Polyphenolic Profile and Antioxidant Capacity of Coffee Silverskin Extracts: Insights from HPLC and GC-MS Analyses and Protective Effect in Schwann-like Cells
Abstract
1. Introduction
2. Materials and Methods
2.1. Chemicals
2.2. Raw Materials
2.3. Extraction Procedure
2.4. Total Phenolic Content (TPC) and Total Flavonoid Content (TFC) Determination
2.5. DPPH Assay
2.6. Trolox Equivalent Antioxidant Capacity (TEAC) Assay
2.7. Ferric Reducing Antioxidant Power (FRAP) Assay
2.8. HPLC Analysis
2.9. Gas Chromatography
2.10. Cell Culture Maintenance and Treatments
2.11. Cell Viability Assay
2.12. DCFDA Assay
2.13. Statistical Analysis
3. Results
3.1. Analysis of the Extraction Conditions
3.2. Antioxidant Assays
3.3. Chromatographic Characterization
3.3.1. HPLC Analysis
3.3.2. GC-MS Analysis
3.4. Cellular Assays
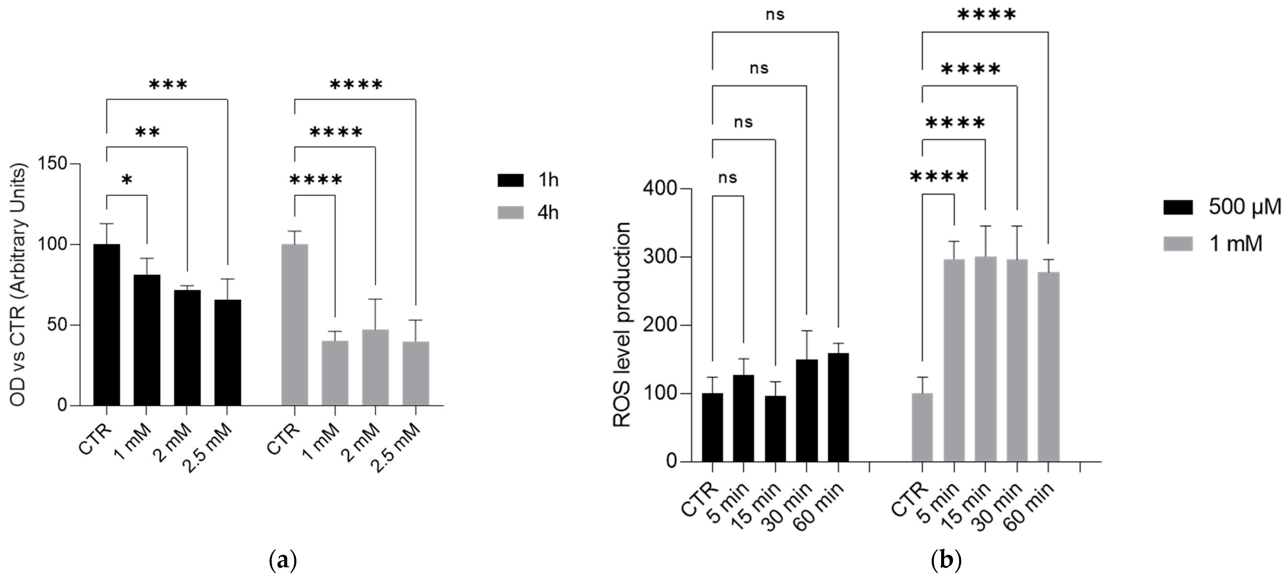
3.4.1. Effects of the CS Extract and H2O2 on Cell Viability and ROS Production in a Schwann-like Cell Line
3.4.2. CS Extract Exerts Antioxidant Properties on a Schwann-like Cell Line
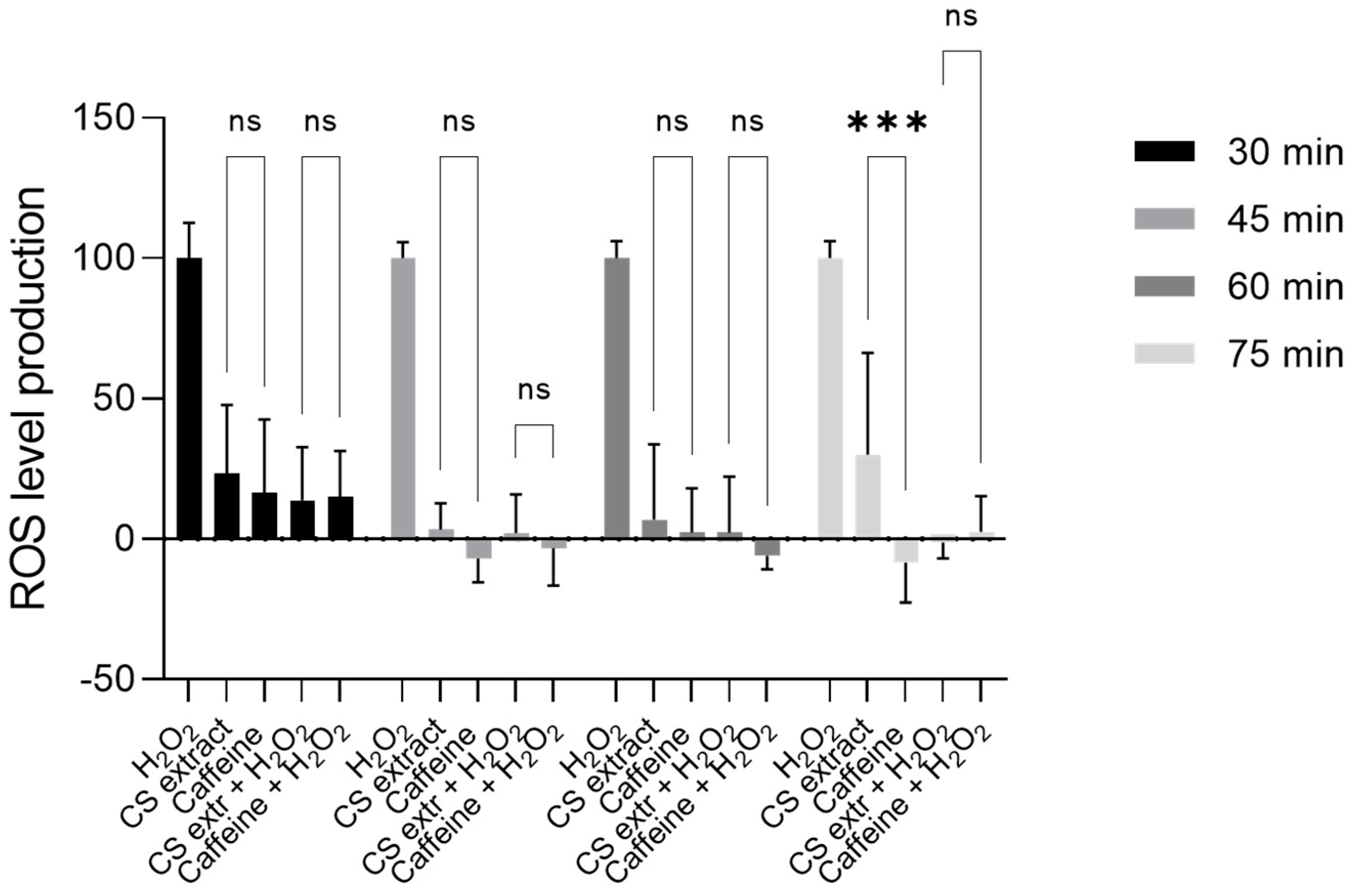
3.4.3. Caffeine Contribution to the Antioxidant Activity of the Extract
3.4.4. CS Extract Counteracts Lipopolysaccharide (LPS)-Induced ROS Production
4. Discussion
5. Conclusions
Supplementary Materials
Author Contributions
Funding
Institutional Review Board Statement
Informed Consent Statement
Data Availability Statement
Acknowledgments
Conflicts of Interest
Abbreviations
| CS | Coffee silverskin |
| TPC | Total phenolic content |
| TFC | Total flavonoid content |
| DPPH | 2,2-Diphenyl-1-picrylhydrazyl |
| TEAC | Trolox equivalent antioxidant capacity |
| FRAP | Ferric reducing antioxidant power |
| HPLC | High-performance liquid chromatography |
| GC-MS | Gas chromatography-mass spectrometry |
| DCFDA | 2′,7′-Dichlorofluorescein diacetate |
| ROS | Reactive oxygen species |
| GAE | Gallic acid equivalents |
| TE | Trolox equivalents |
| AAE | Ascorbic acid equivalents |
| UAE | Ultrasonic-assisted extraction |
| PLE | Pressurized liquid extraction |
| SWE | Subcritical water extraction |
References
- Lee, Y.G.; Cho, E.J.; Maskey, S.; Nguyen, D.T.; Bae, H.J. Value-Added Products from Coffee Waste: A Review. Molecules 2023, 28, 3562. [Google Scholar] [CrossRef]
- Candela-Salvador, L.; Lucas-González, R.; Pérez-Álvarez, J.A.; Fernández-López, J.; Viuda-Martos, M. Characterization of Coffee Silverskin from Different Origins to Evaluate Its Potential as an Ingredient in Novel Food Products. Foods 2026, 15, 97. [Google Scholar] [CrossRef] [PubMed]
- Smyrnakis, G.; Stamoulis, G.; Palaiogiannis, D.; Chatzimitakos, T.; Athanasiadis, V.; Lalas, S.I.; Makris, D.P. Recovery of Polyphenolic Antioxidants from Coffee Silverskin Using Acid-Catalyzed Ethanol Organosolv Treatment. ChemEngineering 2023, 7, 72. [Google Scholar] [CrossRef]
