Sign in to use this feature.

Years

Between: -

Subjects

remove_circle_outline
remove_circle_outline
remove_circle_outline
remove_circle_outline
remove_circle_outline
remove_circle_outline
remove_circle_outline
remove_circle_outline
remove_circle_outline

Journals

remove_circle_outline
remove_circle_outline
remove_circle_outline
remove_circle_outline
remove_circle_outline
remove_circle_outline

Article Types

Countries / Regions

remove_circle_outline
remove_circle_outline
remove_circle_outline
remove_circle_outline
remove_circle_outline

Search Results (1,462)

Search Parameters:
Keywords = Ni-hard

Order results
Result details
Results per page
Select all
Export citation of selected articles as:
16 pages, 3155 KB  
Article
Influences of Annealing Treatment on Soft Magnetic Properties, Mechanical Properties and Microstructure of Fe24.94Co24.94Ni24.94Al24.94Si0.24 High-Entropy Alloy
by Shiqi Zhang, Pin Jiang, Xuanbo Shi, Xiaohua Tan and Hui Xu
Entropy 2026, 28(1), 110; https://doi.org/10.3390/e28010110 (registering DOI) - 16 Jan 2026
Abstract
In order to meet the ever-growing demand in modern power electronics, the advanced soft magnetic materials (SMMs) are required to exhibit both excellent soft magnetic performance and mechanical properties. In this work, the effects of an annealing treatment on the soft magnetic properties, [...] Read more.
In order to meet the ever-growing demand in modern power electronics, the advanced soft magnetic materials (SMMs) are required to exhibit both excellent soft magnetic performance and mechanical properties. In this work, the effects of an annealing treatment on the soft magnetic properties, mechanical properties and microstructure of the Fe24.94Co24.94Ni24.94Al24.94Si0.24 high-entropy alloy (HEA) are investigated. The as-cast HEA consists of a body-centered cubic (BCC) matrix phase and spherical B2 nanoprecipitates with a diameter of approximately 5 nm, where a coherent relationship is established between the B2 phase and the BCC matrix. After annealing at 873 K, the alloy retains both the BCC and B2 phases, with their coherent relationship preserved; besides the spherical B2 nanoprecipitates, rod-shaped B2 nanoprecipitates are also observed. After the annealing treatment, the saturation magnetization (Ms) of the alloy varies slightly within the range of 103–113 Am2/kg, which may be induced by the precipitation of this rod-shaped nanoprecipitate phase in the alloy. The increase in the coercivity (Hc) of annealed HEA is due to the inhomogeneous grain distribution, increased lattice misfit and high dislocation density induced by the annealing. The nanoindentation result reveals that the hardness after annealing at 873 K exhibits a 25% improvement compared with the hardness of as-cast HEA, which is mainly due to dislocation strengthening and precipitation strengthening. This research finding can provide guidance for the development of novel ferromagnetic HEAs, so as to meet the demands for materials with excellent soft magnetic properties and superior mechanical properties in the field of sustainable electrical energy. Full article
(This article belongs to the Special Issue Recent Advances in High Entropy Alloys)
14 pages, 5336 KB  
Article
Time-Dependent Microstructural Transformation and Interfacial Phase Evolution in TLP Bonding of CM247LC Superalloy
by Jaehui Bang, Hyukjoo Kwon, Taewon Park and Eunkyung Lee
Coatings 2026, 16(1), 121; https://doi.org/10.3390/coatings16010121 - 16 Jan 2026
Abstract
The bonding behavior of the Ni-based superalloy CM247LC during transient liquid phase (TLP) bonding is strongly governed by filler metal chemistry, particularly boron activity. In this study, the time-dependent bonding mechanisms of CM247LC joints fabricated using a high-boron MBF-80 filler and a low-boron [...] Read more.
The bonding behavior of the Ni-based superalloy CM247LC during transient liquid phase (TLP) bonding is strongly governed by filler metal chemistry, particularly boron activity. In this study, the time-dependent bonding mechanisms of CM247LC joints fabricated using a high-boron MBF-80 filler and a low-boron MBF-20 filler are systematically compared to clarifying the transition between reaction-dominated brazing and diffusion-assisted TLP bonding. Microstructural analyses reveal that MBF-80 promotes the formation of a persistent, reaction-stabilized interlayer characterized by strong boron localization and the development of boron-rich intermetallic reaction products. These features kinetically suppress diffusion-assisted homogenization and prevent isothermal solidification, resulting in pronounced chemical and mechanical discontinuities across the joint. In contrast, MBF-20 enables progressive boron depletion, suppression of stable intermetallic accumulation, and interfacial smoothing, leading to diffusion-assisted chemical redistribution and partial isothermal solidification. This evolution is accompanied by gradual convergence of hardness profiles toward that of the CM247LC base metal, indicating improved mechanical continuity. These results demonstrate that joint hardness alone is insufficient for evaluating bonding quality in CM247LC. Instead, controlled microstructural evolution governed by low-boron filler chemistry is essential for achieving chemically and mechanically compatible joints. The present work establishes a clear mechanistic link between filler metal composition and bonding behavior, providing guidance for the design of reliable TLP bonding strategies in Ni-based superalloys. Full article
(This article belongs to the Section Surface Characterization, Deposition and Modification)
Show Figures

