Sign in to use this feature.

Years

Between: -

Subjects

remove_circle_outline
remove_circle_outline
remove_circle_outline
remove_circle_outline
remove_circle_outline
remove_circle_outline

Journals

Article Types

Countries / Regions

Search Results (54)

Search Parameters:
Keywords = NaBH4 hydrolysis

Order results
Result details
Results per page
Select all
Export citation of selected articles as:
16 pages, 1799 KB  
Article
Glucose-Mediated Synthesis of Spherical Carbon Decorated with Gold Nanoparticles as Catalyst in a Hydrogen Generation Reaction
by Erik Biehler and Tarek M. Abdel-Fattah
Catalysts 2025, 15(12), 1141; https://doi.org/10.3390/catal15121141 - 4 Dec 2025
Viewed by 554
Abstract
The growing environmental and economic impacts of carbon-based fuels have accelerated the search for sustainable alternatives, with hydrogen (H2) emerging as a clean and efficient energy carrier. Sodium borohydride (NaBH4) is a promising hydrogen storage compound, due to its [...] Read more.
The growing environmental and economic impacts of carbon-based fuels have accelerated the search for sustainable alternatives, with hydrogen (H2) emerging as a clean and efficient energy carrier. Sodium borohydride (NaBH4) is a promising hydrogen storage compound, due to its high hydrogen content (10.6 wt%) and stability under ambient conditions. However, its hydrolysis with water proceeds slowly without an effective catalyst. In this study, gold nanoparticle-decorated spherical carbon (AuSC) composites were synthesized and evaluated as catalysts for NaBH4 hydrolysis. The spherical carbon support, prepared via a glucose-mediated route, provided a high-surface-area and conductive matrix that dispersed and stabilized Au nanoparticles, preventing agglomeration. Catalyst morphology and composition were characterized using XRD, TEM, SEM, and EDS analyses. The AuSC catalyst exhibited excellent catalytic activity, producing 21.8 mL of H2 at pH 7, 303 K, and 835 μmol NaBH4. The activation energy (Ea) was determined to be 51.6 kJ mol−1, consistent with a heterolytic B–H bond cleavage mechanism at the Au–C interface. The TON (2.82 × 104) and TOF (1.41 × 104 h−1) values confirmed high intrinsic catalytic efficiency. These results demonstrate that Au-decorated spherical carbon composites are efficient, stable, and promising catalysts for hydrogen generation from NaBH4 hydrolysis under mild conditions. Full article
Show Figures

Graphical abstract

15 pages, 2994 KB  
Article
Boosting Hydrogen Generation with Platinum Nanoparticles Decorated on HTiNbO5 via NaBH4 Hydrolysis
by Juliana Peña Gómez, Geraldo Magela de Lima, Veronica Evangelista Machado, Noemí Cristina Silva de Souza, José D. Ardisson, Tiago Almeida Silva, Fabrício Vieira de Andrade and Renata Pereira Lopes Moreira
Processes 2025, 13(12), 3832; https://doi.org/10.3390/pr13123832 - 27 Nov 2025
Viewed by 439
Abstract
In this study, we report the preparation of platinum nanoparticles (Pt NPs) deposited on HTiNbO5 and the application of the resultant material in the catalytic decomposition of sodium borohydride (NaBH4) to generate hydrogen. The starting material, KTiNbO5, was [...] Read more.
In this study, we report the preparation of platinum nanoparticles (Pt NPs) deposited on HTiNbO5 and the application of the resultant material in the catalytic decomposition of sodium borohydride (NaBH4) to generate hydrogen. The starting material, KTiNbO5, was prepared through a solid-state process involving Nb2O5, K2CO3, and TiO2. The subsequent treatment with HNO3 resulted in the exchange of potassium by protons, rendering HTiNbO5. This material served as support for Pt nanoparticles (3.6 ± 0.7 nm), producing Pt NPs/HTiNbO5. All compounds were characterized using TGA, FTIR, XRD, Raman, SEM-EDS, and HRTEM. The influence of different factors on the reaction kinetics was evaluated, resulting in a hydrogen generation rate (HGR) of 22,790.18 mL min1gcat1 at 50 °C. The activation energy (41.83 kJ mol−1) was also determined. A mechanistic study with deuterated water revealed a kinetic isotopic effect (KIE) value of 1.27, indicating the dissociation of B-H from BH4 as the rate-determining step of the process. Furthermore, the reuse and durability of the material were evaluated, revealing a catalyst performance close to 100% over the 10 tested cycles. Therefore, it can be concluded that the synthesized material, Pt-nanoparticles dispersed on HTiNbO5, exhibits excellent performance and is suitable for hydrogen evolution from NaBH4. Full article
(This article belongs to the Section Chemical Processes and Systems)
Show Figures

