Impact of Different Groups of Active Substances for Fungal Control on Vineyard Soil Microbiota and Pesticide Residue Profiles
Abstract
1. Introduction
2. Materials and Methods
2.1. Location and Experimental Design
2.2. Soil Samplings
2.3. Pesticide Analysis
2.4. Microbial Population Analysis
2.5. Data Analysis
3. Results
3.1. Edaphoclimatic Characterization of the Vineyards
3.2. Pesticide Residues in Soil Samples
3.3. Microbial Communities in Soil
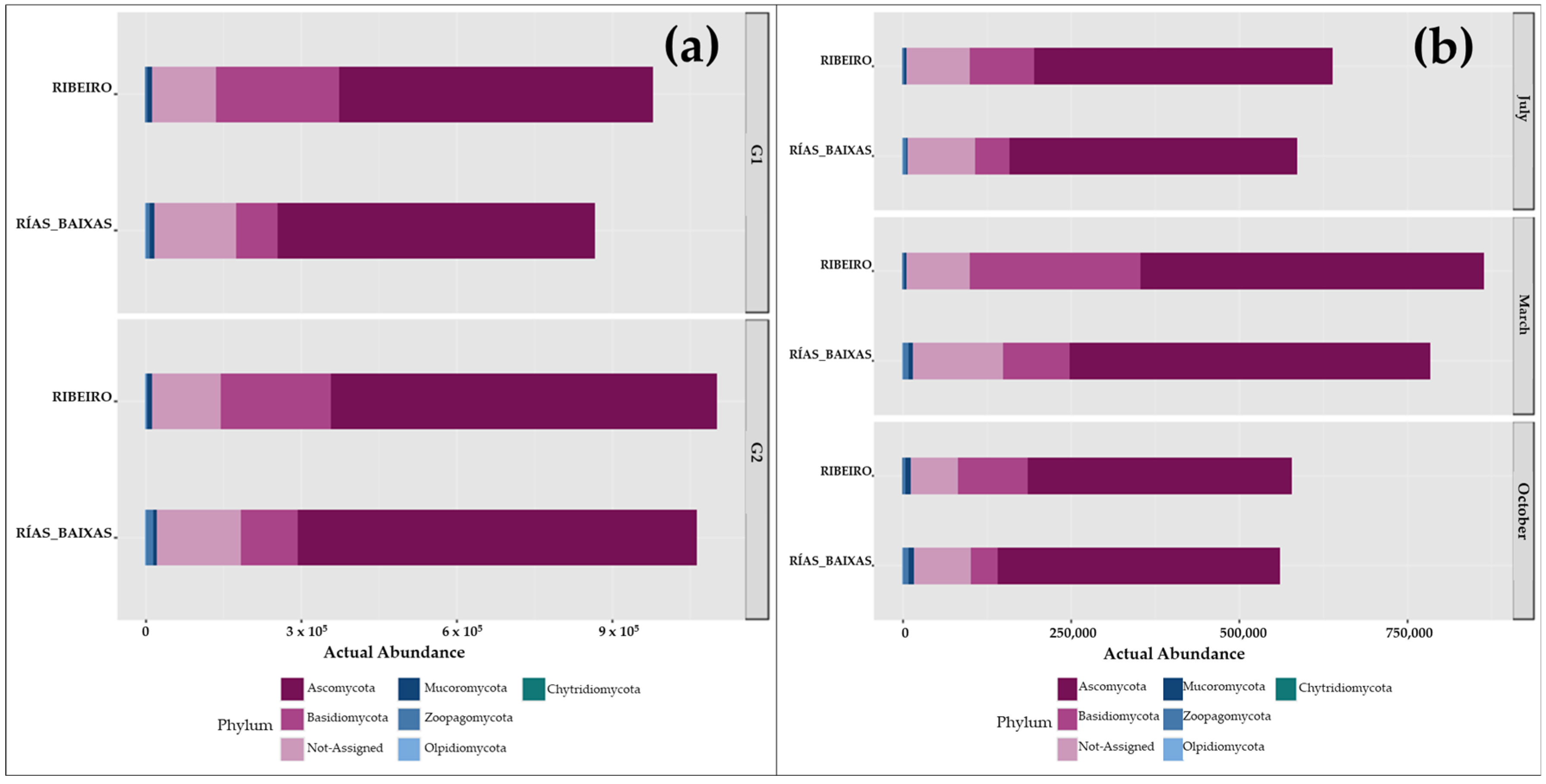
3.3.1. Fungal Communities
3.3.2. Bacterial Communities
4. Discussion
4.1. Differential Behavior of the Active Substances in Soil
4.2. Effect of Pesticides and Location on Soil Microbiome
4.2.1. Impact on Fungal Communities
4.2.2. Impact on Bacterial Communities
5. Conclusions
Supplementary Materials
Author Contributions
Funding
Institutional Review Board Statement
Data Availability Statement
Acknowledgments
Conflicts of Interest
Abbreviations
| AS | Active substance |
| D.O. | Denomination of origin |
| LC-MS/MS | Liquid Chromatography–tandem mass spectrometry |
| PPP | Plant protection products |
| PCoA | Principal coordinate analysis |
References
- Abhilash, P.C.; Singh, N. Pesticide Use and Application: An Indian Scenario. J. Hazard. Mater. 2009, 165, 1–12. [Google Scholar] [CrossRef] [PubMed]
- Rodríguez-Seijo, A.; Pérez-Rodríguez, P.; Arias-Estévez, M.; Gómez-Armesto, A.; Conde-Cid, M.; Santás-Miguel, V.; Campillo-Cora, C.; Ollio, I.; Lloret, E.; Martínez-Martínez, S.; et al. Occurrence, Persistence and Risk Assessment of Pesticide Residues in European Wheat Fields: A Continental Scale Approach. J. Hazard. Mater. 2025, 494, 138291. [Google Scholar] [CrossRef]
- Silva, V.; Mol, H.G.J.; Zomer, P.; Tienstra, M.; Ritsema, C.J.; Geissen, V. Pesticide Residues in European Agricultural Soils—A Hidden Reality Unfolded. Sci. Total Environ. 2019, 653, 1532–1545. [Google Scholar] [CrossRef]
- Vieira, D.C.S.; Yunta, F.; Baragaño, D.; Evrard, O.; Reiff, T.; Silva, V.; De La Torre, A.; Zhang, C.; Panagos, P.; Jones, A.; et al. Soil Pollution in the European Union—An Outlook. Environ. Sci. Policy 2024, 161, 103876. [Google Scholar] [CrossRef]
- Prăvălie, R.; Borrelli, P.; Panagos, P.; Ballabio, C.; Lugato, E.; Chappell, A.; Miguez-Macho, G.; Maggi, F.; Peng, J.; Niculiță, M.; et al. A Unifying Modelling of Multiple Land Degradation Pathways in Europe. Nat. Commun. 2024, 15, 3862. [Google Scholar] [CrossRef]
- Tang, F.H.M.; Maggi, F. Pesticide Mixtures in Soil: A Global Outlook. Environ. Res. Lett. 2021, 16, 044051. [Google Scholar] [CrossRef]
- McGinley, J.; Harmon O’Driscoll, J.; Healy, M.G.; Ryan, P.C.; Mellander, P.E.; Morrison, L.; Callery, O.; Siggins, A. An Assessment of Potential Pesticide Transmission, Considering the Combined Impact of Soil Texture and Pesticide Properties: A Meta-analysis. Soil Use Manag. 2022, 38, 1162–1171. [Google Scholar] [CrossRef] [PubMed]
- Rasool, S.; Rasool, T.; Gani, K.M. A Review of Interactions of Pesticides within Various Interfaces of Intrinsic and Organic Residue Amended Soil Environment. Chem. Eng. J. Adv. 2022, 11, 100301. [Google Scholar] [CrossRef]
