Landscape Pattern Changes and Climate Response in Nagqu Hangcuo National Wetland Park in the Tibetan Plateau
Abstract
1. Introduction
- Quantifying the landscape pattern changes within the NNWP and identifying the influence of climate on wetland changes;
- Discovering that meadows are more sensitive to climatic factors than other landscape types and proposing targeted conservation measures to avoid meadow degradation;
- Concluding that increased attention must be given to landscape pattern changes and the effects of climate change in order to better protect wetland parks through long-term planning, appropriate mechanisms, and advanced technology.
2. Generality of the Study Region
3. Data and Analysis Methods
3.1. Data
3.1.1. RS Data
3.1.2. Meteorological Data
3.2. Analysis Methods
3.2.1. Comprehensive Land-Use Dynamic Degree
3.2.2. Landscape Pattern Analysis Method
3.2.3. Correlation Analysis Method
4. Results, Analysis, and Discussion
4.1. Land Use and Land Cover in the NNWP
4.2. The Wetland Landscape Pattern Change
4.2.1. Landscape Pattern Changes in the Type Level
4.2.2. Landscape Pattern Changes in the Entire Area
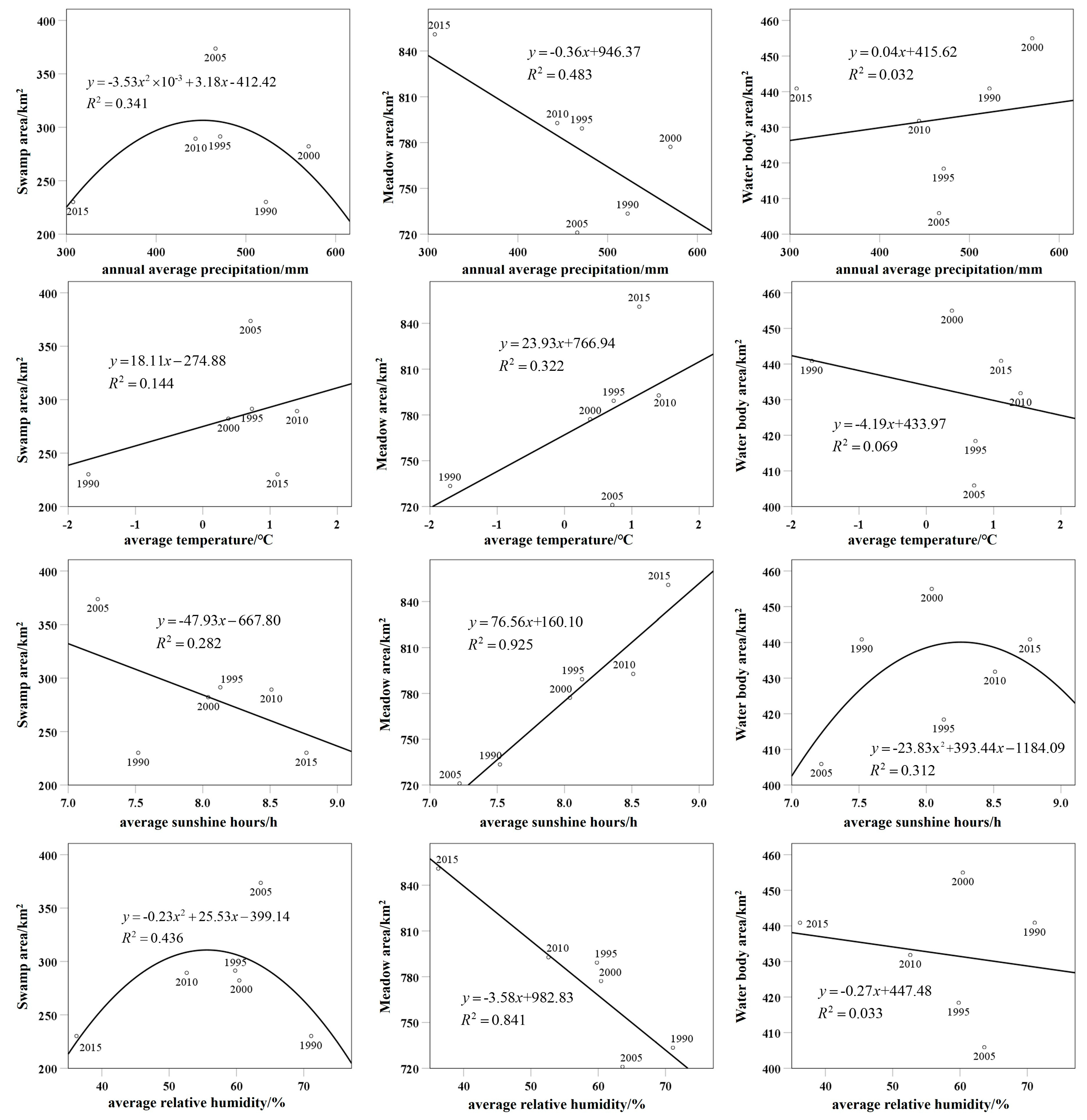
4.3. Correlation Analysis of Wetland Evolution and Meteorological Factors
4.3.1. Climatic Factors and Correlation Analysis of the Wetland Landscape Area
4.3.2. Analysis of Climatic Factors and Wetland Landscape Pattern Index
5. Conclusions
- (1)
- The total wetland area increased from 15.11 km2 in 1990 to 15.23 km2 in 2015, with meadow area increasing the most among landscape types primarily converted from swamps;
- (2)
- Fragmentation of the NNWP’s landscape increased while diversity decreased and shape became more complex over 25 years;
- (3)
- Meadows were more sensitive to climatic factors than other landscape types, with correlation coefficients between wetland separation and sunshine duration being more significant than other climatic factors;
- (4)
- It is imperative to monitor landscape pattern changes and the effects of climate change to better protect wetland parks through long-term planning, suitable mechanisms, and advanced technology.
Author Contributions
Funding
Institutional Review Board Statement
Informed Consent Statement
Data Availability Statement
Acknowledgments
Conflicts of Interest
References
- Zhao, W.; Liu, B.; Zhang, Z. Water requirements of maize in the middle Heihe River basin, China. Agric. Water Manag. 2010, 97, 215–223. [Google Scholar] [CrossRef]
- Copeland, H.E.; Tessman, S.A.; Girvetz, E.H.; Roberts, L.; Enquist, C.; Orabona, A.; Patla, S.; Kiesecker, J. A geospatial assessment on the distribution, condition, and vulnerability of Wyoming’s wetlands. Ecol. Indic. 2010, 10, 869–879. [Google Scholar] [CrossRef]
