.84 ± 0.03 a | 2.61 ± 0.12 b | 1.09 ± 0.04 bc | 1.48 ± 0.05 a | |
| FL | N0 | 0.77 ± 0.02 c | 1.65 ± 0.08 c | 1.14 ± 0.02 b | 1.22 ± 0.02 b | 0.33 ± 0.01 c | 1.45 ± 0.03 c | 0.79 ± 0.02 c | 0.74 ± 0.01 c |
| N1 | 0.80 ± 0.05 c | 1.85 ± 0.19 b | 1.19 ± 0.04 b | 1.29 ± 0.09 b | 0.39 ± 0.01 c | 1.66 ± 0.10 b | 0.84 ± 0.04 b | 0.82 ± 0.01 b | |
| N2 | 0.95 ± 0.04 b | 2.30 ± 0.09 a | 1.35 ± 0.04 a | 1.52 ± 0.06 a | 0.46 ± 0.05 b | 1.95 ± 0.08 a | 0.93 ± 0.05 a | 0.95 ± 0.02 a | |
| N3 | 1.04 ± 0.05 a | 2.33 ± 0.03 a | 1.40 ± 0.08 a | 1.54 ± 0.04 a | 0.53 ± 0.07 a | 2.04 ± 0.08 a | 0.88 ± 0.02 b | 0.97 ± 0.03 a | |
| N4 | 0.93 ± 0.08 b | 2.30 ± 0.05 a | 1.34 ± 0.06 a | 1.48 ± 0.05 a | 0.53 ± 0.02 b | 1.95 ± 0.05 a | 0.88 ± 0.04 b | 0.96 ± 0.01 a | |
| Growth | YJ-37 | JY-6135 |
|---|---|---|
| Critical Aboveground N Concentration | Critical Aboveground N Concentration | |
| TR | 2.68 | 3.87 |
| JT | 1.72 | 2.01 |
| HD | 1.64 | 1.20 |
| FL | 1.38 | 0.94 |

References
- Khoshnevisan, B.; Bashir, M.A.; Sun, Q.; Pan, J.; Wang, H.; Xu, Y.; Duan, N.; Liu, H. Optimal rice-crab co-culture system as a new paradigm to air-water-food nexus sustainability. J. Clean. Prod. 2021, 291, 125936. [Google Scholar] [CrossRef]
- Liu, Y.; Zhou, Z.; Zhang, X.; Xu, X.; Chen, H.; Xiong, Z. Net global warming potential and greenhouse gas intensity from the double rice system with integrated soil–crop system management: A three-year field study. Atmos. Environ. 2015, 116, 92–101. [Google Scholar] [CrossRef]
- Cong, S.Y.; Li, L.Y.; Qi, Z.; Lin, C.; Jin, H.Z. Rice production areas in China n application rate and yield analysis. J. Agric. Sci. Technol. Equip. (In Chinese). 2023, 17–19+22. [Google Scholar] [CrossRef]
- Ladha, J.K.; Tirol-Padre, A.; Reddy, C.K.; Cassman, K.G.; Verma, S.; Powlson, D.S.; van Kessel, C.; Richter, D.d.B.; Chakraborty, D.; Pathak, H. Global nitrogen budgets in cereals: A 50-year assessment for maize, rice, and wheat production systems. Sci. Rep. 2016, 6, 19355. [Google Scholar] [CrossRef] [PubMed]
- Zheng, J.; Song, X.; Yang, G.; Du, X.; Mei, X.; Yang, X. Remote sensing monitoring of rice and wheat canopy nitrogen: A review. Remote Sens. 2022, 14, 5712. [Google Scholar] [CrossRef]
- Ata-Ul-Karim, T.S.; Liu, X.; Lu, Z.; Zheng, H.; Cao, W.; Zhu, Y. Estimation of nitrogen fertilizer requirement for rice crop using critical nitrogen dilution curve. Field Crop. Res. 2017, 201, 32–40. [Google Scholar] [CrossRef]
- Wood, G.; Welsh, J.; Godwin, R.; Taylor, J.; Earl, R.; Knight, S. Real-time Measures of Canopy Size as a Basis for Spatially Varying Nitrogen Applications to Winter Wheat sown at Different Seed Rates. Biosyst. Eng. 2003, 84, 513–531. [Google Scholar] [CrossRef]
- Lukina, E.V.; Freeman, K.W.; Wynn, K.J.; Thomason, W.E.; Mullen, R.W.; Stone, M.L.; Solie, J.B.; Klatt, A.R.; Johnson, G.V.; Elliott, R.L.; et al. Nitrogen fertilization optimization algorithm based on in-season estimates of yield and plant nitrogen uptake. J. Plant Nutr. 2001, 24, 885–898. [Google Scholar] [CrossRef]
