Sign in to use this feature.

Years

Between: -

Subjects

remove_circle_outline
remove_circle_outline
remove_circle_outline
remove_circle_outline
remove_circle_outline
remove_circle_outline
remove_circle_outline
remove_circle_outline
remove_circle_outline

Journals

remove_circle_outline
remove_circle_outline
remove_circle_outline
remove_circle_outline
remove_circle_outline
remove_circle_outline
remove_circle_outline
remove_circle_outline
remove_circle_outline
remove_circle_outline
remove_circle_outline
remove_circle_outline
remove_circle_outline
remove_circle_outline

Article Types

Countries / Regions

remove_circle_outline
remove_circle_outline
remove_circle_outline
remove_circle_outline

Search Results (1,580)

Search Parameters:
Keywords = O3 mass concentration

Order results
Result details
Results per page
Select all
Export citation of selected articles as:
22 pages, 8437 KB  
Article
Experimental and Numerical Study of Forced Convection of Water/EG-Al2O3 Nanofluids
by Przemysław Kozak, Jacek Barański and Janusz T. Cieśliński
Energies 2026, 19(3), 832; https://doi.org/10.3390/en19030832 (registering DOI) - 4 Feb 2026
Abstract
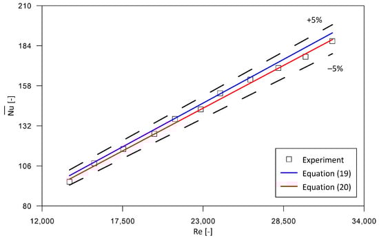
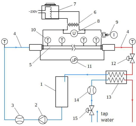
This paper presents the results of numerical and experimental studies of forced convection of water/EG-Al2O3 nanofluids through a horizontal stainless steel tube (8 mm inner diameter; 2000 mm length). As a base fluid, distilled water/EG mixture of three volume ratios [...] Read more.
This paper presents the results of numerical and experimental studies of forced convection of water/EG-Al2O3 nanofluids through a horizontal stainless steel tube (8 mm inner diameter; 2000 mm length). As a base fluid, distilled water/EG mixture of three volume ratios (90:10, 80:20, and 60:40) is used. Nanoparticle mass concentrations are 0.1%, 1%, and 5%. The tested nanofluids are prepared by use of the two-step method. No dispersant is used to stabilize the suspension. Transition and turbulent flow regimes are tested. The commercial code Ansys Fluent 19.3 is used to conduct numerical simulations. A k-ε turbulence model with an expanded boundary layer function is adopted. A homogeneous nanofluid model is assumed, with thermophysical properties depending on the mean fluid temperature and nanoparticle concentration. The nanofluids are treated as incompressible Newtonian fluids. Both experimental and numerical studies showed an increase in the average Nusselt number with the addition of Al2O3 nanoparticles to each of the water/EG mixtures. However, the experimental results indicated that, at the maximum mass nanoparticle concentration of 5%, the Nusselt number increased by 42%, whereas the numerical simulations showed an increase of only 16% compared with the base fluid. Both experimental studies and numerical simulations show the flow resistance of the nanofluid increases with increasing nanoparticle concentration. Similarly to heat transfer, the numerical calculations predict lower pressure drops than those observed experimentally. For the maximum nanoparticle mass concentration of 5%, the experimental results indicate an increase in nanofluid flow resistance of about 95%, while numerical simulations predict an increase of about 50%, compared to the base liquid. The generalized correlation equations are proposed to calculate the average Nusselt number and the friction factor valid for the turbulent flow of water-based nanofluids and water/EG mixtures with a volumetric water fraction above 60% and a mass concentration of nanoparticles in the range of 0.1% ≤ φm ≤ 5%. Full article
Show Figures