- Wołejko, E.; Jabłońska-Trypuć, A.; Wydro, U.; Butarewicz, A.; Łozowicka, B. Soil Biological Activity as an Indicator of Soil Pollution with Pesticides—A Review. Appl. Soil Ecol. 2020, 147, 103356. [Google Scholar] [CrossRef]
- Arp, H.P.H.; Hale, S.E. Assessing the Persistence and Mobility of Organic Substances to Protect Freshwater Resources. ACS Environ. Au 2022, 2, 482–509. [Google Scholar] [CrossRef] [PubMed]
- Wang, X.; Chi, Y.; Song, S. Important Soil Microbiota’s Effects on Plants and Soils: A Comprehensive 30-Year Systematic Literature Review. Front. Microbiol. 2024, 15, 1347745. [Google Scholar] [CrossRef] [PubMed]
- Burns, K.N.; Kluepfel, D.A.; Strauss, S.L.; Bokulich, N.A.; Cantu, D.; Steenwerth, K.L. Vineyard Soil Bacterial Diversity and Composition Revealed by 16S rRNA Genes: Differentiation by Geographic Features. Soil Biol. Biochem. 2015, 91, 232–247. [Google Scholar] [CrossRef]
- Burns, K.N.; Bokulich, N.A.; Cantu, D.; Greenhut, R.F.; Kluepfel, D.A.; O’Geen, A.T.; Strauss, S.L.; Steenwerth, K.L. Vineyard Soil Bacterial Diversity and Composition Revealed by 16S rRNA Genes: Differentiation by Vineyard Management. Soil Biol. Biochem. 2016, 103, 337–348. [Google Scholar] [CrossRef]
- Mezzatesta, D.; Oyuela Aguilar, M.; Gobbi, A.; Pistorio, M.; Hansen, L.H.; Buscema, F.; Piccoli, P.; Berli, F. Soil-Associated Fungal and Prokaryotic Diversity Influenced by Stoniness, Depth and Vintage in a High-Altitude Vineyard. OENO One 2024, 58, 1–12. [Google Scholar] [CrossRef]
- Alengebawy, A.; Abdelkhalek, S.T.; Qureshi, S.R.; Wang, M.-Q. Heavy Metals and Pesticides Toxicity in Agricultural Soil and Plants: Ecological Risks and Human Health Implications. Toxics 2021, 9, 42. [Google Scholar] [CrossRef]
- Walder, F.; Schmid, M.W.; Riedo, J.; Valzano-Held, A.Y.; Banerjee, S.; Büchi, L.; Bucheli, T.D.; Van Der Heijden, M.G.A. Soil Microbiome Signatures Are Associated with Pesticide Residues in Arable Landscapes. Soil Biol. Biochem. 2022, 174, 108830. [Google Scholar] [CrossRef]
- Meidl, P.; Lehmann, A.; Bi, M.; Breitenreiter, C.; Benkrama, J.; Li, E.; Riedo, J.; Rillig, M.C. Combined Application of up to Ten Pesticides Decreases Key Soil Processes. Environ. Sci. Pollut. Res. 2024, 31, 11995–12004. [Google Scholar] [CrossRef]
- Beaumelle, L.; Tison, L.; Eisenhauer, N.; Hines, J.; Malladi, S.; Pelosi, C.; Thouvenot, L.; Phillips, H.R.P. Pesticide Effects on Soil Fauna Communities—A Meta-analysis. J. Appl. Ecol. 2023, 60, 1239–1253. [Google Scholar] [CrossRef]
- Charalampous, A.C.; Machera, K.; Miliadis, G.E.; Koupparis, M.A. The Spatial and Temporal Distribution/Variation of Pesticide Residues in Viotikos Kifissos Basin before and after the Application of a Low Input Crop Management System. A Three-Year Study. Int. J. Environ. Anal. Chem. 2015, 95, 1263–1282. [Google Scholar] [CrossRef]
- Pathak, V.M.; Verma, V.K.; Rawat, B.S.; Kaur, B.; Babu, N.; Sharma, A.; Dewali, S.; Yadav, M.; Kumari, R.; Singh, S.; et al. Current Status of Pesticide Effects on Environment, Human Health and It’s Eco-Friendly Management as Bioremediation: A Comprehensive Review. Front. Microbiol. 2022, 13, 962619. [Google Scholar] [CrossRef]