- Upadhyay, R.; Mohan Rao, L.J. An outlook on chlorogenic acids-occurrence, chemistry, technology, and biological activities. Crit. Rev. Food Sci. Nutr. 2013, 53, 968–984. [Google Scholar] [CrossRef] [PubMed]
- Santana-Gálvez, J.; Cisneros-Zevallos, L.; Jacobo-Velázquez, D.A. Chlorogenic Acid: Recent Advances on Its Dual Role as a Food Additive and a Nutraceutical against Metabolic Syndrome. Molecules 2017, 22, 358. [Google Scholar] [CrossRef]
- Lestari, W.; Hasballah, K.; Listiawan, M.Y.; Sofia, S. Coffee by-products as the source of antioxidants: A systematic review. F1000Research 2022, 11, 220. [Google Scholar] [CrossRef]
- Machado, M.; Ferreira, H.; Oliveira, M.; Alves, R.C. Coffee by-products: An underexplored source of prebiotic ingredients. Crit. Rev. Food Sci. Nutr. 2024, 64, 7181–7200. [Google Scholar] [CrossRef]
- Hernández-Varela, J.D.; Medina, D.I. Revalorization of Coffee Residues: Advances in the Development of Eco-Friendly Biobased Potential Food Packaging. Polymers 2023, 15, 2823. [Google Scholar] [CrossRef]
- de Mello, V.; de Mesquita Júnior, G.A.; Alvim, J.G.E.; Costa, J.C.D.; Vilela, F.M.P. Recent patent applications for coffee and coffee by-products as active ingredients in cosmetics. Int. J. Cosmet. Sci. 2023, 45, 267–287. [Google Scholar] [CrossRef]
- Oliveira, G.; Passos, C.P.; Ferreira, P.; Coimbra, M.A.; Gonçalves, I. Coffee By-Products and Their Suitability for Developing Active Food Packaging Materials. Foods 2021, 10, 683. [Google Scholar] [CrossRef]
- Regulation (EU) 2015/2283 of the European Parliament and of the Council of 25 November 2015 on novel foods, amending Regulation (EU) No 1169/2011 of the European Parliament and of the Council and repealing Regulation (EC) No 258/97 of the European Parliament and of the Council and Commission Regulation (EC) No 1852/2001 (Text with EEA relevance). Off. J. Eur. Union 2015, L327, 1–22. Available online: https://eur-lex.europa.eu/eli/reg/2015/2283/oj/eng (accessed on 23 December 2025).
- Pandey, K.B.; Rizvi, S.I. Plant polyphenols as dietary antioxidants in human health and disease. Oxid. Med. Cell. Longev. 2009, 2, 270–278. [Google Scholar] [CrossRef] [PubMed]
- Iqbal, I.; Wilairatana, P.; Saqib, F.; Nasir, B.; Wahid, M.; Latif, M.F.; Iqbal, A.; Naz, R.; Mubarak, M.S. Plant Polyphenols and Their Potential Benefits on Cardiovascular Health: A Review. Molecules 2023, 28, 6403. [Google Scholar] [CrossRef] [PubMed]
- Santos-Buelga, C.; González-Paramás, A.M.; Oludemi, T.; Ayuda-Durán, B.; González-Manzano, S. Plant phenolics as functional food ingredients. Adv. Food Nutr. Res. 2019, 90, 183–257. [Google Scholar] [CrossRef] [PubMed]