- Lienert, J.; Diemer, M.; Schmid, B. Effects of habitat fragmentation on population structure and fitness components of the wetland specialist Swertia perennis L. (Gentianaceae). Basic Appl. Ecol. 2002, 3, 101–114. [Google Scholar] [CrossRef]
- Zhao, Z.; Zhang, Y.; Liu, L.; Liu, F.; Zhang, H. Recent changes in wetlands on the Tibetan Plateau: A review. J. Geogr. Sci. 2015, 25, 879–896. [Google Scholar] [CrossRef]
- Xiao, D.-r.; Tian, B.; Tian, K.; Yang, Y. Landscape patterns and their changes in Sichuan Ruoergai wetland national nature reserve. Acta Ecol. Sin. 2010, 30, 27–32. [Google Scholar] [CrossRef]
- Cao, X. Dynamics of wetland landscape pattern in Kaifeng City from 1987 to 2002. Chin. Geogr. Sci. 2008, 18, 146–154. [Google Scholar] [CrossRef]
- Chen, W.; Cao, C.; Liu, D.; Tian, R.; Wu, C.; Wang, Y.; Qian, Y.; Ma, G.; Bao, D. An evaluating system for wetland ecological health: Case study on nineteen major wetlands in Beijing-Tianjin-Hebei region, China. Sci. Total Environ. 2019, 666, 1080–1088. [Google Scholar] [CrossRef]
- Li, Z.; Liu, X.; Niu, T.; Kejia, D.; Zhou, Q.; Ma, T.; Gao, Y. Ecological restoration and its effects on a regional climate: The source region of the Yellow River, China. Environ. Sci. Technol. 2015, 49, 5897–5904. [Google Scholar] [CrossRef]
- Wang, X.; Ning, L.; Yu, J.; Xiao, R.; Li, T. Changes of urban wetland landscape pattern and impacts of urbanization on wetland in Wuhan City. Chin. Geogr. Sci. 2008, 18, 47–53. [Google Scholar] [CrossRef]
- Middleton, B.A. Flood Pulsing in Wetlands: Restoring the Natural Hydrological Balance; John Wiley & Sons: Hoboken, NJ, USA, 2002. [Google Scholar]
- Li, J.; Heap, A.D. A review of comparative studies of spatial interpolation methods in environmental sciences: Performance and impact factors. Ecol. Inform. 2011, 6, 228–241. [Google Scholar] [CrossRef]
- Weiwei, Z.; Pengpeng, W.; Hong, L.; Danfeng, S.; Liandi, Z. Landscape pattern analysis and quality evaluation in Beijing Hanshiqiao Wetland Nature Reserve. Procedia Environ. Sci. 2011, 10, 1698–1706. [Google Scholar] [CrossRef]
- Quesnelle, P.E.; Lindsay, K.E.; Fahrig, L. Relative effects of landscape-scale wetland amount and landscape matrix quality on wetland vertebrates: A meta-analysis. Ecol. Appl. 2015, 25, 812–825. [Google Scholar] [CrossRef] [PubMed]
- Bai, J.-H.; Lu, Q.-Q.; Wang, J.-J.; Zhao, Q.-Q.; Ouyang, H.; Deng, W.; Li, A.-N. Landscape pattern evolution processes of alpine wetlands and their driving factors in the Zoige plateau of China. J. Mt. Sci. 2013, 10, 54–67. [Google Scholar] [CrossRef]
- Chen, H.; Zhang, W.; Gao, H.; Nie, N. Climate change and anthropogenic impacts on wetland and agriculture in the Songnen and Sanjiang Plain, Northeast China. Remote Sens. 2018, 10, 356. [Google Scholar] [CrossRef]
