Sign in to use this feature.

Years

Between: -

Subjects

remove_circle_outline
remove_circle_outline
remove_circle_outline
remove_circle_outline
remove_circle_outline
remove_circle_outline
remove_circle_outline
remove_circle_outline
remove_circle_outline

Journals

remove_circle_outline
remove_circle_outline
remove_circle_outline
remove_circle_outline
remove_circle_outline
remove_circle_outline
remove_circle_outline
remove_circle_outline
remove_circle_outline
remove_circle_outline

Article Types

Countries / Regions

remove_circle_outline
remove_circle_outline
remove_circle_outline
remove_circle_outline
remove_circle_outline
remove_circle_outline
remove_circle_outline
remove_circle_outline
remove_circle_outline

Search Results (5,631)

Search Parameters:
Keywords = NDVI’

Order results
Result details
Results per page
Select all
Export citation of selected articles as:
15 pages, 4424 KB  
Article
Application of NDVI-Based Crop Sensor in Alfalfa Selection for Improving Breeding Process
by Marijana Tucak, Katarina Perić, Tihomir Čupić, Goran Krizmanić, Luka Andrić, Marko Ivić, Marija Ravlić and Vladimir Meglič
Agronomy 2026, 16(1), 22; https://doi.org/10.3390/agronomy16010022 (registering DOI) - 21 Dec 2025
Abstract
Alfalfa (Medicago sativa) is a globally important forage crop; however, improvements in its biomass yield have stagnated due to its complex genetic architecture and the costly, labor-intensive phenotyping. This study evaluated the potential of the normalized difference vegetation index (NDVI) to [...] Read more.
Alfalfa (Medicago sativa) is a globally important forage crop; however, improvements in its biomass yield have stagnated due to its complex genetic architecture and the costly, labor-intensive phenotyping. This study evaluated the potential of the normalized difference vegetation index (NDVI) to predict biomass yield and enhance selection efficiency in alfalfa breeding programs. Specifically, nineteen alfalfa experimental populations (AEXP 1–19) and one control cultivar (OS 66) were evaluated over two growing seasons in Croatia. NDVI was measured at four development stages using a GreenSeeker sensor and compared with forage yield, dry matter yield, and plant height. NDVI values varied significantly among genotypes, years, and growth stages, ranging from 0.23 to 0.87, and increased consistently from early to late vegetative phases. Strong positive correlations were observed between NDVI and forage yield (r = 0.543–0.843) and plant height (r = 0.537–0.738) at early vegetative, late vegetative, and early bud stages. Conversely, NDVI at the mid-vegetative stage correlated negatively with yield and height (r = –0.622 to –0.794). High-performing populations (AEXP 2, AEXP 15, AEXP 18) also exhibited the highest NDVI values. NDVI is a reliable, non-destructive indicator for early selection of high-yielding alfalfa genotypes, although multi-location validation is advised to confirm its broader applicability. Full article
(This article belongs to the Section Crop Breeding and Genetics)
20 pages, 6458 KB  
Article
Quantifying Causal Impact of Drought on Vegetation Degradation in the Chad Basin (2000–2023) with Machine Learning-Enhanced Transfer Entropy
by Arnob Bormudoi and Masahiko Nagai
GeoHazards 2026, 7(1), 2; https://doi.org/10.3390/geohazards7010002 (registering DOI) - 21 Dec 2025
Abstract
Establishing quantitative causal relationships between drought indicators and vegetation degradation in the Chad Basin remained challenging due to statistical limitations of applying traditional Transfer Entropy to finite-length remote sensing time series. This study implemented a Machine Learning Enhanced Transfer Entropy structure to quantify [...] Read more.
Establishing quantitative causal relationships between drought indicators and vegetation degradation in the Chad Basin remained challenging due to statistical limitations of applying traditional Transfer Entropy to finite-length remote sensing time series. This study implemented a Machine Learning Enhanced Transfer Entropy structure to quantify directed information flow from primary drought drivers of precipitation and land surface temperature to vegetation dynamics from 2000 to 2023. A feed-forward neural network trained on 10,000 synthetic samples with known theoretical Transfer Entropies enabled causal inference from 24-year MODIS-derived NDVI, land surface temperature, and precipitation. The trained model was applied over 10 million pixels, producing Transfer Entropy maps. Results showed that precipitation and land surface temperature exerted comparable causal influences on NDVI, with mean Transfer Entropy values of 0.064 and 0.063, ranging from 0.041 to 0.388. Spatial analysis revealed distinct causal hotspots exceeding 75th percentile threshold of 0.069, indicating driver-specific vulnerability zones. The decline in mean annual NDVI from 0.225 in 2019 to 0.194 in 2023, together with spatially divergent hotspots, highlighted the need for geographically targeted land management. The study overcame finite-length time-series limitations and provided a replicable pathway for vulnerability assessment and climate adaptation planning in data-constrained drylands in the Chad Basin in Africa. Full article
Show Figures