- Mark, J.; Fantke, P.; Soheilifard, F.; Alcon, F.; Contreras, J.; Abrantes, N.; Campos, I.; Baldi, I.; Bureau, M.; Alaoui, A.; et al. Selected Farm-Level Crop Protection Practices in Europe and Argentina: Opportunities for Moving toward Sustainable Use of Pesticides. J. Clean. Prod. 2024, 477, 143577. [Google Scholar] [CrossRef]
- González, M.; Sánchez, J.I.L.; Bravo, K.A.S.; Cabal, M.D.C.; Pérez-Santín, E. Review: Presence, Distribution and Current Pesticides Used in Spanish Agricultural Practices. Sci. Total Environ. 2022, 845, 157291. [Google Scholar] [CrossRef]
- Ni, B.; Xiao, L.; Lin, D.; Zhang, T.-L.; Zhang, Q.; Liu, Y.; Chen, Q.; Zhu, D.; Qian, H.; Rillig, M.C.; et al. Increasing Pesticide Diversity Impairs Soil Microbial Functions. Proc. Natl. Acad. Sci. USA 2025, 122, e2419917122. [Google Scholar] [CrossRef]
- Carrera, L.; Fernández-González, M.; Aira, M.J.; Espinosa, K.C.S.; Otero, R.P.; Rodríguez-Rajo, F.J. Airborne Plasmopara Viticola Sporangia: A Study of Vineyards in Two Bioclimatic Regions of Northwestern Spain. Horticulturae 2025, 11, 228. [Google Scholar] [CrossRef]
- Blanco-Ward, D.; Queijeiro, J.M.G.; Jones, G.V. Spatial Climate Variability and Viticulture in the Miño River Valley of Spain. Vitis 2007, 46, 63–70. [Google Scholar]
- PPDB—Pesticides Properties DataBase. Available online: https://sitem.herts.ac.uk/aeru/ppdb/ (accessed on 25 November 2025).
- Barmettler, E.; Van Der Heijden, M.G.A.; Rösch, A.; Egli-Künzler, L.; Dubuis, P.-H.; Mackie-Haas, K.A.; Lutz, S.; Bucheli, T.D. Double the Trouble: High Levels of Both Synthetic Pesticides and Copper in Vineyard Soils. Environ. Pollut. 2025, 375, 126356. [Google Scholar] [CrossRef] [PubMed]
- Castro, G.; Pérez-Mayán, L.; Rodríguez-Cabo, T.; Rodríguez, I.; Ramil, M.; Cela, R. Multianalyte, High-Throughput Liquid Chromatography Tandem Mass Spectrometry Method for the Sensitive Determination of Fungicides and Insecticides in Wine. Anal. Bioanal. Chem. 2018, 410, 1139–1150. [Google Scholar] [CrossRef]
- Parada, A.E.; Needham, D.M.; Fuhrman, J.A. Every Base Matters: Assessing Small Subunit rRNA Primers for Marine Microbiomes with Mock Communities, Time Series and Global Field Samples. Environ. Microbiol. 2016, 18, 1403–1414. [Google Scholar] [CrossRef] [PubMed]
- Apprill, A.; McNally, S.; Parsons, R.; Weber, L. Minor Revision to V4 Region SSU rRNA 806R Gene Primer Greatly Increases Detection of SAR11 Bacterioplankton. Aquat. Microb. Ecol. 2015, 75, 129–137. [Google Scholar] [CrossRef]
- Turenne, C.Y.; Sanche, S.E.; Hoban, D.J.; Karlowsky, J.A.; Kabani, A.M. Rapid Identification of Fungi by Using the ITS2 Genetic Region and an Automated Fluorescent Capillary Electrophoresis System. J. Clin. Microbiol. 1999, 37, 1846–1851. [Google Scholar] [CrossRef] [PubMed]
- White, T.J.; Bruns, T.; Lee, S.; Taylor, J. Amplification and Direct Sequencing of Fungal Ribosomal RNA Genes for Phylogenetics; Elsevier: Amsterdam, The Netherlands, 1990; pp. 315–322. [Google Scholar]
- Andrews, S. Babraham Bioinformatics—FastQC A Quality Control Tool for High Throughput Sequence Data. Available online: https://www.bioinformatics.babraham.ac.uk/projects/fastqc/ (accessed on 25 November 2025).