Figure 1

13 pages, 1980 KB  
Article
Plasma Arc Robot for Direct Wall High-Entropy Alloy Additive Manufacturing
by Wei Wu, Haoran Wang, Yani Hu, Yan Lu, Jietao She and Xianghui Ren
Materials 2026, 19(2), 354; https://doi.org/10.3390/ma19020354 - 15 Jan 2026
Abstract
Through the mechanical analysis of AlCoCrFeNi thin-walled high-entropy alloy materials fabricated by plasma arc additive manufacturing, this study examines the practical application prospects of plasma arc manufacturing technology for thin-walled high-entropy alloys and explores its future development directions. Using a plasma arc oscillation [...] Read more.
Through the mechanical analysis of AlCoCrFeNi thin-walled high-entropy alloy materials fabricated by plasma arc additive manufacturing, this study examines the practical application prospects of plasma arc manufacturing technology for thin-walled high-entropy alloys and explores its future development directions. Using a plasma arc oscillation process, a 50-layer fine additive experiment was conducted on AlCoCrFeNi high-entropy alloy materials employing both reciprocating and layer-by-layer accumulation methods. The samples were analyzed for overall appearance, microstructure, hardness, and tensile properties. The results indicate that the proportions of columnar and intergranular dendrites in the thin-walled high-entropy alloy specimens are similar, and the columnar dendrites exhibit a uniformly sized cross shape. The variation in Vickers microhardness along the horizontal direction shows lower strength at the edge positions, gradually increasing with horizontal distance. A comparison of the alloy’s transverse and longitudinal tensile specimens revealed that samples parallel to the deposition direction exhibit more regular structural arrangements, while specimens perpendicular to the deposition direction show unavoidable stress concentration at the deposition sites during tensile testing. With the increase in the height of the longitudinal specimens, the FCC structures in the alloy are significantly refined, the organizational arrangement becomes more regular, and the elongation increases. This study elucidates the plasma arc preparation technique for thin-walled high-entropy alloy materials, which is expected to achieve precise control over material composition, accurate observation of grain refinement, and uniform distribution of Vickers hardness, thereby enhancing the mechanical properties and thermal stability of the materials, with promising applications in aerospace, energy, and industrial fields. Full article
(This article belongs to the Section Metals and Alloys)
Show Figures

