Sign in to use this feature.

Years

Between: -

Subjects

remove_circle_outline
remove_circle_outline
remove_circle_outline
remove_circle_outline
remove_circle_outline
remove_circle_outline
remove_circle_outline
remove_circle_outline
remove_circle_outline

Journals

remove_circle_outline
remove_circle_outline
remove_circle_outline
remove_circle_outline
remove_circle_outline
remove_circle_outline
remove_circle_outline
remove_circle_outline
remove_circle_outline
remove_circle_outline
remove_circle_outline

Article Types

Countries / Regions

remove_circle_outline
remove_circle_outline
remove_circle_outline
remove_circle_outline
remove_circle_outline

Search Results (757)

Search Parameters:
Keywords = NIR response

Order results
Result details
Results per page
Select all
Export citation of selected articles as:
23 pages, 5894 KB  
Article
Photothermal-Responsive Polyvinyl Alcohol/Gelatin/Graphene Oxide Hydrogels Loaded with Quercetin for NIR-Triggered Controlled Drug Delivery
by Alexa-Maria Croitoru, Tatiana Tozar, Mihai Boni, Angela Staicu, Roxana-Doina Trușcă, Bianca-Maria Tihăuan and Anton Ficai
Gels 2026, 12(4), 327; https://doi.org/10.3390/gels12040327 - 14 Apr 2026
Viewed by 75
Abstract
Photothermal therapy (PTT) has emerged as a promising medical strategy for controlled and targeted drug delivery, due to its ability to trigger rapid release while minimizing damage to surrounding environments. Among different near-infrared (NIR)-responsive nanomaterials, carbon materials are of particular interest due to [...] Read more.
Photothermal therapy (PTT) has emerged as a promising medical strategy for controlled and targeted drug delivery, due to its ability to trigger rapid release while minimizing damage to surrounding environments. Among different near-infrared (NIR)-responsive nanomaterials, carbon materials are of particular interest due to their multifunctional properties, with graphene oxide (GO) being a powerful photothermal therapy agent that can accelerate stimuli-responsive drug release. Herein, novel stimuli-responsive hydrogels based on polyvinyl alcohol (PVA), gelatin (Gel) and GO, loaded with natural quercetin (Q) were developed and evaluated for their physico-chemical properties, antibacterial and antifungal activities, photothermal Q release, and cellular metabolic activity. Upon NIR laser irradiation, after 10 min, Q was released twice as fast compared to conventional drug release without stimulation. The rapid release of Q by applying light radiation highlights the suitability of these hydrogels for controlled drug delivery applications. The PVA:Gel:GO/Q-hydrogels exhibited strong antimicrobial and antifungal performance (≥90% microbial reduction at higher GO concentrations). Furthermore, a significant reduction in S. aureus adhesion and invasion indicates the sample’s potential to mitigate bacterial infections. The PVA:Gel:GO/Q formulations exhibited high biocompatibility in Human Dermal Fibroblasts (HDF), demonstrating that Q improves the safety of PVA:Gel:GO-loaded hydrogels. These results offer promising potential for PVA:Gel:GO/Q hydrogels as advanced materials for photothermal-triggered drug delivery and antimicrobial applications. Full article
(This article belongs to the Special Issue Hydrogels in Biomedicine: Drug Delivery and Tissue Engineering)
Show Figures

Figure 1

19 pages, 582 KB  
Review
Neurophysiological Characteristics Associated with Driving Abilities in Older Adults: A Scoping Review
by Mutsuhide Tanaka, Yuma Hidaka and Futoshi Mori
J. Clin. Med. 2026, 15(8), 2956; https://doi.org/10.3390/jcm15082956 (registering DOI) - 13 Apr 2026
Viewed by 180
Abstract
With population aging, motor vehicle accidents involving older drivers have increased. Age-related cognitive decline affects driving performance; however, the underlying neural mechanisms remain unclear. This scoping review explored neurophysiological characteristics associated with driving in older adults, including those at risk of dementia. Following [...] Read more.
With population aging, motor vehicle accidents involving older drivers have increased. Age-related cognitive decline affects driving performance; however, the underlying neural mechanisms remain unclear. This scoping review explored neurophysiological characteristics associated with driving in older adults, including those at risk of dementia. Following PRISMA-ScR guidelines, we searched PubMed, Scopus, and CINAHL for studies examining driving-related neurophysiological measures in older adults aged ≥60 years. Twelve studies were included. Findings converge on load-dependent neural compensation failure: older adults maintain driving performance under low-to-moderate demands, but compensatory mechanisms break down under high cognitive load. Electroencephalography (EEG) studies revealed blunted midfrontal theta upregulation during high-load conditions, associated with reduced steering precision and delayed responses. Event-related potential studies demonstrated that reduced P3b amplitude was associated with missed braking responses and that abnormal visual evoked potentials in Alzheimer’s disease predicted unfit-to-drive classifications. fNIRS studies during driving-related tasks and an fMRI study using a laboratory-based visual task consistently showed prefrontal hyperactivation in older adults. Although some older adults maintained comparable performance to younger adults, the brain–behavior associations observed in younger adults were absent, suggesting that this hyperactivation does not necessarily serve a functional compensatory role. Combined with EEG evidence of impaired oscillatory modulation, these findings suggest that prefrontal hyperactivation does not necessarily compensate for diminished neural synchronization under high-load conditions. Neurophysiological markers hold promise for fitness-to-drive assessments. Future research should employ high-load scenarios and multimodal neuroimaging to verify prefrontal compensatory mechanisms. Full article
(This article belongs to the Special Issue Clinical Therapy in Dementia and Related Diseases)
Show Figures

