error_outline You can access the new MDPI.com website here. Explore and share your feedback with us.
 
 
Sign in to use this feature.

Years

Between: -

Subjects

remove_circle_outline
remove_circle_outline
remove_circle_outline
remove_circle_outline
remove_circle_outline
remove_circle_outline
remove_circle_outline
remove_circle_outline
remove_circle_outline

Journals

remove_circle_outline
remove_circle_outline
remove_circle_outline
remove_circle_outline
remove_circle_outline
remove_circle_outline
remove_circle_outline
remove_circle_outline
remove_circle_outline
remove_circle_outline
remove_circle_outline
remove_circle_outline
remove_circle_outline
remove_circle_outline
remove_circle_outline
remove_circle_outline
remove_circle_outline
remove_circle_outline
remove_circle_outline
remove_circle_outline
remove_circle_outline
remove_circle_outline
remove_circle_outline
remove_circle_outline
remove_circle_outline
remove_circle_outline

Article Types

Countries / Regions

remove_circle_outline
remove_circle_outline
remove_circle_outline
remove_circle_outline
remove_circle_outline
remove_circle_outline
remove_circle_outline
remove_circle_outline

Search Results (7,698)

Search Parameters:
Keywords = Non-linear equation

Order results
Result details
Results per page
Select all
Export citation of selected articles as:
24 pages, 523 KB  
Article
Multivalued Extensions of Krasnosel’skii-Type Fixed-Point Theorems in p-Normed Spaces
by Ghadah Albeladi, Youssri Hassan Youssri and Mohamed Gamal
Mathematics 2026, 14(2), 242; https://doi.org/10.3390/math14020242 - 8 Jan 2026
Abstract
This paper establishes new fixed-point theorems in the framework of complete p-normed spaces, where p(0,1]. By extending the classical Banach, Schauder, and Krasnosel’skii fixed-point theorems, we derive several results for the sum of contraction and [...] Read more.
This paper establishes new fixed-point theorems in the framework of complete p-normed spaces, where p(0,1]. By extending the classical Banach, Schauder, and Krasnosel’skii fixed-point theorems, we derive several results for the sum of contraction and compact operators acting on s-convex subsets. The analysis is further generalized to multivalued upper semi-continuous operators by employing Kuratowski and Hausdorff measures of noncompactness. These results lead to new Darbo–Sadovskii-type fixed-point theorems and global versions of Krasnosel’skii’s theorem for multifunctions in p-normed spaces. The theoretical findings are then applied to demonstrate the existence of solutions for nonlinear integral equations formulated in p-normed settings. A section on numerical applications is also provided to illustrate the effectiveness and applicability of the proposed results. Full article
(This article belongs to the Section B: Geometry and Topology)
Show Figures

Figure 1

22 pages, 5533 KB  
Review
The Fusion Mechanism and Prospective Application of Physics-Informed Machine Learning in Bridge Lifecycle Health Monitoring
by Jiaren Sun, Jiangjiang He, Guangbing Zhou, Jun Yang, Xiaoli Sun and Shuai Teng
Infrastructures 2026, 11(1), 16; https://doi.org/10.3390/infrastructures11010016 - 8 Jan 2026
Abstract
Bridge health monitoring is crucial for ensuring the safety and durability of infrastructure. In traditional methods, physics-based models have high interpretability but are difficult to handle complex nonlinear problems, while purely data-driven machine learning methods are limited by data scarcity and physical inconsistency. [...] Read more.
Bridge health monitoring is crucial for ensuring the safety and durability of infrastructure. In traditional methods, physics-based models have high interpretability but are difficult to handle complex nonlinear problems, while purely data-driven machine learning methods are limited by data scarcity and physical inconsistency. Physics-informed machine learning, as an emerging “gray box” paradigm, effectively integrates the advantages of both by embedding physical laws (such as control equations) into machine learning models in the form of constraints, priors, or residuals. This article systematically elaborates on the core fusion mechanism of physics-informed machine learning (PIML) in bridge engineering, innovative applications throughout the entire lifecycle of design, construction, operation, and maintenance, as well as its unique data augmentation strategy. Research has shown that PIML can significantly improve the accuracy and robustness of damage identification, load inversion, and performance prediction, and is the core engine for constructing dynamic and predictive digital twin systems. Despite facing challenges in complex physical modeling, loss function balancing, and engineering interpretability, PIML represents a fundamental shift in bridge health monitoring towards intelligent and predictive maintenance by combining advanced strategies such as active learning and meta learning with IoT technology. Full article
(This article belongs to the Special Issue Sustainable Bridge Engineering)
Show Figures