Figure 1

24 pages, 3771 KB  
Article
Combustion Characteristics, Kinetics, and Molecular Dynamics Insights of Rice Husk Biomass Under Oxy-Fuel Conditions
by Dandan Li, Qing Wang, Yufeng Pei, Yuqi Wang, Xiuyan Zhang, Chang Yu, Hongpeng Zhao, Shuang Wu and Da Cui
Processes 2026, 14(3), 514; https://doi.org/10.3390/pr14030514 - 2 Feb 2026
Viewed by 64
Abstract
Rice husk biomass was investigated under O2/CO2 oxy-fuel conditions using Thermogravimetric analysis (TG)-derivative thermogravimetry (DTG)-mass spectrometry (MS) experiments, iso-conversional kinetic analysis, and ReaxFF reactive molecular dynamics simulations. Oxy-fuel combustion significantly enhanced combustion performance compared with air combustion. At 10 °C·min [...] Read more.
Rice husk biomass was investigated under O2/CO2 oxy-fuel conditions using Thermogravimetric analysis (TG)-derivative thermogravimetry (DTG)-mass spectrometry (MS) experiments, iso-conversional kinetic analysis, and ReaxFF reactive molecular dynamics simulations. Oxy-fuel combustion significantly enhanced combustion performance compared with air combustion. At 10 °C·min−1, the ignition and burnout temperatures decreased to 235 °C and 435 °C under 70%O2/30%CO2, while the maximum mass loss rate increased more than fivefold and the comprehensive combustion index increased markedly. Online MS analysis showed concentrated CO2 formation and O2 consumption within 280–330 °C, accompanied by markedly suppressed NOx and SO2 emissions. Kinetic analysis revealed high apparent activation energies (525–548 kJ·mol−1) at α ≈ 0.5; these values are conversion-dependent and sensitive to the iso-conversional method employed and therefore reflect relative kinetic trends rather than intrinsic Arrhenius parameters, indicating a transition from chemical control to diffusion–structure-coupled control. Molecular dynamics simulations further confirmed that moderate oxygen enrichment promotes organic backbone cleavage, whereas excessive oxygen leads to a carbon-limited regime. These results provide mechanistic insights into biomass oxy-fuel combustion and its optimization for CO2 capture applications. Full article
Show Figures

Figure 1

18 pages, 7739 KB  
Article
Erosive Wear Behavior of Fiberglass-Reinforced Epoxy Laminate Composites Modified with SiO2 Nanoparticles Fabricated by Resin Infusion
by Angel Sebastian Alvarez Lozano, Armando Irvin Martínez Pérez, Edgar Ernesto Vera Cárdenas, Juan Manuel González Carmona and Arturo Mendoza Galván
Lubricants 2026, 14(2), 65; https://doi.org/10.3390/lubricants14020065 - 31 Jan 2026
Viewed by 90
Abstract
This work presents a study on the evaluation of the erosive wear behavior of laminated composites, manufactured using the vacuum-assisted resin infusion (VARI) method with a glass fiber-reinforced epoxy matrix modified with SiO2 nanoparticles (0.0, 1.5, and 3.0 wt.%). Results indicate that [...] Read more.
This work presents a study on the evaluation of the erosive wear behavior of laminated composites, manufactured using the vacuum-assisted resin infusion (VARI) method with a glass fiber-reinforced epoxy matrix modified with SiO2 nanoparticles (0.0, 1.5, and 3.0 wt.%). Results indicate that nanoparticle concentration and dispersion state critically influence the mechanical and tribological performance. The composite FG-1.5-SiO2 with 1.5 wt.% SiO2 exhibited optimal nanoparticle distribution, as confirmed by FTIR, GIXRD, and SEM analyses, with the lowest surface roughness (Ra = 0.215 μm), highest hardness (35.58 HV), and highest elastic modulus (19.66 GPa). These enhancements contributed to a 38% improvement in erosion rate compared to the unmodified laminated composite, with the lowest total mass loss (0.0261 mg) and erosion rate (2.3360 × 10−5 mg/g). Profilometry and SEM results revealed shallower wear depths and reduced matrix removal, indicating stronger fiber–matrix interface integrity. In contrast, the 3.0 wt.% SiO2 composite (FG-3-SiO2) suffered from nanoparticle agglomeration, which increased surface roughness, diminished mechanical properties, and reduced erosion resistance to levels comparable to the unreinforced material. The results indicate that homogeneous dispersion at an optimal concentration (1.5 wt.%) is crucial for improving erosion resistance, while agglomeration at higher concentrations negates the potential benefits of nanoparticle incorporation. These findings highlight the need to optimize nanoparticle dispersion for the development of fiberglass/epoxy composites with greater durability and erosion resistance in demanding applications. Full article
(This article belongs to the Special Issue Erosive Wear of Polymer Composites)
Show Figures