Figure 1

17 pages, 2175 KB  
Article
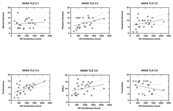
Evaluating and Classifying Gentleness in VR-Based Surgical Simulation: A VR + fNIRS Study
by Suveyda Sanli and Hasan Onur Keles
Sensors 2026, 26(8), 2388; https://doi.org/10.3390/s26082388 - 13 Apr 2026
Viewed by 177
Abstract
Gentleness, defined as the ability to handle tissues delicately while minimizing unnecessary force, is a critical indicator of surgical proficiency. Objective and real-time assessment of gentleness in virtual reality (VR)-based training can improve the understanding of both psychomotor and cognitive components of surgical [...] Read more.
Gentleness, defined as the ability to handle tissues delicately while minimizing unnecessary force, is a critical indicator of surgical proficiency. Objective and real-time assessment of gentleness in virtual reality (VR)-based training can improve the understanding of both psychomotor and cognitive components of surgical skill. This study evaluates and classifies participants’ gentleness during VR-based laparoscopic simulations using fNIRS-derived hemodynamic features. Twenty-three volunteers with no prior laparoscopic experience performed a VR-based double-grasper task while hemodynamic activity over frontal and motor cortical regions was recorded using eighteen fNIRS channels. In parallel, subjective workload (NASA-TLX), error counts, and gentleness performance score (GPS) were collected. Temporal features, including slope, root mean square, and standard deviation, were extracted from the fNIRS signals and used to train multiple machine learning classifiers. Performance labels were binarized into low and high groups using median splits of the gentleness performance score. Models were evaluated using stratified 5-fold cross-validation. Results revealed stronger right-frontal HbO activity and increased left-motor HbR responses in the low-performance group, suggesting higher cognitive effort and less efficient motor strategies. Across classifiers, slope-based features consistently outperformed variability- and amplitude-based metrics. The highest classification performance was achieved using HbR slope features with Random Forest classifiers (accuracy ≈ 0.85, AUC up to 0.93). These findings highlight the potential of fNIRS-based metrics for automated performance assessment in VR surgical training. Full article
(This article belongs to the Section Optical Sensors)
Show Figures

Figure 1

10 pages, 1335 KB  
Article
Infrared Stealth Characteristics of WO3-Based Electrochromic Devices Mediated by Zn2+-Al3+ Gel Electrolyte
by Ke Wang, Xiaoting Yang, Tongyu Liu and Wei Zhang
Materials 2026, 19(8), 1506; https://doi.org/10.3390/ma19081506 - 9 Apr 2026
Viewed by 207
Abstract
As one of the core technologies in modern national defense and security fields, infrared stealth technology aims to realize the controllable regulation of the radiation characteristics of targets in the infrared band. This paper focuses on a novel electrochromic device with a structure [...] Read more.
As one of the core technologies in modern national defense and security fields, infrared stealth technology aims to realize the controllable regulation of the radiation characteristics of targets in the infrared band. This paper focuses on a novel electrochromic device with a structure of WO3/nickel mesh/Al3+-Zn2+gel electrolyte/zinc foil. The structural composition and working mechanism are systematically analyzed, and the infrared stealth regulation performance is emphatically studied. The WO3 thin film and device structure were characterized by scanning electron microscopy (SEM). The infrared emissivity modulation and optical response properties of the device were measured using an infrared thermal imager and a UV-Vis-NIR spectrophotometer. The prepared WO3 film exhibits a dense spherical morphology, indicating excellent uniformity and compactness. After 1000 cycles, the areal capacitance of the device remains 83.7% of its initial value, demonstrating good cycling stability. Under the voltage regulation of −0.1 V to 1.1 V, the emissivity ε of the device at the typical mid-wave infrared wavelength of 4.0 μm decreases from 0.89 (−0.1 V) to 0.67 (1.1 V), with an absolute modulation amplitude Δε of 0.22. At the typical long-wave infrared wavelength of 8.7 μm, ε decreases from 0.96 (−0.1 V) to 0.69 (1.1 V), with an absolute modulation amplitude Δε of 0.29. The electrochromic switching times for coloring and bleaching are 10.1 s and 2.44 s, respectively. According to infrared thermal imaging tests, in the temperature range of 30–40 °C, the surface temperature difference ΔT between the colored state and bleached state increases from 4.3 °C to 4.6 °C. The maximum regulation amplitude reaches 4.6 °C at 40 °C. The device achieves efficient regulation of infrared emissivity through the electrochromic effect, providing a new device design strategy for infrared stealth technology. Full article
(This article belongs to the Section Construction and Building Materials)
Show Figures