- Colaço, A.; Bramley, R. Do crop sensors promote improved nitrogen management in grain crops? Field Crop. Res. 2018, 218, 126–140. [Google Scholar] [CrossRef]
- Meisinger, J.J.; Schepers, J.S.; Raun, W.R. Crop nitrogen requirement. In Nitrogen in Agricultural Systems, Agronomy Monographs; American Society of Agronomy; Crop Science Society of America; Soil Science Society of America: Madison, WI, USA, 2008; Volume 49, p. 677. [Google Scholar]
- Xue, L.; Yang, L. Recommendations for nitrogen fertiliser topdressing rates in rice using canopy reflectance spectra. Biosyst. Eng. 2008, 100, 524–534. [Google Scholar] [CrossRef]
- Lu, J.; Miao, Y.; Shi, W.; Li, J.; Hu, X.; Chen, Z.; Wang, X.; Kusnierek, K. Developing a Proximal Active Canopy Sensor-based Precision Nitrogen Management Strategy for High-Yielding Rice. Remote Sens. 2020, 12, 1440. [Google Scholar] [CrossRef]
- Lemaire, G.; Gastal, F.; Plenet, D. Dynamics of N uptake and N distribution in plant canopies. Use of crop N status index in crop modelling. In Proceedings of the Diagnostic Procedures for Crop N Management, Poitiers, France, 22–23 November 1995. [Google Scholar] [CrossRef]
- Li, X.; Ata-Ui-Karim, S.T.; Li, Y.; Yuan, F.; Miao, Y.; Yoichiro, K.; Cheng, T.; Tang, L.; Tian, X.; Liu, X.; et al. Advances in the estimations and applications of critical nitrogen dilution curve and nitrogen nutrition index of major cereal crops. A review. Comput. Electron. Agric. 2022, 197, 106998. [Google Scholar] [CrossRef]
- Xiao, T.H.; Fan, Y.Y.; Feng, H.K.; Li, T.C.; Yang, F.Q. Estimation of Nitrogen Nutrition Index in Winter Wheat Based on UAV Hyperspectral. Remote Sens. Inf. 2022, 37, 7–11. (In Chinese) [Google Scholar] [CrossRef]
- Zhao, B.; Duan, A.; Ata-Ul-Karim, T.S.; Liu, Z.; Chen, Z.; Gong, Z.; Zhang, J.; Xiao, J.; Liu, Z.; Qin, A.; et al. Exploring new spectral bands and vegetation indices for estimating nitrogen nutrition index of summer maize. Eur. J. Agron. 2018, 93, 113–125. [Google Scholar] [CrossRef]
- Aranguren, M.; Castellón, A.; Aizpurua, A. Crop Sensor Based Non-destructive Estimation of Nitrogen Nutritional Status, Yield, and Grain Protein Content in Wheat. Agriculture 2020, 10, 148. [Google Scholar] [CrossRef]
- Song, L.J.; Ye, W.J.; Wang, S.; Liu, S.; Wang, M.; Su, G.; Bi, H. Development and test of rice nitrogen nutrition index estimation model based on airborne multi-spectrum. Banglandesh J. Bot. 2023, 52, 529–538. [Google Scholar] [CrossRef]
- Padilla, F.M.; Pena-Fleitas, M.T.; Gallardo, M.; Thompson, R.B. Threshold values of canopy reflectance indices and chlorophyll meter readings for optimal nitrogen nutrition of tomato. Ann. Appl. Biol. 2015, 166, 271–285. [Google Scholar] [CrossRef]
