Sign in to use this feature.

Years

Between: -

Subjects

remove_circle_outline
remove_circle_outline
remove_circle_outline
remove_circle_outline
remove_circle_outline
remove_circle_outline
remove_circle_outline

Journals

Article Types

Countries / Regions

Search Results (17)

Search Parameters:
Keywords = Nagqu area

Order results
Result details
Results per page
Select all
Export citation of selected articles as:
24 pages, 4747 KB  
Article
Susceptibility Assessment of Glacial Lake Outburst Floods in the Palong Zangbu River Basin, Lower Yarlung Tsangpo, China
by Changhu Li, Ge Qu, Shuwu Li, Zhengzheng Li and Weile Li
Sustainability 2025, 17(24), 11219; https://doi.org/10.3390/su172411219 - 15 Dec 2025
Viewed by 314
Abstract
With global climate warming, reports of glacier lake outburst floods (GLOFs) have become increasingly frequent, highlighting the crucial need for robust GLOF sensitivity assessment methods for disaster prevention and mitigation. A reliable GLOF susceptibility assessment method was developed and applied in the Palong [...] Read more.
With global climate warming, reports of glacier lake outburst floods (GLOFs) have become increasingly frequent, highlighting the crucial need for robust GLOF sensitivity assessment methods for disaster prevention and mitigation. A reliable GLOF susceptibility assessment method was developed and applied in the Palong Zangbu River Basin in the Nagqu region of the Tibetan Plateau, integrating Digital Elevation Models (DEMs), glacier data, remote sensing imagery, and field survey data. The assessment evaluated the potential hazard levels of glacier lakes. Between 2000 and 2023, both the number and area of glacier lakes in the basin showed an increasing trend. Specifically, the number of glacier lakes larger than 0.08 km2 increased by 32, with an area expansion of 14.17 km2, corresponding to a growth rate of 43.95%. Based on the GLOF susceptibility assessment, 15 glacier lakes were identified as potentially hazardous in the study area, with the robustness of the method validated through ROC curve analysis. Therefore, it is recommended to regularly apply this method for GLOF susceptibility assessments in the Palong Zangbu River Basin, updating monitoring data and remote sensing imagery. This research provides valuable insights for GLOF susceptibility assessments in the High Mountain Asia (HMA) region. Full article
Show Figures

Figure 1

18 pages, 3778 KB  
Article
The Potential of Basic Education Accessibility Across Administrative Boundaries Using a Multi-Scenario Comparative Analysis: How Can Education Equity in the Qinghai–Tibet Plateau Be Better Achieved?
by Yiran Du, Jinglong Duan and Yi Miao
Land 2025, 14(11), 2279; https://doi.org/10.3390/land14112279 - 18 Nov 2025
Viewed by 519
Abstract
Ensuring equitable access to basic education is a core issue for promoting balanced regional development and sustainable educational outcomes. As a vast and sparsely populated region with relatively slow development, the Qinghai–Tibet Plateau faces particular challenges in ensuring educational accessibility and equity. Using [...] Read more.
Ensuring equitable access to basic education is a core issue for promoting balanced regional development and sustainable educational outcomes. As a vast and sparsely populated region with relatively slow development, the Qinghai–Tibet Plateau faces particular challenges in ensuring educational accessibility and equity. Using a 100 m × 100 m travel time cost raster constructed from OSM road networks and the cost-distance method, together with local spatial autocorrelation, Lorenz curve, and Gini coefficients, as well as the Geodetector method, this study examines the spatial equity and factors influencing the accessibility of primary and secondary schools across 2798 townships at three time points (2016, 2020, and 2024) under three scenarios: Scenario 1 (nearby schooling), Scenario 2 (schooling within the prefecture-level city), and Scenario 3 (schooling within the county). The results show that: (1) Overall accessibility improved from 2016 to 2024, with primary schools being more accessible than secondary schools. Western townships, although initially disadvantaged, experienced the most notable gains. However, accessibility declined markedly when administrative-boundary constraints were imposed, with the greatest losses observed in ultra-high-altitude remote areas such as Ngari and Nagqu. (2) Spatial equity also improved, but when administrative boundaries were imposed, population-weighted inequities became even more pronounced than disparities in accessibility itself. Equity declined most sharply under county-level constraints, with pronounced impacts on both primary and secondary schooling. (3) Spatial variations in accessibility were jointly driven by multiple factors. In Scenario 1, road network density and population density had the strongest explanatory power. Under administrative boundary constraints, however, county type and ethnic autonomy became increasingly influential. In conclusion, in ultra-high-altitude areas where natural conditions remain difficult to overcome, improving educational equity depends less on transport expansion or facility provision and more on relaxing county-level boundary restrictions that constrain access to services. These findings may provide useful evidence to inform targeted policy interventions and resource allocation strategies aimed at promoting equitable access to basic education in underdeveloped and high-altitude regions. Full article
Show Figures