Figure 1

22 pages, 21888 KB  
Article
Robust Integral Optimal Sliding Mode Control Design for Electromagnetic Levitation System with Matched Uncertainties
by Amit Pandey, Gulshan Sharma, Pitshou N. Bokoro and Rajesh Kumar
Mathematics 2026, 14(2), 229; https://doi.org/10.3390/math14020229 - 8 Jan 2026
Abstract
Recently, there has been a rapid increase in the demand for magnetic levitation systems. Since they are utilized in many levitation-based systems, one such application is in magnetic levitated (Maglev) trains. Moreover, these systems are complicated to control due to their nonlinear characteristics, [...] Read more.
Recently, there has been a rapid increase in the demand for magnetic levitation systems. Since they are utilized in many levitation-based systems, one such application is in magnetic levitated (Maglev) trains. Moreover, these systems are complicated to control due to their nonlinear characteristics, susceptibility to external disturbances, and model uncertainties. This article proposes an enhanced integral sliding mode control (ISMC) strategy with a robust optimal framework designed for electromagnetic levitation systems (EMLSs). Traditional sliding mode control (SMC) often suffers from a high-frequency phenomenon in the input, thereby necessitating the development of a more robust controller. This requirement is addressed through the implementation of a comprehensive integral robust optimal sliding mode control strategy. The proposed controller effectively mitigates the chattering phenomenon while simultaneously enhancing the system’s robustness against uncertainties. The robust optimal approach is specifically designed to handle the matched uncertainties inherent in the system dynamics, thereby facilitating an appropriate feedback control mechanism. The Hamilton–Jacobi–Bellman (HJB) equation is used to achieve the robust control design. This feedback control is integrated with the ISMC to execute the desired control action effectively. The simulation results highlight the effectiveness of the proposed control scheme, presenting a comparative analysis of performance indices, including integral time absolute error (ITAE), integral absolute error (IAE), integral squared error (ISE), and integral time squared error (ITSE). These indices collectively underscore the robustness of the control design. Full article
(This article belongs to the Special Issue Advances in Control Systems and Automatic Control, 2nd Edition)
Show Figures

Figure 1

21 pages, 2548 KB  
Article
Numerical Study of the Dynamics of Medical Data Security in Information Systems
by Dinargul Mukhammejanova, Assel Mukasheva and Siming Chen
Computers 2026, 15(1), 37; https://doi.org/10.3390/computers15010037 - 7 Jan 2026
Abstract
Background: Integrated medical information systems process large volumes of sensitive clinical data and are exposed to persistent cyber threats. Artificial intelligence (AI) is increasingly used for anomaly detection and incident response, yet its systemic effect on the dynamics of security indicators is not [...] Read more.
Background: Integrated medical information systems process large volumes of sensitive clinical data and are exposed to persistent cyber threats. Artificial intelligence (AI) is increasingly used for anomaly detection and incident response, yet its systemic effect on the dynamics of security indicators is not fully quantified. Aim: To develop and numerically study a nonlinear dynamical model describing the joint evolution of system vulnerability, threat activity, compromise level, AI detection quality, and response resources in a medical data protection context. Method: A five-dimensional system of ordinary differential equations was formulated for variables V, T, C, D, R. Parameters characterize appearance and elimination of vulnerabilities, attack intensity, AI learning and degradation, and resource consumption. The corresponding Cauchy problem V0=0.5, T0=0.6, C0=0.1, D0=0.4, R0=0.8 was solved on 0,200 numerically using a fourth-order Runge–Kutta method. Results: Numerical modelling showed convergence to a favourable steady regime. On the interval t ∈ [195, 200] the mean values were V=0.0073, T=0.3044, C=7.7·105, D=0.575, R=19.99. Thus, the initial 10% compromise is reduced by more than 99.9%, while AI detection quality stabilizes at around 0.58, and response capacity increases 25-fold. Conclusions: The model quantitatively confirms that the integration of AI detection and a managed response capacity enables the system to reach a stable state with virtually zero compromised medical data even with non-zero threat activity. Full article
Show Figures