- Martinengo, P.; Arunachalam, K.; Shi, C. Polyphenolic Antibacterials for Food Preservation: Review, Challenges, and Current Applications. Foods 2021, 10, 2469. [Google Scholar] [CrossRef]
- Narita, Y.; Inouye, K. High antioxidant activity of coffee silverskin extracts obtained by the treatment of coffee silverskin with subcritical water. Food Chem. 2012, 135, 943–949. [Google Scholar] [CrossRef]
- Guglielmetti, A.; Fernandez-Gomez, B.; Zeppa, G.; del Castillo, D. Nutritional Quality, Potential Health Promoting Properties and Sensory Perception of an Improved Gluten Free Bread Formulation Containing Inulin, Rice Protein and Bioactive Compounds Extracted from Coffee Byproducts. Pol. J. Food Nutr. Sci. 2019, 69, 157–166. [Google Scholar] [CrossRef]
- Singh, A.; Kukreti, R.; Saso, L.; Kukreti, S. Oxidative Stress: A Key Modulator in Neurodegenerative Diseases. Molecules 2019, 24, 1583. [Google Scholar] [CrossRef]
- di Penta, A.; Moreno, B.; Reix, S.; Fernandez-Diez, B.; Villanueva, M.; Errea, O.; Escala, N.; Vandenbroeck, K.; Comella, J.X.; Villoslada, P. Oxidative stress and proinflammatory cytokines contribute to demyelination and axonal damage in a cerebellar culture model of neuroinflammation. PLoS ONE 2013, 8, e54722. [Google Scholar] [CrossRef]
- Li, J.; Wuliji, O.; Li, W.; Jiang, Z.G.; Ghanbari, H.A. Oxidative stress and neurodegenerative disorders. Int. J. Mol. Sci. 2013, 14, 24438–24475. [Google Scholar] [CrossRef]
- Melo, A.; Monteiro, L.; Lima, R.M.; Oliveira, D.M.; Cerqueira, M.D.; El-Bachá, R.S. Oxidative stress in neurodegenerative diseases: Mechanisms and therapeutic perspectives. Oxid. Med. Cell. Longev. 2011, 2011, 467180. [Google Scholar] [CrossRef] [PubMed]
- Liu, Z.; Zhou, T.; Ziegler, A.C.; Dimitrion, P.; Zuo, L. Oxidative Stress in Neurodegenerative Diseases: From Molecular Mechanisms to Clinical Applications. Oxid. Med. Cell. Longev. 2017, 2017, 2525967. [Google Scholar] [CrossRef] [PubMed]
- Lv, W.; Deng, B.; Duan, W.; Li, Y.; Liu, Y.; Li, Z.; Xia, W.; Li, C. Schwann Cell Plasticity is Regulated by a Weakened Intrinsic Antioxidant Defense System in Acute Peripheral Nerve Injury. Neuroscience 2018, 382, 1–13. [Google Scholar] [CrossRef] [PubMed]
- Kim, M.; Kim, H.; Kim, D.; Kim, D.; Huh, Y.; Park, C.; Chung, H.J.; Jung, J.; Jeong, N.Y. Heme Oxygenase 1 in Schwann Cells Regulates Peripheral Nerve Degeneration Against Oxidative Stress. ASN Neuro 2019, 11, 1759091419838949. [Google Scholar] [CrossRef]
- Ighodaro, O.M.; Akinloye, O.A. First line defence antioxidants-superoxide dismutase (SOD), catalase (CAT) and glutathione peroxidase (GPX): Their fundamental role in the entire antioxidant defence grid. Alex. J. Med. 2018, 54, 287–293. [Google Scholar] [CrossRef]