Figure 1

14 pages, 1973 KB  
Article
Geographic Exposomics of Cardiac Troponin I Reference Intervals in Chinese Adults: Climate-Topography Coupling-Driven Spatial Prediction and Health Risk Assessment
by Tianyu Li, Jiayu Zhang, Xinfeng Zhao and Zihao Wu
Water 2025, 17(10), 1426; https://doi.org/10.3390/w17101426 - 9 May 2025
Cited by 1 | Viewed by 749 | Correction
Abstract
This study elucidates soil–climate regulatory mechanisms on regional health baselines in China and hydrogeochemical roles in cardiovascular biomarker differentiation. Utilizing data from 26,759 healthy adult samples across 286 Chinese cities/counties, seven core factors were identified via Pearson correlation analysis from 25 indicators, including [...] Read more.
This study elucidates soil–climate regulatory mechanisms on regional health baselines in China and hydrogeochemical roles in cardiovascular biomarker differentiation. Utilizing data from 26,759 healthy adult samples across 286 Chinese cities/counties, seven core factors were identified via Pearson correlation analysis from 25 indicators, including longitude (X1, r = −0.192, p = 0.009), elevation (X3, r = 0.377, p = 0.001), and precipitation (X7, r = −0.200, p = 0.006). Ridge regression analysis (R2 = 0.714) was subsequently applied to simulate predicted values for 2232 cities/counties. The synergistic effects of soil calcium sulfate content and salinity (X25) on serum cardiac troponin I (cTnI) reference values were rigorously validated, explaining 25.5% of regional cTnI elevation (ΔR2 = 0.183). The findings demonstrate that precipitation leaching and groundwater recharge processes collectively drive a 25.5% elevation in cTnI levels in northwestern regions (e.g., Nagqu, Tibet: altitude > 4500 m, annual sunshine > 3000 h) compared to southeastern areas. To mitigate salinity transport dynamics, optimization strategies targeting soil cation exchange capacity (X18/X19) were proposed, providing a theoretical foundation for designing gradient water treatment schemes in high-calcium-sulfate zones (CaSO4 > 150 mg/L). Crucially, regression equations derived from the predictive model enable the construction of a geographically stratified reference framework for cTnI in Chinese adults, with spatial analysis delineating its latitudinal (R2 = 0.83) and longitudinal (R2 = 0.88) distribution patterns. We propose targeted strategies optimizing soil cation exchange capacity to mitigate sulfate transport in groundwater, informing geographically tailored water treatment and cardiovascular disease prevention efforts. Our findings provide localized empirical evidence critical for refining WHO drinking water sulfate guidelines, demonstrating direct integration of hydrogeochemistry, water quality management, and public health. Full article
Show Figures

Figure 1

12 pages, 4643 KB  
Article
Three-Dimensional Lightning Characteristics Analysis over the Tibetan Plateau Based on Satellite-Based and Ground-Based Multi-Source Data
by Jie Zhu, Shulin Zhi, Dong Zheng and Zhengguo Yuan
Atmosphere 2024, 15(7), 854; https://doi.org/10.3390/atmos15070854 - 19 Jul 2024
Cited by 1 | Viewed by 1417
Abstract
Based on the data from the Chinese national ground-based (LFEDA: Low-frequency E-field Detection Array) and satellite-based lightning-detection systems (LMI: Lightning Mapping Imager), the spatial and temporal distribution statistical properties of all types of lightning over the Tibetan Plateau in the summer of 2022 [...] Read more.
Based on the data from the Chinese national ground-based (LFEDA: Low-frequency E-field Detection Array) and satellite-based lightning-detection systems (LMI: Lightning Mapping Imager), the spatial and temporal distribution statistical properties of all types of lightning over the Tibetan Plateau in the summer of 2022 and 2023 are analyzed, and were compared with those in Hainan, which are under quite different geographical conditions. The discrepancy between ground-based and space-borne lightning detection was also discussed. The main results show the following: (1) the characteristics of lightning activities over the Tibetan Plateau based on multi-source data: Most of the high-value lightning areas were located in the transition zone between lower and higher terrain; the diurnal variation of lightning activity was significant, and the most active period concentrated around 15:00 LST (Local Standard Time, the same below). In addition, lightning activities were significantly increased at 21:00 and 0:00, which was related to the unique topography and night rain phenomenon of the plateau. In terms of lightning types, the number of IC (Intra-Cloud) lightning was more than that of CG (Cloud-to-Ground). The study of IC changes is of great significance to the early warning of the plateau DCSs. The spatial distribution of IC at different altitudes was quite different. (2) Comparison of lightning activities between the Tibetan Plateau and Hainan: The hourly variation of lightning activities in Nagqu showed a single peak, while that in Hainan was characterized by a primary peak and a secondary peak, affected by the enhancement of the boundary stream in the low latitude and altitude area of China. At the peak of convection, the lightning activities in Nagqu were less than 1/3 of that in Hainan. However, the duration of high-frequency lightning activities in Nagqu (15–19:00) was about 2 h longer than that in Hainan (15–17:00), which may be related to the fact that the Tibetan Plateau is located in the west of China, where the sunset is later, and solar radiation and convective activities last longer. (3) Analysis of features of LMI: LMI has more advantages in IC detection; LMI has higher detection efficiency for the lightning in the range of 4–6 KM altitude, which is partly related to the stronger convective process and the higher proportion of IC. This work will provide deeper understanding of the characteristics of all types of lightning over the Tibetan Plateau, to reveal the indication significance of lightning for DCSs, and help to promote the development of Chinese satellite-based lightning-detection technology, the optimization of subsequent instruments and the fusion application of ground-based and satellite-based lightning data. Full article
(This article belongs to the Section Atmospheric Techniques, Instruments, and Modeling)
Show Figures