Figure 1

9 pages, 20916 KB  
Proceeding Paper
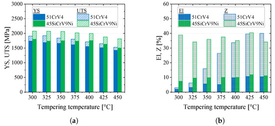
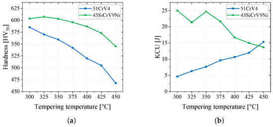
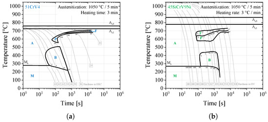
Processing Optimization of the New Steel Grade 45SiCrV9Ni for Modern Leaf Springs in Battery Electric Vehicles
by Niki Nouri, Borja Escauriaza, Christos Gakias, Georgios Savaidis, Roberto Elvira, Stefan Dietrich and Volker Schulze
Eng. Proc. 2025, 119(1), 52; https://doi.org/10.3390/engproc2025119052 - 13 Jan 2026
Viewed by 90
Abstract
The optimization of battery electric vehicles requires advanced high-strength steels that combine ductility and toughness, enabling lightweight leaf spring constructions with improved performance. This study investigates processing optimization by comparing the newly developed 45SiCrV9Ni, previously identified as promising for stress peening and fatigue, [...] Read more.
The optimization of battery electric vehicles requires advanced high-strength steels that combine ductility and toughness, enabling lightweight leaf spring constructions with improved performance. This study investigates processing optimization by comparing the newly developed 45SiCrV9Ni, previously identified as promising for stress peening and fatigue, with the conventional 51CrV4 as a benchmark. Dilatometric, mechanical, and microstructural analyses were conducted in as-supplied and heat-treated conditions. Both steels show excellent high-temperature ductility, making them suitable for hot forming under similar conditions. However, 45SiCrV9Ni requires a higher temperature for homogenized austenitization. After tempering, it consistently exhibits superior hardness and toughness compared to 51CrV4. Importantly, its ductility remains nearly constant over a wide tempering temperature range, allowing lower ones to be chosen without compromising strength or toughness, offering additional energy-saving possibilities. These results highlight the potential of 45SiCrV9Ni for leaf spring applications. Full article
Show Figures

Figure 1

11 pages, 4219 KB  
Communication
Oxygen Addition Influence on NiCrFe Mixed Layer
by Bianca-Georgiana Solomonea, Alexandru Anghel, Cristian P. Lungu, Cornel Staicu, Bogdan Butoi, Corneliu Porosnicu, Paul Dincă, Oana Pompilian, Arcadie Sobetkii, Anca Constantina Parau, Mihaela Dinu, Lidia Ruxandra Constantin, Alina Vladescu (Dragomir) and Catalin Vitelaru
Coatings 2026, 16(1), 96; https://doi.org/10.3390/coatings16010096 - 12 Jan 2026
Viewed by 78
Abstract
Carbon–metal composite NiCrFeC coatings, prepared with and without controlled oxygen addition, were investigated to evaluate the influence of oxygen on the structure, mechanical response, and tribological performance. X-ray diffraction revealed that oxygen-containing films (NiCrFeC + O2) exhibit a mixed metallic–oxide microstructure [...] Read more.
Carbon–metal composite NiCrFeC coatings, prepared with and without controlled oxygen addition, were investigated to evaluate the influence of oxygen on the structure, mechanical response, and tribological performance. X-ray diffraction revealed that oxygen-containing films (NiCrFeC + O2) exhibit a mixed metallic–oxide microstructure with CrNi, CrO, and NiO phases, whereas oxygen-free coatings show only CrNi crystalline peaks. The incorporation of oxygen led to a substantial increase in nano-hardness, from 0.84 GPa for NiCrFeC to 1.59 GPa for NiCrFeC + O2. Scratch testing up to 100 N indicated improved adhesion and higher critical loads for the oxygen-rich coatings. Tribological measurements performed under dry sliding conditions using a sapphire ball showed a significant reduction in friction: NiCrFeC + O2 stabilized at ~0.20, while NiCrFeC exhibited values between 0.25 and 0.35 at 0.5 N and 0.4–0.5 at 1 N, accompanied by non-uniform sliding due to coating failure. Wear-track analysis confirmed shallower penetration depths and narrower wear scars for NiCrFeC + O2, despite similar initial roughness (~35 nm). These findings demonstrate that oxygen incorporation enhances hardness, adhesion, and wear resistance while substantially lowering friction, making NiCrFeC + O2 coatings promising for low-friction dry-sliding applications. Full article
(This article belongs to the Special Issue Advanced Corrosion- and Wear-Resistant Coatings)
Show Figures