- Correale, J.; Marrodan, M.; Ysrraelit, M.C. Mechanisms of Neurodegeneration and Axonal Dysfunction in Progressive Multiple Sclerosis. Biomedicines 2019, 7, 14. [Google Scholar] [CrossRef]
- Pluta, R.; Januszewski, S.; Czuczwar, S.J. Neuroinflammation in Post-Ischemic Neurodegeneration of the Brain: Friend, Foe, or Both? Int. J. Mol. Sci. 2021, 22, 4405. [Google Scholar] [CrossRef]
- Zengin, G.; Sinan, K.I.; Mahomoodally, M.F.; Angeloni, S.; Mustafa, A.M.; Vittori, S.; Maggi, F.; Caprioli, G. Chemical Composition, Antioxidant and Enzyme Inhibitory Properties of Different Extracts Obtained from Spent Coffee Ground and Coffee Silverskin. Foods 2020, 9, 713. [Google Scholar] [CrossRef]
- Singleton, V.L.; Rossi, J.A. Colorimetry of Total Phenolics with Phosphomolybdic-Phosphotungstic Acid Reagents. Am. J. Enol. Vitic. 1965, 16, 144–158. [Google Scholar] [CrossRef]
- Yan, Z.; Xie, L.; Li, M.; Yuan, M.; Tian, Y.; Sun, D.; Zhang, Y.; Niu, L. Phytochemical components and bioactivities of novel medicinal food—Peony roots. Food Res. Int. 2021, 140, 109902. [Google Scholar] [CrossRef]
- Nzekoue, F.K.; Angeloni, S.; Navarini, L.; Angeloni, C.; Freschi, M.; Hrelia, S.; Vitali, L.A.; Sagratini, G.; Vittori, S.; Caprioli, G. Coffee silverskin extracts: Quantification of 30 bioactive compounds by a new HPLC-MS/MS method and evaluation of their antioxidant and antibacterial activities. Food Res. Int. 2020, 133, 109128. [Google Scholar] [CrossRef] [PubMed]
- Mesías, M.; Navarro, M.; Gökmen, V.; Morales, F.J. Antiglycative effect of fruit and vegetable seed extracts: Inhibition of AGE formation and carbonyl-trapping abilities. J. Sci. Food Agric. 2013, 93, 2037–2044. [Google Scholar] [CrossRef] [PubMed]
- Fu, L.; Xu, B.-T.; Xu, X.-R.; Qin, X.-S.; Gan, R.-Y.; Li, H.-B. Antioxidant Capacities and Total Phenolic Contents of 56 Wild Fruits from South China. Molecules 2010, 15, 8602–8617. [Google Scholar] [CrossRef] [PubMed]
- Ragusa, A.; Centonze, C.; Grasso, M.E.; Latronico, M.F.; Mastrangelo, P.F.; Fanizzi, F.P.; Maffia, M. Composition and Statistical Analysis of Biophenols in Apulian Italian EVOOs. Foods 2017, 6, 90. [Google Scholar] [CrossRef]
- Ragusa, A.; Centonze, C.; Grasso, M.E.; Latronico, M.F.; Mastrangelo, P.F.; Sparascio, F.; Maffia, M. HPLC Analysis of Phenols in Negroamaro and Primitivo Red Wines from Salento. Foods 2019, 8, 45. [Google Scholar] [CrossRef]
- Ragusa, A.; Centonze, C.; Grasso, M.E.; Latronico, M.F.; Mastrangelo, P.F.; Sparascio, F.; Fanizzi, F.P.; Maffia, M. A Comparative Study of Phenols in Apulian Italian Wines. Foods 2017, 6, 24. [Google Scholar] [CrossRef]
- EEPA Method 8270D, Semi-volatile Organic Compounds by Gas Chromatography/Mass Spectrometry (GC/MS) Rev. 6. 2018. Available online: https://www.nemi.gov/methods/method_summary/4726/ (accessed on 22 December 2025).