Figure 1

28 pages, 3958 KB  
Article
Impact of Different Groups of Active Substances for Fungal Control on Vineyard Soil Microbiota and Pesticide Residue Profiles
by M. Dolores Loureiro-Rodríguez, M. José Graña-Caneiro, Anxo Vázquez-Arias, Ester Abarquero, Isaac Rodríguez, Victoria Fernández-Fernández, María Ramil, Katerina Štůsková, Lucie Frejlichová, M. Sonia Rodríguez-Cruz, Jesús M. Marín-Benito and Emilia Díaz-Losada
Agriculture 2026, 16(3), 344; https://doi.org/10.3390/agriculture16030344 - 30 Jan 2026
Viewed by 137
Abstract
Pesticide use in agriculture can have negative collateral effects on the environment. In this study, two groups of treatments (G1 and G2) based on active substances (ASs) with different mobility were evaluated in order to determine pesticide residues in the soil and their [...] Read more.
Pesticide use in agriculture can have negative collateral effects on the environment. In this study, two groups of treatments (G1 and G2) based on active substances (ASs) with different mobility were evaluated in order to determine pesticide residues in the soil and their impact on soil microbial populations in two vineyards located in two Denominations of Origin (D.O.). Soil samples were collected in July, October, and the following March over two consecutive years. Pesticide residues were analyzed by liquid chromatography–tandem mass spectrometry (LC-MS/MS) after QuEChERS extraction. Microbial genera were identified by the amplification of the fungal ITS regions with the universal primers ITS86F and ITS4R, and the bacterial 16S rRNA gene (V4 region) with primers 515F and 806R. Although G1 consistently showed higher residues, primarily attributable to azoxystrobin, no significant differences were observed between the two pesticide groups in the total pesticide residues or diversity of microbial communities. The factors D.O., campaign, and sampling month influenced the concentration of residues. Several ASs exhibited different dissipation dynamics depending on the D.O. Azoxystrobin and metrafenone were the most persistent in soil. The LEfSe analysis associated four beneficial fungal genera with the G2 group. The judicious selection of ASs can help to minimize the pesticide residues in soil and their harmful effects on beneficial genera. Full article
(This article belongs to the Section Agricultural Soils)
Show Figures

Graphical abstract

13 pages, 1941 KB  
Article
Microalgae-Driven Algal–Bacterial Granular Sludge with Chlamydomonas reinhardtii to Mitigate N2O Emissions
by Kaiqi Li, Yuqi Liu, Xiaojing Yang, Xin Chen, Chang Liu, Fuguang Tan and Ziwen Zhao
Water 2026, 18(3), 349; https://doi.org/10.3390/w18030349 - 30 Jan 2026
Viewed by 161
Abstract
Reducing nitrous oxide (N2O) emissions from biological wastewater treatment is critical for achieving low-carbon environmental goals. In this study, a Chlamydomonas reinhardtii -driven algal–bacterial granular sludge system was successfully established in a photo-sequencing batch reactor to enhance nitrogen removal while suppressing [...] Read more.
Reducing nitrous oxide (N2O) emissions from biological wastewater treatment is critical for achieving low-carbon environmental goals. In this study, a Chlamydomonas reinhardtii -driven algal–bacterial granular sludge system was successfully established in a photo-sequencing batch reactor to enhance nitrogen removal while suppressing N2O generation. Compact granules formed within 48 days, exhibiting good settling ability (SVI5/SVI30 = 1.0), an average diameter of 0.5 mm, and a mixed-liquor suspended solid concentration of 2.1 g/L. Algal enrichment was confirmed by an increase in chlorophyll-a to 6.6 mg/g-VSS and substantial accumulation of protein-rich extracellular polymeric substances, which improved granule stability and mass transfer. The system achieved efficient pollutant removal when treating synthetic municipal wastewater, maintaining a chemical oxygen demand removal efficiency of approximately 90% and total nitrogen removal of up to 69.4%, with effluent NH4+-N consistently below 1.6 mg/L. Notably, the N2O emission factor decreased from 4.2 to 0.4 g N2O-N/kg N-removed, which is lower than that of conventional activated sludge processes. These results demonstrate the potential of microalgae-driven granulation as a promising low-carbon biotechnology for sustainable wastewater treatment. Full article
(This article belongs to the Section Wastewater Treatment and Reuse)
Show Figures