Figure 1

15 pages, 1608 KB  
Article
Early Detection and Differentiation of Dragon Fruit Plant Diseases Using Optical Spectral Reflectance
by Priyanka Belbase and Maruthi Sridhar Balaji Bhaskar
Appl. Sci. 2026, 16(7), 3480; https://doi.org/10.3390/app16073480 - 2 Apr 2026
Viewed by 409
Abstract
Dragon fruit (Hylocereus spp.) is an emerging crop in the tropics and subtropics, but its production is increasingly threatened by diseases that reduce yield and profitability. Early diagnosis of these diseases is crucial for timely intervention, yet visual symptoms often appear only [...] Read more.
Dragon fruit (Hylocereus spp.) is an emerging crop in the tropics and subtropics, but its production is increasingly threatened by diseases that reduce yield and profitability. Early diagnosis of these diseases is crucial for timely intervention, yet visual symptoms often appear only after significant infection has occurred. The study aims to evaluate how optical spectral reflectance can detect dragon fruit diseases and identify the most responsive spectral regions. In this study, six major dragon fruit stem diseases: Neoscytalidium stem canker, stem sunburn, anthracnose, Botryosphaeria stem canker, Bipolaris stem rot, and bacterial soft rot were characterized by the goal of identifying unique spectral signatures for early detection and differentiation of each disease. Seventy-two potted dragon fruit plants of three distinct species were grown under four organic vermicompost treatments (0, 5, 10, 20 tons/acre) in both open-field and high-tunnel conditions together, in a randomized complete block design. A handheld spectroradiometer (350–2500 nm) was used to collect reflectance from the diseased and healthy cladodes (stem segment). Various spectral vegetative indices were computed to identify disease-specific features. The results revealed distinct spectral features for each disease. Infected cladodes consistently exhibited higher reflectance especially in the visible region (400–700 nm) and the near-infrared region (900–2500 nm) of the spectrum than healthy cladodes. The Normalized Difference Vegetative Index (NDVI), Green Normalized Difference Vegetative Index (GNDVI), and Spectral Ratio (SR) spectral indices were significantly higher in healthy plants than in diseased ones, reflecting higher chlorophyll concentration and plant biomass. Conversely, the 1110/810 ratio was lower in healthy plants than in diseased plants, suggesting a more compact internal plant structure. Statistical analysis revealed highly significant differences (p < 0.00001) between healthy and diseased spectra in the Red, Green and NIR regions. Linear Discriminant Analysis(LDA) achieved the highest classification accuracy (OA = 0.642, κ = 0.488), though performance was limited for minority classes. These findings demonstrate that targeted spectral sensing can identify dragon fruit diseases before obvious symptoms emerge. By pinpointing disease-specific spectral indices, our study paves the way for early-warning tools such as targeted multispectral sensors or drone-based imaging that would enable growers to intervene sooner and limit losses. These results highlight the potential for development of UAV-based or portable spectral sensors for large-scale, near real-time disease monitoring in dragon fruit production. Full article
Show Figures