- Pashkova, N.; Peterson, T.A.; Ptak, C.P.; Winistorfer, S.C.; Guerrero-Given, D.; Kamasawa, N.; Ahern, C.A.; Shy, M.E.; Piper, R.C. Disrupting the transmembrane domain interface between PMP22 and MPZ causes peripheral neuropathy. iScience 2024, 27, 110989. [Google Scholar] [CrossRef]
- Terzi, A.; Storelli, E.; Bettini, S.; Sibillano, T.; Altamura, D.; Salvatore, L.; Madaghiele, M.; Romano, A.; Siliqi, D.; Ladisa, M.; et al. Effects of processing on structural, mechanical and biological properties of collagen-based substrates for regenerative medicine. Sci. Rep. 2018, 8, 1429. [Google Scholar] [CrossRef]
- Kim, H.; Xue, X. Detection of Total Reactive Oxygen Species in Adherent Cells by 2′,7′-Dichlorodihydrofluorescein Diacetate Staining. J. Vis. Exp. 2020, 160, 60682. [Google Scholar] [CrossRef]
- Dippong, T.; Dan, M.; Kovacs, M.H.; Kovacs, E.D.; Levei, E.A.; Cadar, O. Analysis of Volatile Compounds, Composition, and Thermal Behavior of Coffee Beans According to Variety and Roasting Intensity. Foods 2022, 11, 3146. [Google Scholar] [CrossRef]
- Li, R.; Fang, H.; Shen, J.; Jin, Y.; Zhao, Y.; Wang, R.; Fu, Y.; Tian, Y.; Yu, H.; Zhang, J. Curcumin Alleviates LPS-Induced Oxidative Stress, Inflammation and Apoptosis in Bovine Mammary Epithelial Cells via the NFE2L2 Signaling Pathway. Toxins 2021, 13, 208. [Google Scholar] [CrossRef] [PubMed]
- Dong, Z.; Yuan, Y. Accelerated inflammation and oxidative stress induced by LPS in acute lung injury: Inhibition by ST1926. Int. J. Mol. Med. 2018, 41, 3405–3421. [Google Scholar] [CrossRef]
- Qiu, Y.; Yang, X.; Wang, L.; Gao, K.; Jiang, Z. L-Arginine Inhibited Inflammatory Response and Oxidative Stress Induced by Lipopolysaccharide via Arginase-1 Signaling in IPEC-J2 Cells. Int. J. Mol. Sci. 2019, 20, 1800. [Google Scholar] [CrossRef]
- Li, W.; Liang, J.; Li, S.; Jiang, S.; Song, M.; Xu, S.; Wang, L.; Meng, H.; Zhai, D.; Tang, L.; et al. The CXCL12-CXCR4-NLRP3 axis promotes Schwann cell pyroptosis and sciatic nerve demyelination in rats. Clin. Exp. Immunol. 2023, 214, 219–234. [Google Scholar] [CrossRef]
- Costa, A.S.G.; Alves, R.C.; Vinha, A.F.; Barreira, S.V.P.; Nunes, M.A.; Cunha, L.M.; Oliveira, M.B.P.P. Optimization of antioxidants extraction from coffee silverskin, a roasting by-product, having in view a sustainable process. Ind. Crop. Prod. 2014, 53, 350–357. [Google Scholar] [CrossRef]
- Peixoto, J.A.B.; Andrade, N.; Machado, S.; Costa, A.S.G.; Puga, H.; Oliveira, M.; Martel, F.; Alves, R.C. Valorizing Coffee Silverskin Based on Its Phytochemicals and Antidiabetic Potential: From Lab to a Pilot Scale. Foods 2022, 11, 1671. [Google Scholar] [CrossRef]
- Perez-Vazquez, A.; Carpena, M.; Barciela, P.; Cassani, L.; Simal-Gandara, J.; Prieto, M.A. Pressurized Liquid Extraction for the Recovery of Bioactive Compounds from Seaweeds for Food Industry Application: A Review. Antioxidants 2023, 12, 612. [Google Scholar] [CrossRef]
- Ballesteros, L.F.; Teixeira, J.A.; Mussatto, S.I. Chemical, Functional, and Structural Properties of Spent Coffee Grounds and Coffee Silverskin. Food Bioprocess Technol. 2014, 7, 3493–3503. [Google Scholar] [CrossRef]
- Oliveira, M.E.A.S.; Ribeiro da Silva Lima, L.; Santos, M.C.B.; Ferrari Fonseca de Sales, N.; Ferreira, R.M.; Cameron, L.C.; Filho, J.M.C.; Bassinello, P.Z.; Wanderlei Piler de Carvalho, C.; Ferreira, M.S.L.; et al. Role of short germination and milling on physical properties, amino acid and metabolomic profiles of high amylose rice fractions. Food Res. Int. 2023, 174, 113556. [Google Scholar] [CrossRef]