Figure 1

16 pages, 6941 KB  
Article
Microstructural, Corrosion and Mechanical Properties of Ni–Al–Cr/SiC Coatings on Inconel 600 Deposited by Arc Welding
by Tayfun Çetin
Crystals 2026, 16(1), 49; https://doi.org/10.3390/cryst16010049 - 11 Jan 2026
Viewed by 181
Abstract
In this study, the microstructural, mechanical, wear, and corrosion behavior of Ni-Al-Cr and Ni–Al–Cr/SiC composite coatings with different composition ratios, produced by electric arc melting on Inconel 600 substrates, was systematically investigated. Microhardness measurements revealed a significant and consistent increase in the hardness [...] Read more.
In this study, the microstructural, mechanical, wear, and corrosion behavior of Ni-Al-Cr and Ni–Al–Cr/SiC composite coatings with different composition ratios, produced by electric arc melting on Inconel 600 substrates, was systematically investigated. Microhardness measurements revealed a significant and consistent increase in the hardness values of the coatings depending on the increase in SiC reinforcement ratio (1%, 3%, and 5%). Wear tests showed that the coated samples exhibited significantly higher wear resistance compared to the pure Inconel 600 substrate. A significant improvement in wear resistance was achieved with the addition of SiC at 1% and 3% weight percentages; the width and depth of wear tracks were significantly reduced with SiC reinforcement. In contrast, increasing the SiC ratio to 5% weight percentage led to a decrease in wear resistance. This was attributed to particle aggregation at high SiC content, weakening of bonds at the matrix-reinforcement interface, and the behavior of SiC particles separated from the matrix as third-body abrasives. Electrochemical corrosion tests have shown that SiC-reinforced coatings form a more stable and permanent passive film, and corrosion resistance increases as the SiC content increases (1%, 3%, and 5%). The results indicate that the SiC reinforcement ratio affects the mechanical and electrochemical properties of Ni-Al-Cr/SiC composite coatings produced by electric arc melting. Full article
(This article belongs to the Special Issue Microstructure Analysis, Phase Composition and Properties of Metal)
Show Figures

Figure 1

14 pages, 1098 KB  
Article
The Effect of Ni Doping on the Mechanical and Thermal Properties of Spinel-Type LiMn2O4: A Theoretical Study
by Xiaoran Li, Lu Ren, Changxin Li, Lili Zhang, Jincheng Ji, Mao Peng and Pengyu Xu
Ceramics 2026, 9(1), 5; https://doi.org/10.3390/ceramics9010005 - 10 Jan 2026
Viewed by 119
Abstract
The development of lithium-ion batteries necessitates cathode materials that possess excellent mechanical and thermal properties in addition to electrochemical performance. As a prominent functional ceramic, the properties of spinel LiMn2O4 are governed by its atomic-level structure. This study systematically investigates [...] Read more.
The development of lithium-ion batteries necessitates cathode materials that possess excellent mechanical and thermal properties in addition to electrochemical performance. As a prominent functional ceramic, the properties of spinel LiMn2O4 are governed by its atomic-level structure. This study systematically investigates the impact of Ni doping concentration on the mechanical and thermal properties of spinel LiNixMn2−xO4 via first-principles calculations combined with the bond valence model. The results suggest that when x = 0.25, the LiNixMn2−xO4 shows excellent mechanical properties, including a high bulk modulus and hardness, due to the favorable ratio of bond valence to bonds length in octahedra. Furthermore, this optimized composition shows a lower thermal expansion coefficient. Additionally, Ni doping concentration has a very minimal influence on the maximum tolerable temperature of the cathode material during rapid heating. Therefore, from the perspective of mechanical and thermal properties, this composition could be beneficial for improving the cycling life of the battery, since comparatively inferior mechanical properties and a higher thermal expansion coefficient make it prone to microcrack formation during charge–discharge cycles. Full article
Show Figures