Figure 1

18 pages, 1545 KB  
Article
Mild One-Step Protein Recovery from Microalgae Cultivated in Swine Wastewater Using Natural Deep Eutectic Solvent-Based Aqueous Biphasic Systems
by David Moldes, Marisol Vega, Silvia Bolado and Patricia F. Requejo
Molecules 2026, 31(3), 483; https://doi.org/10.3390/molecules31030483 - 30 Jan 2026
Viewed by 160
Abstract
Photobioreactor-based microalgae cultivation offers an integrated approach for nutrient-rich wastewater treatment while producing valuable biomass. One of the main microalgae components is proteins, making them a biotechnological target. In this work, to develop efficient and greener extraction methodologies, aqueous two-phase systems (ATPSs) based [...] Read more.
Photobioreactor-based microalgae cultivation offers an integrated approach for nutrient-rich wastewater treatment while producing valuable biomass. One of the main microalgae components is proteins, making them a biotechnological target. In this work, to develop efficient and greener extraction methodologies, aqueous two-phase systems (ATPSs) based on natural deep eutectic solvents (NADESs) were evaluated for one-step protein extraction from microalgae cultivated in swine wastewater. Six ATPSs combining two NADES—betaine:levulinic acid (Bet:2LA) and choline chloride:urea (ChCl:2Urea)—and their individual components (Bet or ChCl) with phosphate salts were compared. Systems {NADES + K3PO4 + water} were characterized and reported for the first time. Protein recovery yield (PRY) and selectivity (protein-to-carbohydrate mass ratio, R) were assessed for three extraction times and at room temperature. The ATPS {Bet:2LA + K3PO4 + H2O} achieved a PRY of 16.4% and remarkable selectivity after 30 min (R = 2.17 g·g−1), with proteins concentrated in the NADES-rich phase, and negligible recovery in the salt-rich phase. Although the maximum PRY (18.2% at 120 min) was achieved with the precursor betaine, the ATPS with Bet:2LA at 30 min offered an optimal balance between efficiency and process time. With a water content of up to 50%, these systems underscore the potential of NADES-based ATPSs as sustainable platforms for protein recovery. Full article
Show Figures

Graphical abstract

15 pages, 1948 KB  
Article
Advanced Oxidation of PET-Derived Monomers Using Excimer Radiation and Hydrogen Peroxide: Kinetic and Operational Insights
by María Gómez, María Claudia Montiel, Elisa Gómez, Asunción María Hidalgo, Fuensanta Máximo and María Dolores Murcia
ChemEngineering 2026, 10(2), 19; https://doi.org/10.3390/chemengineering10020019 - 29 Jan 2026
Viewed by 243
Abstract
Growing environmental concern over plastic pollution has increased the need to address the persistence of PET-derived monomers, such as bis(2-hydroxyethyl) terephthalate (BHET) and terephthalic acid (TPA). This work examines the use of excimer radiation lamps combined with hydrogen peroxide (H2O2 [...] Read more.
Growing environmental concern over plastic pollution has increased the need to address the persistence of PET-derived monomers, such as bis(2-hydroxyethyl) terephthalate (BHET) and terephthalic acid (TPA). This work examines the use of excimer radiation lamps combined with hydrogen peroxide (H2O2) to enhance advanced oxidation processes (AOPs) for their degradation. This approach stands out for its high selectivity, absence of mercury, and lower production of toxic byproducts. Experimental tests assessed how different operational factors affect pollutant degradation, such as the initial pollutant concentration (50–200 mg/L), the reaction volume (125–500 mL), and the H2O2:monomer mass ratio (0:1–6:1 for BHET and 0:1–4:1 for TPA). For BHET, the best results occurred with a 5:1 mass ratio, while TPA degraded optimally with a 3:1 ratio, with a 250 mL reaction volume and a 100 mg/L initial concentration for both compounds. Under these conditions, total degradation of the initial monomers was achieved in around 30 and 80 min for BHET and TPA, respectively, and at the end of the reaction, COD decreased by 46% and 32% relative to their initial values. In both cases, hydrogen peroxide was crucial since UV radiation alone led to much lower degradation efficiency. These results emphasize the need to optimize operational conditions for greater efficiency and establish a starting point for future use of excimer technology in the treatment of wastewater contaminated with PET and its derivatives. Additionally, the degradation data closely matched a pseudo-first-order kinetic model (R2 ≈ 1), confirming its reliability for predictive analysis, which is of high importance for the simulation and optimization of the process. Full article
(This article belongs to the Special Issue Advances in Chemical Engineering and Wastewater Treatment)
Show Figures