Figure 1

21 pages, 3886 KB  
Article
Frequency-Dependent Whole-Brain Reconfiguration Following Left DLPFC rTMS in Older Adults: A 106-Channel fNIRS Study
by Yingpeng Wang, Yingqi Li, Hujun Wang, Congxiao Wang, Anda Xiu, Jingxuan Wang, Shaoting Zhang, Chenye Qiao, Tingyu Jiang and Shuyan Qie
Sensors 2026, 26(7), 2182; https://doi.org/10.3390/s26072182 - 1 Apr 2026
Viewed by 333
Abstract
Objective: The classic excitation/inhibition dichotomy may be insufficient to describe rTMS mechanisms in the aging brain. This study investigated immediate whole-brain resting-state functional connectivity effects of 10 Hz (high-frequency) and 1 Hz (low-frequency) rTMS over the left dorsolateral prefrontal cortex (DLPFC) in healthy [...] Read more.
Objective: The classic excitation/inhibition dichotomy may be insufficient to describe rTMS mechanisms in the aging brain. This study investigated immediate whole-brain resting-state functional connectivity effects of 10 Hz (high-frequency) and 1 Hz (low-frequency) rTMS over the left dorsolateral prefrontal cortex (DLPFC) in healthy older adults. Methods: Thirty healthy older adults (aged 60–75 years) participated in a randomized, single-blind, crossover study, and underwent 20-min 10 Hz and 1 Hz rTMS in separate visits. A 106-channel fNIRS system was used to record resting-state activity before and immediately after each intervention. Functional connectivity was analyzed at the channel, region-of-interest (ROI) and network summary levels, including graph-theoretic metrics and distance-stratified connectivity summaries. Results: At the network summary level, 10 Hz stimulation was associated with relatively more positive changes in global topology and spatially distributed connectivity summaries, whereas 1 Hz stimulation showed the opposite overall trend. In the graph-theoretic analyses, stimulation frequency × time interaction effects were observed for global efficiency, local efficiency, clustering coefficient, and mean node strength. At the edge level, only a small number of effects survived FDR correction, and the broader connection-wise patterns were therefore interpreted as exploratory. Uncorrected analyses suggested widespread enhancement after 10 Hz stimulation and widespread reduction after 1 Hz stimulation, together with localized paradoxical effects, including selective decreases after 10 Hz and selective increases after 1 Hz (e.g., bilateral primary motor cortex connectivity). Conclusions: These findings suggest that 10 Hz and 1 Hz rTMS over the left DLPFC are associated with different patterns of immediate whole-brain network reconfiguration in healthy older adults. The presence of localized paradoxical effects further suggests that rTMS responses in the aging brain may involve more complex forms of reorganization than a simple excitatory/inhibitory dichotomy would predict. Significance: The present study provides preliminary support for a network-level perspective on neuromodulation in older adults and highlights the value of whole-brain fNIRS for characterizing distributed responses to rTMS. Larger, sham-controlled, behavior-linked, and longitudinal studies are needed to determine the robustness and functional significance of these effects. Full article
(This article belongs to the Section Biomedical Sensors)
Show Figures

Figure 1

20 pages, 51362 KB  
Article
Multifunctional NIR-Responsive Composite Hydrogel with Combinatorial Antibacterial and Regenerative Properties for Diabetic Wound Healing
by Shaokai Ji, Chao Wang, Jie Song, Hang Shi, Donglei Wan, Chan Huang, Hanzhi Fu, Xiaohong Cao, Heting Wu and Jian Yang
Gels 2026, 12(4), 291; https://doi.org/10.3390/gels12040291 - 31 Mar 2026
Viewed by 309
Abstract
The management of diabetic chronic wounds (DFUs) is challenging due to persistent bacterial colonization, impaired neovascularization, and disordered inflammation. We engineered a multifunctional photothermal hydrogel (PPCS) by integrating CuS nanoparticles and high-concentration sucrose to establish a dual-action therapeutic cascade: potent antibacterial eradication followed [...] Read more.
The management of diabetic chronic wounds (DFUs) is challenging due to persistent bacterial colonization, impaired neovascularization, and disordered inflammation. We engineered a multifunctional photothermal hydrogel (PPCS) by integrating CuS nanoparticles and high-concentration sucrose to establish a dual-action therapeutic cascade: potent antibacterial eradication followed by pro-angiogenic stimulation. Upon NIR irradiation, the PPCS system executes a combinatorial anti-infective mechanism: CuS-mediated photothermal effect and ROS generation are amplified by sucrose’s hyperosmotic pressure, achieving 99.3% bacterial eradication. Beyond sterilization, the hydrogel acts as a Cu2+ sustained-release depot, significantly promoting HUVEC proliferation and migration. This pro-angiogenic effect is mechanistically linked to the upregulation of HIF-1α/VEGF signaling, accelerating neovascularization. Furthermore, sucrose efficiently manages wound exudate, maintaining a repair-conducive microenvironment. In a diabetic rat model, the PPCS dressing demonstrated superior therapeutic efficacy, achieving an accelerated wound closure rate of 99.4% by Day 14, significantly surpassing the control group’s 78.9%. This work presents a tailored hydrogel platform that effectively targets both persistent infection and impaired vascularization, offering a precise and highly efficient therapeutic modality for the clinical management of diabetic chronic wounds. Full article
(This article belongs to the Section Gel Processing and Engineering)
Show Figures