- Větrovský, T.; Baldrian, P.; Morais, D. SEED 2: A User-Friendly Platform for Amplicon High-Throughput Sequencing Data Analyses. Bioinformatics 2018, 34, 2292–2294. [Google Scholar] [CrossRef] [PubMed]
- Aronesty, E. Comparison of Sequencing Utility Programs. Open Bioinforma. J. 2013, 7, 1–8. [Google Scholar] [CrossRef]
- Bengtsson-Palme, J.; Ryberg, M.; Hartmann, M.; Branco, S.; Wang, Z.; Godhe, A.; De Wit, P.; Sánchez-García, M.; Ebersberger, I.; De Sousa, F.; et al. Improved Software Detection and Extraction of ITS1 and ITS 2 from Ribosomal ITS Sequences of Fungi and Other Eukaryotes for Analysis of Environmental Sequencing Data. Methods Ecol. Evol. 2013, 4, 914–919. [Google Scholar] [CrossRef]
- Blaxter, M.; Mann, J.; Chapman, T.; Thomas, F.; Whitton, C.; Floyd, R.; Abebe, E. Defining Operational Taxonomic Units Using DNA Barcode Data. Philos. Trans. R. Soc. B Biol. Sci. 2005, 360, 1935–1943. [Google Scholar] [CrossRef]
- Edgar, R.C. UPARSE: Highly Accurate OTU Sequences from Microbial Amplicon Reads. Nat. Methods 2013, 10, 996–998. [Google Scholar] [CrossRef]
- Nilsson, R.H.; Larsson, K.-H.; Taylor, A.F.S.; Bengtsson-Palme, J.; Jeppesen, T.S.; Schigel, D.; Kennedy, P.; Picard, K.; Glöckner, F.O.; Tedersoo, L.; et al. The UNITE Database for Molecular Identification of Fungi: Handling Dark Taxa and Parallel Taxonomic Classifications. Nucleic Acids Res. 2019, 47, D259–D264. [Google Scholar] [CrossRef]
- Baldrian, P.; Větrovský, T.; Lepinay, C.; Kohout, P. High-Throughput Sequencing View on the Magnitude of Global Fungal Diversity. Fungal Divers. 2022, 114, 539–547. [Google Scholar] [CrossRef]
- Tedersoo, L.; Bahram, M.; Põlme, S.; Kõljalg, U.; Yorou, N.S.; Wijesundera, R.; Ruiz, L.V.; Vasco-Palacios, A.M.; Thu, P.Q.; Suija, A.; et al. Global Diversity and Geography of Soil Fungi. Science 2014, 346, 1256688. [Google Scholar] [CrossRef] [PubMed]
- Fernández-Calviño, D.; Nóvoa-Muñoz, J.C.; Díaz-Raviña, M.; Arias-Estévez, M. Copper Accumulation and Fractionation in Vineyard Soils from Temperate Humid Zone (NW Iberian Peninsula). Geoderma 2009, 153, 119–129. [Google Scholar] [CrossRef]
- Fernández-Calviño, D.; Martín, A.; Arias-Estévez, M.; Bååth, E.; Díaz-Raviña, M. Microbial Community Structure of Vineyard Soils with Different pH and Copper Content. Appl. Soil Ecol. 2010, 46, 276–282. [Google Scholar] [CrossRef]
- Fernández-Fernández, V.; Ramil, M.; Blanco, P.; Andradres, M.S.; Rodríguez, I. Pesticides in Wines from Two Major Production Regions in the North of Spain. J. Food Compos. Anal. 2025, 142, 107525. [Google Scholar] [CrossRef]
- Pérez-Mayán, L.; Ramil, M.; Cela, R.; Rodríguez, I. Multiresidue Procedure to Assess the Occurrence and Dissipation of Fungicides and Insecticides in Vineyard Soils from Northwest Spain. Chemosphere 2020, 261, 127696. [Google Scholar] [CrossRef]
- Hildebrandt, A.; Guillamón, M.; Lacorte, S.; Tauler, R.; Barceló, D. Impact of Pesticides Used in Agriculture and Vineyards to Surface and Groundwater Quality (North Spain). Water Res. 2008, 42, 3315–3326. [Google Scholar] [CrossRef]
- Manjarres-López, D.P.; Andrades, M.S.; Sánchez-González, S.; Rodríguez-Cruz, M.S.; Sánchez-Martín, M.J.; Herrero-Hernández, E. Assessment of Pesticide Residues in Waters and Soils of a Vineyard Region and Its Temporal Evolution. Environ. Pollut. 2021, 284, 117463. [Google Scholar] [CrossRef]
- Zambito Marsala, R.; Capri, E.; Russo, E.; Bisagni, M.; Colla, R.; Lucini, L.; Gallo, A.; Suciu, N.A. First Evaluation of Pesticides Occurrence in Groundwater of Tidone Valley, an Area with Intensive Viticulture. Sci. Total Environ. 2020, 736, 139730. [Google Scholar] [CrossRef]
- Herrero-Hernández, E.; Andrades, M.S.; Álvarez-Martín, A.; Pose-Juan, E.; Rodríguez-Cruz, M.S.; Sánchez-Martín, M.J. Occurrence of Pesticides and Some of Their Degradation Products in Waters in a Spanish Wine Region. J. Hydrol. 2013, 486, 234–245. [Google Scholar] [CrossRef]
- Monkiedje, A.; Spiteller, M. Degradation of Metalaxyl and Mefenoxam and Effects on the Microbiological Properties of Tropical and Temperate Soils. Int. J. Environ. Res. Public Health 2005, 2, 272–285. [Google Scholar] [CrossRef]