Figure 1

4 pages, 384 KB  
Proceeding Paper
A Computational Study to Determine Thermodynamic Properties for Hydrogen Production from Sodium Borohydride Reaction
by Gamze Özçakır
Chem. Proc. 2025, 18(1), 39; https://doi.org/10.3390/ecsoc-29-26733 - 11 Nov 2025
Viewed by 140
Abstract
Because of fossil fuel depletion and its inevitable danger to the environment, researchers have worked on alternative fuel sources like hydrogen (H2), which can be obtained via renewable energy sources like biomass, solar, geothermal, ocean, wind, hydropower, and nuclear. H2 [...] Read more.
Because of fossil fuel depletion and its inevitable danger to the environment, researchers have worked on alternative fuel sources like hydrogen (H2), which can be obtained via renewable energy sources like biomass, solar, geothermal, ocean, wind, hydropower, and nuclear. H2 has many advantages. It has a high heating value compared to traditional fossil fuels. It can be synthesized from water or biomass without releasing any greenhouse gases (GHGs). Nowadays, the most popular hydrogen production methods are sodium borohydride (NaBH4) hydrolysis, photocatalysis, and water electrolysis. Among them, the NaBH4 hydrolysis reaction is preferred due to its advantages. It is possible to reach high hydrogen generation rates under mild conditions with this reaction. In this work, thermodynamic analysis was carried out with Gaussian 09W software. At first, the products and reactants of the reaction were drawn. Then, enthalpy and free energy information were taken for the reaction. Calculations were carried out via the Hartree–Fock Method for each molecule. Basis set was selected as 6-31G(d). Reaction conditions were assumed as 298 K and 1 atm. As a result of the computations, the enthalpy and free energy of the reaction were found as −58.0315 kcal/mol and −72.6141 kcal/mol, respectively. This means that this reaction was exothermic because of the negative sign of enthalpy, and the negative sign of Gibbs energy is related to spontaneous reaction. Full article
Show Figures

Figure 1

16 pages, 2063 KB  
Article
Spherical Carbon Derived from Sustainable Sources and Decorated with Silver Nanoparticles as a Catalyst for Hydrogen Release
by Erik Biehler and Tarek M. Abdel-Fattah
Materials 2025, 18(21), 4912; https://doi.org/10.3390/ma18214912 - 27 Oct 2025
Viewed by 564
Abstract
The reliance on carbon-based fuels remains a major contributor to greenhouse gas emissions, emphasizing the need for sustainable alternatives such as hydrogen. Sodium borohydride (NaBH4), with a hydrogen content of 10.6 wt%, is a promising chemical hydrogen storage material capable of [...] Read more.
The reliance on carbon-based fuels remains a major contributor to greenhouse gas emissions, emphasizing the need for sustainable alternatives such as hydrogen. Sodium borohydride (NaBH4), with a hydrogen content of 10.6 wt%, is a promising chemical hydrogen storage material capable of releasing four moles of H2 per mole through hydrolysis; however, effective catalysts are essential for practical implementation. In this study, silver nanoparticles supported on glucose-derived carbon microspheres (AgSC) were synthesized and evaluated for catalytic NaBH4 hydrolysis. Structural characterization (XRD, TEM, SEM, EDS) confirmed the uniform dispersion of metallic silver nanoparticles on the carbon support with no detectable Ag2O phase. AgSC exhibited superior catalytic activity compared to unsupported Ag or bare carbon, achieving the highest hydrogen generation under neutral pH, elevated temperatures, and 835 µmol NaBH4. The catalyst displayed an activation energy of 54 kJ mol−1, turnover numbers (TONs) of 1.4 × 105–1.9 × 105, and turnover frequencies (TOFs) of 7.1 × 104–9.3 × 104 h−1, demonstrating efficient utilization of active sites. pH-dependent studies revealed optimal hydrogen yield under neutral conditions, while acidic and basic media reduced performance due to surface poisoning and BH4 stabilization, respectively. Reusability tests showed only ~5% activity loss after five cycles. These findings establish AgSC as a stable, efficient, and recyclable catalyst for on-demand hydrogen generation, supporting sustainable clean fuel technologies. Full article
Show Figures