Figure 1

16 pages, 1842 KB  
Article
Effects of Rodent Isolation on Plant Community Structure and Greenhouse Gas Emission in the Alpine Grassland of the Qinghai–Tibet Plateau
by Hongbao Wu, Ya Chen, Hasbagan Ganjurjav and Jianrong Zhao
Sustainability 2024, 16(12), 4943; https://doi.org/10.3390/su16124943 - 9 Jun 2024
Cited by 3 | Viewed by 1932
Abstract
As one of the dominant species of the alpine grassland on the Qinghai–Tibet Plateau, the activities (e.g., gnawing, burrowing, and grass storage) of plateau pikas (Ochotona curzoniae) directly alter the plant community structure of the grassland ecosystem and affect livestock production [...] Read more.
As one of the dominant species of the alpine grassland on the Qinghai–Tibet Plateau, the activities (e.g., gnawing, burrowing, and grass storage) of plateau pikas (Ochotona curzoniae) directly alter the plant community structure of the grassland ecosystem and affect livestock production and greenhouse gas emission. In order to investigate the effects of rodent isolation (RI) on plant community structure and greenhouse gas emission in the alpine grassland of the Qinghai–Tibet Plateau, we established plots of rodent isolation and rodent activity (i.e., the control sample (CK)) in the 14th village, Seni District, Nagqu City in May 2018. From July 2019 to September, the numbers, sizes, and total damaged area of effective holes; the height, coverage, and aboveground plant biomass; and the methane (CH4) and nitrous oxide (N2O) emissions of the alpine grassland were monitored by the quadrat survey method and static closed-chamber method. The results show that the invasion and tunneling of Ochotona curzoniae resulted in the destruction of alpine grassland measuring 0.064 m2 per square meter, while the rodent isolation plots showed that 97.9% of the alpine grassland remained unaltered; such unaffected land implies that the economic income of herdsmen could increase by 140 CNY hm−2. The rodent isolation plots also show that the height and proportion of grasses and sedges in the alpine grassland increased, while the proportion of poisonous weeds decreased. Moreover, the rodent isolation plots also showed a significantly increased coverage of aboveground biomass (p < 0.05), although species richness showed no significant effect based on the Shannon–Weiner, Simpson, and Pielou indices (p > 0.05). The soil uptake of CH4 and N2O was 204.99 ± 50.23 μg m−2 h−1 and 4.48 ± 1.02 μg m−2 h−1 in the rodent isolation plots, significantly higher by 465.75% and 3001.4% relative to the rodent activity plots, respectively (p < 0.05). Therefore, the establishment of rodent isolation areas can effectively alleviate the degree of damage to alpine grasslands in the short run and slow down the greenhouse gas emission rate to some extent. However, excessive rodent control may also have negative effects on grassland ecosystems, so more attention should be paid in future studies to determining the disturbance threshold of plateau pika in this area. These results provide theoretical guidance for rodent control, grassland protection, and ecological environment management on the Qinghai–Tibet Plateau. Full article
Show Figures