- Martín-García, B.; Longo, E.; Ceci, A.T.; Pii, Y.; Romero-González, R.; Garrido Frenich, A.; Boselli, E. Pesticides and Winemaking: A Comprehensive Review of Conventional and Emerging Approaches. Compr. Rev. Food Sci. Food Saf. 2024, 23, e13419. [Google Scholar] [CrossRef] [PubMed]
- Oyuela Aguilar, M.; Gobbi, A.; Browne, P.D.; Ellegaard-Jensen, L.; Hansen, L.H.; Semorile, L.; Pistorio, M. Influence of Vintage, Geographic Location and Cultivar on the Structure of Microbial Communities Associated with the Grapevine Rhizosphere in Vineyards of San Juan Province, Argentina. PLoS ONE 2020, 15, e0243848. [Google Scholar] [CrossRef] [PubMed]
- Iorizzo, M.; Bagnoli, D.; Vergalito, F.; Testa, B.; Tremonte, P.; Succi, M.; Pannella, G.; Letizia, F.; Albanese, G.; Lombardi, S.J.; et al. Diversity of Fungal Communities on Cabernet and Aglianico Grapes from Vineyards Located in Southern Italy. Front. Microbiol. 2024, 15, 1399968. [Google Scholar] [CrossRef]
- Spatafora, J.W.; Chang, Y.; Benny, G.L.; Lazarus, K.; Smith, M.E.; Berbee, M.L.; Bonito, G.; Corradi, N.; Grigoriev, I.; Gryganskyi, A.; et al. A Phylum-Level Phylogenetic Classification of Zygomycete Fungi Based on Genome-Scale Data. Mycologia 2016, 108, 1028–1046. [Google Scholar] [CrossRef]
- Gobbi, A.; Acedo, A.; Imam, N.; Santini, R.G.; Ortiz-Álvarez, R.; Ellegaard-Jensen, L.; Belda, I.; Hansen, L.H. A Global Microbiome Survey of Vineyard Soils Highlights the Microbial Dimension of Viticultural Terroirs. Commun. Biol. 2022, 5, 241. [Google Scholar] [CrossRef]
- Li, Y.; Li, X.; Zhang, W.; Zhang, J.; Wang, H.; Peng, J.; Wang, X.; Yan, J. Belowground Microbiota Analysis Indicates That Fusarium spp. Exacerbate Grapevine Trunk Disease. Environ. Microbiome 2023, 18, 29. [Google Scholar] [CrossRef] [PubMed]
- Liang, L.; Li, S.; Li, K.; Zhang, X.; Yang, L.; Guo, H. Analysis of Soil Nutrients and Microbial Community Characteristics in Rainfed Rice–Potato Cropping Systems. Agronomy 2025, 15, 2500. [Google Scholar] [CrossRef]
- Das, S.; Rabha, J.; Narzary, D. Assessment of Soil Yeasts Papiliotrema Laurentii S-08 and Saitozyma Podzolica S-77 for Plant Growth Promotion and Biocontrol of Fusarium Wilt of Brinjal. J. Appl. Microbiol. 2023, 134, lxad252. [Google Scholar] [CrossRef]
- Hernandez, M.M.; Menéndez, C.M. Influence of Seasonality and Management Practices on Diversity and Composition of Fungal Communities in Vineyard Soils. Appl. Soil Ecol. 2019, 135, 113–119. [Google Scholar] [CrossRef]
- Torcato, C.; Gonçalves, M.F.M.; Rodríguez-Gálvez, E.; Alves, A. Clonostachys Viticola Sp. Nov., a Novel Species Isolated from Vitis Vinifera. Int. J. Syst. Evol. Microbiol. 2020, 70, 4321–4328. [Google Scholar] [CrossRef]
- Esteves, M.; Lage, P.; Sousa, J.; Centeno, F.; De Fátima Teixeira, M.; Tenreiro, R.; Mendes-Ferreira, A. Biocontrol Potential of Wine Yeasts against Four Grape Phytopathogenic Fungi Disclosed by Time-Course Monitoring of Inhibitory Activities. Front. Microbiol. 2023, 14, 1146065. [Google Scholar] [CrossRef]
- Kumar, M.; Yadav, A.N.; Saxena, R.; Paul, D.; Tomar, R.S. Biodiversity of Pesticides Degrading Microbial Communities and Their Environmental Impact. Biocatal. Agric. Biotechnol. 2021, 31, 101883. [Google Scholar] [CrossRef]
- Nasr, S.H.; Mousa, A.S.M.; Yasser, M.M.; Marzouk, M.A. Antagonistic Potential of Some Phosphate Solubilizing Fungi against Some Phyto-Pathogenic Fungi. Beni-Suef Univ. J. Basic Appl. Sci. 2021, 10, 70. [Google Scholar] [CrossRef]
- Rigobelo, E.C.; Nicodemo, D.; Babalola, O.O.; Desoignies, N. Purpureocillium lilacinum as an Agent of Nematode Control and Plant Growth-Promoting Fungi. Agronomy 2024, 14, 1225. [Google Scholar] [CrossRef]
- Spinelli, V.; Ceci, A.; Dal Bosco, C.; Gentili, A.; Persiani, A.M. Glyphosate-Eating Fungi: Study on Fungal Saprotrophic Strains’ Ability to Tolerate and Utilise Glyphosate as a Nutritional Source and on the Ability of Purpureocillium lilacinum to Degrade It. Microorganisms 2021, 9, 2179. [Google Scholar] [CrossRef]
- Szpyrka, E.; Podbielska, M.; Zwolak, A.; Piechowicz, B.; Siebielec, G.; Słowik-Borowiec, M. Influence of a Commercial Biological Fungicide Containing Trichoderma Harzianum Rifai T-22 on Dissipation Kinetics and Degradation of Five Herbicides in Two Types of Soil. Molecules 2020, 25, 1391. [Google Scholar] [CrossRef] [PubMed]