- Iriondo-DeHond, A.; Aparicio García, N.; Fernandez-Gomez, B.; Guisantes-Batan, E.; Velázquez Escobar, F.; Blanch, G.P.; San Andres, M.I.; Sanchez-Fortun, S.; del Castillo, M.D. Validation of coffee by-products as novel food ingredients. Innov. Food Sci. Emerg. Technol. 2019, 51, 194–204. [Google Scholar] [CrossRef]
- Rodríguez De Luna, S.L.; Ramírez-Garza, R.E.; Serna Saldívar, S.O. Environmentally Friendly Methods for Flavonoid Extraction from Plant Material: Impact of Their Operating Conditions on Yield and Antioxidant Properties. Sci. World J. 2020, 2020, 6792069. [Google Scholar] [CrossRef]
- Ling, J.K.U.; Sam, J.H.; Jeevanandam, J.; Chan, Y.S.; Nandong, J. Thermal Degradation of Antioxidant Compounds: Effects of Parameters, Thermal Degradation Kinetics, and Formulation Strategies. Food Bioprocess Technol. 2022, 15, 1919–1935. [Google Scholar] [CrossRef]
- Campos-Vega, R.; Loarca-Piña, G.; Vergara-Castañeda, H.A.; Oomah, B.D. Spent coffee grounds: A review on current research and future prospects. Trends Food Sci. Technol. 2015, 45, 24–36. [Google Scholar] [CrossRef]
- del Castillo, M.D.; Ames, J.M.; Gordon, M.H. Effect of roasting on the antioxidant activity of coffee brews. J. Agric. Food Chem. 2002, 50, 3698–3703. [Google Scholar] [CrossRef] [PubMed]
- Panche, A.N.; Diwan, A.D.; Chandra, S.R. Flavonoids: An overview. J. Nutr. Sci. 2016, 5, e47. [Google Scholar] [CrossRef]
- Farah, A.; Donangelo, C.M. Phenolic compounds in coffee. Braz. J. Plant Physiol. 2006, 18, 23–36. [Google Scholar] [CrossRef]
- Mesárošová, A.; Jurčaga, L.; Bobková, A.; Kročko, M.; Demianová, A.; Poláková, K.; Lidiková, J.; Mendelová, A.; Švecová, T.; Baluch, M.; et al. Coffee Silverskin: Nontraditional natural antioxidant for the meat industry. Appl. Food Res. 2025, 5, 101185. [Google Scholar] [CrossRef]
- Hečimović, I.; Belščak-Cvitanović, A.; Horžić, D.; Komes, D. Comparative study of polyphenols and caffeine in different coffee varieties affected by the degree of roasting. Food Chem. 2011, 129, 991–1000. [Google Scholar] [CrossRef]
- Coelho, C.; Ribeiro, M.; Cruz, A.C.; Domingues, M.R.; Coimbra, M.A.; Bunzel, M.; Nunes, F.M. Nature of phenolic compounds in coffee melanoidins. J. Agric. Food Chem. 2014, 62, 7843–7853. [Google Scholar] [CrossRef]
- Perrone, D.; Farah, A.; Donangelo, C.M. Influence of coffee roasting on the incorporation of phenolic compounds into melanoidins and their relationship with antioxidant activity of the brew. J. Agric. Food Chem. 2012, 60, 4265–4275. [Google Scholar] [CrossRef]
- Faizan, M.; Alam, P.; Rajput, V.D.; Shareen; Kaur, K.; Faraz, A.; Minkina, T.; Maqbool Ahmed, S.; Rajpal, V.R.; Hayat, S. Potential role of tocopherol in protecting crop plants against abiotic stresses. Physiol. Mol. Biol. Plants 2023, 29, 1563–1575. [Google Scholar] [CrossRef]
- Kobylińska, Z.; Biesiadecki, M.; Kuna, E.; Galiniak, S.; Mołoń, M. Coffee as a Source of Antioxidants and an Elixir of Youth. Antioxidants 2025, 14, 285. [Google Scholar] [CrossRef]