Figure 1

22 pages, 1751 KB  
Article
Polyphenolic Profile and Antioxidant Capacity of Coffee Silverskin Extracts: Insights from HPLC and GC-MS Analyses and Protective Effect in Schwann-like Cells
by Marina Damato, Nicola Garofalo, Luisa Schipa, Debora Musarò, Angela Anzilli, Filomena Corbo, Antonio Quarta, Michele Maffia and Andrea Ragusa
Antioxidants 2026, 15(2), 172; https://doi.org/10.3390/antiox15020172 - 28 Jan 2026
Viewed by 350
Abstract
Coffee silverskin (CS) is an abundant leftover of the coffee roasting process known to contain significant concentrations of bioactive molecules, including polyphenols and flavonoids, with established antioxidant properties and potential applications in nutraceutical and functional-food formulations. This study systematically optimized extraction conditions to [...] Read more.
Coffee silverskin (CS) is an abundant leftover of the coffee roasting process known to contain significant concentrations of bioactive molecules, including polyphenols and flavonoids, with established antioxidant properties and potential applications in nutraceutical and functional-food formulations. This study systematically optimized extraction conditions to maximize the recovery of phenolics and antioxidants from CS by evaluating the effects of solvent type, temperature, and sonication time. Ethanol extraction at 20 °C for 30 min yielded the most enriched polyphenolic fraction, with the highest total phenolic content (TPC), total flavonoid content (TFC), and antioxidant activity across 2,2-diphenyl-1-picrylhydrazyl (DPPH), trolox equivalent antioxidant capacity (TEAC), and ferric reducing antioxidant power (FRAP) assays. Comprehensive chemical characterization via high-performance liquid chromatography (HPLC) and gas chromatography–mass spectrometry (GC-MS) identified key phenolics (chlorogenic acid, hyperoside, quercetin), alongside abundant caffeine, tocopherols, and phytosterols. The biological relevance of the optimized extract was assessed for the first time in RT4-D6P2T Schwann-like cells, demonstrating significant cytoprotective and antioxidant effects against H2O2- and lipopolysaccharide-induced oxidative stress, thereby establishing a previously unreported neuroprotective potential. Full article
Show Figures

Graphical abstract

14 pages, 1779 KB  
Article
Electro-Reforming of Biomass Gasification Tar with Simultaneous Hydrogen Evolution
by Umberto Calice, Francesco Zimbardi, Nadia Cerone and Vito Valerio
Processes 2026, 14(3), 444; https://doi.org/10.3390/pr14030444 - 27 Jan 2026
Viewed by 117
Abstract
In this study, an electrochemical valorization strategy on liquid byproducts from hazelnut shell gasification was developed to couple waste remediation with energy-efficient hydrogen production. The aqueous phase, rich in organic compounds, is processed in an anion exchange membrane (AEM) cell, where pure hydrogen [...] Read more.
In this study, an electrochemical valorization strategy on liquid byproducts from hazelnut shell gasification was developed to couple waste remediation with energy-efficient hydrogen production. The aqueous phase, rich in organic compounds, is processed in an anion exchange membrane (AEM) cell, where pure hydrogen evolved at the cathode while organic pollutants are oxidized at the anode. First, the feedstock is thoroughly characterized using gas chromatography–mass spectrometry (GC-MS), identifying a complex matrix of water-soluble aromatic compounds such as phenols, catechols, and other aromatics compounds, with concentrations reaching up to 2.9 g/kg for catechols. Then, the electro-reforming process is optimized using Nickel oxide–hydroxide (Ni(O)OH) electrodes with a loading of 0.75 mg/cm2. This methodology relies on the favorable thermodynamics of organic oxidation, which requires a lower onset potential (0.4 V) compared to the oxygen evolution reaction (OER) observed in the alkaline control (0.52 V), and the low overpotential of the Nickel oxide–hydroxide electrode towards the oxidized species. Consequently, the organic load undergoes progressive oxidation into hydrophilic and less bioaccumulating species and carbon dioxide, allowing for the simultaneous generation of pure hydrogen at the cathode at a reduced cell voltage. Elevated stability was observed, with a substantial abatement—78% of the initial organic load—of organic compounds achieved over 80 h at a fixed cell voltage of 0.5 V, and a specific energy consumption for hydrogen production of 38.5 MJkgH21. This represents a step forward in the development of technologies that reduce the energy intensity of hydrogen generation while valorizing biomass gasification residues. Full article
(This article belongs to the Topic Advances in Hydrogen Energy)
Show Figures