- Uzman, D.; Pliester, J.; Leyer, I.; Entling, M.H.; Reineke, A. Drivers of Entomopathogenic Fungi Presence in Organic and Conventional Vineyard Soils. Appl. Soil Ecol. 2019, 133, 89–97. [Google Scholar] [CrossRef]
- Berlanas, C.; Ojeda, S.; López-Manzanares, B.; Andrés-Sodupe, M.; Bujanda, R.; Del Pilar Martínez-Diz, M.; Díaz-Losada, E.; Gramaje, D. Occurrence and Diversity of Black-Foot Disease Fungi in Symptomless Grapevine Nursery Stock in Spain. Plant Dis. 2020, 104, 94–104. [Google Scholar] [CrossRef] [PubMed]
- Fracchia, S.; Godeas, A.; Scervino, J.M.; Sampedro, I.; Ocampo, J.A.; García-Romera, I. Interaction between the Soil Yeast Rhodotorula Mucilaginosa and the Arbuscular Mycorrhizal Fungi Glomus Mosseae and Gigaspora Rosea. Soil Biol. Biochem. 2003, 35, 701–707. [Google Scholar] [CrossRef]
- Raimondo, M.L.; Carlucci, A. Characterization and Pathogenicity of Plectosphaerella Spp. Collected from Basil and Parsley in Italy. Phytopathol. Mediterr. 2018, 57, 284–295. [Google Scholar] [CrossRef]
- Riccioni, C.; Belfiori, B.; Cenci, M.; Rubini, A. Exploring Endophytic Fungi from Humulus lupulus L. for Biocontrol of Phytopathogenic Fungi. Diversity 2025, 17, 94. [Google Scholar] [CrossRef]
- Morugán-Coronado, A.; Pérez-Rodríguez, P.; Insolia, E.; Soto-Gómez, D.; Fernández-Calviño, D.; Zornoza, R. The Impact of Crop Diversification, Tillage and Fertilization Type on Soil Total Microbial, Fungal and Bacterial Abundance: A Worldwide Meta-Analysis of Agricultural Sites. Agric. Ecosyst. Environ. 2022, 329, 107867. [Google Scholar] [CrossRef]
- Malla, M.A.; Dubey, A.; Kumar, A.; Yadav, S. Metagenomic Analysis Displays the Potential Predictive Biodegradation Pathways of the Persistent Pesticides in Agricultural Soil with a Long Record of Pesticide Usage. Microbiol. Res. 2022, 261, 127081. [Google Scholar] [CrossRef]
- Miralles, I.; Ortega, R.; Montero-Calasanz, M.D.C. Functional and Biotechnological Potential of Microbiome Associated with Soils Colonised by Cyanobacteria in Drylands. Appl. Soil Ecol. 2023, 192, 105076. [Google Scholar] [CrossRef]
- Mdaini, M.; Lloret, E.; Brahim, N.; Shimi, N.; Zornoza, R. Soil Bacterial and Fungal Community Composition in Top- and Subsoil From Irrigated Mediterranean Orchards. Span. J. Soil Sci. 2025, 15, 14537. [Google Scholar] [CrossRef]
- Novara, A.; Catania, V.; Tolone, M.; Gristina, L.; Laudicina, V.A.; Quatrini, P. Cover Crop Impact on Soil Organic Carbon, Nitrogen Dynamics and Microbial Diversity in a Mediterranean Semiarid Vineyard. Sustainability 2020, 12, 3256. [Google Scholar] [CrossRef]
- Mohammadipanah, F.; Wink, J. Actinobacteria from Arid and Desert Habitats: Diversity and Biological Activity. Front. Microbiol. 2016, 6, 1541. [Google Scholar] [CrossRef]
- Sharma, R.; Kumar, D.; Kapoor, N.; Ohri, P. Insights into the Biodiversity, Mechanisms and Plant Growth Promoting Effects of Bradyrhizobium and Their Potential in Sustainable Agriculture. Pedosphere 2025. [Google Scholar] [CrossRef]
- Blanco, P.; Rodríguez, I.; Fernández-Fernández, V.; Ramil, M.; Castrillo, D.; Acín-Albiac, M.; Adamo, I.; Fernández-Trujillo, C.; García-Jiménez, B.; Acedo, A.; et al. Physicochemical Properties and Microbiome of Vineyard Soils from DOP Ribeiro (NW Spain) Are Influenced by Agricultural Management. Microorganisms 2024, 12, 595. [Google Scholar] [CrossRef]
- Nanetti, E.; Palladino, G.; Scicchitano, D.; Trapella, G.; Cinti, N.; Fabbrini, M.; Cozzi, A.; Accetta, G.; Tassini, C.; Iannaccone, L.; et al. Composition and Biodiversity of Soil and Root-Associated Microbiome in Vitis Vinifera Cultivar Lambrusco Distinguish the Microbial Terroir of the Lambrusco DOC Protected Designation of Origin Area on a Local Scale. Front. Microbiol. 2023, 14, 1108036. [Google Scholar] [CrossRef] [PubMed]
- Ma, Y.; Wang, J.; Liu, Y.; Wang, X.; Zhang, B.; Zhang, W.; Chen, T.; Liu, G.; Xue, L.; Cui, X. Nocardioides: “Specialists” for Hard-to-Degrade Pollutants in the Environment. Molecules 2023, 28, 7433. [Google Scholar] [CrossRef]
- Wei, R.; Chen, N.; Ding, Y.; Wang, L.; Gao, F.; Zhang, L.; Liu, Y.; Li, H.; Wang, H. Diversity and Dynamics of Epidermal Microbes During Grape Development of Cabernet Sauvignon (Vitis vinifera L.) in the Ecological Viticulture Model in Wuhai, China. Front. Microbiol. 2022, 13, 935647. [Google Scholar] [CrossRef]