- Poudel, P.; Petropoulos, S.A.; Di Gioia, F. Plant Tocopherols and Phytosterols and Their Bioactive Properties. In Natural Secondary Metabolites: From Nature, Through Science, to Industry; Carocho, M.R., Heleno, S.A., Barros, L., Eds.; Springer International Publishing: Cham, Switzerland, 2023; pp. 285–319. [Google Scholar]
- Bresciani, L.; Calani, L.; Bruni, R.; Brighenti, F.; Del Rio, D. Phenolic composition, caffeine content and antioxidant capacity of coffee silverskin. Food Res. Int. 2014, 61, 196–201. [Google Scholar] [CrossRef]
- Juan-García, A.; Caprioli, G.; Sagratini, G.; Mañes, J.; Juan, C. Coffee Silverskin and Spent Coffee Suitable as Neuroprotectors against Cell Death by Beauvericin and α-Zearalenol: Evaluating Strategies of Treatment. Toxins 2021, 13, 132. [Google Scholar] [CrossRef] [PubMed]
- Angeloni, S.; Freschi, M.; Marrazzo, P.; Hrelia, S.; Beghelli, D.; Juan-García, A.; Juan, C.; Caprioli, G.; Sagratini, G.; Angeloni, C. Antioxidant and Anti-Inflammatory Profiles of Spent Coffee Ground Extracts for the Treatment of Neurodegeneration. Oxid. Med. Cell. Longev. 2021, 2021, 6620913. [Google Scholar] [CrossRef] [PubMed]
- Kolahdouzan, M.; Hamadeh, M.J. The neuroprotective effects of caffeine in neurodegenerative diseases. CNS Neurosci. Ther. 2017, 23, 272–290. [Google Scholar] [CrossRef] [PubMed]
- Epplen, A.S.C.; Rothöft, M.; Stahlke, S.; Theiss, C.; Matschke, V. Caffeine mitigates ROS accumulation and attenuates motor neuron degeneration in the wobbler mouse model of amyotrophic lateral sclerosis. Cell Commun. Signal. 2025, 23, 394. [Google Scholar] [CrossRef]
- Jia, H.; Fan, H.; Liang, J.; He, R. Caffeine improves hypoxia/reoxygenation induced neuronal cell injury through inhibiting cellular ferroptosis: An in vitro study. Neurol. Res. 2025, 47, 242–250. [Google Scholar] [CrossRef]






| Temp (°C) | Time (min) | Ethanol | H2O | 50% Ethanol/H2O | |
|---|---|---|---|---|---|
| DPPH (mg AAE/g) | 20 | 30 | 156.50 ± 2.52 | 8.68 ± 0.16 | 21.09 ± 2.38 |
| 20 | 60 | 149.18 ± 2.59 | 6.98 ± 0.13 | 20.18 ± 0.57 | |
| 40 | 30 | 116.95 ± 18.96 | 5.00 ± 0.39 | 19.03 ± 1.34 | |
| 40 | 60 | 138.90 ± 2.82 | 6.53 ± 0.45 | 22.73 ± 0.13 | |
| TEAC (mg TE/g) | 20 | 30 | 206.91 ± 15.79 | 39.61 ± 1.44 | 51.17 ± 0.86 |
| 20 | 60 | 275.48 ± 12.02 | 51.51 ± 1.26 | 80.97 ± 1.00 | |
| 40 | 30 | 208.54 ± 7.58 | 34.98 ± 1.61 | 75.46 ± 1.11 | |
| 40 | 60 | 180.79 ± 22.48 | 38.38 ± 24.30 | 50.01 ± 2.67 | |
| FRAP (mg AAE/g) | 20 | 30 | 79.86 ± 6.15 | 8.40 ± 0.28 | 17.82 ± 0.56 |
| 20 | 60 | 100.64 ± 1.25 | 9.59 ± 0.92 | 21.19 ± 0.57 | |
| 40 | 30 | 91.63 ± 4.45 | 8.37 ± 0.06 | 18.52 ± 0.43 | |
| 40 | 60 | 87.78 ± 0.15 | 3.98 ± 0.05 | 17.20 ± 0.08 |
| Retention Time (min) | Compound | Chemical Formula | Class | Amount * (μg/mg of Extract) |
|---|---|---|---|---|
| 2.9 | Cyanidin | C15H10O6 | Flavonoid | 1.30 ± 0.08 |
| 3.1 | Quinine | C20H24N2O2 | Alkaloid | n.d. |
| 4.1 | Gallic acid | C7H6O5 | Phenolic acid | 0.05 ± 0.01 |
| 4.5 | Neochlorogenic acid | C8H10N4O2 | Phenolic acid | 0.15 ± 0.01 |
| 5.6 | Caffeine | C16H18O9 | Alkaloid | 44.82 ± 1.49 |
| 6.6 | Caffeic acid | C9H8O4 | Phenolic acid | 0.08 ± 0.01 |
| 6.7 | Catechin | C15H14O6 | Flavonoid | n.d. |
| 6.9 | Chlorogenic acid | C16H18O9 | Phenolic acid | 0.37 ± 0.02 |
| 7.3 | Rutin | C27H30O16 | Flavonoid | 0.82 ± 0.04 |
| 7.8 | Hyperoside | C21H20O12 | Flavonoid | 3.17 ± 0.10 |
| 8.8 | p-Coumaric acid | C9H8O3 | Phenolic acid | 0.06 ± 0.01 |
| 9.0 | trans-Ferulic acid | C10H10O4 | Phenolic acid | 0.94 ± 0.07 |