- Qiu, Z.C.; Ma, F.; Li, Z.W.; Xu, X.B.; Ge, H.X.; Du, C.W. Estimation of nitrogen nutrition index in rice from UAV RGB images coupled with machine learning algorithms. Comput. Electron. Agric. 2021, 189, 106421. [Google Scholar] [CrossRef]
- Ling, Q.H.; Kong, F.M.; Ning, Q.; Wei, Y.; Liu, Z.; Dai, M.Z.; Zhou, Y.; Zhang, Y.Q.; Shi, X.J.; Wang, J. Nitrogen monitoring of rice based on UAV multi-spectral images. Trans. Chin. Soc. Agric. Eng. 2019, 39, 160–170. (In Chinese) [Google Scholar]
- Justes, E.; Mary, B.; Meynard, J.M.; Merrien, A. Determination of a critical nitrogen dilution curve for winter wheat crops. Ann. Bot. 1994, 74, 397–407. [Google Scholar] [CrossRef]
- Greenwood, D.J.; Lemaire, G.; Gosse, G.; Cruz, P.; Draycott, A.; Neeteson, J.J. Decline in Percentage N of C3 and C4 Crops with Increasing Plant Mass. Ann. Bot. 1990, 66, 425–436. [Google Scholar] [CrossRef]
- Yao, X.; Ata-Ul-Karim, S.T.; Zhu, Y.; Tian, Y.; Liu, X.; Cao, W. Development of critical nitrogen dilution curve in rice based on leaf dry matter. Eur. J. Agron. 2014, 55, 20–28. [Google Scholar] [CrossRef]
- Xu, H.C.; Yao, B.; Wang, Q.; Chen, T.T.; Zhu, T.Z.; He, H.B.; Ke, J.; You, C.C.; Wu, X.W.; Guo, S.S.; et al. Determination of Suitable Band Width for Estimating Rice Nitrogen Nutrition Index Based on Leaf Reflectance Spectra. Chin. J. Agric. Sci. 2021, 54, 4525–4539. (In Chinese) [Google Scholar] [CrossRef]
- Hong, Z.S.; Jin, J.G.; Jia, Q.A.; Zi, J.T.; Xin, W.; Wang, Y.L.; Xiao, Z.; Lin, J.; You, Z.X.; Zhi, J.L.; et al. Estimation of Chlorophyll Content in Soybean Crop at Different Growth Stages Based on Optimal Spectral Index. Agronomy 2023, 13, 663. [Google Scholar] [CrossRef]
- Tucker, C.J. Red and photographic infrared linear combinations for monitoring vegetation. Remote Sens. Environ. 1979, 8, 127–150. [Google Scholar] [CrossRef]
- Badgley, G.; Field, C.B.; Berry, J.A. Canopy near-infrared reflectance and terrestrial photosynthesis. Sci. Adv. 2017, 3, e1602244. [Google Scholar] [CrossRef] [PubMed]
- Pearson, R.L.; Miller, L.D. Remote Mapping of Standing Crop Biomass for Estimation of the Productivity of the Shortgrass Prairie. In Proceedings of the Eighth International Symposium on Remote Sensing of Environment, Ann Arbor, Michigan, 2–6 October 1972; pp. 7–12. [Google Scholar] [CrossRef]
- Penuelas, J.; Gamon, J.A.; Fredeen, A.L.; Merino, J.; Field, C.B. Reflectance indices associated with physiological changes in nitrogen-and water-limited sunflower leaves. Remote Sens. Environ. 1994, 48, 135–146. [Google Scholar] [CrossRef]
- Rodriguez, M.I.; Lacasa, J.; Versendaal, V.E.; Lemaire, G.; Belanger, G.; Jégo, G.; Sandaña, P.G.; Soratto, R.P.; Djalovic, I.; Ata-Ul-Karim, S.T.; et al. Revisiting the relationship between nitrogen nutrition index and yield across major species. Eur. J. Agron. 2024, 154, 127079. [Google Scholar] [CrossRef]