Figure 1

29 pages, 2573 KB  
Article
A Green Synergy Index for Urban Green Space Assessment Based on Multi-Source Data Integration
by Yuefeng Wang, Deyuan Gan, Wei Jiao and Jiali Xie
Remote Sens. 2026, 18(1), 9; https://doi.org/10.3390/rs18010009 - 19 Dec 2025
Abstract
Current assessments of urban green spaces (UGS) rely largely on two-dimensional (2D) indicators, which fail to capture the three-dimensional (3D) structure necessary for evaluating ecological functions and human exposure. Among these, the Normalized Difference Vegetation Index (NDVI) describes top-down canopy greenness from a [...] Read more.
Current assessments of urban green spaces (UGS) rely largely on two-dimensional (2D) indicators, which fail to capture the three-dimensional (3D) structure necessary for evaluating ecological functions and human exposure. Among these, the Normalized Difference Vegetation Index (NDVI) describes top-down canopy greenness from a nadir perspective, whereas the Green View Index (GVI) quantifies vegetation visibility at street level from a pedestrian perspective. Because the relationship between NDVI and GVI remains unclear, multi-indicator assessments become difficult to interpret, limiting their ability to jointly characterize urban greenery. To address these gaps, we develop a synergy framework that integrates remote sensing with street-view images. First, we aligned the observation scales through street-view depth estimation and converted NDVI into fractional vegetation cover (FVC) through nonlinear mapping to unify measurement units. Correlation experiments revealed that the consistency between GVI and FVC was weak across the city (R2 = 0.27) but substantially stronger along arterial roads with continuous vegetation (R2 = 0.61). On this basis, we design a Green Synergy Index (GSI) that combines FVC and GVI using fractional power-law adjustments and an interaction term to capture their joint effects. Robustness tests indicate that GSI effectively handles extreme or mismatched cases, differentiates greening patterns, and integrates complementary information from nadir and street views without numerical instability. Furthermore, we assess the consistency between GSI and land surface temperature (LST), showing that the proposed index improves explanatory power compared with FVC and GVI alone (by 5.6% and 8.8%, respectively). Application to the study area yields a mean GSI value of 0.44 on a 0–1 scale, with spatial variations closely associated with road geometry and functional zoning. This enables the identification of mismatched canopy and visibility segments and supports targeted, climate-sensitive green infrastructure planning. Full article
19 pages, 4164 KB  
Article
Environmental Safety Assessment of Riverfront Spaces Under Erosion–Deposition Dynamics and Vegetation Variability
by Sangung Lee, Jongmin Kim and Young Do Kim
Appl. Sci. 2026, 16(1), 36; https://doi.org/10.3390/app16010036 - 19 Dec 2025
Abstract
Urban river floodplains function not only as zones for flood regulation and ecological buffering but have increasingly been utilized as multifunctional spaces that support leisure, waterfront, and cultural activities. However, overlapping hydraulic and geomorphic factors such as channel meandering, vegetation distribution, and flood-induced [...] Read more.
Urban river floodplains function not only as zones for flood regulation and ecological buffering but have increasingly been utilized as multifunctional spaces that support leisure, waterfront, and cultural activities. However, overlapping hydraulic and geomorphic factors such as channel meandering, vegetation distribution, and flood-induced flow redistribution have amplified environmental risks, including recurrent erosion deposition, vegetation disturbance, and infrastructure damage, yet quantitative assessment frameworks remain limited. This study systematically evaluates the environmental safety of an urban floodplain by estimating vegetation variability using Sentinel-2 derived NDVI time series and deriving SEDI and TEDI through FaSTMECH two-dimensional hydraulic modeling. NDVI response cases were identified for different rainfall intensities, and interpolation-based hazard maps were generated using spatial cross-validation. Results show that the left bank exhibits higher vegetation variability, indicating strong sensitivity to hydrological fluctuations, while outer meander bends repeatedly display elevated SEDI and TEDI values, revealing concentrated structural vulnerability. Integrated analyses across rainfall conditions indicate that overall safety remains high; however, low-safety zones expand in the upstream meander and several outer bends as rainfall intensity increases. Full article
Show Figures