Graphical abstract

16 pages, 1382 KB  
Article
The Catalytic Consequence of Isolated Ni Single-Atoms in BEA Zeolite for Hydrogen Production and Olefin Conversion
by Yitong Zhao, Meng Liu, Yao Ning, Ying Zhang and Zhijie Wu
Catalysts 2025, 15(8), 703; https://doi.org/10.3390/catal15080703 - 24 Jul 2025
Viewed by 1187
Abstract
In our previous work, we fabricated Ni single-atoms within Beta zeolite (Ni1@Beta-NO3) using NiNO3·6H2O as a metal precursor without any chelating agents, which exhibited exceptional performance in the selective hydrogenation of furfural. Owing to [...] Read more.
In our previous work, we fabricated Ni single-atoms within Beta zeolite (Ni1@Beta-NO3) using NiNO3·6H2O as a metal precursor without any chelating agents, which exhibited exceptional performance in the selective hydrogenation of furfural. Owing to the confinement effect, the as-encapsulated nickel species appears in the form of Ni0 and Niδ+, which implies its feasibility in metal catalysis and coordination catalysis. In the study reported herein, we further explored the hydrogen production and olefin oligomerization performance of Ni1@Beta-NO3. It was found that Ni1@Beta-NO3 demonstrated a high H2 generation turnover frequency (TOF) and low activation energy (Ea) in a sodium borohydride (NaBH4) hydrolysis reaction, with values of 331 min−1 and 30.1 kJ/mol, respectively. In ethylene dimerization, it exhibited a high butylene selectivity of 99.4% and a TOF as high as 5804 h−1. In propylene oligomerization, Ni1@Beta-NO3 demonstrated high selectivity (75.21%) of long-chain olefins (≥C6+), overcoming the problem of cracking reactions that occur during oligomerization using H-Beta. Additionally, as a comparison, the influence of the metal precursor (NiCl2) on the performance of the encapsulated Ni catalyst was also examined. This research expands the application scenarios of non-noble metal single-atom catalysts and provides significant assistance and potential for the production of H2 from hydrogen storage materials and the production of valuable chemicals. Full article
(This article belongs to the Special Issue State of the Art and Future Challenges in Zeolite Catalysts)
Show Figures

Graphical abstract

13 pages, 3563 KB  
Article
Porous Zn Nano-Wafer Aerogels for Asymmetric Supercapacitors: Synthesis, Structural Engineering, and Performance
by Ramya Ramkumar, Ganesh Koyyada, Md Riad Al Rabbi Abir, Thirumala Rao Gurugubelli, Woo Kyoung Kim and Jae Hong Kim
Processes 2025, 13(5), 1461; https://doi.org/10.3390/pr13051461 - 10 May 2025
Cited by 1 | Viewed by 906
Abstract
Transition metal oxide aerogels (AGLs) have attracted considerable attention in recent years due to their exceptional properties, including high surface area, significant porosity, and ultralow density. In this study, we report the first-time synthesis of zinc oxide nano-wafers and zinc aerogels for application [...] Read more.
Transition metal oxide aerogels (AGLs) have attracted considerable attention in recent years due to their exceptional properties, including high surface area, significant porosity, and ultralow density. In this study, we report the first-time synthesis of zinc oxide nano-wafers and zinc aerogels for application as supercapacitor electrodes. The aerogels were synthesized via a novel one-pot hydrolysis method using NaBH4 as a reducing agent and subsequently annealed at 200 °C (ZnAGL(200)) and 450 °C (ZnAGL(450)) to investigate the influence of temperature on their electrochemical properties. Structural and morphological characterizations were conducted using XRD, FTIR, BET, XPS, SEM, and TEM analyses. Among the fabricated electrodes, the aerogel annealed at 200 °C (ZnAGL(200)) exhibited superior energy storage performance, attributed to its amorphous, continuous network structure, which enhanced its surface area and reduced its density compared to both the as-synthesized (ZnAGL(RT)) and 450 °C-annealed (ZnAGL(450)) counterparts. A two-electrode device demonstrated excellent cycling stability over 10,000 cycles, achieving an energy density of 7.97 Wh/kg and a power density of 15 kW/kg. These findings highlight the potential of zinc aerogels as materials for next-generation lightweight energy storage systems, with promising applications in industrial, mechanical, and aerospace technologies. Full article
(This article belongs to the Special Issue 2nd Edition of Innovation in Chemical Plant Design)
Show Figures