- Rivas, G.A.; Semorile, L.; Delfederico, L. Microbial Diversity of the Soil, Rhizosphere and Wine from an Emerging Wine-Producing Region of Argentina. LWT 2022, 153, 112429. [Google Scholar] [CrossRef]
- Sorouri, B.; Scales, N.C.; Gaut, B.S.; Allison, S.D. Sphingomonas Clade and Functional Distribution with Simulated Climate Change. Microbiol. Spectr. 2024, 12, e00236-24. [Google Scholar] [CrossRef] [PubMed]














| Group | Active Substance | Family | Mode of Action | DT 50 (Field) | Koc (mL g−1) | Solubility in Water at 20 °C (mg/L) | Gus Index |
|---|---|---|---|---|---|---|---|
| G1 | Amisulbrom | Triazole-Sulfonamide | Qil (Quinone inside inhibitor) action. Respiration inhibitor. | 8.6 | 284 | 0.11 | −0.21 |
| Non-persistent | Moderately mobile | Low | Low | ||||
| Azoxystrobin | Strobilurin | Respiration inhibitor (QoL fungicide) | 180.7 | 589 | 6.7 | 3.10 | |
| Persistent | Slightly mobile | Low | High | ||||
| Difenoconazole | Conazole | Disrupts membrane function. Inhibition of demethylation during ergosterol synthesis. | 91.8 | - | 15.0 | 0.89 | |
| Moderately persistent | Moderate | Low | |||||
| Fenhexamid | Anilide | Disrupts membrane function, inhibits spore germination. | - | 475 | 24.0 | −0.42 | |
| Slightly mobile | Moderate | Low | |||||
| Iprovalicarb | Carbamate | Cellulose synthesis inhibitor. | 15.5 | 106 | 17.8 | 2.35 | |
| Non-persistent | Moderately mobile | Moderate | Transition state | ||||
| Metalaxyl-M | Anilide-acyloamino acid | Disrupts fungal nucleic acid synthesis-RNA polymerase 1. | 14.1 | - | 26,000 | 2.64 | |
| Non-persistent | High | Transition state | |||||
| G2 | Ametoctradin | Triazolopyrimidine | Mitochondrial respiration inhibitor by interfering with complex III | 19.7 | 7713 | 0.15 | 0.55 |
| Non-persistent | Non-mobile | Low | Low | ||||
| Benalaxyl-M | Acylalanine | Disrupts fungal nucleic acid synthesis-RNA polymerase 1 | 44.0 | 7175 | 33 | 0.36 | |
| Moderately persistent | Non-mobile | Moderate | Low | ||||
| Fenpyrazamine | Pyrazole | Sterol biosynthesis inhibitor. Inhibits germ tube and mycelium elongation. | 20.5 | - | 20.4 | 1.98 | |
| Non-persistent | Moderate | Transition state | |||||
| Krexosim-methyl | Strobilurin | Binds to Qo site, blocking electron transfer and respiration in the fungi | 1.0 | - | 2.0 | 0.00 | |
| Non-persistent | Low | Low | |||||
| Mandipropamide | Amide | Cellulose synthesis inhibitor. | 13.6 | - | 4.2 | 1.22 | |
| Non-persistent | Low | Low | |||||
| Metrafenone | Benzophenone | Interferes with hyphal morphogenesis. | 62.0 | 7061 | 0.492 | 0.91 | |
| Moderately persistent | Non-mobile | Low | Low | ||||
| Pyraclostrobin | Strobilurin | Respiration inhibitor (QoL fungicide). | 33.3 | 9304 | 1.9 | 0.08 | |
| Moderately persistent | Non-mobile | Low | Low | ||||
| Zoxamide | Benzamide | Inhibition of mitosis and cell division (Beta-tubulin assembly in mitosis) | 6.0 | 1224 | 0.681 | 0.71 | |
| Non-persistent | Slightly mobile | Low | Low |
| Parameter | Ribeiro | Rías Baixas |
|---|---|---|
| Clay (%) | 16.1 | 7.1 |
| Silt (%) | 22.2 | 14.6 |
| Sand (%) | 61.7 | 78.3 |
| USDA classification | Sandy-loam | Sandy-loam |
| pH (water) | 5.4 | 6.7 |
| Organic matter (%) | 3.29 | 4.54 |
| Total carbon (%) | 1.10 | 2.10 |
| Total nitrogen (%) | <0.15 | 0.16 |
| C/N ratio | 11.7 | 13.5 |
| Available phosphorus (mg kg−1 DM) | 25 | 43 |
| Available potassium (mg kg−1 DM) | 288 | 173 |
| Available magnesium (cmol (+)/kg) | 1.17 | 0.69 |
| Available calcium (cmol (+)/kg) | 4.18 | 5.51 |
| Cation exchange capacity (cmol (+)/Kg) | 6.64 | 6.71 |
| D.O. | Campaign | Month | Depth | AS Group | Amisulbrom | Azoxystrobin | Difenoconazole | Fenhexamid | Iprovalicarb | Metalaxyl-M | CGA62826 | Total G1 | AS Group | Ametoctradin | Benalaxyl-M | Fenpirazamine | Krexosim-Methyl | Mandipropamide | Metrafenone | Pyraclostrobin | Zoxamide | TOTAL G2 |
|---|---|---|---|---|---|---|---|---|---|---|---|---|---|---|---|---|---|---|---|---|---|---|
| Ribeiro | 2023–2024 | July | upper | G1 | 7.3 | 354.4 | 72.3 | 377.5 | 10.4 | 3.4 | 825.3 | G2 | 255.9 | 3.7 | 39.6 | 56.7 | 69.3 | 9.2 | 5.1 | 439.6 | ||
| October | upper | 47.8 | 2.3 | 1.3 | 1.6 | 1.5 | 54.5 | 4.1 | 5.1 | 2.0 | 13.1 | 24.3 | ||||||||||