Figure 1

17 pages, 4858 KB  
Article
Retrieving Woody Components from Time-Series Gap-Fraction and Multispectral Satellite Observations over Deciduous Forests
by Woohyeok Kim, Jaese Lee, Yoojin Kang, Jungho Im, Bokyung Son and Jiwon Lee
Remote Sens. 2026, 18(1), 10; https://doi.org/10.3390/rs18010010 - 19 Dec 2025
Abstract
Leaf area index (LAI) is essential for understanding vegetation dynamics, ecosystem processes, and land–atmosphere interactions. Various measurement methods exist, but gap-fraction-based indirect methods are preferred due to their reduced labor and field survey time in comparison to direct methods. However, gap-fraction-based field observations, [...] Read more.
Leaf area index (LAI) is essential for understanding vegetation dynamics, ecosystem processes, and land–atmosphere interactions. Various measurement methods exist, but gap-fraction-based indirect methods are preferred due to their reduced labor and field survey time in comparison to direct methods. However, gap-fraction-based field observations, often referred to as plant area index (PAI), frequently overestimate LAI because they include woody components. To mitigate this issue, the woody-to-total-area ratio (α) can be utilized to exclude these woody components from PAI, yielding more accurate LAI estimates (hereafter referred to as LAIadjusted). In this study, we demonstrate a novel method to estimate α using Sentinel-2-based normalized difference vegetation index (NDVI) and time-series PAI measurements. The α estimates effectively reduce the influence of woody components in PAI within deciduous broadleaf forests (DBF). Moreover, LAIadjusted shows good agreement with the Sentinel-2 LAI, which represents effective LAI derived from the PROSAIL model. Notably, the spatial distribution of α effectively captured the expected seasonal dynamics across various forest types. In DBF, α values increased during winter due to leaf fall when compared to the growing season, while seasonal variations were relatively small in evergreen needleleaf forest (ENF). We further confirmed that our method demonstrates greater robustness with NDVI than with other vegetation indices that are more susceptible to topographic variation. Ultimately, this framework presents a promising pathway to mitigate biases in most gap-fraction-based PAI measurements, thereby enhancing the accuracy of vegetation structural assessments and supporting broader ecological and climate-related applications. Full article
21 pages, 4246 KB  
Article
Comparative Effectiveness of Grassland Restoration at Fine Spatial Scales in the Ruoergai Alpine Grassland, China
by Zhenyang Zhang, Mecuo Zhou, Yunqiao Zhang, Jiahao Zhang, Jingyu Yang, Juan Li, Dorje Sonam, Qin Chen, Qinli Xiong and Qiang Dai
Sustainability 2026, 18(1), 18; https://doi.org/10.3390/su18010018 - 19 Dec 2025
Abstract
Grassland degradation threatens ecosystem function and livelihoods, especially in alpine regions where ecosystems are highly sensitive to disturbance. To compare the effectiveness of common restoration measures at fine spatial scales, we examined four household-level practices in the Ruoergai alpine grassland: year-round grazing exclusion [...] Read more.
Grassland degradation threatens ecosystem function and livelihoods, especially in alpine regions where ecosystems are highly sensitive to disturbance. To compare the effectiveness of common restoration measures at fine spatial scales, we examined four household-level practices in the Ruoergai alpine grassland: year-round grazing exclusion (GE), seeding with grazing exclusion (SGE), seasonal grazing rest (GR), and balancing grazing capacity (BG). Using Sentinel-2 remote sensing data, we monitored vegetation dynamics (NDVI, EVI2, and NIRv) and applied a Propensity Score Matching–Difference-in-Differences (PSM–DID) framework, which constructs comparable control areas without any restoration measures and evaluates whether treatment sites experienced greater pre-to-post restoration changes than their matched controls, thereby strengthening causal inference. All four measures produced statistically significant pre-to-post increases in vegetation indices relative to their matched controls, with GE and SGE showing the largest DID-estimated effects. However, these DID-estimated gains did not persist beyond the implementation year, and in some cases (e.g., SGE, BG), the vegetation indices in treated areas fell below those of the controls, indicating limited persistence. GR and BG yielded smaller DID-estimated effects, reflecting the potential influence of socioeconomic incentives and regulatory challenges on restoration outcomes. These findings highlight the need for sustained management and incentive-aligned policies to maintain restoration benefits in alpine grasslands. Full article
(This article belongs to the Special Issue Biodiversity, Conservation Biology and Sustainability)
Show Figures