Figure 1

26 pages, 1891 KB  
Article
Effect of Climatic Aridity on Above-Ground Biomass, Modulated by Forest Fragmentation and Biodiversity in Ghana
by Elisha Njomaba, Ben Emunah Aikins and Peter Surový
Earth 2026, 7(1), 7; https://doi.org/10.3390/earth7010007 - 7 Jan 2026
Abstract
Forests play a vital role in the global carbon cycle but face growing anthropogenic pressures, with climate change and forest fragmentation among the most critical. In West Africa, particularly in Ghana, the interaction between increasing aridity and forest fragmentation remains underexplored, despite its [...] Read more.
Forests play a vital role in the global carbon cycle but face growing anthropogenic pressures, with climate change and forest fragmentation among the most critical. In West Africa, particularly in Ghana, the interaction between increasing aridity and forest fragmentation remains underexplored, despite its significance for forest biomass dynamics and carbon storage processes. This study examined how spatial variation in climatic aridity (Aridity Index, AI) affects above-ground biomass (AGB) in Ghana’s ecological zones, both directly and indirectly through forest fragmentation and biodiversity, using structural equation modeling (SEM) and generalized additive models (GAMs). Results from this study show that AGB declines along the aridity gradient, with humid zones supporting the highest biomass and semi-arid zones the lowest. The SEM analysis revealed that areas with a lower aridity index (drier conditions) had significantly lower AGB, indicating that arid conditions are associated with lower forest biomass. Fragmentation patterns align with this relationship, while biodiversity (as measured by species richness) showed weak associations, likely reflecting both ecological and data limitations. GAMs highlighted nonlinear fragmentation effects: mean patch area (AREA_MN) was the strongest predictor, showing a unimodal relationship with biomass, whereas number of patches (NP), edge density (ED), and landscape shape index (LSI) reduced AGB. Overall, these findings demonstrate that aridity and spatial configuration jointly control biomass, with fragmentation acting as a key mediator of this relationship. Dry and transitional forests emerge as particularly vulnerable, emphasizing the need for management strategies that maintain large, connected forest patches and integrate restoration into climate adaptation policies. Full article
Show Figures

Figure 1

19 pages, 857 KB  
Article
Data-Driven Insights: Leveraging Sentiment Analysis and Latent Profile Analysis for Financial Market Forecasting
by Eyal Eckhaus
Big Data Cogn. Comput. 2026, 10(1), 24; https://doi.org/10.3390/bdcc10010024 - 7 Jan 2026
Abstract
Background: This study explores an innovative integration of big data analytics techniques aimed at enhancing predictive modeling in financial markets. It investigates how combining sentiment analysis with latent profile analysis (LPA) can accurately forecast stock prices. This research aligns with big data [...] Read more.
Background: This study explores an innovative integration of big data analytics techniques aimed at enhancing predictive modeling in financial markets. It investigates how combining sentiment analysis with latent profile analysis (LPA) can accurately forecast stock prices. This research aligns with big data methodologies by leveraging automated content analysis and segmentation algorithms to address real-world challenges in data-driven decision-making. This study leverages advanced computational methods to process and segment large-scale unstructured data, demonstrating scalability in data-rich environments. Methods: We compiled a corpus of 3843 financial news articles on Teva Pharmaceuticals from Bloomberg and Reuters. Sentiment scores were generated using the VADER tool, and LPA was applied to identify eight distinct sentiment profiles. These profiles were then used in segmented regression models and Structural Equation Modeling (SEM) to assess their predictive value for stock price fluctuations. Results: Six of the eight latent profiles demonstrated significantly higher predictive accuracy compared to traditional sentiment-based models. The combined profile-based regression model explained 47% of the stock price variance (R2 = 0.47), compared to 10% (R2 = 0.10) in the baseline model using sentiment analysis alone. Conclusion: This study pioneers the use of latent profile analysis (LPA) in sentiment analysis for stock price prediction, offering a novel integration of clustering and financial forecasting. By uncovering complex, non-linear links between market sentiment and stock movements, it addresses a key gap in the literature and establishes a powerful foundation for advancing sentiment-based financial models. Full article
Show Figures