Graphical abstract

17 pages, 8294 KB  
Article
Aqueous Gel-Casting Synthesis and the Characterization of Cobalt Oxide as a Catalyst Precursor for Sodium Borohydride Hydrolysis
by Lan Zhang, Zhihua Deng, Bin Miao, Hongquan He, Chee Kok Poh, Lili Zhang and Siew Hwa Chan
Catalysts 2025, 15(4), 380; https://doi.org/10.3390/catal15040380 - 14 Apr 2025
Cited by 1 | Viewed by 1271
Abstract
Aqueous gel-casting provides a cost-effective and scalable approach for synthesizing nano-spherical Co3O4 powders, enabling precise control over particle morphology. In this study, Co3O4 powders were prepared using this method and evaluated as a catalyst precursor for the [...] Read more.
Aqueous gel-casting provides a cost-effective and scalable approach for synthesizing nano-spherical Co3O4 powders, enabling precise control over particle morphology. In this study, Co3O4 powders were prepared using this method and evaluated as a catalyst precursor for the hydrolysis of sodium borohydride (NaBH4). The effects of the monomer (acrylamide, AM)-to-metal molar ratio and initiator content (ammonium persulphate, APS) on particle size and catalytic performance were systematically explored. X-ray diffraction (XRD) analysis confirmed the formation of the Co3O4 phase at 400 °C, while transmission electron microscopy (TEM) images revealed particle sizes ranging from 16 to 85 nm, with higher AM and APS concentrations promoting finer particles. The optimized catalyst achieved a high hydrogen generation rate (HGR) of 28.13 L min−1·cat.−1, demonstrating excellent catalytic activity. Moreover, in situ-formed cobalt boride, derived from Co3O4 calcined at 600 °C for 2 h, exhibited an activation energy of 51.81 kJ mol−1, comparable to Ru-based catalysts. This study underscores the aqueous gel-casting technique as a promising strategy for synthesizing efficient and low-cost hydrogen generation catalysts, offering an alternative to noble metal-based materials. Full article
(This article belongs to the Special Issue Catalytic Processes for Green Hydrogen Production)
Show Figures

Figure 1

11 pages, 2995 KB  
Article
Ti3AlC2 MAX/MXene for Hydrogen Generation via Photocatalytic Hydride Hydrolysis
by Hani Nasser Abdelhamid
Inorganics 2025, 13(2), 44; https://doi.org/10.3390/inorganics13020044 - 5 Feb 2025
Cited by 5 | Viewed by 1882
Abstract
Reducing dehydrogenation temperature while preserving high hydrogen generation capacity obstructs the hydrolysis of sodium borohydrides (NaBH4). The two-dimensional (2D) MAX phase of titanium aluminum carbide (Ti3AlC2) and MXene (Ti3C2Tx) multilayers was [...] Read more.
Reducing dehydrogenation temperature while preserving high hydrogen generation capacity obstructs the hydrolysis of sodium borohydrides (NaBH4). The two-dimensional (2D) MAX phase of titanium aluminum carbide (Ti3AlC2) and MXene (Ti3C2Tx) multilayers was investigated for hydrogen generation via NaBH4 hydrolysis with and without light. The material was characterized using X-ray diffraction (XRD), Fourier transform infrared (FT-IR), transmission electron microscopy (TEM), high-resolution TEM (HR-TEM), scanning electron microscopy (SEM), and diffuse reflectance spectroscopy (DRS). The activity of Ti3AlC2 was significantly enhanced by the integration of UV light radiation during hydrolysis. Ti3AlC2/Ti3C2Tx improved the dehydrogenation rates of NaBH4 at ambient conditions and maintained high hydrogen generation rates (HGRs) over time compared to a conventional method. It exhibited a HGR of 200–300 mL·min−1·g−1. Photo-assisted hydrolysis over the catalyst can be maintained for several times at ambient temperature. The catalyst demonstrated effective performance even after five cycles of usage. Full article
Show Figures