Figure 1

14 pages, 2848 KB  
Article
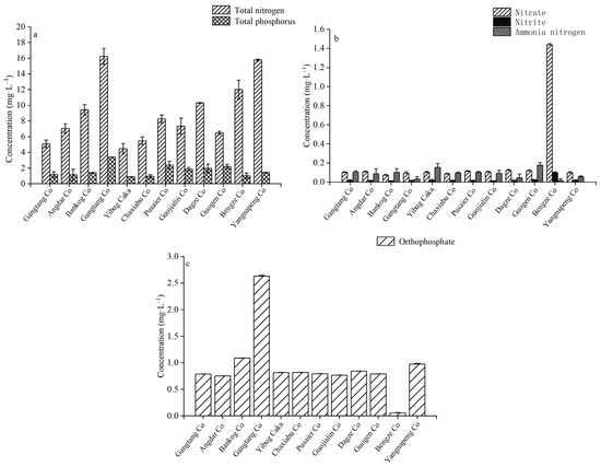
Analysis of Water Chemistry Characteristics and Main Ion Controlling Factors of Lakes in the Nagqu Area of the Qinghai–Tibet Plateau in Summer
by Yifan Jin, Boshan Zhu, Fang Wang, Shichun Sun, Pengfei Wang and Xiaoshou Liu
Water 2023, 15(16), 2900; https://doi.org/10.3390/w15162900 - 11 Aug 2023
Cited by 4 | Viewed by 2777
Abstract
The Nagqu area is in the northern part of the Qinghai–Tibet Plateau, and its average altitude is above 4000 m. Due to the area’s high altitude, there is relatively little information about its lakes. Therefore, to supplement the basic information of lakes in [...] Read more.
The Nagqu area is in the northern part of the Qinghai–Tibet Plateau, and its average altitude is above 4000 m. Due to the area’s high altitude, there is relatively little information about its lakes. Therefore, to supplement the basic information of lakes in the area, this study collected surface water samples from 12 lakes, including Gangtang Co, Pusaier Co, Guojialin Co, Dagze Co, Yangnapeng Co, Bankog Co, Dangqung Co, Chaxiabu Co, Angdar Co, Bengze Co, Guogen Co, and Yibug Caka from July to August 2020. Furthermore, the factors controlling the lake water chemistry characteristics and the main ion sources were explored using the Piper, Gibbs, and ion ratio methods. The results were as follows: (1) The lakes had high levels of salt, alkalinity, and mineralization, and all the lakes except Bengze Co were salt lakes. The 12 lakes met the Class V water standard. (2) Dangqung Co, Bankog Co, Guojialin Co, Daze Co, and Yangnapeng Co were in the initial stage of lake succession, while the others were in the later stages of lake succession. (3) Evaporation–crystallization was the most important factor controlling the water chemistry of the 12 lakes, and most of the ions in the lakes come from the dissolution of evaporite. Full article
Show Figures

Figure 1

15 pages, 5443 KB  
Article
Landscape Pattern Changes and Climate Response in Nagqu Hangcuo National Wetland Park in the Tibetan Plateau
by Xiaoping Zhang, Xinyi Wang, Zihong Hu and Juncai Xu
Sustainability 2023, 15(13), 10200; https://doi.org/10.3390/su151310200 - 27 Jun 2023
Cited by 4 | Viewed by 1905
Abstract
Wetlands are vital ecosystems in the Tibetan Plateau that play a crucial role in water conservation, flood storage, and biodiversity maintenance. They are sensitive to climate change and typically have high ecological and environmental quality levels due to minimal human disturbance. This study [...] Read more.
Wetlands are vital ecosystems in the Tibetan Plateau that play a crucial role in water conservation, flood storage, and biodiversity maintenance. They are sensitive to climate change and typically have high ecological and environmental quality levels due to minimal human disturbance. This study aimed to quantify landscape pattern changes within the Nagqu Hangcuo National Wetland Park (NNWP) and identify the impact of climate on wetland change. Using remote sensing data from six periods (1990, 1995, 2000, 2005, 2010, and 2015), dynamic change analysis, landscape pattern analysis, and correlation analysis were employed to determine the evolutionary features of the wetland landscape and explore their relationship with climatic factors. The results showed that the total wetland area increased from 15.11 km2 in 1990 to 15.23 km2 in 2015. The meadow area increased the most among landscape types, primarily converted from swamps. Over 25 years, the fragmentation of the NNWP’s landscape increased while diversity decreased and its shape became more complex. Meadows were more sensitive to climatic factors than other landscape types, with correlation coefficients between wetland separation and sunshine duration being more significant than other climatic factors. Therefore, it is imperative to monitor landscape pattern changes and the effects of climate change to better protect wetland parks through long-term planning, suitable mechanisms, and advanced technology. Full article
(This article belongs to the Special Issue Sustainability of Aquatic and Wetland Ecosystems under Climate Change)
Show Figures

Figure 1

16 pages, 8531 KB  
Article
Assessment of Grassland Degradation on the Tibetan Plateau Based on Multi-Source Data
by Shanshan Wang, Lizhi Jia, Liping Cai, Yijia Wang, Tianyu Zhan, Anqi Huang and Donglin Fan
Remote Sens. 2022, 14(23), 6011; https://doi.org/10.3390/rs14236011 - 27 Nov 2022
Cited by 18 | Viewed by 3974
Abstract
Grassland is one of the most widely distributed ecosystems on the Tibetan Plateau (TP) accounting for about 60% of the total area. The grassland degradation has spread throughout the TP, and the scope and degree are increasing. The inconsistency of multi-source data poses [...] Read more.
Grassland is one of the most widely distributed ecosystems on the Tibetan Plateau (TP) accounting for about 60% of the total area. The grassland degradation has spread throughout the TP, and the scope and degree are increasing. The inconsistency of multi-source data poses a great challenge to accurately obtaining information about grassland degradation on the TP. This study used five land cover products and six vegetation indexes to analyze the spatial-temporal change in grassland area and quality at the pixel level across the TP from 2000 to 2020. Then, 279 observed grassland degradation points that were collected from 86 published papers were used to verify the grassland degradation information. The grassland fusion product demonstrated that the grassland area increased by 8.84% from 2000 to 2020, and the rate of grassland degradation exceeded the rate of grassland greening during 2010–2020. The superimposed six vegetation indexes showed that 25.88% of the grassland quality has been degraded on the TP from 2000 to 2020. In Changdu City, Ganzi Tibetan Autonomous Prefecture, Gannan Tibetan Autonomous Prefecture, Yushu Tibetan Autonomous Prefecture, Aba Tibetan and Qiang Autonomous Prefecture, Rikaze City, Shannan City and Nagqu City, the grassland quality degraded by more than in 20% and the degraded grassland area exceeded 2000 km2. The observed grassland degradation points were mainly distributed in the northeastern and central parts of the TP. The consistency of six vegetation indexes with the observed grassland degradation points on the TP was 56.63%, with solar-induced chlorophyll fluorescence (SIF) being more effective than other vegetation indexes for monitoring grassland degradation on the TP. In general, the degradation of grassland on the TP has been a looming problem in recent decades. Full article
Show Figures