Figure 1

21 pages, 2888 KB  
Article
Physics-Informed Neural Network (PINNs) for Flow Simulation in Polymer-Assisted Hot Water Flooding
by Siyuan Chen, Xi Ouyang and Xiang Rao
Processes 2026, 14(2), 197; https://doi.org/10.3390/pr14020197 - 6 Jan 2026
Abstract
Polymer-assisted hot water flooding (PAHWF) is an important enhanced oil recovery technique involving strongly coupled thermal, chemical, and multiphase flow processes. Accurate prediction of water saturation, polymer concentration, and temperature evolution in PAHWF is challenging due to the highly nonlinear and multiscale governing [...] Read more.
Polymer-assisted hot water flooding (PAHWF) is an important enhanced oil recovery technique involving strongly coupled thermal, chemical, and multiphase flow processes. Accurate prediction of water saturation, polymer concentration, and temperature evolution in PAHWF is challenging due to the highly nonlinear and multiscale governing equations. In this study, a physics-informed neural network (PINN) framework is developed for one-dimensional PAHWF simulation as a controlled benchmark system to systematically investigate PINN behavior in multiphysics-coupled problems. The PAHWF governing equations incorporating temperature- and concentration-dependent viscosity are embedded into the PINN loss function. Three progressively designed numerical examples are conducted to examine the effects of temperature normalization, network architecture (PINN-1 versus PINN-2), and network depth on training stability and solution accuracy. The results demonstrate that temperature normalization effectively mitigates gradient-scale imbalance, significantly improving convergence stability and prediction accuracy. Furthermore, the PINN-2 architecture, which employs a dedicated network for temperature, exhibits enhanced robustness and accuracy compared with the unified PINN-1 structure. Variations in network depth show limited influence on solution quality, indicating the inherent robustness of PINNs under the proposed framework. Although conventional numerical methods remain more efficient for one-dimensional forward problems, this study establishes a methodological foundation for extending PINNs to higher-dimensional, strongly coupled PAHWF simulations and inverse reservoir problems. The proposed framework provides insights into improving PINN trainability and reliability for complex enhanced oil recovery processes. Full article
Show Figures

Figure 1

24 pages, 1444 KB  
Article
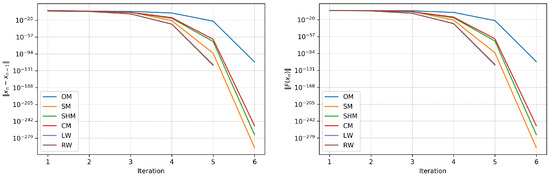
Extended Parametric Family of Two-Step Methods with Applications for Solving Nonlinear Equations or Systems
by Ioannis K. Argyros, Stepan Shakhno and Mykhailo Shakhov
Axioms 2026, 15(1), 41; https://doi.org/10.3390/axioms15010041 - 6 Jan 2026
Abstract
The parametric family of two-step methods, with its special cases, has been introduced in various papers. However, in most cases, the local convergence analysis relies on the existence of derivatives of orders that the method does not require. Moreover, the more challenging semi-local [...] Read more.
The parametric family of two-step methods, with its special cases, has been introduced in various papers. However, in most cases, the local convergence analysis relies on the existence of derivatives of orders that the method does not require. Moreover, the more challenging semi-local convergence analysis was not introduced for this class of methods. These drawbacks are considered in this paper. We determine the radius of convergence and the uniqueness of the solution based on generalized continuity conditions. We also present the semi-local convergence analysis for this family of methods, which has not been studied before, using majorizing sequences. Numerical experiments and basins of attraction are included to validate the theoretical conditions and demonstrate the stability of the methods. Full article
Show Figures