- Moomaw, W.R.; Chmura, G.; Davies, G.T.; Finlayson, C.; Middleton, B.A.; Natali, S.M.; Perry, J.; Roulet, N.; Sutton-Grier, A.E. Wetlands in a changing climate: Science, policy and management. Wetlands 2018, 38, 183–205. [Google Scholar] [CrossRef]
- Chen, W.; Yao, T.; Zhang, G.; Woolway, R.I.; Yang, W.; Xu, F.; Zhou, T. Glacier surface heatwaves over the Tibetan Plateau. Geophys. Res. Lett. 2023, 50, e2022GL101115. [Google Scholar] [CrossRef]
- Shanmugam, P.; Ahn, Y.-H.; Sanjeevi, S. A comparison of the classification of wetland characteristics by linear spectral mixture modelling and traditional hard classifiers on multispectral remotely sensed imagery in southern India. Ecol. Model. 2006, 194, 379–394. [Google Scholar] [CrossRef]
- Lisein, J.; Pierrot-Deseilligny, M.; Bonnet, S.; Lejeune, P. A photogrammetric workflow for the creation of a forest canopy height model from small unmanned aerial system imagery. Forests 2013, 4, 922–944. [Google Scholar] [CrossRef]
- Dronova, I. Object-based image analysis in wetland research: A review. Remote Sens. 2015, 7, 6380–6413. [Google Scholar] [CrossRef]
- Rebelo, A.J.; Scheunders, P.; Esler, K.J.; Meire, P. Detecting, mapping and classifying wetland fragments at a landscape scale. Remote Sens. Appl. Soc. Environ. 2017, 8, 212–223. [Google Scholar] [CrossRef]
- Cózar, A.; Gálvez, J.A.; Hull, V.; García, C.M.; Loiselle, S.A. Sediment resuspension by wind in a shallow lake of Esteros del Ibera (Argentina): A model based on turbidimetry. Ecol. Model. 2005, 186, 63–76. [Google Scholar] [CrossRef]
- Huiping, Z.; Hong, J.; Qinghua, H. Landscape and water quality change detection in urban wetland: A post-classification comparison method with IKONOS data. Procedia Environ. Sci. 2011, 10, 1726–1731. [Google Scholar] [CrossRef]
- Calhoun, A.J.; Mushet, D.M.; Bell, K.P.; Boix, D.; Fitzsimons, J.A.; Isselin-Nondedeu, F. Temporary wetlands: Challenges and solutions to conserving a ‘disappearing’ ecosystem. Biol. Conserv. 2017, 211, 3–11. [Google Scholar] [CrossRef]
- Bao, R.; Alonso, A.; Delgado, C.; Pages, J. Identification of the main driving mechanisms in the evolution of a small coastal wetland (Traba, Galicia, NW Spain) since its origin 5700 cal yr BP. Palaeogeogr. Palaeoclimatol. Palaeoecol. 2007, 247, 296–312. [Google Scholar] [CrossRef]
- Zhang, Y.; Gong, Z.; Gong, H.; Zhao, W. Investigating the dynamics of wetland landscape pattern in Beijing from 1984 to 2008. J. Geogr. Sci. 2011, 21, 845. [Google Scholar] [CrossRef]
- Wang, S.; Wang, S. Land use/land cover change and their effects on landscape patterns in the Yanqi Basin, Xinjiang (China). Environ. Monit. Assess. 2013, 185, 9729–9742. [Google Scholar] [CrossRef] [PubMed]