Figure 1

19 pages, 4044 KB  
Article
Spatiotemporal Patterns and Driving Factors of Ecological Vulnerability on the Qinghai-Tibet Plateau Based on the Google Earth Engine
by Zhengyuan Zhao, Ting Li, Yunlong Zhang, Da Lü, Cong Wang, Yihe Lü and Xing Wu
Remote Sens. 2022, 14(20), 5279; https://doi.org/10.3390/rs14205279 - 21 Oct 2022
Cited by 26 | Viewed by 3895
Abstract
With the background of climate change and intensified human activities, environmental problems are becoming increasingly prominent on the Qinghai-Tibet Plateau (QTP). For the development of efficient environmental policies and protection measures, quick and accurate assessments of the spatiotemporal patterns in ecological vulnerability are [...] Read more.
With the background of climate change and intensified human activities, environmental problems are becoming increasingly prominent on the Qinghai-Tibet Plateau (QTP). For the development of efficient environmental policies and protection measures, quick and accurate assessments of the spatiotemporal patterns in ecological vulnerability are crucial. Based on the Google Earth Engine (GEE) platform, we used Moderate Resolution Imaging Spectroradiometer (MODIS), Shuttle Radar Topography Mission (SRTM), and human footprint (HFP) datasets to analyze the spatiotemporal distributions and main driving factors of the remote sensing ecological vulnerability index (RSEVI) for the QTP. Moreover, spatial autocorrelation analysis and the standard deviational ellipse (SDE) were used to analyze the spatiotemporal characteristics. Our results showed that the RSEVI gradually increased from the southeast to the northwest of the QTP. From 2000 to 2018, the potential vulnerability area increased by 6.59 × 104 km2, while the extreme vulnerability area decreased by 1.84 × 104 km2. Moran’s I value of the RSEVI was greater than 0 and increased, indicating that the aggregation degree was increasing. The gravity center was located in Nagqu, Tibet, and shifted to the northwest from 2000 to 2015 and to the southeast from 2015 to 2018. The SDE rotated in a counterclockwise direction. The three most important driving factors of ecological vulnerability were wetness, land surface temperature (LST), and the normalized difference vegetation index (NDVI), indicating that climate and vegetation were the dominant factors. Moreover, this study developed a promising method for the ecological vulnerability assessment of large-scale and long time series datasets, and it provides theoretical support for the ecological conservation and sustainable development of the QTP under global change. Full article
(This article belongs to the Special Issue Remote Sensing of Ecosystems)
Show Figures

Figure 1

20 pages, 3826 KB  
Article
The Seasonal and Diurnal Variation Characteristics of Soil Moisture at Different Depths from Observational Sites over the Tibetan Plateau
by Hongyi Li, Ziniu Xiao, Junhong Wei and Ge Wang
Remote Sens. 2022, 14(19), 5010; https://doi.org/10.3390/rs14195010 - 8 Oct 2022
Cited by 7 | Viewed by 3628
Abstract
Using observational data of soil moisture from the third Tibetan Plateau Experiment for atmospheric science (TIPEX III), the seasonal and diurnal variations characteristics of soil moisture at different depths of 5–160 cm from seven stations were analyzed, with emphasis on the comparative analysis [...] Read more.
Using observational data of soil moisture from the third Tibetan Plateau Experiment for atmospheric science (TIPEX III), the seasonal and diurnal variations characteristics of soil moisture at different depths of 5–160 cm from seven stations were analyzed, with emphasis on the comparative analysis of the differences of soil moisture between different sites and the differences of the synergistic relationship between soil moisture and temperature. The soil moisture was wet in the southeast and dry in the northwest. The studied sites were Lhari, Biru, Nyainrong, Amdo, Nagqu, Baingoin and Seng-ge Kambab in descending order, according to the soil moisture. The seasonal variation of soil moisture at the different sites showed a significant three-peak structure, which was more obvious in the shallow layer than in the deep layer. The first peak occurred from March to May, which was mainly due to the soil thawing in spring. The other two peaks corresponded to the two rainy seasons in the plateau. Soil moisture was the greatest during this rainy period. The diurnal variations of soil moisture and temperature in Amdo, Nagqu, Nyainrong and Baingoin showed a significant positive correlation in the four seasons. The soil moisture and temperature in Lhari and Biru were significantly positively correlated in winter and spring but negatively correlated in summer and autumn. The profiles of the soil moisture with depth varied greatly at different stations in different seasons. The distribution of soil water content at each observational site did not increase or decrease with depth but showed a certain high aquifer, which might be related to the types of the underlying surface and physical properties of soil. During the summer monsoon period, soil moisture in the shallow layer of 5–10 cm was higher at all observational sites. The spatial distribution of soil moisture in the plateau was more heterogeneous than that in the plain area, and only in the central part of the Tibetan Plateau, the soil moisture varied greatly from site to site. This also indicated that it was unreasonable to only use the soil moisture of several stations to represent the overall soil moisture of the region. The results provided a multi-angle observational basis for the validation of satellite data and parameterization of the numerical model of soil moisture over the Tibetan Plateau. Full article
Show Figures