- Wang, X.L. Study on Critical Nitrogen Concentration Model Construction and Nitrogen Diagnosis Regulation of Winter Wheat Plant Organs in Rice-Wheat Double Cropping Area of Middle and Lower Yangtze River. Master’s Thesis, Nanjing Agricultural University, Nanjing, China, 2017. (In Chinese). [Google Scholar] [CrossRef]
- Umuti, A.; Maimaithi, S.; Nigati, K.; Nigella, T.; Wang, J.Z.; Ershati, A. Hyperspectral estimation model of spring wheat leaf water content based on grey correlation method. Spectrosc. Spectr. Anal. 2018, 38, 3905–3911. (In Chinese) [Google Scholar]
- Ata-Ul-Karim, T.S.; Zhu, Y.; Liu, X.J.; Cao, Q.; Tian, Y.C.; Cao, W.X. Comparison of different critical nitrogen dilution curves for nitrogen diagnosis in rice. Sci. Rep. 2017, 7, 42679. [Google Scholar] [CrossRef]
- Islam, N.; Inanaga, S.; Chishaki, N.; Horiguchi, T. Effect of N Top-Dressing on Protein Content in Japonica and Indica Rice Grains. Cereal. Chem. 1996, 73, 571–573. [Google Scholar] [CrossRef]
- Sheehy, J.E.; Dionora, M.J.A.; Mitchell, P.L.; Peng, S.; Cassman, K.G.; Lemaire, G.; Williams, R.L. Critical nitrogen concentrations: Implications for high-yielding rice (Oryza sariva L.) cultivars in the tropics. Field Crop. Res. 1998, 59, 31–41. [Google Scholar] [CrossRef]
- Greenwood, D.J.; Gastal, F.; Lemaire, G.; Draycott, A.; Millard, P.; Neeteson, J.J. Growth Rate and % N of Field Grown Crops: Theory and Experiments. Ann. Bot. 1991, 67, 181–190. [Google Scholar] [CrossRef]
- Zhao, P.F.; Rui, Z.; Jia, Y.Z.; Ke, Z.; Qiang, C.; Yong, C.T.; Yan, Z.; Wei, X.C.; Xiao, J.L. Potential of Establishing the Universal Critical Nitrogen Dilution Curve for Japonica Rice. Plant Phenomics 2023, 5, 36. [Google Scholar] [CrossRef]
- Yao, B.; Wang, X.; Wang, Y.; Ye, T.; Wang, E.; Cao, Q.; Yao, X.; Zhu, Y.; Cao, W.; Liu, X.; et al. Interaction of Genotype, Environment, and Management on Organ-Specific Critical Nitrogen Dilution Curve in Wheat. Plant Phenomics 2023, 5, 78. [Google Scholar] [CrossRef] [PubMed]
- Ziadi, N.; Bélanger, G.; Claessens, A.; Lefebvre, L.; Cambouris, A.N.; Tremblay, N.; Nolin, M.C.; Parent, L.É. Determination of a Critical Nitrogen Dilution Curve for Spring Wheat. Agron. J. 2010, 102, 241–250. [Google Scholar] [CrossRef]
- Ziadi, N.; Brassard, M.; Bélanger, G.; Cambouris, A.N.; Tremblay, N.; Nolin, M.C.; Claessens, A.; Parent, L.É. Critical Nitrogen Curve and Nitrogen Nutrition Index for Corn in Eastern Canada. Agron. J. 2008, 100, 271–276. [Google Scholar] [CrossRef]
- Debaeke, P.; Oosterom, V.E.; Justes, E.; Champolivier, L.; Merrien, A.; Aguirrezabal, L.A.N.; González-Dugo, V.; Massignam, A.M.; Montemurro, F. A species-specific critical nitrogen dilution curve for sunflower (Helianthus annuus L.). Field Crop. Res. 2012, 136, 76–84. [Google Scholar] [CrossRef][Green Version]
- Zhao, B.; Liu, Z.; Ata-Ul-Karim, T.S.; Xiao, J.; Liu, Z.; Qi, A.; Ning, D.; Nan, J.; Duan, A. Rapid and nondestructive estimation of the nitrogen nutrition index in winter barley using chlorophyll measurements. Field Crop. Res. 2016, 185, 59–68. [Google Scholar] [CrossRef]