Graphical abstract

49 pages, 1468 KB  
Review
Near-Infrared Spectroscopy Used During Cardiopulmonary Resuscitation: Instrumentation, Signal Metrics, Clinical Context, and Feasibility: A Scoping Review
by Zahra Askari, Mehdi Nourizadeh, Jacob Hutton, Sumaiya Hossain, Calvin Kuo, Jim Christenson, Brian Grunau and Babak Shadgan
Sensors 2026, 26(7), 2136; https://doi.org/10.3390/s26072136 - 30 Mar 2026
Viewed by 454
Abstract
Conventional cardiopulmonary resuscitation (CPR) is guided primarily by process metrics that do not directly quantify cerebral hemodynamics or perfusion. Near-infrared spectroscopy (NIRS) provides continuous, non-invasive monitoring of regional tissue oxygenation and has emerged as a candidate modality for physiologic feedback during low-flow states. [...] Read more.
Conventional cardiopulmonary resuscitation (CPR) is guided primarily by process metrics that do not directly quantify cerebral hemodynamics or perfusion. Near-infrared spectroscopy (NIRS) provides continuous, non-invasive monitoring of regional tissue oxygenation and has emerged as a candidate modality for physiologic feedback during low-flow states. However, CPR applications vary across devices and signal processing. This scoping review maps how NIRS has been implemented during conventional CPR in humans and porcine models, with emphasis on instrumentation characteristics, signal processing, acquisition bandwidth, artifact handling, physiologic associations, and feasibility constraints. From 1048 records, 39 studies met the inclusion criteria. Most used forehead-based cerebral rSO2 monitoring (30/39). Rising cerebral oxygenation trajectories were consistently associated with return of spontaneous circulation (ROSC). In contrast, persistently low or non-increasing patterns were associated with non-ROSC, and absolute thresholds varied substantially across devices and studies. A minority of investigations derived compression-rate or waveform features from hemoglobin signals. Feasibility findings emphasized rapid probe placement without interrupting compressions but highlighted motion artifact, workflow constraints, and incomplete acquisition reporting. Overall, during conventional CPR, NIRS primarily serves as a dynamic monitor of oxygenation trends rather than a validated prognostic tool. Emerging waveform-based and hemodynamic analyses suggest the potential to evaluate CPR efficiency using perfusion-responsive optical features. Full article
(This article belongs to the Section Biomedical Sensors)
Show Figures

Figure 1

15 pages, 3430 KB  
Article
Expectation Violation Influences Neural Responses to the Accessibility of Cognitions Related to Suicide and Life: A Simultaneous EEG-fNIRS Study
by Bo Liu, Yuntena Wu, Tonglin Jin and Zeyu Lei
Brain Sci. 2026, 16(4), 367; https://doi.org/10.3390/brainsci16040367 - 28 Mar 2026
Viewed by 317
Abstract
Background/Objectives: Increased accessibility of suicidal cognitions reflects the cognitive processes underlying the acquisition of suicidal thoughts. Previous research shows that expectation violation reduces the accessibility of life cognitions rather than increasing that of suicidal cognitions, but this may be due to a slowing [...] Read more.
Background/Objectives: Increased accessibility of suicidal cognitions reflects the cognitive processes underlying the acquisition of suicidal thoughts. Previous research shows that expectation violation reduces the accessibility of life cognitions rather than increasing that of suicidal cognitions, but this may be due to a slowing effect masking an increase in suicidal cognitions. Methods: Beyond the reaction time task, the present study used simultaneous EEG-fNIRS to reveal how expectation violation differentially affects the accessibility of suicidal and life cognitions. In a trial-by-trial cognitive task, participants read sentences that were either semantically consistent (expectation confirmation) or anomalous (expectation violation), followed by a semantic judgment on suicide-related, neutral, and life-related words. Response times for each word type served as a measure of cognitive accessibility for that category. Results: Compared to expectation confirmation, expectation violation reduced the cognitive accessibility of life rather than increasing that of suicide in the reaction time task. However, in neural responses, it led to reduced N1 amplitude, increased P2 amplitude for suicide-related information, and greater hemodynamic response in the left frontopolar region. Conclusions: Expectation violation triggered distinct neural responses to suicidal information, reflecting an attentional bias that may explain how suicidal thoughts emerge within normative cognition. Full article
(This article belongs to the Section Cognitive, Social and Affective Neuroscience)
Show Figures