Figure 1

8 pages, 829 KB  
Article
The Multistage 20-Meter Shuttle Run Test Reference Values for Tibetan Children and Adolescents in Tibet, China
by Xiaojian Yin, Feng Zhang, Pengwei Sun, Yuan Liu and Yaru Guo
Int. J. Environ. Res. Public Health 2022, 19(19), 12703; https://doi.org/10.3390/ijerph191912703 - 4 Oct 2022
Cited by 4 | Viewed by 3253
Abstract
Objective: Cardiorespiratory fitness (CRF) reference data for Tibetan (Zang ethnicity) children and adolescents at high altitudes in Tibet of China are lacking. The present study aimed to develop sex- and age-specific 20mSRT norms for Chinese Tibetan children and adolescents at high altitudes. Method: [...] Read more.
Objective: Cardiorespiratory fitness (CRF) reference data for Tibetan (Zang ethnicity) children and adolescents at high altitudes in Tibet of China are lacking. The present study aimed to develop sex- and age-specific 20mSRT norms for Chinese Tibetan children and adolescents at high altitudes. Method: A total of 4667 participants from Lhasa (3650 m), Nagqu (4500 m), and Amdo (4700 m) were selected by a stratified random cluster sampling method in two stages. The 20 m SRT test was used to estimate cardiorespiratory fitness. The 20 m SRT norms were developed by the lambda, mu, and sigma method (LMS). Results: The 20 m SRT laps, completed stages/minutes, and the speed at the last complete stage of Chinese Tibetan children and adolescents aged 7–18 years increased with age. Conclusion: Given the importance of CRF for children and adolescents’ health, the government should strengthen the monitoring of the CRF of Tibetan children and adolescents in high-altitude areas, strengthen physical education curriculum reform, and increase the level of physical activity in order to improve the level of CRF in children and adolescents. Full article
Show Figures

Figure 1

10 pages, 924 KB  
Article
Associations between Physical Fitness Index and Body Mass Index in Tibetan Children and Adolescents in Different High-Altitude Areas: Based on a Study in Tibet, China
by Yunjie Zhang, Fan Su, Yongjing Song and Jinkui Lu
Int. J. Environ. Res. Public Health 2022, 19(16), 10155; https://doi.org/10.3390/ijerph191610155 - 16 Aug 2022
Cited by 15 | Viewed by 2764
Abstract
Objective: To investigate the relationship between physical fitness index (PFI) and body mass index (BMI) of Tibetan children and adolescents in different high-altitude areas in Tibet, China. Methods: Using the stratified cluster sampling method, 3819 Tibetan children and adolescents from three different high-altitude [...] Read more.
Objective: To investigate the relationship between physical fitness index (PFI) and body mass index (BMI) of Tibetan children and adolescents in different high-altitude areas in Tibet, China. Methods: Using the stratified cluster sampling method, 3819 Tibetan children and adolescents from three different high-altitude areas including Nyingchi, Lhasa and Nagqu in the Tibet area of China were given grip strength, standing long jump, sitting forward bend, 50 m running and endurance running tests. One-way analysis of variance was used to compare the physical fitness index in different high-altitude areas. In addition, the method of curve regression analysis was used to analyze the relationship between PFI and BMI. Results: In general, the level of PFI in Nagqu, Tibet, China was lower than that in Nyingchi and Lhasa, and the levels of girls were generally lower than those of boys. The proportions of malnourished, normal, overweight and obese Tibetan boys in high-altitude areas were 11.8%, 79.7%, and 8.5%; those of girls were 3.3%, 82.3%, and 14.4%, respectively. The curve regression analysis showed that the model fitting of male Nyingchi, Lhasa, Nagqu and female Nyingchi, Lhasa, Nagqu were all significant (F values were 29.697, 34.709, 37.500, 9.123, 9.785, 6.939, p < 0.01). The relationship between BMI and PFI generally showed an inverted “U” curve relationship. Conclusion: The negative impact of overweight and obesity on physical fitness of Tibetan boys in high-altitude areas is significantly higher than that of girls, and the negative impact of overweight and obesity on physical fitness of boys in Lhasa and Nyingchi area is more significant than that in the Nagqu area. In the future, attention should be paid to Lhasa and the occurrence of overweight and obesity among Tibetan boys in Nyingchi area in order to prevent the sharp decline of physical fitness and promote the physical and mental development of Tibetan children and adolescents in high-altitude areas. Full article
(This article belongs to the Special Issue Effect of Physical Activity on Human Fitness)
Show Figures