- Yuan, Z.; Tahir Ata-Ul-Karim, T.S.; Cao, Q.; Lu, Z.; Cao, W.; Zhu, Y.; Liu, X. Indicators for diagnosing nitrogen status of rice based on chlorophyll meter readings. Field Crop. Res. 2016, 185, 12–20. [Google Scholar] [CrossRef]
- Ata-Ul-Karim, T.S.; Liu, X.; Lu, Z.; Yuan, Z.; Zhu, Y.; Cao, W. In-season estimation of rice grain yield using critical nitrogen dilution curve. Field Crop. Res. 2016, 195, 1–8. [Google Scholar] [CrossRef]
- Xia, T.T.; Miao, Y.X.; Wu, D.L.; Shao, H.; Khosla, R.; Mi, G.H. Active Optical Sensing of Spring Maize for In-Season Diagnosis of Nitrogen Status Based on Nitrogen Nutrition Index. Remote Sens. 2016, 8, 605. [Google Scholar] [CrossRef]
- Ravier, C.; Meynard, J.M.; Cohan, J.P.; Gate, P.; Jeuffroy, M.H. Early nitrogen deficiencies favor high yield, grain protein content and N use efficiency in wheat. Eur. J. Agron. 2017, 89, 16–24. [Google Scholar] [CrossRef]
- Wang, W.; Yao, X.; Liu, X.J.; Ni, J.; Cao, W.X.; Zhu, Y. Common spectral bands and optimum vegetation indices for monitoring leaf nitrogen accumulation in rice and wheat. Integr. Agric. 2012, 11, 2001–2012. [Google Scholar] [CrossRef]
- Zou, X.C.; Haikarainen, I.; Haikarainen, I.P.; Mäkelä, P.; Mõttus, M.; Pellikka, P. Effects of Crop Leaf Angle on LAI-Sensitive Narrow-Band Vegetation Indices Derived from Imaging Spectroscopy. Appl. Sci. 2018, 8, 1435. [Google Scholar] [CrossRef]
- He, Z.Y.; Zhu, Y.; Li, Y.D.; Liu, X.J.; Cao, Q.; Cao, W.X.; Tang, L. Study on estimation model for nitrogen nutrition index and yield on double cropping rice in southern china. J. Nanjing Agric. Univ. 2017, 40, 11–19. (In Chinese) [Google Scholar] [CrossRef]
- Zhang, K.; Yuan, Z.; Yang, T.; Lu, Z.; Cao, Q.; Tian, Y.; Zhu, Y.; Cao, W.; Liu, X. Chlorophyll meter-based nitrogen fertilizer optimization algorithm and nitrogen nutrition index for in-season fertilization of paddy rice. Agron. J. 2020, 112, 288–300. [Google Scholar] [CrossRef]
- Liu, X.; Ferguson, R.; Zheng, H.; Cao, Q.; Tian, Y.; Cao, W.; Zhu, Y. Using an active-optical sensor to develop an optimal NDVI dynamic model for high-yield rice production (Yangtze, China). Sensors 2017, 17, 672. [Google Scholar] [CrossRef]
- Lu, J.J.; Dai, E.F.; Miao, Y.X.; Kusnierek, K. Improving active canopy sensor-based in-season rice nitrogen status diagnosis and recommendation using multi-source data fusion with machine learning. J. Clean. Prod. 2022, 380, 134926. [Google Scholar] [CrossRef]
- Yu, K.; Li, F.; Gnyp, L.M.; Miao, Y.X.; Bareth, G.; Chen, X.P. Remotely detecting canopy nitrogen concentration and uptake of paddy rice in the Northeast China Plain. ISPRS J. Photogramm. Remote Sens. 2013, 78, 102–115. [Google Scholar] [CrossRef]
- Guay, K.C.; Beck, P.S.A.; Berner, L.T.; Goetz, S.J.; Baccini, A.; Buermann, W. Vegetation productivity patterns at high northern latitudes: A multi-sensor satellite data assessment. Glob. Change Biol. 2015, 20, 3147–3158. [Google Scholar] [CrossRef] [PubMed]