Figure 1

17 pages, 3184 KB  
Article
A Miniaturized and Modular Wearable Functional Near-Infrared Spectroscopy (fNIRS) Sensing Module for High-Density Cerebral Hemodynamic Monitoring
by Mengjie Fang, Xinlong Liu, Bowen Ji, Le Li and Kunpeng Gao
Biosensors 2026, 16(4), 192; https://doi.org/10.3390/bios16040192 - 26 Mar 2026
Viewed by 388
Abstract
This study presents a modular and scalable wearable functional near-infrared spectroscopy (fNIRS) system for high-resolution cerebral hemodynamic signal acquisition. The system is based on compact optoelectronic modules and supports mixed measurements using short-separation and long-separation channels, offering good scalability and spatial adaptability. The [...] Read more.
This study presents a modular and scalable wearable functional near-infrared spectroscopy (fNIRS) system for high-resolution cerebral hemodynamic signal acquisition. The system is based on compact optoelectronic modules and supports mixed measurements using short-separation and long-separation channels, offering good scalability and spatial adaptability. The integrated quartz light guide structure improves optical coupling efficiency between the probe and scalp. A series of in vivo experiments validated system performance. In a forearm arterial occlusion experiment, the system accurately captured concentration changes in oxygenated and deoxygenated hemoglobin during blood flow blockade and reperfusion, with large effect sizes (Cohen’s d > 0.9). In a prefrontal cortex Valsalva experiment, the biphasic response characteristic of neurovascular coupling was successfully resolved. In a 2-back working memory task, the system identified a task-related frequency component (0.0227 Hz) and right-lateralized prefrontal cortex activation (p = 0.023). These results demonstrate that the system exhibits a good signal-to-noise ratio and temporal dynamic response, enabling high-resolution mapping of regional hemodynamic changes. This work provides an effective solution for the development of wearable, modular, and high-precision multi-channel fNIRS systems. Full article
(This article belongs to the Special Issue Wearable Sensors and Biosensors for Physiological Signals Measurement)
Show Figures

Figure 1

27 pages, 2940 KB  
Article
Source-Specific Photobiomodulation Regulates Mitochondrial Bioenergetics, Redox Signaling, and Functional Outputs in C2C12 Myoblasts Across Replicative Aging
by Ana Elena Aviña, Nguyen Le Thanh Hang, Che-Yi Chang, Yi-Fan Chen, Yun Yen, Xavier Pei-Chun Wong, Aline Yen Ling Wang, Cheng-Jen Chang and Tzu-Sen Yang
Int. J. Mol. Sci. 2026, 27(7), 2999; https://doi.org/10.3390/ijms27072999 - 25 Mar 2026
Viewed by 322
Abstract
Age-related muscle decline is associated with impaired mitochondrial bioenergetics, altered redox signaling, and reduced myogenic capacity, yet how photobiomodulation (PBM) source characteristics shape these processes under replicative aging remains unclear. Here, we investigated source-specific PBM responses in C2C12 myoblasts using a 660 nm [...] Read more.
Age-related muscle decline is associated with impaired mitochondrial bioenergetics, altered redox signaling, and reduced myogenic capacity, yet how photobiomodulation (PBM) source characteristics shape these processes under replicative aging remains unclear. Here, we investigated source-specific PBM responses in C2C12 myoblasts using a 660 nm light-emitting diode (LED) and an 830 nm near-infrared (NIR) laser across fluence ranges and replicative stages. Single-cell screening performed at passage 25 identified 5 J/cm2 as the optimal fluence for both sources, producing biphasic increases in mitochondrial membrane potential and ROS. Population-level assays in young (≤5 passages) and old (≥30 passages) cells revealed divergent downstream outcomes. LED irradiation elicited stronger metabolic activation and ATP production, particularly in aged cells, whereas NIR irradiation robustly enhanced myogenic fusion in both age groups and partially rescued differentiation deficits in aged myoblasts. Bulk ROS increased significantly after PBM independent of source, while extracellular vesicle release displayed age-dependent source sensitivity, with NIR favoring canonical small EV populations in young cells and LED inducing greater particle release in aged cells. Together, these findings demonstrate that PBM engages conserved mitochondrial signaling while source-specific delivery and wavelength differentially direct metabolic, paracrine, and myogenic outputs under replicative aging conditions. Full article
(This article belongs to the Special Issue Advances in Photobiomodulation Therapy)
Show Figures