Figure 1

32 pages, 6487 KB  
Article
Early Cretaceous Granitoids Magmatism in the Nagqu Area, Northern Tibet: Constraints on the Timing of the Lhasa–Qiangtang Collision
by Kaiyang Wu, Yun Zhong, Yajuan Yuan, Zhifeng Wan, Bin Xia and Tengfei Wu
Minerals 2022, 12(8), 933; https://doi.org/10.3390/min12080933 - 24 Jul 2022
Cited by 6 | Viewed by 2727
Abstract
The timing of the Lhasa–Qiangtang collision following the closure of the Bangong–Nujiang Tethys Ocean has not been well constrained. An integrated study of whole-rock geochemistry and zircon U–Pb–Hf isotopes was carried out for Early Cretaceous quartz diorite-porphyrites and granites from the Yilashan and [...] Read more.
The timing of the Lhasa–Qiangtang collision following the closure of the Bangong–Nujiang Tethys Ocean has not been well constrained. An integrated study of whole-rock geochemistry and zircon U–Pb–Hf isotopes was carried out for Early Cretaceous quartz diorite-porphyrites and granites from the Yilashan and Amdo areas, northern Tibet. LA–ICP–MS zircon U–Pb dating reveal that the Yilashan and Amdo granitoids were emplaced at ~121–110 Ma. These granitic rocks display selective enrichment of light rare earth elements, large ion lithophile elements (e.g., Rb, U) and Th, but depletion of Sr and high field strength elements (e.g., Nb, Ta, Ti) compared to its neighboring elements. These new data, combined with regional geological setting, show that these igneous rocks were formed under a geodynamic setting of the Lhasa and Qiangtang (–Amdo) collision with oceanic slab breakoff and asthenospheric upwelling. The BNTO had been closed at ~121–110 Ma in the study area. Yilashan-Amdo granitoids roughly yield high (87Sr/86Sr)i ratios and obvious negative εNd(t) and zircon εHf(t) values along with old Nd TDM and zircon Hf TDM2 ages. Together with their variable U–Pb ages, these features indicate a Precambrian “hidden” crustal source beneath the northern Lhasa and Amdo terranes. The YLSS S-type granophyres were derived from partial melting of Paleoproterozoic lower crustal metagraywackes, whereas the YLSZ quartz diorite–porphyrites and the Amdo I- and A-type granites were mainly derived from partial melting of Paleo–Mesoproterozoic lower crustal mafic rocks with a certain amount of addition of mantle-derived melts. Minor amounts of the materials originated from the Amdo orthogneisses may also be involved in the formation of the YLSZ quartz diorite–porphyrites and the Amdo I-type granites. In addition, the Yilashan ophiolite was intruded by the ~112–108 Ma granophyric and quartz diorite–porphyritic intrusions before its final emplacement into the surrounding strata. Full article
(This article belongs to the Section Mineral Geochemistry and Geochronology)
Show Figures

Figure 1

21 pages, 4779 KB  
Article
Risk Assessment of Snow Disasters for Animal Husbandry on the Qinghai–Tibetan Plateau and Influences of Snow Disasters on the Well-Being of Farmers and Pastoralists
by Jinjian Li, Yujia Zou, Yufang Zhang, Shanlei Sun and Xiaobin Dong
Remote Sens. 2022, 14(14), 3358; https://doi.org/10.3390/rs14143358 - 12 Jul 2022
Cited by 11 | Viewed by 2325
Abstract
In the context of global warming, meteorological disasters occur more frequently in various regions which exert increasing influences on human life. Snow disasters are some of the natural disasters that most seriously affect the development of husbandry on the Qinghai–Tibetan Plateau (QTP), so [...] Read more.
In the context of global warming, meteorological disasters occur more frequently in various regions which exert increasing influences on human life. Snow disasters are some of the natural disasters that most seriously affect the development of husbandry on the Qinghai–Tibetan Plateau (QTP), so it is necessary to explore their spatio-temporal variations and perform comprehensive risk assessment. Based on the daily snow depth data set in China, obtained by inversion of satellite remote sensing data, the spatio-temporal variation characteristics of snow disasters on the QTP from 1980 to 2019 were studied. The regional difference in the comprehensive risks of snow disasters for the husbandry on the QTP was evaluated from four perspectives, i.e., the risk of hazard factors, sensitivity of hazard-inducing environments, vulnerability of hazard-affected bodies, and disaster prevention and mitigation capacity. The farmer and pastoralist well-being (FPWB) index in five typical regions was constructed to discuss the possible influences of snow disasters on the FPWB since the 21st century. Results show that, in the last 40 years, the frequency, duration, average snow depth, and grade of snow disasters on the QTP all exhibited significant interannual and interdecadal variabilities, and they also displayed a declining long-term trend. The comprehensive risk of snow disasters for the husbandry on the QTP is low in the north while high in the south. The high-risk zone accounts for 1.54% of the total and is mainly located in Kashgar City in the north-western end of the QTP; the sub-high-risk and medium-risk zones are mainly found in the south of the plateau and are distributed in a tripole pattern, separately covering 15.96% and 16.32% of the total area of the plateau; the north of the plateau mainly belongs to low-risk and sub-low-risk zones, which separately account for 43.06% and 23.12% of the total area of the plateau. Since the beginning of the 21st century, the FPWB in five typical regions, namely, Kashgar (I), Shigatse (II), Nagqu (III), Qamdo (IV), and Yushu (V), has been increasing, while the risk of snow disasters has gradually decreased. Every 1% decrease in the risk of snow disasters corresponded to 0.186%, 0.768%, 0.378%, 0.109%, and 0.03% increases in the FPWB index in the five regions. Snow disasters affect FPWB mainly by directly or indirectly damaging material resources (livestock inventories and meat production) and social and financial resources. Full article
Show Figures