| March | upper | 83.1 | 3.6 | 4.8 | 6.4 | 97.8 | 4.5 | 4.0 | 5.3 | 23.0 | 36.7 | |||||||||||
| July | lower | 5.5 | 211.7 | 32.0 | 237.3 | 8.5 | 2.6 | 497.5 | 149.9 | 2.1 | 23.3 | 23.0 | 34.8 | 2.9 | 2.5 | 238.5 | ||||||
| October | lower | 8.8 | 1.1 | 1.0 | 1.4 | 12.3 | 2.0 | 3.8 | 5.8 | |||||||||||||
| March | lower | 11.6 | 5.2 | 16.8 | 2.5 | 2.5 | ||||||||||||||||
| 2024–2025 | July | upper | 175.7 | 4.9 | 7.1 | 49.6 | 14.2 | 251.5 | 22.9 | 4.7 | 26.0 | 26.2 | 46.7 | 24.8 | 5.4 | 156.7 | ||||||
| October | upper | 39.3 | 1.9 | 2.6 | 6.9 | 50.7 | 2.5 | 2.5 | ||||||||||||||
| March | upper | 32.6 | 1.3 | 0.9 | 1.3 | 36.1 | 4.2 | 4.2 | ||||||||||||||
| July | lower | 33.5 | 6.5 | 40.0 | 3.1 | 5.8 | 4.3 | 13.1 | ||||||||||||||
| October | lower | 4.9 | 6.2 | 11.1 | ||||||||||||||||||
| March | lower | 2.0 | 2.0 | |||||||||||||||||||
| Rías Baixas | 2023–2024 | July | upper | 136.9 | 7.3 | 29.0 | 8.1 | 9.3 | 190.7 | 37.6 | 4.5 | 50.3 | 25.1 | 37.0 | 2.8 | 4.0 | 161.3 | |||||
| October | upper | 43.7 | 2.5 | 2.4 | 2.0 | 1.4 | 52.1 | 3.2 | 3.0 | 29.1 | 14.5 | 43.0 | 2.5 | 95.3 | ||||||||
| March | upper | 112.2 | 5.5 | 2.5 | 4.0 | 4.0 | 128.3 | 2.0 | 2.8 | 12.2 | 5.1 | 44.6 | 66.5 | |||||||||
| July | lower | 68.9 | 13.9 | 3.6 | 5.3 | 91.6 | 46.2 | 2.0 | 22.0 | 20.8 | 42.6 | 2.2 | 135.8 | |||||||||
| October | lower | 17.0 | 1.0 | 1.0 | 1.0 | 20.0 | 1.3 | 13.9 | 5.3 | 17.3 | 37.8 | |||||||||||
| March | lower | 56.3 | 4.3 | 2.5 | 2.4 | 4.0 | 69.5 | 2.1 | 6.1 | 2.0 | 16.7 | 26.8 | ||||||||||
| 2024–2025 | July | upper | 321.6 | 12.6 | 12.0 | 4.0 | 8.3 | 358.5 | 2.9 | 16.4 | 81.4 | 29.8 | 130.5 | |||||||||
| October | upper | 151.5 | 6.3 | 4.0 | 3.4 | 165.2 | 40.4 | 7.2 | 46.7 | 94.3 | ||||||||||||
| March | upper | 214.7 | 8.8 | 4.5 | 3.3 | 2.5 | 233.8 | 2.0 | 2.6 | 7.3 | 10.8 | 37.0 | 59.7 | |||||||||
| July | lower | 147.5 | 6.5 | 7.3 | 161.3 | 12.8 | 8.1 | 19.5 | 40.4 | |||||||||||||
| October | lower | 42.3 | 2.6 | 44.9 | 12.7 | 3.7 | 13.6 | 30.0 | ||||||||||||||
| March | lower | 72.5 | 3.4 | 2.5 | 1.8 | 1.7 | 81.8 | 4.4 | 4.6 | 15.5 | 24.5 |
Disclaimer/Publisher’s Note: The statements, opinions and data contained in all publications are solely those of the individual author(s) and contributor(s) and not of MDPI and/or the editor(s). MDPI and/or the editor(s) disclaim responsibility for any injury to people or property resulting from any ideas, methods, instructions or products referred to in the content. |
© 2026 by the authors. Licensee MDPI, Basel, Switzerland. This article is an open access article distributed under the terms and conditions of the Creative Commons Attribution (CC BY) license.
Share and Cite
Loureiro-Rodríguez, M.D.; Graña-Caneiro, M.J.; Vázquez-Arias, A.; Abarquero, E.; Rodríguez, I.; Fernández-Fernández, V.; Ramil, M.; Štůsková, K.; Frejlichová, L.; Rodríguez-Cruz, M.S.; et al. Impact of Different Groups of Active Substances for Fungal Control on Vineyard Soil Microbiota and Pesticide Residue Profiles. Agriculture 2026, 16, 344. https://doi.org/10.3390/agriculture16030344
Loureiro-Rodríguez MD, Graña-Caneiro MJ, Vázquez-Arias A, Abarquero E, Rodríguez I, Fernández-Fernández V, Ramil M, Štůsková K, Frejlichová L, Rodríguez-Cruz MS, et al. Impact of Different Groups of Active Substances for Fungal Control on Vineyard Soil Microbiota and Pesticide Residue Profiles. Agriculture. 2026; 16(3):344. https://doi.org/10.3390/agriculture16030344
Chicago/Turabian StyleLoureiro-Rodríguez, M. Dolores, M. José Graña-Caneiro, Anxo Vázquez-Arias, Ester Abarquero, Isaac Rodríguez, Victoria Fernández-Fernández, María Ramil, Katerina Štůsková, Lucie Frejlichová, M. Sonia Rodríguez-Cruz, and et al. 2026. "Impact of Different Groups of Active Substances for Fungal Control on Vineyard Soil Microbiota and Pesticide Residue Profiles" Agriculture 16, no. 3: 344. https://doi.org/10.3390/agriculture16030344
APA StyleLoureiro-Rodríguez, M. D., Graña-Caneiro, M. J., Vázquez-Arias, A., Abarquero, E., Rodríguez, I., Fernández-Fernández, V., Ramil, M., Štůsková, K., Frejlichová, L., Rodríguez-Cruz, M. S., Marín-Benito, J. M., & Díaz-Losada, E. (2026). Impact of Different Groups of Active Substances for Fungal Control on Vineyard Soil Microbiota and Pesticide Residue Profiles. Agriculture, 16(3), 344. https://doi.org/10.3390/agriculture16030344