Figure 1

13 pages, 439 KB  
Article
The Influence of Training with an Evaluation Mask on Physiological Adaptations in a Recreational Athlete
by Marko Kunac, Petar Šušnjara and Danijela Kuna
J. Funct. Morphol. Kinesiol. 2026, 11(1), 54; https://doi.org/10.3390/jfmk11010054 - 27 Jan 2026
Viewed by 190
Abstract
Background: Innovative training strategies aimed at improving physiological efficiency are of growing interest in kinesiology and sports performance. Elevation training masks (ETMs) offer a practical means of inducing hypoxia-like stress. However, evidence of their effectiveness in recreationally active populations remains limited. This pilot [...] Read more.
Background: Innovative training strategies aimed at improving physiological efficiency are of growing interest in kinesiology and sports performance. Elevation training masks (ETMs) offer a practical means of inducing hypoxia-like stress. However, evidence of their effectiveness in recreationally active populations remains limited. This pilot study examined the efficiency of a five-week progressive ETM protocol combined with high-intensity interval training (HIIT) in eliciting physiological, hematological, and body-composition adaptations relevant to endurance performance. Methods: Nine recreationally active men completed a five-week intervention consisting of three treadmill-based sessions per week: one weekly incremental Conconi test and two structured aerobic–anaerobic HIIT sessions performed with an ETM. Mask resistance was progressively increased to simulate altitudes of approximately 900–3600 m. Hematological variables (erythrocytes, hemoglobin, hematocrit, erythrocyte indices, leukocytes, and platelets), body composition, maximal heart rate (HRmax), and peripheral oxygen saturation (SpO2) were assessed pre- and post intervention. Data were analyzed using paired-sample t-tests and repeated-measures ANOVA, with effect sizes reported (Cohen’s d, ω2). Results: A significant main effect of time on SpO2 was observed (F(1, 8) = 130.61, p < 0.001, ω2 = 0.69), along with a significant effect of training week (F(4, 32) = 17.41, p < 0.001, ω2 = 0.43), and a significant Time × Week interaction (F(4, 32) = 15.20, p < 0.001, ω2 = 0.42), indicating progressively greater post-exercise oxygen desaturation with increasing simulated altitude. Significant post-intervention increases were found in erythrocyte count, hemoglobin concentration, and hematocrit (p ≤ 0.009, d = 1.15–1.55), alongside increases in mean corpuscular volume and mean corpuscular hemoglobin. Platelet count increased significantly (p = 0.001, d = 1.68), while leukocyte values remained unchanged (p > 0.05). Body mass index (p = 0.049, d = 0.77) and body fat percentage (p = 0.012, d = 1.08) decreased following the intervention. HRmax tended to be lower at higher simulated altitudes. Conclusions: A five-week progressive ETM-HIIT protocol efficiently induced hematological and body-composition adaptations associated with improved oxygen transport and metabolic efficiency in recreationally active men. These findings support ETM-based training as an accessible strategy for enhancing physiological efficiency in endurance-oriented kinesiology practice, warranting confirmation in larger randomized controlled studies. Full article
Show Figures

Figure 1

12 pages, 521 KB  
Article
Single-Particle ICP-MS Method for the Determination of TiO2 Nano- and Submicrometric Particles in Biological Tissues
by Francesca Sebastiani, Francesca Tombolini, Fabio Boccuni, Claudio Natale, Silvia Canepari and Riccardo Ferrante
Analytica 2026, 7(1), 9; https://doi.org/10.3390/analytica7010009 - 19 Jan 2026
Viewed by 147
Abstract
Titanium dioxide (TiO2) nano- and submicrometric particles’ widespread use in different sectors raised concerns about human and environmental exposure. The validation of analytical methods is essential to ensure reliability in risk assessment studies. In this study, a single-particle inductively coupled plasma [...] Read more.
Titanium dioxide (TiO2) nano- and submicrometric particles’ widespread use in different sectors raised concerns about human and environmental exposure. The validation of analytical methods is essential to ensure reliability in risk assessment studies. In this study, a single-particle inductively coupled plasma mass spectrometry (spICP-MS) method was validated for the detection, quantification, and dimensional characterization of TiO2 particles in biological tissues. Tissue samples collected after exposure to TiO2 particles underwent mild acidic digestion using a HNO3/H2O2 mixture to achieve complete matrix decomposition while preserving particle integrity. The resulting digests were analyzed by ICP-MS operated in single-particle mode to quantify and size TiO2 particles. Method validation was conducted according to ISO/IEC 17025:2017 and included linearity, repeatability, recovery, and detection limit assessments. The limit of detection for TiO2 particles was 0.04 µg/g, and 55.7 nm was the size the detection limit. Repeatability was within 0.5–11.5% for both TiO2 mass concentrations and particle size determination. The validated method was applied to tissues from inhalation-exposed subjects, showing TiO2 levels of 80 ± 20 µg TiO2/g and particle number concentrations of 5.0 × 105 ± 1.2 × 105 part. TiO2/mg. Detected TiO2 particles’ mean diameter ranged from 230 to 330 nm. The developed and validated spICP-MS method provides robust and sensitive quantification of TiO2 particles in biological matrices, supporting its use in human biomonitoring and exposure assessment studies. Full article
Show Figures