Figure 1

24 pages, 412 KB  
Article
Square Root of a Multivector of Clifford Algebras in 3D: A Game with Signs
by Arturas Acus and Adolfas Dargys
Mathematics 2026, 14(2), 209; https://doi.org/10.3390/math14020209 - 6 Jan 2026
Abstract
An algorithm is presented to extract the square root from a multivector (MV) in real Clifford algebras Clp,q, where n=p+q3, in radicals. It is shown that in Cl3,0, [...] Read more.
An algorithm is presented to extract the square root from a multivector (MV) in real Clifford algebras Clp,q, where n=p+q3, in radicals. It is shown that in Cl3,0, Cl1,2, and Cl0,3 algebras, there are up to four isolated square roots in a case of the most general (generic) MV. The algebra Cl2,1 is an exception and, there, the MV can have up to 16 isolated roots. In addition, a continuum of roots has been found in all Clifford algebras except p+q=1. Examples which clarify computations are provided to illustrate the properties of roots in all n=3 algebras. The results may be useful in solving nonlinear equations, like for example, the Clifford–Riccati equation. Full article
15 pages, 3690 KB  
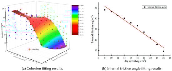
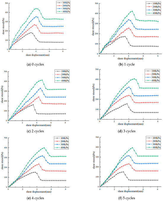
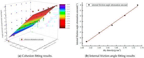
Article
Empirical Model for Predicting Shear Strength of Chengdu Expansive Soil Under Dry–Wet Cycles Considering Water Content and Dry Density
by Bin Li, Lifang Pai, Jianyong Zhu, Sheng Li, Jianjun Zhu and Jiangning Sun
Appl. Sci. 2026, 16(2), 565; https://doi.org/10.3390/app16020565 - 6 Jan 2026
Viewed by 8
Abstract
To investigate the variation in shear strength of expansive soil under dry–wet cycles, laboratory direct shear tests were conducted on remolded soil from a foundation pit in the Chengdu area. The tests were performed under controlled drying and wetting paths, with systematic variations [...] Read more.
To investigate the variation in shear strength of expansive soil under dry–wet cycles, laboratory direct shear tests were conducted on remolded soil from a foundation pit in the Chengdu area. The tests were performed under controlled drying and wetting paths, with systematic variations in water content (w), number of dry–wet cycles (N), and dry density (ρ). The characteristics and evolution of shear strength under these conditions were analyzed. Using a nonlinear multiple surface fitting method, empirical relationships were established between the soil’s shear strength parameters (cohesion c and internal friction angle φ) and the variables w and N. Furthermore, equations describing the attenuation of these parameters with respect to ρ and N were derived. Based on the experimental data and within the framework of the Mohr–Coulomb strength theory, a practical predictive model was developed for the shear strength of expansive soil under the coupled effects of dry–wet cycles, water content, and dry density. Verification results demonstrate that the model predictions are in good agreement with experimental measurements. The proposed model provides a practical reference for estimating the shear strength of similar expansive soils in the Chengdu area under cyclic drying and wetting conditions. Full article
Show Figures

Figure 1

22 pages, 5386 KB  
Article
A Temperature-Corrected High-Frequency Non-Sinusoidal Excitation Core Loss Prediction Model
by Jingwen Zhang, Cunhao Lu, Jian Chen and Yaoji Deng
Magnetochemistry 2026, 12(1), 6; https://doi.org/10.3390/magnetochemistry12010006 - 6 Jan 2026
Viewed by 24
Abstract
Predicting core loss under high-frequency non-sinusoidal excitation is crucial for power electronics equipment design. Temperature significantly affects core loss, and traditional core loss prediction models typically incorporate temperature corrections to enable accurate loss estimation across varying temperatures. Based on the Modified Steinmetz Equation [...] Read more.
Predicting core loss under high-frequency non-sinusoidal excitation is crucial for power electronics equipment design. Temperature significantly affects core loss, and traditional core loss prediction models typically incorporate temperature corrections to enable accurate loss estimation across varying temperatures. Based on the Modified Steinmetz Equation (nonT-MSE) model, this study considers the temperature effect by employing a combination of the Tanh function and a linear term to modify the three empirical parameters, with the Tanh function capturing the nonlinear saturation of the loss coefficient k with increasing temperature. This leads to the establishment of the temperature-corrected non-TMSE (T-MSE) model for predicting magnetic core loss under high-frequency non-sinusoidal excitation. During model derivation, training data undergo logarithmic transformation processing. Subsequently, with T-MSE empirical parameters as variables and the minimum mean squared error between T-MSE predicted values and experimental values as the objective function, a single-objective optimization model is established. Finally, the empirical parameters of T-MSE are calculated using the training data and the single-objective optimization model. Comparing the core loss experimental results of the four materials, the average MSE values for the T-MSE model, the nonT-MSE model, and the square-root temperature-corrected non-TMSE model proposed by Zeng et al. (Zeng) are 0.0082, 0.0459, and 0.0110, respectively; with average MAPE of 1.57%, 1.87%, and 2.17%, respectively; and average R2 of 0.9862, 0.9807, and 0.9731. Compared to the nonT-MSE model and the Zeng model, the T-MSE model demonstrated higher prediction accuracy. Full article
Show Figures