- Liu, G.; Zhang, L.; Zhang, Q.; Musyimi, Z.; Jiang, Q. Spatio–temporal dynamics of wetland landscape patterns based on remote sensing in Yellow River Delta, China. Wetlands 2014, 34, 787–801. [Google Scholar] [CrossRef]
- Ballanti, L.; Byrd, K.B.; Woo, I.; Ellings, C. Remote sensing for wetland mapping and historical change detection at the Nisqually River Delta. Sustainability 2017, 9, 1919. [Google Scholar] [CrossRef]
- Kuang, D.; Xu, J. Combined multiple spectral–spatial features and multikernel support tensor machine for hyperspectral image classification. J. Appl. Remote Sens. 2019, 14, 32603. [Google Scholar] [CrossRef]
- Moor, H.; Hylander, K.; Norberg, J. Predicting climate change effects on wetland ecosystem services using species distribution modeling and plant functional traits. Ambio 2015, 44, 113–126. [Google Scholar] [CrossRef]
- McIntyre, N.E.; Wright, C.K.; Swain, S.; Hayhoe, K.; Liu, G.; Schwartz, F.W.; Henebry, G.M. Climate forcing of wetland landscape connectivity in the Great Plains. Front. Ecol. Environ. 2014, 12, 59–64. [Google Scholar] [CrossRef]
- Dangles, O.; Rabatel, A.; Kraemer, M.; Zeballos, G.; Soruco, A.; Jacobsen, D.; Anthelme, F. Ecosystem sentinels for climate change? Evidence of wetland cover changes over the last 30 years in the tropical Andes. PLoS ONE 2017, 12, e0175814. [Google Scholar] [CrossRef]
- Tong, L.; Xu, X.; Fu, Y.; Li, S. Wetland changes and their responses to climate change in the “three-river headwaters” region of China since the 1990s. Energies 2014, 7, 2515–2534. [Google Scholar] [CrossRef]
- Liu, F.; Qin, T.; Girma, A.; Wang, H.; Weng, B.; Yu, Z.; Wang, Z. Dynamics of land-use and vegetation change using NDVI and transfer matrix: A case study of the Huaihe River Basin. Pol. J. Environ. Stud. 2018, 28, 213–223. [Google Scholar] [CrossRef] [PubMed]
- Lunetta, R.S.; Lyon, J.G. Remote Sensing and GIS Accuracy Assessment; CRC Press: Boca Raton, FL, USA, 2004. [Google Scholar]
- Rozenstein, O.; Karnieli, A. Comparison of methods for land-use classification incorporating remote sensing and GIS inputs. Appl. Geogr. 2011, 31, 533–544. [Google Scholar] [CrossRef]
- Guo, M.; Li, J.; Sheng, C.; Xu, J.; Wu, L. A review of wetland remote sensing. Sensors 2017, 17, 777. [Google Scholar] [CrossRef] [PubMed]
- Nong, D.H.; Lepczyk, C.A.; Miura, T.; Fox, J.M. Quantifying urban growth patterns in Hanoi using landscape expansion modes and time series spatial metrics. PLoS ONE 2018, 13, e0196940. [Google Scholar] [CrossRef]
- Pramanik, S.; Punia, M. Assessment of green space cooling effects in dense urban landscape: A case study of Delhi, India. Model. Earth Syst. Environ. 2019, 5, 867–884. [Google Scholar] [CrossRef]