Figure 1

24 pages, 12322 KB  
Article
Research on the Properties of Clad Layers Applied to Biomass Shredding Tools
by Ján Viňáš, Milan Fiľo, Janette Brezinová, Miroslav Džupon, Viktor Puchý, Jakub Brezina, Samuel Mikita, Gyula Bagyinszki and Péter Pinke
Metals 2026, 16(1), 74; https://doi.org/10.3390/met16010074 - 8 Jan 2026
Viewed by 123
Abstract
This paper investigates the applicability of plasma transferred arc (PTA) cladding for extending the service life of biomass shredder tools. The study evaluates the possibility of replacing Hardox 500 steel with a lower-cost structural steel S355J2 whose functional surfaces are modified by PTA [...] Read more.
This paper investigates the applicability of plasma transferred arc (PTA) cladding for extending the service life of biomass shredder tools. The study evaluates the possibility of replacing Hardox 500 steel with a lower-cost structural steel S355J2 whose functional surfaces are modified by PTA cladding. Three commercially available powder fillers were examined: CoCrWNi (PL1), FeCoCrSi (PL2), and NiCrMoFeCuBSi (PL3). The quality and performance of the cladded layers were assessed through hardness measurements, microstructural analysis using SEM and EDX, and tribological testing focused on abrasive and adhesive wear at room temperature. The results showed that the PL1 cladding achieved the highest surface hardness, reaching up to 602 HV0.1, due to the presence of hard carbide phases. In contrast, the PL2 cladding exhibited the best resistance to abrasive wear, demonstrating the lowest mass loss for both as-deposited and machined surfaces. The PL3 cladding showed intermediate performance in terms of wear resistance. Overall, the findings indicate that PTA cladding using an FeCoCrSi-based filler on an S355J2 substrate represents a promising and cost-effective alternative to Hardox 500 for biomass shredder applications. Full article
Show Figures

Graphical abstract

18 pages, 13161 KB  
Article
Analysis of Cutting Forces Response to Machining Parameters Under Dry and Wet Machining Conditions in X5CrNi18-10 Turning
by Csaba Felhő, Tanuj Namboodri and Daynier Rolando Delgado Sobrino
Eng 2026, 7(1), 33; https://doi.org/10.3390/eng7010033 - 8 Jan 2026
Viewed by 111
Abstract
The shift toward digital and smart manufacturing requires an accurate prediction of cutting behavior, such as cutting forces. Controlling cutting forces in machining is important for maintaining product quality, particularly in steels such as X5CrNi18-10. This steel has high toughness, which resists cutting, [...] Read more.
The shift toward digital and smart manufacturing requires an accurate prediction of cutting behavior, such as cutting forces. Controlling cutting forces in machining is important for maintaining product quality, particularly in steels such as X5CrNi18-10. This steel has high toughness, which resists cutting, thereby increasing overall cutting forces. Proper selection of machining parameters and conditions can help reduce cutting forces during machining. Several studies have been dedicated to understanding the influence of cutting parameters on cutting forces. However, limited attention is given to the influence of the cutting conditions on cutting forces. The primary objective of this study is to understand the behavior of cutting forces in chromium-nickel alloy steel by varying machining parameters, specifically cutting conditions (dry and wet), using a full factorial (31 × 22) design of experiments (DoE). The secondary objective is to develop a multilinear regression model to predict cutting forces. The root mean square (RMS) values of the cutting force components were calculated from the acquired data and analyzed using OriginPro 2025b. In addition, this study analyzes the effects of cutting parameters and cutting forces on root mean square (RMS) surface roughness (Rq) to understand their impact on quality using the AltiSurf 520 profilometer. The results suggest a significant effect of the selected machining parameters and conditions on cutting force reduction and on improved surface quality when cutting forces are low. This research provides a valuable insight into optimizing the machining process for hard steels. Full article
(This article belongs to the Special Issue Emerging Trends and Technologies in Manufacturing Engineering)
Show Figures