Graphical abstract

16 pages, 4050 KB  
Article
Performance of CuTiO3 Photocatalytic Oxidation for Treating Organic Peroxide Production Wastewater Under Visible Light
by Zichun Yan, Hongfu Li, Hao Yang and Shuo Li
Sustainability 2026, 18(2), 983; https://doi.org/10.3390/su18020983 - 18 Jan 2026
Viewed by 159
Abstract
To investigate the treatment performance of a CuTiO3 photocatalytic system for organic peroxide production wastewater under visible light, CuTiO3 powder prepared through the hydrothermal method was used for this experiment. The light absorption properties of the CuTiO3 catalyst were analyzed [...] Read more.
To investigate the treatment performance of a CuTiO3 photocatalytic system for organic peroxide production wastewater under visible light, CuTiO3 powder prepared through the hydrothermal method was used for this experiment. The light absorption properties of the CuTiO3 catalyst were analyzed using Uv-Vis diffuse reflectance spectroscopy (Uv-Vis DRS). The effects of the initial pH, photocatalyst dosage, light intensity, and reaction duration on the photocatalytic reaction were examined. Before and after the reaction, the changes in pollutant components in water were characterized via three-dimensional excitation–emission matrix fluorescence spectrometry (3D-EEM) and gas chromatography–mass spectrometry (GC-MS); the changes in the concentrations of some pollutants were analyzed via wavelength scanning. The results indicated that CuTiO3 has a good response to visible light. Under the optimized conditions (initial pH = 5, CuTiO3 dosage = 1.2 g/L, light intensity = 1300 W/m2, duration = 4 h), the COD removal rate reached 58%, and the B/C (BOD5/COD) ratio of wastewater increased from 0.112 to 0.221, demonstrating a good pretreatment effect. GC-MS analysis demonstrated significant degradation effects on amide and hydride substances. Radical capture experiments verified hydroxyl radicals as the dominant species in CuTiO3 photocatalysis. Visible-light photocatalysis using CuTiO3 provides an efficient pretreatment pathway for organic peroxide production wastewater. Full article
Show Figures

Figure 1

26 pages, 5228 KB  
Article
Numerical Investigation of Heat Transfer and Flow Characteristics of Nano-Organic Working Fluid in a Smooth Tube
by Shilong Tian, Yinfang Jiang, Yuzhe Wu, Zhinan Liu, Hongyan Shang, Xingxing Wang and Yongqiang Feng
Energies 2026, 19(2), 469; https://doi.org/10.3390/en19020469 - 17 Jan 2026
Viewed by 192
Abstract
The heat transfer and flow characteristics of TiO2/R123 nano-organic working fluid are investigated and compared with that of R123. A three-dimensional numerical model of the smooth circular tube with a diameter of 10 mm and a length of 1 m is [...] Read more.
The heat transfer and flow characteristics of TiO2/R123 nano-organic working fluid are investigated and compared with that of R123. A three-dimensional numerical model of the smooth circular tube with a diameter of 10 mm and a length of 1 m is established, and the thermodynamic properties of the nano-organic working fluids are rectified with the volume of fluid model. The grid independence validation is conducted, and the simulation results from three models (the k-ε model, the realizable k-ε model, and the Reynolds Stress Model) are evaluated against experimental data. When using the TiO2/R123 nano-organic working fluid, the error between the simulation and experimental results is 6.1%. The flow field distribution is examined, and the effect of mass flux on heat transfer coefficient and pressure drop is discussed. Results demonstrated that the inclusion of TiO2 nanoparticles significantly enhances heat transfer performance. At a 0.1 wt% nanoparticle concentration, the heat transfer coefficient increases by 23.2%, reaching a range of 1430.11 to 2647.25 W/(m2·K), compared to pure R123. However, this improvement in heat transfer performance is accompanied by an increase in flow resistance, with the flow resistance coefficient rising from 0.0353 to 0.0571. Additionally, pressure drops increase by up to 18.7%. Full article
Show Figures