| 10.4 | Cinnamic acid | C9H8O2 | Phenolic acid | 0.25 ± 0.02 |
| 10.8 | Quercetin | C15H10O7 | Flavonoid | 2.38 ± 0.17 |
| 11.1 | Kaempferol | C15H10O6 | Flavonoid | 1.14 ± 0.07 |
| 13.3 | Isogentisin | C14H10O5 | Flavonoid | n.d. |
| 31.9 | α-Tocopherol | C29H50O2 | Vitamin | 22.60 ± 1.53 |
| Retention Time (min) | Compound | Molecular Weight (u.m.a.) | Relative Area (%) |
|---|---|---|---|
| 5.03 | Benzothiazole | 135.186 | 1.46 |
| 5.46 | Benzophenone | 182.218 | 0.59 |
| 7.79 | 2-Methyl-1,4-benzenedicarboxaldehyde | 148.159 | 0.36 |
| 8.06 | 2,4-Di-tert-butylphenol | 206.324 | 0.60 |
| 9.56 | Ethyl 4-ethoxybenzoate | 194.227 | 2.04 |
| 9.64 | Methyl 2-((6-oxo-5-phenyl-2,3,6,6a-tetrahydro-1,3-methanopentalen-3a(1H)-yl)oxy)acrylate | 310.349 | 1.19 |
| 9.76 | 3,5-Di-tert-butyl-4-hydroxybenzaldehyde | 234.334 | 0.23 |
| 10.59 | Caffeine | 194.191 | 43.86 |
| 10.91 | 7,9-Di-tert-butil-1-oxaspiro[4.5]deca-6,9-diene-2,8-dione | 276.173 | 1.05 |
| 11.29 | Diphenyl sulfone | 218.040 | 4.73 |
| 13.04 | (3-Heptyl)undecyl adipate | 398.340 | 0.89 |
| 25.27 | α-Tocopherol | 430.706 | 0.85 |
| 26.46 | Campesterol | 400.680 | 2.35 |
| 26.72 | Stigmasterol | 412.691 | 1.63 |
| 27.39 | β-Sitosterol | 414.707 | 33.57 |
| 28.05 | Anhydrovariabilin | 282.290 | 0.23 |
| 28.47 | α-Tocopheryl acetate | 472.743 | 0.44 |
Disclaimer/Publisher’s Note: The statements, opinions and data contained in all publications are solely those of the individual author(s) and contributor(s) and not of MDPI and/or the editor(s). MDPI and/or the editor(s) disclaim responsibility for any injury to people or property resulting from any ideas, methods, instructions or products referred to in the content. |
© 2026 by the authors. Licensee MDPI, Basel, Switzerland. This article is an open access article distributed under the terms and conditions of the Creative Commons Attribution (CC BY) license.
Share and Cite
Damato, M.; Garofalo, N.; Schipa, L.; Musarò, D.; Anzilli, A.; Corbo, F.; Quarta, A.; Maffia, M.; Ragusa, A. Polyphenolic Profile and Antioxidant Capacity of Coffee Silverskin Extracts: Insights from HPLC and GC-MS Analyses and Protective Effect in Schwann-like Cells. Antioxidants 2026, 15, 172. https://doi.org/10.3390/antiox15020172
Damato M, Garofalo N, Schipa L, Musarò D, Anzilli A, Corbo F, Quarta A, Maffia M, Ragusa A. Polyphenolic Profile and Antioxidant Capacity of Coffee Silverskin Extracts: Insights from HPLC and GC-MS Analyses and Protective Effect in Schwann-like Cells. Antioxidants. 2026; 15(2):172. https://doi.org/10.3390/antiox15020172
Chicago/Turabian StyleDamato, Marina, Nicola Garofalo, Luisa Schipa, Debora Musarò, Angela Anzilli, Filomena Corbo, Antonio Quarta, Michele Maffia, and Andrea Ragusa. 2026. "Polyphenolic Profile and Antioxidant Capacity of Coffee Silverskin Extracts: Insights from HPLC and GC-MS Analyses and Protective Effect in Schwann-like Cells" Antioxidants 15, no. 2: 172. https://doi.org/10.3390/antiox15020172
APA StyleDamato, M., Garofalo, N., Schipa, L., Musarò, D., Anzilli, A., Corbo, F., Quarta, A., Maffia, M., & Ragusa, A. (2026). Polyphenolic Profile and Antioxidant Capacity of Coffee Silverskin Extracts: Insights from HPLC and GC-MS Analyses and Protective Effect in Schwann-like Cells. Antioxidants, 15(2), 172. https://doi.org/10.3390/antiox15020172