Figure 1

17 pages, 3258 KB  
Article
Sustainable Carbon–Carbon Composites from Biomass-Derived Pitch: Optimizing Structural, Electrical, and Mechanical Properties via Catalyst Engineering
by Zeban Shah, Muhammad Nisar, Inam Ullah, Muhammad Yaseen, Abiodun Oluwatosin Adeoye, Shaowei Zhang, Sayyar Ali Shah and Habib Ullah
Catalysts 2026, 16(1), 74; https://doi.org/10.3390/catal16010074 - 8 Jan 2026
Viewed by 492
Abstract
This work is based on our previous research on sulfur-assisted graphitization of biopitch by focusing on catalyst-driven optimization of biomass-derived pitch (BDP) composites as sustainable alternatives to coal tar pitch (CTP). Biomass from eucalyptus sawdust was pyrolyzed to produce BDP, which was used [...] Read more.
This work is based on our previous research on sulfur-assisted graphitization of biopitch by focusing on catalyst-driven optimization of biomass-derived pitch (BDP) composites as sustainable alternatives to coal tar pitch (CTP). Biomass from eucalyptus sawdust was pyrolyzed to produce BDP, which was used as a binder for carbon–carbon composites. The properties of BDP/graphite and CTP/graphite composites, including bending strength, electrical conductivity, hardness, density, porosity, mass loss, and shrinkage, were compared. Furthermore, the influence of catalysts (NiSO4, K2SO4, CuSO4, FeSO4, and KOH) on composite performance was systematically investigated. Results show that catalyst selection significantly enhances structural, electrical, and mechanical properties, demonstrating the potential of combining eco-friendly materials with strategic catalyst engineering to develop high-performance, sustainable composites. Full article
Show Figures

Graphical abstract

17 pages, 4213 KB  
Article
Transient Liquid Phase Bonding of Hastelloy X with Inconel 738 Superalloy Using BNi-2 Interlayer: Microstructure and Mechanical Properties
by Lin Yang, Yuwei Zhao, Xingdong Chen, Ke Li, Xingyu Zhang, Panpan Lin, Tiesong Lin and Peng He
Materials 2026, 19(2), 227; https://doi.org/10.3390/ma19020227 - 6 Jan 2026
Viewed by 168
Abstract
The dissimilar joining of solid-solution-strengthened superalloys and precipitation-strengthened superalloys enables complementary performance synergy, holding significant application potential in the aerospace industry. This study investigated the transient liquid phase bonding of Hastelloy X and IN738 using a BNi-2 interlayer, focusing on the effects of [...] Read more.
The dissimilar joining of solid-solution-strengthened superalloys and precipitation-strengthened superalloys enables complementary performance synergy, holding significant application potential in the aerospace industry. This study investigated the transient liquid phase bonding of Hastelloy X and IN738 using a BNi-2 interlayer, focusing on the effects of bonding temperature and time on interfacial microstructure evolution and mechanical properties. The results demonstrated that achieving complete isothermal solidification is paramount for joint properties, a process governed by the synergistic control of bonding temperature and time. At lower temperatures (e.g., 1050 °C), the joint centerline contained an athermal solidification zone (ASZ) rich in hard and brittle Cr-rich (∼15.9 GPa) and Ni-rich borides, which served as the failure initiation site. As the ASZ was progressively eliminated with increasing temperature, a fully isothermal solidified zone (ISZ, ∼52 μm wide) consisting of γ-Ni formed at 1100 °C. Concurrently, Cr-Mo borides (∼9.8 GPa) precipitated within the diffusion-affected zone (DAZ) on the Hastelloy X side, becoming the new potential sites for crack initiation. Prolonging the holding time at 1100 °C not only ensured complete isothermal solidification but also promoted Mo diffusion, which improved the plasticity of the Cr-Mo borides and their interfacial bonding with the γ-Ni matrix (∼5.9 GPa). This synergistic optimization resulted in a significant increase in joint shear strength, achieving a maximum value of 587 MPa under the optimal condition of 1100 °C/40 min. Full article
Show Figures