Figure 1

18 pages, 2368 KB  
Article
Hydrogen Production from Chemical Hydrides via Porous Carbon Particle Composite Catalyst Embedding of Metal Nanoparticles
by Sahin Demirci, Osman Polat and Nurettin Sahiner
Micromachines 2025, 16(2), 172; https://doi.org/10.3390/mi16020172 - 31 Jan 2025
Cited by 2 | Viewed by 1382
Abstract
Porous carbon particles (PCPs) prepared from sucrose via the hydrothermal method and its modified forms with polyethyleneimine (PEI) as PCP-PEI were used as templates as in situ metal nanoparticles as M@PCP and M@PCP-PEI (M:Co, Ni, or Cu), respectively. The prepared M@PCP and M@PCP-PEI [...] Read more.
Porous carbon particles (PCPs) prepared from sucrose via the hydrothermal method and its modified forms with polyethyleneimine (PEI) as PCP-PEI were used as templates as in situ metal nanoparticles as M@PCP and M@PCP-PEI (M:Co, Ni, or Cu), respectively. The prepared M@PCP and M@PCP-PEI composites were used as catalysts in the hydrolysis of NaBH4 and NH3BH3 to produce hydrogen (H2). The amount of Co nanoparticles within the Co@PCP-PEI structure was steadily increased via multiple loading/reducing cycles, e.g., from 29.8 ± 1.1 mg/g at the first loading/reducing cycles to 44.3 ± 4.9 mg/g after the third loading/reducing cycles. The Co@PCP-PEI catalyzed the hydrolysis of NaBH4 within 120 min with 251 ± 1 mL H2 production and a 100% conversion ratio with a 3.8 ± 0.3 mol H2/(mmol cat·min) turn-over frequency (TOF) and a lower activation energy (Ea), 29.3 kJ/mol. In addition, the Co@PCP-PEI-catalyzed hydrolysis of NH3BH3 was completed in 28 min with 181 ± 1 mL H2 production at 100% conversion with a 4.8 ± 0.3 mol H2/(mmol cat·min) TOF value and an Ea value of 32.5 kJ/mol. Moreover, Co@PCP-PEI composite catalysts were afforded 100% activity up to 7 and 5 consecutive uses in NaBH4 and NH3B3 hydrolysis reactions, respectively, with all displaying 100% conversions for both hydrolysis reactions in the 10 successive uses of the catalyst. Full article
(This article belongs to the Section C:Chemistry)
Show Figures

Figure 1

21 pages, 5741 KB  
Article
Bimetallic NiCo Nanoparticles Embedded in Organic Group Functionalized Mesoporous Silica for Efficient Hydrogen Production from Ammonia Borane Hydrolysis
by Juti Rani Deka, Diganta Saikia, Ning-Fang Lu, Chieh-Yu Chen, Hsien-Ming Kao and Yung-Chin Yang
Nanomaterials 2024, 14(22), 1818; https://doi.org/10.3390/nano14221818 - 13 Nov 2024
Cited by 2 | Viewed by 1741
Abstract
In this study, bimetallic NiCo nanoparticles (NPs) were encapsulated within the mesopores of carboxylic acid functionalized mesoporous silica (CMS) through the chemical reduction approach. Both NaBH4 and NH3BH3 were used as reducing agents to reduce the metal ions simultaneously. [...] Read more.
In this study, bimetallic NiCo nanoparticles (NPs) were encapsulated within the mesopores of carboxylic acid functionalized mesoporous silica (CMS) through the chemical reduction approach. Both NaBH4 and NH3BH3 were used as reducing agents to reduce the metal ions simultaneously. The resulting composite was used as a catalyst for hydrolysis of ammonia borane (NH3BH3, AB) to produce H2. The bimetallic NiCo NPs supported on carboxylic group functionalized mesoporous silica, referred to as NixCo100−x@CMS, exhibited significantly higher catalytic activity for AB hydrolysis compared to their monometallic counterparts. The remarkable activity of NixCo100−x@CMS could be ascribed to the synergistic contributions of Ni and Co, redox reaction during the hydrolysis, and the fine-tuned electronic structure. The catalytic performance of the NixCo100−x@CMS nanocatalyst was observed to be dependent on the composition of Ni and Co. Among all the compositions investigated, Ni40Co60@CMS demonstrated the highest catalytic activity, with a turn over frequency (TOF) of 18.95 molH2min−1molcatalyst−1 and H2 production rate of 8.0 L min−1g−1. The activity of Ni40Co60@CMS was approximately three times greater than that of Ni@CMS and about two times that of Co@CMS. The superior activity of Ni40Co60@CMS was attributed to its finely-tuned electronic structure, resulting from the electron transfer of Ni to Co. Furthermore, the nanocatalyst exhibited excellent durability, as the carboxylate group in the support provided a strong metal–support interaction, securely anchoring the NPs within the mesopores, preventing both agglomeration and leakage. Full article
(This article belongs to the Special Issue Applications of Nanoporous Materials in Sensors and Catalysis)
Show Figures