- Huang, S.; Miao, Y.; Zhao, G.; Yuan, F.; Ma, X.; Tan, C.; Yu, W.; Gnyp, M.; Wiedemann, V.; Rascher, U.; et al. Satellite Remote Sensing-Based In-Season Diagnosis of Rice Nitrogen Status in Northeast China. Remote Sens. 2015, 7, 10646–10667. [Google Scholar] [CrossRef]
- Jiang, J.; Atkinson, P.M.; Chen, C.; Cao, Q.; Tian, Y.C.; Zhu, Y.; Liu, X.J.; Cao, W.X. Combining UAV and Sentinel-2 satellite multi-spectral images to diagnose crop growth and N status in winter wheat at the county scale. Field Crop. Res. 2023, 294, 108860. [Google Scholar] [CrossRef]





| Soil and Crop Information | MZF (2021) | BPS (2022) |
|---|---|---|
| Soil pH | 5.30 | 7.70 |
| Organic matter (mg/kg) | 23.70 | 22.61 |
| Total N (g/kg) | 1.20 | 1.25 |
| Olsen-K (mg/kg) | 52.20 | 88.45 |
| Olsen-P (mg/kg) | 37.70 | 4.30 |
| Transplanting date | 15 January | 15 March |
| Rice cultivars | Japonica rice (YJ-37) | Indica rice (JY-6135) |
| Treatment | MZF | BPS | ||||
|---|---|---|---|---|---|---|
| N | P2O5 | K2O | N | P2O5 | K2O | |
| N0 | 0 | 120 | 105 | 0 | 120 | 105 |
| N1 | 60 | 120 | 105 | 60 | 120 | 105 |
| N2 | 120 | 120 | 105 | 120 | 120 | 105 |
| N3 | 160 | 120 | 105 | 160 | 120 | 105 |
| N4 | 200 | 120 | 105 | 200 | 120 | 105 |
| Parameter | Value |
|---|---|
| Weight/g | 1487 |
| Maximum flight altitude/m | 6000 |
| Maximum horizontal flight speed/(kg·h−1) | 50 |
| Flight time/min | 27 |
| Operating ambient temperature/°C | 0~40 |
| Hover accuracy/m | Vertical: ±0.1; Horizontal: ±0.3 |
| Image sensor | CMOS |
| Number of bands | 5 |
| Maximum photo resolution/Pixel | 1600 × 1300 |
| Working environment temperature/°C | 0~40 |
| Multi-spectral band ± range | 450 ± 16 nm, 560 ± 16 nm, 650 ± 1 6 nm, 730 ± 16 nm, 840 ± 26 nm |
| Vegetation Index | Formula | References |
|---|---|---|
| Normalized differential vegetation index (NDVI) | (ρ NIR − ρ R)/(ρ NIR + ρ R) | [27] |
| Normalized vegetation index with red edge (NNVI) | (ρ NIR − ρ R)/(ρ NIR + ρ R) × ρ NIR | [28] |
| Ratio vegetation index (RVI) | ρ NIR/ρ R | [29] |
| N reflectance index (NRI) | (ρ G − ρ R)/(ρ G + ρ R) | [30] |
| Ratio vegetation index − 1 (RVI − 1) | ρ NIR/ρ R − 1 | [15] |
| Simple ratio index (SR) | ρ NIR/ρ G | [25] |
| Normalized differential red marginal vegetation index (NDRE) | (ρ NIR − ρ R)/(ρ NIR + ρ R) | [31] |
| Normalized color difference index (PSND c) | (ρ NIR − ρ B)/ρ NIR + ρ B) | [15] |
| Soil regulates vegetation index (SAVI) | 1.5 × (ρ NIR − ρ R)/(ρ NIR + ρ R + 0.5) | [32] |
| Variety | Treatment | N Rate (kg·ha−1) | TAN (kg·ha−1) | APGN (kg) | Yield (kg·ha−1) |
|---|---|---|---|---|---|
| YJ-37 | N0 | 0 | 128.90 c | 1.61 a | 8026.6 e |
| N1 | 60 | 145.30 bc | 1.57 a | 9253.3 d | |
| N2 | 120 | 169.40 abc | 1.75 a | 9680.0 c | |
| N3 | 160 | 178.40 ab | 1.74 a | 10,280.0 b | |