Graphical abstract

21 pages, 14043 KB  
Article
The Restoration Potential of the Grasslands on the Tibetan Plateau
by Ruijing Wang, Qisheng Feng, Zheren Jin and Tiangang Liang
Remote Sens. 2022, 14(1), 80; https://doi.org/10.3390/rs14010080 - 24 Dec 2021
Cited by 14 | Viewed by 4369
Abstract
While the alpine grassland ecosystems on the Tibetan Plateau (TP) have generally improved in recent years, some grasslands still suffer from varying degrees of degradation. Studying the restoration potential (R) of the grasslands on the TP is crucial to the conservation and restoration [...] Read more.
While the alpine grassland ecosystems on the Tibetan Plateau (TP) have generally improved in recent years, some grasslands still suffer from varying degrees of degradation. Studying the restoration potential (R) of the grasslands on the TP is crucial to the conservation and restoration of its alpine grassland ecosystems. Few studies have assessed the restoration value of the alpine grasslands on the TP. We attempt to estimate the actual (ANPP) and potential net primary productivity (PNPP) of the grasslands on the TP. On this basis, we defined R as the “gap” between the current and highest achievable levels of restoration of a grassland. Then, R estimates were yielded for the alpine grasslands on the TP, which we used to analyze the restoration value of these grasslands. Specifically, based on the meteorological data for the period 2001–2019, in conjunction with remote-sensing imagery acquired by a moderate-resolution imaging spectroradiometer for the same period, the Carnegie–Ames–Stanford approach model was selected to produce ANPP estimates for the grasslands on the TP. Then, the Thornthwaite memorial model, the principle of similar habitats, and the Chikugo model, were employed to generate PNPP estimates for these grasslands. In addition, the R of these grasslands was then assessed based on the difference between their PNPP and ANPP. The main results are summarized as follows. (1) A multiyear mean R of 332.33 g C·m–2 (81.59% of the ANPP) was determined for the grasslands on the TP over the period 2001–2019. A notable spatial distribution pattern of high Rs in the southwestern, eastern and middle parts of the TP, and low Rs in the northwestern part of the TP were also identified. Most of the grasslands in areas such as the southern part of Nagqu, the southwestern part of Ngari, Xigaze, Garze Tibetan Autonomous Prefecture, Aba Tibetan and Qiang Autonomous Prefecture, Gannan Tibetan Autonomous Prefecture, Huangnan Tibetan Autonomous Prefecture, Haibei Tibetan Autonomous Prefecture, Guoluo Tibetan Autonomous Prefecture and Yushu Tibetan Autonomous Prefecture were found to have high restoration value. (2) Grasslands with a stable R account were the highest proportion (76.13%) of all the grasslands on the TP, followed by those with a decreasing R (19.62%) and those with an increasing R (4.24%). Grasslands with an increasing R were mainly concentrated in the southern part of Xigaze, and parts of Yushu Tibetan Autonomous Prefecture, Guoluo Tibetan Autonomous Prefecture and Garze Tibetan Autonomous Prefecture. (3) Analysis based on the local conditions of the TP revealed a high restoration value for three types of grassland (i.e., alpine meadows, mountain meadows, and temperate meadow steppes), the grasslands distributed at altitudes of 3000–4000 m, and the grasslands located in the warm temperate zone. The results of this study are expected to provide scientific and theoretical support for the formulation of policies and measures aimed at conserving grasslands, as well as restoring ecosystems and degraded grasslands on the TP. Full article
(This article belongs to the Topic Climate Change and Environmental Sustainability)
Show Figures

Figure 1

Back to TopTop