- Zhang, Y.; Yan, J.; Cheng, X.; He, X. Wetland Changes and Their Relation to Climate Change in the Pumqu Basin, Tibetan Plateau. Int. J. Environ. Res. Public Health 2021, 18, 2682. [Google Scholar] [CrossRef]
- Fang, J.; Zaitchik, B. Challenges in Reconciling Satellite-Based and Locally Reported Estimates of Wetland Change: A Case of Topographically Constrained Wetlands on the Eastern Tibetan Plateau. Remote Sens. 2021, 13, 1484. [Google Scholar] [CrossRef]






| Types | Landscape Types | Landscape Features | Video Display |
|---|---|---|---|
| Wetland | Waterbody | Covering the surface without emergent plants; clear boundary, regular shape, image color band combination black or blue, dark blue, and uniform texture. | ![]() |
| Swamp | The land surface is covered with emergent vegetation (mainly Hippuris alginate, three-lobed base buttercup, and Kobresia) and perennial water accumulation, which displays patchy distribution and an irregular shape. The combination of image bands was green, light green, and rough texture. | ![]() | |
| Meadow | The surface is covered with snow in winter and generally vegetation (mainly Carex and Kobresia) in other seasons. The soil is perennially moist and has a bulk distribution of strip-shaped, irregularly shaped, and uniform texture. | ![]() | |
| Non-wetland | Prairie | Surface area covered with snow in winter, and there are advantages to plant species, including the Artemisia community with dwarf plants and other communities. In the alpine soil all year round, in a dry state, clear border strip chunks are distributed, irregularly shaped, pale pink, and have an uneven texture. | ![]() |
| Wetland Type | Meadow | Swamp | Waterbody | Wetland Area | |
|---|---|---|---|---|---|
| 1990 | Total area (km2) | 7.33 | 3.67 | 4.11 | 15.11 |
| Proportion | 46.81% | 23.44% | 26.25% | 96.49% | |
| 1995 | Total area (km2) | 7.88 | 2.93 | 4.19 | 15 |
| Proportion | 50.32% | 18.71% | 26.76% | 95.79% | |
| 2000 | Total area (km2) | 7.76 | 2.83 | 4.55 | 15.14 |
| Proportion | 49.55% | 18.07% | 29.05% | 96.68% | |
| 2005 | Total area (km2) | 7.2 | 3.74 | 4.06 | 15 |
| Proportion | 45.98% | 23.88% | 25.93% | 95.79% | |
| 2010 | Total area (km2) | 7.92 | 2.9 | 4.32 | 15.14 |
| Proportion | 50.57% | 18.52% | 27.59% | 96.68% | |
| 2015 | Total area (km2) | 8.52 | 2.29 | 4.42 | 15.23 |
| Proportion | 54.41% | 14.62% | 28.22% | 97.25% | |
| 1990–2015 | Rate of change (km2/a) | 0.0476 | −0.0552 | 0.0124 | - |
| Landscape Types in 1990 | Landscape Types in 2015 | Comprehensive Dynamic Degree (%) | |||
|---|---|---|---|---|---|
| Meadow | Prairie | Waterbody | Swamp | ||
| Meadow | 6.96 | 0.00 | 0.20 | 0.14 | 0.48 |