| N4 | 200 | 208.80 a | 1.97 a | 10,573.3 a | |
| JY-6135 | N0 | 0 | 118.56 d | 1.93 a | 6128.0 d |
| N1 | 60 | 149.58 c | 1.98 a | 7553.4 c | |
| N2 | 120 | 169.75 b | 2.08 a | 8175.8 b | |
| N3 | 160 | 198.01 a | 2.11 a | 9376.0 a | |
| N4 | 200 | 202.34 a | 2.13 a | 9505.8 a |
| Variety | Treatment | Basal Fertilizer (kg·ha−1) | JT Topdressing (kg·ha−1) | HD Topdressing (kg·ha−1) | Total N (kg·ha−1) |
|---|---|---|---|---|---|
| YJ-37 | N0 | 0 | 0 | 0 | 0 |
| N1 | 24 | 74.16 ± 8.51 | 37.08 ± 8.73 | 135.24 ± 17.24 | |
| N2 | 48 | 78.33 ± 8.51 | 39.16 ± 8.73 | 165.49 ± 17.24 | |
| N3 | 64 | 82.43 ± 2.41 | 41.22 ± 4.76 | 187.65 ± 7.17 | |
| N4 | 80 | 74.17 ± 0.00 | 37.09 ± 2.50 | 191.26 ± 2.50 | |
| JY-6135 | N0 | 0 | — | — | 0 |
| N1 | 24 | 53.16 ± 29.44 | 26.58 ± 5.53 | 103.74 ± 34.97 | |
| N2 | 48 | 57.39 ± 29.44 | 28.69 ± 4.45 | 134.08 ± 33.89 | |
| N3 | 64 | 88.65 ± 0.00 | 44.33 ± 4.05 | 196.98 ± 4.05 | |
| N4 | 80 | 77.99 ± 0.00 | 38.99 ± 2.52 | 196.98 ± 2.52 |
Disclaimer/Publisher’s Note: The statements, opinions and data contained in all publications are solely those of the individual author(s) and contributor(s) and not of MDPI and/or the editor(s). MDPI and/or the editor(s) disclaim responsibility for any injury to people or property resulting from any ideas, methods, instructions or products referred to in the content. |
© 2025 by the authors. Licensee MDPI, Basel, Switzerland. This article is an open access article distributed under the terms and conditions of the Creative Commons Attribution (CC BY) license (https://creativecommons.org/licenses/by/4.0/).
Share and Cite
Wang, L.; Ling, Q.; Liu, Z.; Dai, M.; Zhou, Y.; Shi, X.; Wang, J. Precision Estimation of Rice Nitrogen Fertilizer Topdressing According to the Nitrogen Nutrition Index Using UAV Multi-Spectral Remote Sensing: A Case Study in Southwest China. Plants 2025, 14, 1195. https://doi.org/10.3390/plants14081195
Wang L, Ling Q, Liu Z, Dai M, Zhou Y, Shi X, Wang J. Precision Estimation of Rice Nitrogen Fertilizer Topdressing According to the Nitrogen Nutrition Index Using UAV Multi-Spectral Remote Sensing: A Case Study in Southwest China. Plants. 2025; 14(8):1195. https://doi.org/10.3390/plants14081195
Chicago/Turabian StyleWang, Lijuan, Qihan Ling, Zhan Liu, Mingzhu Dai, Yu Zhou, Xiaojun Shi, and Jie Wang. 2025. "Precision Estimation of Rice Nitrogen Fertilizer Topdressing According to the Nitrogen Nutrition Index Using UAV Multi-Spectral Remote Sensing: A Case Study in Southwest China" Plants 14, no. 8: 1195. https://doi.org/10.3390/plants14081195
APA StyleWang, L., Ling, Q., Liu, Z., Dai, M., Zhou, Y., Shi, X., & Wang, J. (2025). Precision Estimation of Rice Nitrogen Fertilizer Topdressing According to the Nitrogen Nutrition Index Using UAV Multi-Spectral Remote Sensing: A Case Study in Southwest China. Plants, 14(8), 1195. https://doi.org/10.3390/plants14081195