Figure 1

16 pages, 4676 KB  
Article
Comparative Assessment of the Efficacy of Drone Spraying and Gun Spraying for Nano-Urea Application in a Maize Crop
by Ramesh Kumar Sahni, Satya Prakash Kumar, Deepak Thorat, Rajeshwar Sanodiya, Sapna Soni, Chetan Yumnam and Ved Prakash Chaudhary
Drones 2026, 10(1), 1; https://doi.org/10.3390/drones10010001 - 19 Dec 2025
Abstract
Conventional methods of nano-urea application in maize cultivation, such as tractor-operated gun sprayers, involve high water usage, labor intensity, and operator health risks due to chemical exposure. The drone spraying system ensures precise and automated application of nano-urea with minimal resource use, labor [...] Read more.
Conventional methods of nano-urea application in maize cultivation, such as tractor-operated gun sprayers, involve high water usage, labor intensity, and operator health risks due to chemical exposure. The drone spraying system ensures precise and automated application of nano-urea with minimal resource use, labor requirement, and operator intervention. However, the efficacy of the drone spraying system for nano-urea application was not evaluated and compared with traditional spraying systems in field conditions. There is a need to evaluate whether drone-based spraying systems can provide an equally effective and more resource-efficient alternative to conventional spraying techniques. Therefore, this study evaluated the agronomic efficacy of a drone-based spraying platform in comparison to conventional tractor-operated gun sprayers for the foliar spray application of nano-urea in the maize crop. Field experiments were conducted during the 2024 Kharif season to evaluate changes in SPAD, NDVI values, and grain yield due to two spray application methods. Both spraying methods showed statistically similar NDVI and SPAD values eight days after nano-urea application, indicating comparable effectiveness in nutrient delivery. Maize yield was also observed to be statistically indistinguishable between the two methods (t (8) = 0.025503, p = 0.9803), with 2912 ± 375 kg/ha (mean ± SE) for the gun sprayer and 2928 ± 503 kg/ha for the drone sprayer treatments. However, the drone system demonstrated significant operational advantages, including 95% water savings and decreased operational time. These findings support the use of drone spraying as a sustainable, safe, and scalable alternative to traditional fertilization application practices in precision agriculture. Full article
Show Figures