| Prairie | 0.13 | 0.38 | 0.00 | 0.03 | |
| Waterbody | 0.01 | 0.00 | 4.10 | 0.01 | |
| Swamp | 1.39 | 0.04 | 0.13 | 2.11 | |
| Landscape Types | The Average Annual Precipitation | Average Temperature | Sunshine Duration | Average Relative Humidity | ||||
|---|---|---|---|---|---|---|---|---|
| Correlation | Significance | Correlation | Significance | Correlation | Significance | Correlation | Significance | |
| Meadow | 0.695 | 0.125 | 0.567 | 0.241 | 0.962 | 0.002 2 | −0.917 | 0.01 1 |
| Swamp | 0.584 | 0.535 | 0.380 | 0.458 | −0.531 | 0.279 | 0.660 | 0.563 |
| Waterbody | 0.180 | 0.773 | −0.263 | 0.615 | 0.427 | 0.398 | −0.182 | 0.731 |
| Landscape Index Separation | Average Annual Precipitation | Average Temperature | Average Relative Humidity | Average Sunshine Duration | ||||
|---|---|---|---|---|---|---|---|---|
| Correlation | Significance | Correlation | Significance | Correlation | Significance | Correlation | Significance | |
| Meadow | 0.446 | 0.375 | −0.0114 | 0.83 | 0.652 | 0.161 | −0.865 1 | 0.026 |
| Swamp | −0.472 | 0.344 | 0.563 | 0.245 | −0.773 | 0.071 | 0.856 1 | 0.03 |
| Waterbody | 0.083 | 0.876 | −0.374 | 0.465 | 0.563 | 0.245 | −0.774 | 0.071 |
Disclaimer/Publisher’s Note: The statements, opinions and data contained in all publications are solely those of the individual author(s) and contributor(s) and not of MDPI and/or the editor(s). MDPI and/or the editor(s) disclaim responsibility for any injury to people or property resulting from any ideas, methods, instructions or products referred to in the content. |
© 2023 by the authors. Licensee MDPI, Basel, Switzerland. This article is an open access article distributed under the terms and conditions of the Creative Commons Attribution (CC BY) license (https://creativecommons.org/licenses/by/4.0/).
Share and Cite
Zhang, X.; Wang, X.; Hu, Z.; Xu, J. Landscape Pattern Changes and Climate Response in Nagqu Hangcuo National Wetland Park in the Tibetan Plateau. Sustainability 2023, 15, 10200. https://doi.org/10.3390/su151310200
Zhang X, Wang X, Hu Z, Xu J. Landscape Pattern Changes and Climate Response in Nagqu Hangcuo National Wetland Park in the Tibetan Plateau. Sustainability. 2023; 15(13):10200. https://doi.org/10.3390/su151310200
Chicago/Turabian StyleZhang, Xiaoping, Xinyi Wang, Zihong Hu, and Juncai Xu. 2023. "Landscape Pattern Changes and Climate Response in Nagqu Hangcuo National Wetland Park in the Tibetan Plateau" Sustainability 15, no. 13: 10200. https://doi.org/10.3390/su151310200
APA StyleZhang, X., Wang, X., Hu, Z., & Xu, J. (2023). Landscape Pattern Changes and Climate Response in Nagqu Hangcuo National Wetland Park in the Tibetan Plateau. Sustainability, 15(13), 10200. https://doi.org/10.3390/su151310200