Figure 1

28 pages, 29078 KB  
Article
Field Performance and Wear Behavior of Atmospheric Plasma Spraying (APS) Coated Discs Used in Agricultural Disc Harrows
by Vlad Nicolae Arsenoaia, Corneliu Munteanu, Fabian Cezar Lupu, Bogdan Istrate, Marcelin Benchea and Iurie Melnic
Agriculture 2026, 16(1), 114; https://doi.org/10.3390/agriculture16010114 - 1 Jan 2026
Viewed by 230
Abstract
The wear performance of coated and uncoated harrow discs was evaluated under real agricultural field conditions in order to assess the long-term effectiveness of three atmospheric plasma spraying (APS) systems: a Cr2O3–SiO2–TiO2 ceramic coating, a WC/W [...] Read more.
The wear performance of coated and uncoated harrow discs was evaluated under real agricultural field conditions in order to assess the long-term effectiveness of three atmospheric plasma spraying (APS) systems: a Cr2O3–SiO2–TiO2 ceramic coating, a WC/W2C–Co carbide coating, and a Co–Cr–Ni–W–C alloy coating. In contrast to most previous studies focused on laboratory testing or short-term trials, the present work provides a comparative long-term field evaluation over 50 ha per disc (1000 ha total) under identical operating conditions in quartz-rich Argic Luvisol soil. Disc wear was quantified through periodic mass-loss and diameter measurements, complemented by microstructural and SEM analyses. The uncoated disc exhibited the most severe degradation, with a total mass loss of approximately 700 g and rapid acceleration of wear after the first 5–10 ha. The ceramic-coated disc showed the highest durability, limiting mass loss to approximately 390 g, corresponding to a reduction of about 44%, and maintaining the largest residual diameter after field operation. The Co-based alloy provided intermediate performance (~16% mass-loss reduction), while the carbide coating showed limited improvement (~7% reduction) due to microcracking and weak carbide–binder interfaces. The results demonstrate that, under real field conditions, coating microstructural integrity is more critical than nominal hardness, and highlight the superior effectiveness of ceramic APS coatings for extending disc service life in abrasive agricultural soils. Full article
(This article belongs to the Special Issue Soil-Machine Systems and Its Related Digital Technologies Application)
Show Figures

Figure 1

46 pages, 5142 KB  
Review
Optimization of the Effects of Electrodeposition Parameters on the Nickel-Based Composite Coatings’ Tribological Properties
by Yassine Abdesselam, Catalin Tampu, Abderrahim Belloufi, Imane Rezgui, Mourad Abdelkrim, Bogdan Chirita, Eugen Herghelegiu, Carol Schnakovszky and Raluca Tampu
Processes 2026, 14(1), 139; https://doi.org/10.3390/pr14010139 - 31 Dec 2025
Viewed by 440
Abstract
Mechanical forces, chemical and electrochemical reactions, and environmental variables can all lead to surface degradation of parts. Composite coatings can be applied to these materials to enhance their surface characteristics. Recently, nickel-based composite coatings have gained greater attention because of their remarkable wear [...] Read more.
Mechanical forces, chemical and electrochemical reactions, and environmental variables can all lead to surface degradation of parts. Composite coatings can be applied to these materials to enhance their surface characteristics. Recently, nickel-based composite coatings have gained greater attention because of their remarkable wear resistance. The efficiency, precision, and affordability of this process make it a popular method. In addition, electroplating nickel-based composites offers a more environmentally friendly alternative to traditional dangerous coatings such as hard chrome. Tribological and wear characteristics are highly dependent on several variables, such as particle parameters, deposition energy, fluid dynamics, and bath composition. Mass loss, coefficient of friction, hardness, and roughness are quantitative properties that provide useful information for coating optimization and selection. Under optimized electrodeposition conditions, the Ni-SiC-graphite coatings achieved a 57% reduction in surface roughness (Ra), a 38% increase in microhardness (HV), and a 25% reduction in wear rate (Ws) compared to pure Ni coatings, demonstrating significant improvements in tribological performance. Overall, the incorporation of SiC nanoparticles was found to consistently improve microhardness while graphite or MoS2 reduces friction. Differences in wear rate among studies appear to result from variations in current density, particle size, or test conditions. Furthermore, researchers run tribology studies and calculate the volume percentage using a variety of techniques, but they fall short in providing a sufficient description of the interface. This work primarily contributes to identifying gaps in tribological research. With this knowledge and a better understanding of electrodeposition parameters, researchers and engineers can improve the lifespan and performance of coatings by tailoring them to specific applications. Full article
Show Figures