Figure 1

21 pages, 12673 KB  
Article
Validation of Downscaled SoilMERGE with NDVI and Storm-Event Analysis in Oklahoma and Kansas
by Kenneth Tobin, Aaron Sanchez, Alejandro X. Alaniz, Stephanie Hernandez, Adriana Perez, Deepak Ganta and Marvin Bennett
Remote Sens. 2025, 17(24), 4058; https://doi.org/10.3390/rs17244058 - 18 Dec 2025
Viewed by 77
Abstract
SoilMERGE (SMERGE) is a 0.125-degree root zone soil moisture (RZSM) product (0 to 40 cm depth) covering the contiguous United States. The study area included most of Oklahoma and Kansas, a region where SMERGE exhibited superior performance. The time frame examined was the [...] Read more.
SoilMERGE (SMERGE) is a 0.125-degree root zone soil moisture (RZSM) product (0 to 40 cm depth) covering the contiguous United States. The study area included most of Oklahoma and Kansas, a region where SMERGE exhibited superior performance. The time frame examined was the warm season from 2008 to 2019. In this study, evaluation of a prototype downscaled (500 m) version of SMERGE was made using (1) Ranked correlation (R2) benchmarking against Normalized Difference Vegetation Index (NDVI) datasets and (2) Ranked correlation (R2) analysis of antecedent RZSM with storm-event streamflow across a range of precipitation intensities (5 to >35 mm/day) at a watershed scale. In the NDVI benchmarking, all three downscaled products outperformed (0.52 to 0.59) default SMERGE (0.44). EXtreme Gradient Boosting (XGB) and Gradient Boost recorded a higher ranked correlation (0.59) than Random Forest (0.52). Within the study area, ranked correlation analysis of antecedent RZSM with storm-event United States Geological Survey streamflow was examined in five watersheds. For the most intense storm events (>35 mm), antecedent XGB downscaled SMERGE (0.64) outperformed antecedent streamflow (0.43) and all other versions of SMERGE (0.52 to 0.56) as a predictor of storm event response. The results of this study demonstrated broad-scale benefits of Machine Learning-assisted downscaling, providing proof of concept for the development of state-based SMERGE products across the US Great Plains. Full article
Show Figures

Figure 1

24 pages, 13541 KB  
Article
Influencing Factor Analysis of Vegetation Spatio-Temporal Variability in the Beijing–Tianjin–Hebei Region Based on Interpretable Machine Learning
by Yuan Cao, Lanxuan Guo, Hefeng Wang and Anbing Zhang
Forests 2025, 16(12), 1873; https://doi.org/10.3390/f16121873 - 18 Dec 2025
Viewed by 75
Abstract
To address the insufficient quantitative understanding of vegetation driving mechanisms across spatio-temporal scales, this study integrated multi-source data and machine learning methods to simulate and analyze Normalized Difference Vegetation Index (NDVI) changes in the Beijing–Tianjin–Hebei (BTH) region over the past two decades. Using [...] Read more.
To address the insufficient quantitative understanding of vegetation driving mechanisms across spatio-temporal scales, this study integrated multi-source data and machine learning methods to simulate and analyze Normalized Difference Vegetation Index (NDVI) changes in the Beijing–Tianjin–Hebei (BTH) region over the past two decades. Using the SHapley Additive exPlanations (SHAP) method, we identified the most important predictors of climate and human activities in the XGBoost model and quantified their spatial contributions. We further analyzed the spatio-temporal variation of the main predictors across different land use types The main findings were as follows: (1) The XGBoost model achieved excellent performance (R2 > 0.96, MEA < 0.02, RMSE < 0.027) on the datasets from 2000 to 2020, outperforming random forest (RF), support vector machines (SVM), and K-nearest neighbors (KNN) in prediction accuracy. (2) Vegetation showed an overall improving trend, with areas exhibiting significant improvement accounting for 47.96% of the total region. Precipitation, temperature, and human activities were identified as the most significant predictors of NDVI. Their relative importance varied over time, and NDVI responses to these factors exhibited clear spatial heterogeneity. (3) Primary predictors differed by land use type: NDVI in cropland and grassland was mainly driven by precipitation, forest NDVI by temperature, and urban/built-up areas by human activities. This study developed an analytical framework integrating nonlinearity and spatial heterogeneity, achieving a quantitative “overall-categorical” analysis of the important predictors behind NDVI changes. The approach provided a novel methodological reference for attributing vegetation dynamics. The findings contributed to the implementation of classified regulation in the BTH region, promoting the transition of human activities toward ecological restoration. Full article
Show Figures