Figure 1

15 pages, 3476 KB  
Article
Synthesis of Ecofriendly Bimetallic Pt/Ni Nanoparticles on KNbO3 via Hydrothermal Process for Sustainable Hydrogen Evolution from NaBH4
by Tulho Martins dos Reis, Aléxia Caroline de Castro Alves, Victor Nogueira da Silva, Guilherme Oliveira Siqueira, Fabrício Vieira de Andrade, Geraldo Magela de Lima and Renata Pereira Lopes Moreira
Processes 2024, 12(11), 2340; https://doi.org/10.3390/pr12112340 - 24 Oct 2024
Cited by 3 | Viewed by 2324
Abstract
The performance of nickel and platinum bimetallic nanoparticles (NPs) supported on potassium niobate (KNbO3) is evaluated in the catalytic hydrolysis of sodium borohydride (NaBH4) to generate hydrogen (H2). KNbO3 was synthesized via a hydrothermal route using [...] Read more.
The performance of nickel and platinum bimetallic nanoparticles (NPs) supported on potassium niobate (KNbO3) is evaluated in the catalytic hydrolysis of sodium borohydride (NaBH4) to generate hydrogen (H2). KNbO3 was synthesized via a hydrothermal route using Nb2O5 and KOH as precursors. X-ray diffraction (XRD) confirmed the crystalline orthorhombic structure of KNbO3. The Ni/Pt NPs, with an average size of 4.66 nm and a spherical morphology, were uniformly dispersed on the surface of KNbO3 nanosheets. The N2 physisorption isotherms of KNbO3 and Ni/Pt NPs were classified as type V with H3 hysteresis, showing specific surface areas of 0.170 and 2.87 m2 g−1, respectively. Catalytic performance studies examined various Ni/Pt molar ratios, with the 1:3 ratio (mol/mol) demonstrating the highest efficiency. Kinetic analysis of NaBH4 hydrolysis showed that the data fit the pseudo-first-order model. An increase in temperature enhanced the hydrogen generation rate (HGR), reaching 2068.3 mL gcat−1 min−1 at 315.05 K. The apparent activation energy (Ea) was determined to be 29.9 kJ mol−1. Durability assays showed only an 11% decrease in activity after 11 catalytic cycles. Thus, a promising, easy-to-synthesize, and environmentally friendly catalyst for NaBH4 hydrolysis has been developed. Full article
(This article belongs to the Special Issue Nanomaterial-Mediated Green Catalysis)
Show Figures