Graphical abstract

19 pages, 7548 KB  
Article
Patient-Friendly Real-Time Optical Tomographic Imaging System (LOTIS) for Lupus Arthritis
by Moegammad A. Bardien, Lara Pinar, Alessandro Marone, Alberto Nordmann-Gomes, Leila Khalili, Stephen Suh, Stephen H. Kim, Anca D. Askanase and Andreas H. Hielscher
Biosensors 2026, 16(4), 184; https://doi.org/10.3390/bios16040184 - 24 Mar 2026
Viewed by 386
Abstract
Systemic lupus erythematosus (SLE) frequently presents joint pain and stiffness, yet clinicians lack an objective, rapid method to quantify joint inflammation at the point of care. We introduce the Lupus Optical Tomography Imaging System (LOTIS), a wearable near-infrared (NIR) device that performs real-time [...] Read more.
Systemic lupus erythematosus (SLE) frequently presents joint pain and stiffness, yet clinicians lack an objective, rapid method to quantify joint inflammation at the point of care. We introduce the Lupus Optical Tomography Imaging System (LOTIS), a wearable near-infrared (NIR) device that performs real-time three-dimensional tomographic imaging of hemodynamic changes in finger joints. LOTIS was developed to address key limitations of our earlier Flexible Optical Imaging System (FOIS), including mechanical fragility, high noise levels, single-joint acquisition, and slow reconstruction times. The new system integrates modular, mechanically robust optical patches with on-sensor digitization and a computationally efficient, non-iterative multispectral reconstruction algorithm to produce frame-by-frame maps of hemoglobin concentration. In a preliminary study using a standardized venous-occlusion protocol, LOTIS differentiated SLE-affected joints from those of healthy controls. Diseased joints exhibited blunted and spatially diffuse hemodynamic responses, whereas healthy joints showed localized and robust changes. These results demonstrate that LOTIS provides an operator-independent, patient-friendly method for quantifying joint-specific hemodynamic changes in real time, offering strong potential as a clinical tool for objective assessment and longitudinal monitoring of lupus arthritis. Full article
(This article belongs to the Special Issue Wearable Sensors and Biosensors for Physiological Signals Measurement)
Show Figures

Figure 1

16 pages, 3006 KB  
Article
Effects of Simulated Precipitation Treatment on Denitrifying Microbial Communities in the Wayan Mountains
by Shijia Zhou, Kelong Chen, Ni Zhang, Zhiyun Zhou and Siyu Wang
Biology 2026, 15(6), 512; https://doi.org/10.3390/biology15060512 - 23 Mar 2026
Viewed by 318
Abstract
The Qinghai–Tibet Plateau is undergoing rapid warming and humidification, with altered precipitation regimes increasingly affecting soil nitrogen cycling and N2O emissions. Denitrification—a key nitrogen transformation pathway—is particularly sensitive to these hydrological changes. Here, we investigated the response of nirK-type denitrifying [...] Read more.
The Qinghai–Tibet Plateau is undergoing rapid warming and humidification, with altered precipitation regimes increasingly affecting soil nitrogen cycling and N2O emissions. Denitrification—a key nitrogen transformation pathway—is particularly sensitive to these hydrological changes. Here, we investigated the response of nirK-type denitrifying microbial communities to altered precipitation in an alpine wetland on the northern shore of Qinghai Lake. Using a long-term precipitation manipulation platform with five gradients (ambient, ±25%, and ±50%), we integrated high-throughput sequencing with bioinformatics to systematically assess community shifts. Short-term precipitation treatments did not significantly alter alpha diversity, but markedly restructured community composition. Extreme wetting (+50%) increased within-group heterogeneity. At the phylum level, Proteobacteria remained dominant across all treatments, whereas extreme drought (−50%) suppressed Planctomycetes. At the genus level, Ochrobactrum was enriched under reduced precipitation, while Rhodopseudomonas increased under increased precipitation. Functional predictions indicated that reduced precipitation enhanced nitrogen fixation potential, whereas increased precipitation favored nitrate respiration. Soil pH and carbon fractions were the key environmental filters driving community variation. Ecological process analysis revealed that community assembly was entirely governed by deterministic processes, specifically variable selection. Together, these findings elucidate how precipitation shifts reconfigure the structure and functional potential of denitrifying microbial communities in alpine wetlands, primarily via changes in soil pH and moisture under variable selection. This work provides critical insights into microbial regulation of the nitrogen cycle on the Tibetan Plateau under ongoing climate change. Full article
(This article belongs to the Section Microbiology)
Show Figures