Figure 1

16 pages, 865 KB  
Article
Evaluation of Sensor-Based Soil EC Responses to Nitrogen and Potassium Fertilization Under Laboratory and Field Conditions
by Su Kyeong Shin, Ye-Eun Lee, Seung Jun Lee and Jin Hee Park
Agriculture 2026, 16(2), 137; https://doi.org/10.3390/agriculture16020137 - 6 Jan 2026
Viewed by 43
Abstract
Improving nutrient use efficiency and minimizing environmental pollution from excessive fertilization require appropriate nutrient management supported by continuous monitoring of soil nutrient levels during crop growth. As only a few real-time sensors for the measurement of soil nutrients are available, this study evaluated [...] Read more.
Improving nutrient use efficiency and minimizing environmental pollution from excessive fertilization require appropriate nutrient management supported by continuous monitoring of soil nutrient levels during crop growth. As only a few real-time sensors for the measurement of soil nutrients are available, this study evaluated the potential of electrical conductivity (EC) sensors, which reflect the ionic concentrations of the soil solution, for real-time estimation of plant-available nutrient levels. Nitrogen and potassium were sequentially supplied to achieve cumulative application rates of 25–300% of the nutrient uptake-based fertilization rate. The relationship between cumulative fertilization rate and accumulated sensor-based EC increase was described using linear, polynomial, and nonlinear saturation models. Sensor EC increased linearly from 25 to 125% of the nutrient uptake-based fertilization rate, while higher application rates were better explained by the nonlinear saturation equation. Sensor-based EC showed strong correlation with soil ammonium nitrogen (NH4+-N), indicating that the sensor effectively reflected nutrient dynamics. In open-field pepper soil, fertigation-induced increases in sensor EC followed the patterns predicted by both the linear and nonlinear saturation models established in the laboratory. These results demonstrate that EC sensors can be used for real-time monitoring of soil nutrient levels and may contribute to efficient nutrient management in open-field cultivation. Full article
(This article belongs to the Section Agricultural Soils)
Show Figures

Figure 1

37 pages, 2730 KB  
Article
Identification of a Flexible Fixed-Wing Aircraft Using Different Artificial Neural Network Structures
by Rodrigo Costa do Nascimento, Éder Alves de Moura, Thiago Rosado de Paula, Vitor Paixão Fernandes, Luiz Carlos Sandoval Góes and Roberto Gil Annes da Silva
Aerospace 2026, 13(1), 53; https://doi.org/10.3390/aerospace13010053 - 5 Jan 2026
Viewed by 68
Abstract
This work proposes an analysis of the capability of three deep learning models—the feedforward neural network (FFNN), long short-term memory (LSTM) network, and physics-informed neural network (PINN)—to identify the parameters of a flexible fixed-wing aircraft using in-flight data. These neural networks, composed of [...] Read more.
This work proposes an analysis of the capability of three deep learning models—the feedforward neural network (FFNN), long short-term memory (LSTM) network, and physics-informed neural network (PINN)—to identify the parameters of a flexible fixed-wing aircraft using in-flight data. These neural networks, composed of multiple hidden layers, are evaluated for their ability to perform system identification and to capture the nonlinear and dynamic behavior of the aircraft. The FNN and LSTM models are compared to assess the impact of temporal dependency learning on parameter estimation, while the PINN integrates prior knowledge of the system’s governing of ordinary differential equations (ODEs) to enhance physical consistency in the identification process. The objective is to exploit the generalization capability of neural network-based models while preserving the accurate estimation of the physical parameters that characterize the analyzed system. The neural networks are evaluated for their ability to perform system identification and capture the nonlinear behavior of the aircraft. The results show that the FFNN achieved the best overall performance, with average Theil’s inequality coefficient (TIC) values of 0.162 during training and 0.386 during testing, efficiently modeling the input-output relationships but tending to fit high-frequency measurement noise. The LSTM network demonstrated superior noise robustness due to its temporal filtering capability, producing smoother predictions with average TIC values of 0.398 (training) and 0.408 (testing), albeit with some amplitude underestimation. The PINN, while successfully integrating physical constraints through pretraining with target aerodynamic derivatives, showed more complex convergence, with average TIC values of 0.243 (training) and 0.475 (testing), and its estimated aerodynamic coefficients differed significantly from the conventional values. All three architectures effectively captured the coupled rigid-body and flexible dynamics when trained with distributed wing sensor data, demonstrating that neural network-based approaches can model aeroelastic phenomena without requiring explicit high-fidelity flexible-body models. This study provides a comparative framework for selecting appropriate neural network architectures based on the specific requirements of aircraft system identification tasks. Full article
(This article belongs to the Section Aeronautics)
Show Figures