Figure 1

14 pages, 3278 KB  
Article
High-Efficiency and Fast Hydrogen Production from Sodium Borohydride: The Role of Adipic Acid in Hydrolysis, Methanolysis and Ethanolysis Reactions
by Savas Gurdal
Molecules 2024, 29(20), 4893; https://doi.org/10.3390/molecules29204893 - 16 Oct 2024
Cited by 11 | Viewed by 2948
Abstract
In this study, hydrogen production through the hydrolysis, ethanolysis, and methanolysis reactions of NaBH4 using adipic acid as a catalyst was investigated for the first time. Adipic acid solutions were prepared with methanol and ethanol at concentrations of 0.1, 0.2, 0.3, 0.4, [...] Read more.
In this study, hydrogen production through the hydrolysis, ethanolysis, and methanolysis reactions of NaBH4 using adipic acid as a catalyst was investigated for the first time. Adipic acid solutions were prepared with methanol and ethanol at concentrations of 0.1, 0.2, 0.3, 0.4, and 0.5 M. In these reactions, NaBH4-MR (methanolysis) and NaBH4-ER (ethanolysis) reactions were carried out at 30, 40, and 50 °C with NaBH4 concentrations of 1.25%, 2.5%, and 5%. Hydrolysis reactions (NaBH4-HR) were conducted at 0.1 M under the same conditions. In the ethanolysis and methanolysis reactions at 30 °C, total hydrogen conversion was achieved at 0.3 M, 0.4 M, and 0.5 M. However, in the hydrolysis reactions, total hydrogen production was only obtained at 50 °C. It was observed that in the NaBH4-MR and NaBH4-ER reactions, total hydrogen conversion could be achieved within 4–5 s. The utilization of adipic acid as a catalyst for hydrogen production from NaBH4 through ethanolysis and methanolysis reactions is proposed as a highly efficient and fast method, characterized by impressive conversion rates. Full article
(This article belongs to the Special Issue New Materials and Catalysis in Environmental Protection)
Show Figures

Figure 1

14 pages, 28964 KB  
Article
The Contradicting Influences of Silica and Titania Supports on the Properties of Au0 Nanoparticles as Catalysts for Reductions by Borohydride
by Gifty Sara Rolly, Alina Sermiagin, Krishnamoorthy Sathiyan, Dan Meyerstein and Tomer Zidki
Catalysts 2024, 14(9), 606; https://doi.org/10.3390/catal14090606 - 9 Sep 2024
Cited by 1 | Viewed by 1299
Abstract
This study investigates the significant impact of metal–support interactions on catalytic reaction mechanisms at the interface of oxide-supported metal nanoparticles. The distinct and contrasting effects of SiO2 and TiO2 supports on reaction dynamics using NaBD4 were studied and focused on [...] Read more.
This study investigates the significant impact of metal–support interactions on catalytic reaction mechanisms at the interface of oxide-supported metal nanoparticles. The distinct and contrasting effects of SiO2 and TiO2 supports on reaction dynamics using NaBD4 were studied and focused on the relative yields of [HD]/[H2] and [D2]/[H2]. The findings show a consistent increase in HD yields with rising [BD4] concentrations. Notably, the sequence of HD yield enhancement follows the order of TiO2-Au0-NPs < Au0-NPs < SiO2-Au0-NPs. Conversely, the rate of H2 evolution during BH4- hydrolysis exhibits an inverse trend, with TiO2-Au0-NPs outperforming the others, followed by Au0-NPs and SiO2-Au0-NPs, demonstrating the opposing effects exerted by the TiO2 and SiO2 supports on the catalytic processes. Further, the catalytic reduction of 4-nitrophenol (4-NP) to 4-aminophenol (4-AP) confirms the catalytic mechanism, with TiO2-Au0-NPs demonstrating superior activity. The catalytic activity observed aligns with the order of TiO2-Au0-NPs > Au0-NPs > SiO2-Au0-NPs, suggesting that SiO2 donates electrons to Au0-NPs, while TiO2 withdraws them. It is of interest to note that two very different processes, that clearly proceed via different mechanisms, are affected similarly by the supports. This study reveals that the choice of support material influences catalytic activity, impacting overall yield and efficiency. These findings underscore the importance of selecting appropriate support materials for tailored catalytic outcomes. Full article
(This article belongs to the Special Issue Novel Nanocatalysts for Sustainable and Green Chemistry)
Show Figures