Figure 1

18 pages, 5191 KB  
Article
Influence of Ta Content on Tribological Properties of Cr-Ta Coatings Deposited by Electrospark Deposition
by Feng Gao, Kaiyan Wang, Fengsheng Lu, Lei Zhang, Chang Gong, Fengling Zhang, Mingli Ding, Guanglin Zhu, Cean Guo and Jian Zhang
Metals 2026, 16(1), 36; https://doi.org/10.3390/met16010036 - 28 Dec 2025
Viewed by 258
Abstract
This study systematically investigates the composition–structure–property relationships in electrospark-deposited Cr-Ta coatings (10, 25, and 40 at.%) on CrNi3MoVA steel for wear resistance applications. Microstructural characterization reveals that the Cr-10Ta coating exhibits a dense microstructure with excellent metallurgical bonding to the substrate, [...] Read more.
This study systematically investigates the composition–structure–property relationships in electrospark-deposited Cr-Ta coatings (10, 25, and 40 at.%) on CrNi3MoVA steel for wear resistance applications. Microstructural characterization reveals that the Cr-10Ta coating exhibits a dense microstructure with excellent metallurgical bonding to the substrate, consisting of a reinforcing Cr2Ta Laves phase and Fe-Cr solid solution. In contrast, higher Ta content (25–40 at.%) results in the formation of brittle Ta oxides and the development of cracks. Mechanical testing indicates that the Cr-10Ta coating exhibits superior hardness (6.35 GPa) and elastic–plastic deformation resistance (H/E = 0.041, H3/E2 = 0.0109), outperforming both higher-Ta coatings and the substrate material. Corresponding tribological assessments reveal that the Cr-10Ta coating achieves the lowest friction coefficient (~0.4) along with a minimal wear rate, which can be attributed to its synergistic combination of fine-grained structure, high dislocation density, and Laves phase reinforcement. The findings underscore that precise control over Ta content serves as an effective strategy for optimizing the wear resistance of Cr-Ta coatings through microstructural engineering. Full article
(This article belongs to the Special Issue Advanced Metallic Materials and Manufacturing Processes)
Show Figures

Figure 1

21 pages, 11702 KB  
Article
The Investigation of Rotary Bending Fatigue Properties of 4Cr14Ni14W2Mo Engine Valve Steel Processed by Surface Mechanical Rolling Treatment
by Ge Sun, Zhifeng Liu, Zengrui Yuan, Rong Qu and Fuqiang Lai
Materials 2026, 19(1), 78; https://doi.org/10.3390/ma19010078 - 25 Dec 2025
Viewed by 297
Abstract
In order to address potential fatigue fractures at the valve stem-neck junction during engine operations, surface mechanical rolling treatment (SMRT) was introduced to enhance the rotary bending fatigue (RBF) performance of 4Cr14Ni14W2Mo engine valve steel in this study. The results indicate that the [...] Read more.
In order to address potential fatigue fractures at the valve stem-neck junction during engine operations, surface mechanical rolling treatment (SMRT) was introduced to enhance the rotary bending fatigue (RBF) performance of 4Cr14Ni14W2Mo engine valve steel in this study. The results indicate that the increasing number of rolling passes induces a modified surface layer characterized by refined grains and dislocations, increased hardness, and compressive residual stress (RS). SMRT specimens exhibited improved tensile strength but plasticity performance was decreased. At room temperature (RT) about 25 °C, the fatigue limit at 1 × 10 7 cycles of specimens treated with 10 rolling pass was increased from 437 MPa to 613 MPa (40.3%). At 400 °C, the fatigue limit of specimens treated with 10 passes was increased from 376 MPa to 425 MPa (13.0%) at 400 °C, but decreased at 650 °C. The enhanced fatigue performance is attributed to a modified surface layer, leading to the shift of the crack initiation to the subsurface. However, excessive rolling passes and high temperature (650 °C) significantly reduce the material plasticity, accelerating crack initiation and propagation, thus compromising performance. Full article
Show Figures

Figure 1

Back to TopTop