Figure 1

21 pages, 998 KB  
Article
Profiling the Aroma of Grape Spirits for Port Wine Using a Multi-Analytical GC Approach and Sensory Analysis
by Ilda Caldeira, Maria Loureiro, Nuno Martins, Sílvia Lourenço, Maria João Cabrita, Ricardo Silva, Sílvia M. Rocha and Fernando Alves
Appl. Sci. 2026, 16(2), 941; https://doi.org/10.3390/app16020941 - 16 Jan 2026
Viewed by 293
Abstract
Port wine production involves the addition of grape spirit to halt fermentation and retain natural sweetness. This spirit, produced by distilling wine and its by-products, must comply with legal standards, including a mandatory sensory assessment. Because grape spirit influences Port wine’s volatile composition, [...] Read more.
Port wine production involves the addition of grape spirit to halt fermentation and retain natural sweetness. This spirit, produced by distilling wine and its by-products, must comply with legal standards, including a mandatory sensory assessment. Because grape spirit influences Port wine’s volatile composition, this study investigated the odour-active compounds present in several grape spirits intended for fortification. Volatile compounds were extracted by liquid–liquid extraction, concentrated, and analysed using gas chromatography–olfactometry (GC-O) and gas chromatography–mass spectrometry (GC-MS). In GC-O, based on frequency detection, a panel of assessors sniffed the extracts to determine the presence of aroma compounds. The results revealed a wide range of odour-active compounds in grape spirits, belonging to several chemical families such as esters, alcohols, terpenic compounds and acids. These compounds exhibited both pleasant aromas, such as fruity, floral and caramel notes as well as undesirable ones like cheese and foot odour. Most of these compounds originate from the fermentation process and are also found in other unaged distilled beverages, including young Cognac, Calvados and fruit spirits. This research highlights the aromatic complexity of grape spirits and, for the first time, determined the aroma thresholds for 25 of 36 the compounds studied at an ethanol content of 20%. Full article
Show Figures

Figure 1

18 pages, 1617 KB  
Article
Adsorption of Methylene Blue on PVDF Membrane and PVDF/TiO2 Hybrid Membrane: Batch and Cross-Flow Filtration Studies
by Fengmei Shi, Boming Fan, Shuqi Ma, Hao Lv, Chao Lin, Jin Ma, Wei Jiang and Yuxin Ma
Polymers 2026, 18(2), 233; https://doi.org/10.3390/polym18020233 - 16 Jan 2026
Viewed by 161
Abstract
The adsorption of methylene blue (MB) on poly(vinylidene fluoride) (PVDF) and PVDF/titanium dioxide(TiO2) membranes with 1.5 wt% dosage was examined through batch adsorption and dynamic cross-flow filtration experiments. The effects of pH, temperature, and initial MB concentration on adsorption performance were [...] Read more.
The adsorption of methylene blue (MB) on poly(vinylidene fluoride) (PVDF) and PVDF/titanium dioxide(TiO2) membranes with 1.5 wt% dosage was examined through batch adsorption and dynamic cross-flow filtration experiments. The effects of pH, temperature, and initial MB concentration on adsorption performance were evaluated via batch experiments. The Thomas model was applied to analyze the membrane filtration process, while kinetic, isothermal, and thermodynamic models were integrated to elucidate the adsorption mechanisms. Results demonstrated that low temperature and high initial MB concentration significantly improved MB adsorption on both membranes. Under neutral pH conditions (pH = 7), the maximum adsorption capacities of PVDF and PVDF/TiO2 membranes reached 1.518 ± 0.025 mg/g and 0.189 ± 0.008 mg/g, respectively. The adsorption processes on both membranes conformed to the pseudo-second-order kinetic model, with optimal fitting to the Langmuir isotherm model. Thermodynamic analysis revealed physical adsorption mechanisms, as evidenced by adsorption free energy (E) calculated via the Dubinin–Radushrevich model Notably, PVDF membrane exhibited a more pronounced mass transfer zone height (hZ = 2.3 ± 0.1 cm) and achieved higher adsorption capacity (2.1 ± 0.09 mg/g) than PVDF/TiO2 membranes (0.25 ± 0.01 mg/g). The TiO2 incorporation reduced hybrid membrane adsorption capacity and significantly mitigated membrane fouling caused by adsorption, with PVDF/TiO2 membranes showing a 32 ± 2.5% lower flux decline rate than PVDF membranes with less MB into the pores. This study provides fundamental data supporting the combined application of “adsorption–subsequent oxidation” using PVDF-based membranes in dye wastewater treatment. Full article
(This article belongs to the Section Polymer Membranes and Films)
Show Figures

Figure 1

Back to TopTop