Graphical abstract

10 pages, 2636 KB  
Article
NaBH4-Poly(Ethylene Oxide) Composite Electrolyte for All-Solid-State Na-Ion Batteries
by Xiaoxuan Luo and Kondo-Francois Aguey-Zinsou
Batteries 2024, 10(9), 316; https://doi.org/10.3390/batteries10090316 - 5 Sep 2024
Cited by 5 | Viewed by 3034
Abstract
A disordered sodium borohydride (NaBH4) environment to facilitate Na+ mobility was achieved by partially hydrolyzing NaBH4 and this significantly improved Na+ ionic conductivity to 10−3 S cm−1 at 75 °C. The reaction rate of NaBH4 [...] Read more.
A disordered sodium borohydride (NaBH4) environment to facilitate Na+ mobility was achieved by partially hydrolyzing NaBH4 and this significantly improved Na+ ionic conductivity to 10−3 S cm−1 at 75 °C. The reaction rate of NaBH4 self-hydrolysis, however, is determined by several parameters, including the reaction temperature, the molar ratio between NaBH4 and H2O, and the pH value; but these factors are hard to control. In this paper, poly(ethylene oxide) (PEO), capable of retaining H2O through hydrogen bonding, was used in an attempt to better control the amount of H2O available for NaBH4 self-hydrolysis. This strategy led to the ionic conductivity of 1.6 × 10−3 S cm−1 at 45 °C with a Na+ transference number of 0.54. The amorphous nature of the PEO matrix in hydrolyzed NaBH4 is also believed to provide a conduction path for fast Na+ conduction. Full article
(This article belongs to the Special Issue High-Performance Materials for Sodium-Ion Batteries)
Show Figures

Figure 1

15 pages, 2279 KB  
Article
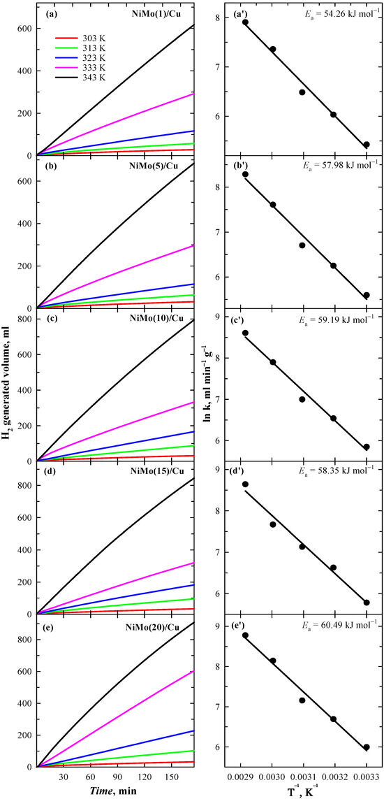
The Dependence of NiMo/Cu Catalyst Composition on Its Catalytic Activity in Sodium Borohydride Hydrolysis Reactions
by Zita Sukackienė, Gitana Valeckytė, Virginija Kepenienė, Irena Stalnionienė, Vitalija Jasulaitiene, Jūratė Vaičiūnienė, Loreta Tamašauskaitė-Tamašiūnaitė, Vidas Pakštas and Eugenijus Norkus
Materials 2024, 17(17), 4353; https://doi.org/10.3390/ma17174353 - 3 Sep 2024
Cited by 5 | Viewed by 2067
Abstract
The production of high-purity hydrogen from hydrogen storage materials with further direct use of generated hydrogen in fuel cells is still a relevant research field. For this purpose, nickel-molybdenum-plated copper catalysts (NiMo/Cu), comprising between 1 and 20 wt.% molybdenum, as catalytic materials for [...] Read more.
The production of high-purity hydrogen from hydrogen storage materials with further direct use of generated hydrogen in fuel cells is still a relevant research field. For this purpose, nickel-molybdenum-plated copper catalysts (NiMo/Cu), comprising between 1 and 20 wt.% molybdenum, as catalytic materials for hydrogen generation, were prepared using a low-cost, straightforward electroless metal deposition method by using citrate plating baths containing Ni2+–Mo6+ ions as a metal source and morpholine borane as a reducing agent. The catalytic activity of the prepared NiMo/Cu catalysts toward alkaline sodium borohydride (NaBH4) hydrolysis increased with the increase in the content of molybdenum present in the catalysts. The hydrogen generation rate of 6.48 L min−1 gcat−1 was achieved by employing NiMo/Cu comprising 20 wt.% at a temperature of 343 K and a calculated activation energy of 60.49 kJ mol−1 with remarkable stability, retaining 94% of its initial catalytic activity for NaBH4 hydrolysis following the completion of the fifth cycle. The synergetic effect between nickel and molybdenum, in addition to the formation of solid-state solutions between metals, promoted the hydrogen generation reaction. Full article
(This article belongs to the Section Catalytic Materials)
Show Figures

Graphical abstract

Back to TopTop