Figure 1

15 pages, 3387 KB  
Article
Nutritional and Inflammatory Markers Associated with Complete Response to Near-Infrared Photoimmunotherapy in Recurrent Head and Neck Squamous Cell Carcinoma
by Hitoshi Hirakawa, Taro Ikegami, Hidetoshi Kinjyo, Shinya Agena, Hironori Nakayoshi, Takahiro Miyahira, Shunsuke Kondo, Norimoto Kise, Yuki Kayo, Hiroyuki Maeda and Mikio Suzuki
Cancers 2026, 18(6), 1022; https://doi.org/10.3390/cancers18061022 - 21 Mar 2026
Viewed by 374
Abstract
Background/Objectives: Near-infrared photoimmunotherapy (NIR-PIT) provides tumor-selective cytotoxicity with minimal collateral tissue damage and has emerged as a novel treatment option for recurrent head and neck squamous cell carcinoma (HNSCC). However, biomarkers that predict treatment response to NIR-PIT remain poorly defined. Therefore, this [...] Read more.
Background/Objectives: Near-infrared photoimmunotherapy (NIR-PIT) provides tumor-selective cytotoxicity with minimal collateral tissue damage and has emerged as a novel treatment option for recurrent head and neck squamous cell carcinoma (HNSCC). However, biomarkers that predict treatment response to NIR-PIT remain poorly defined. Therefore, this study aimed to exploratorily determine whether baseline nutritional and inflammatory composite biomarkers are associated with complete response to NIR-PIT in patients with recurrent HNSCC. Methods: Fifteen non-surgical candidates with recurrent HNSCC underwent NIR-PIT between January 2022 and December 2025. Baseline composite nutritional indices and inflammatory markers, including the systemic inflammation response index (SIRI), were assessed before and 4–8 weeks post-treatment. Tumor response was evaluated according to RECIST version 1.1. Exploratory comparisons between complete response (CR) and non-CR groups were performed using Wilcoxon rank-sum tests with effect size estimation. Results: Five of 15 patients achieved CR (33.3%). Baseline SIRI was significantly lower in the CR group than in the non-CR group (median 70.7 vs. 120.2; p = 0.03), with a large effect size (r = 0.55). In contrast, baseline composite nutritional indices and other inflammatory markers showed no significant association with treatment response. Nutritional status remained stable after NIR-PIT, as reflected by preserved nutritional index values. SIRI tended to increase post-treatment in patients who achieved CR. Conclusions: NIR-PIT achieved encouraging local tumor responses in recurrent HNSCC while preserving early nutritional status. Baseline SIRI may represent a potential inflammation-based correlate of CR, reflecting the balance between systemic inflammation and host immune status, and warrants validation in larger prospective cohorts. Full article
(This article belongs to the Section Cancer Therapy)
Show Figures

Figure 1

32 pages, 1204 KB  
Systematic Review
A Systematic Review and Meta-Analysis of EEG, fMRI, and fNIRS Studies on the Psychological Impact of Nature on Well-Being
by Alexandra Daube, Yoshua E. Lima-Carmona, Diego Gabriel Hernández Solís and Jose L. Contreras-Vidal
Int. J. Environ. Res. Public Health 2026, 23(3), 377; https://doi.org/10.3390/ijerph23030377 - 17 Mar 2026
Viewed by 1710
Abstract
Exposure to nature has been associated with benefits to human well-being, commonly evaluated using standardized psychological assessments and, more recently, neuroimaging modalities such as Electroencephalography (EEG), functional Magnetic Resonance Imaging (fMRI), and functional Near-Infrared Spectroscopy (fNIRS). This systematic review and meta-analysis addresses the [...] Read more.
Exposure to nature has been associated with benefits to human well-being, commonly evaluated using standardized psychological assessments and, more recently, neuroimaging modalities such as Electroencephalography (EEG), functional Magnetic Resonance Imaging (fMRI), and functional Near-Infrared Spectroscopy (fNIRS). This systematic review and meta-analysis addresses the following questions. (1) How is the impact of nature on well-being studied using psychological and neuroimaging modalities and what does it reveal? (2) What are the challenges and opportunities for the deployment of wearable neuroimaging modalities to understand the impact of nature on the brain’s health and well-being? A search on PubMed, IEEE Xplore, and ClinicalTrials.gov (March 2024) identified 33 studies combining neuroimaging and psychological assessments during exposure to real, virtual or imagined natural environments. Studies were analyzed by tasks, populations, neuroimaging modality, psychological assessment, and methodological quality. Most studies were conducted in Asia (n = 23 or 70%). Healthy participants were the dominant target population (70%). In total, 61% of the studies were conducted in natural settings, while 39% used visual imagery. EEG was the most common modality (82%). STAI (n = 8) and POMS (n = 8) were the most common psychological assessments. Only seven studies included clinical populations. Two separate meta-analyses of nine studies with explicit experimental and control groups revealed a significant positive effect of nature exposure on psychological outcomes (Hedges’ g = 0.30; p = 0.0021), and a larger effect on neurophysiological outcomes (Hedges’ g = 0.43; p = 0.0004), both with moderate-to-high heterogeneity. Overall, exposure to nature was associated with reductions in negative emotions in clinical populations. In contrast, healthy populations showed a more balanced psychological response, with nature exposure being associated with both increases in positive emotions and reductions in negative emotions. Notably, 88% of the studies presented methodological weaknesses, highlighting key opportunities for future neuroengineering research on the neural and psychological effects of nature exposure. Full article
(This article belongs to the Section Behavioral and Mental Health)
Show Figures

Figure 1

Back to TopTop