Figure 1

10 pages, 1788 KB  
Article
Toward Octave-Spanning Mid-Infrared Supercontinuum Laser Generation Using Cascaded Germania-Doped Fiber and Fluorotellurite Fiber
by Xuan Wang, Yahui Zhang, Chuanfei Yao, Linjing Yang, Yunhao Zhu and Pingxue Li
Photonics 2026, 13(1), 50; https://doi.org/10.3390/photonics13010050 - 5 Jan 2026
Viewed by 60
Abstract
Mid-infrared (MIR) supercontinuum (SC) sources are critical for spectroscopy, biomedical imaging, and environmental monitoring. However, conventional generation methods based on free-space experiments using optical parametric amplifiers (OPAs) and difference frequency generation (DFG) lasers suffer from narrow bandwidth and low power distribution in the [...] Read more.
Mid-infrared (MIR) supercontinuum (SC) sources are critical for spectroscopy, biomedical imaging, and environmental monitoring. However, conventional generation methods based on free-space experiments using optical parametric amplifiers (OPAs) and difference frequency generation (DFG) lasers suffer from narrow bandwidth and low power distribution in the MIR region. This paper presents a cascaded pumping technique using two soft-glass fibers. A picosecond thulium-doped fiber amplifier (TDFA) pumps a Germania-doped fiber (GDF) to generate an intermediate broadband spectrum, which then pumps a fluorotellurite fiber (TBY) with higher nonlinearity and a wider transmission window. Using this configuration, we achieved an Octave-Spanning SC generation covering 1–4 μm with 7.20 W output power. Notably, 32.8% of total power lies above 3.0 μm, with 11.2% beyond 3.5 μm, demonstrating excellent long-wavelength performance. In addition, we applied numerical simulation methods to investigate SC generation in GDF and TBY by solving the nonlinear Schrödinger equation. The close match between simulated and experimental results facilitates theoretical examination of how SC broadening occurs. This cascaded approach offers a feasible solution in terms of spectral band matching, material compatibility, and system integration potential. Full article
(This article belongs to the Special Issue Advanced Lasers and Their Applications, 3rd Edition)
Show Figures

Figure 1

18 pages, 436 KB  
Article
A Newton-Based Tuna Swarm Optimization Algorithm for Solving Nonlinear Problems with Application to Differential Equations
by Aanchal Chandel, Sonia Bhalla, Alicia Cordero, Juan R. Torregrosa and Ramandeep Behl
Algorithms 2026, 19(1), 40; https://doi.org/10.3390/a19010040 - 4 Jan 2026
Viewed by 74
Abstract
This paper presents two novel hybrid iterative schemes that combine Newton’s method and its variant with the Tuna Swarm Optimization (TSO) algorithm, aimed at solving complex nonlinear equations with enhanced accuracy and efficiency. Newton’s method is renowned for its rapid convergence in root-finding [...] Read more.
This paper presents two novel hybrid iterative schemes that combine Newton’s method and its variant with the Tuna Swarm Optimization (TSO) algorithm, aimed at solving complex nonlinear equations with enhanced accuracy and efficiency. Newton’s method is renowned for its rapid convergence in root-finding problems, and it is integrated with TSO, a recent swarm intelligence algorithm that surpasses the complex behavior of tuna fish in order to optimize the search for superior solutions. These hybrid methods are reliable and efficient for solving challenging mathematical and applied science problems. Several numerical experiments and applications involving ordinary differential equations have been carried out to demonstrate the superiority of the proposed hybrid methods in terms of convergence rate, accuracy, and robustness compared to traditional optimization and iterative methods. The stability and efficiency of the proposed methods have also been verified. The results indicate that the hybrid approaches outperform traditional methods, making them a promising tool for solving a wide range of mathematical and engineering problems. Full article
Show Figures

Figure 1

Back to TopTop