Figure 1

42 pages, 12738 KB  
Article
Spectral Indices and Principal Component Analysis for Lithological Mapping in the Erongo Region, Namibia
by Ryan Theodore Benade and Oluibukun Gbenga Ajayi
Appl. Sci. 2025, 15(24), 13251; https://doi.org/10.3390/app152413251 - 18 Dec 2025
Viewed by 74
Abstract
The mineral deposits in Namibia’s Erongo region are renowned and frequently associated with complex geological environments, including calcrete-hosted paleochannels and hydrothermal alteration zones. Mineral extraction is hindered by high operational costs, restricted accessibility and stringent environmental regulations. To address these challenges, this study [...] Read more.
The mineral deposits in Namibia’s Erongo region are renowned and frequently associated with complex geological environments, including calcrete-hosted paleochannels and hydrothermal alteration zones. Mineral extraction is hindered by high operational costs, restricted accessibility and stringent environmental regulations. To address these challenges, this study proposes an integrated approach that combines satellite remote sensing and machine learning to map and identify mineralisation-indicative zones. Sentinel 2 Multispectral Instrument (MSI) and Landsat 8 Operational Land Imager (OLI) multispectral data were employed due to their global coverage, spectral fidelity and suitability for geological investigations. Normalized Difference Vegetation Index (NDVI) masking was applied to minimise vegetation interference. Spectral indices—the Clay Index, Carbonate Index, Iron Oxide Index and Ferrous Iron Index—were developed and enhanced using false-colour composites. Principal Component Analysis (PCA) was used to reduce redundancy and extract significant spectral patterns. Supervised classification was performed using Support Vector Machine (SVM), Random Forest (RF) and Maximum Likelihood Classification (MLC), with validation through confusion matrices and metrics such as Overall Accuracy, User’s Accuracy, Producer’s Accuracy and the Kappa coefficient. The results showed that RF achieved the highest accuracy on Landsat 8 and MLC outperformed others on Sentinel 2, while SVM showed balanced performance. Sentinel 2’s higher spatial resolution enabled improved delineation of alteration zones. This approach supports efficient and low-impact mineral prospecting in remote environments. Full article
(This article belongs to the Section Environmental Sciences)
Show Figures

Figure 1

23 pages, 3569 KB  
Article
An Energy-Efficient Hybrid System Combining Sentinel-2 Satellite Data and Ground-Based Single-Pixel Detector for Crop Monitoring
by Josip Spišić, Davor Vinko, Ivana Podnar Žarko and Vlatko Galić
Appl. Sci. 2025, 15(24), 13241; https://doi.org/10.3390/app152413241 - 17 Dec 2025
Viewed by 110
Abstract
Precision agriculture will continue to heavily rely on data-driven models to enable more intensive crop monitoring and data-driven decisions. The available remote sensing techniques, particularly those based on multispectral Sentinel-2 data, still have major shortcomings due to cloud cover, low temporal resolution, and [...] Read more.
Precision agriculture will continue to heavily rely on data-driven models to enable more intensive crop monitoring and data-driven decisions. The available remote sensing techniques, particularly those based on multispectral Sentinel-2 data, still have major shortcomings due to cloud cover, low temporal resolution, and time lags in data availability. To address these shortcomings, this paper proposes a hybrid approach that combines Sentinel-2 satellite data with real-time data generated by low-cost ground-based single-pixel detectors (SPDs), such as the AS7263. This hybrid approach addresses key shortcomings in existing agricultural monitoring systems and offers a cost-effective, scalable solution for real-time monitoring and prediction of end-of-season yield, moisture, and plant height using simple PLRS models implemented directly in SPDs with an energy-efficient algorithm for deployment on the STM32G030 microcontroller. Full article
(This article belongs to the Special Issue Security Aspects and Energy Efficiency in Sensor Networks)
Show Figures

Figure 1

23 pages, 12883 KB  
Article
Enhancing Land Degradation Assessment Using Advanced Remote Sensing Techniques: A Case Study from the Loiret Region, France
by Naji El Beyrouthy, Mario Al Sayah, Rita Der Sarkissian and Rachid Nedjai
Land 2025, 14(12), 2439; https://doi.org/10.3390/land14122439 - 17 Dec 2025
Viewed by 126
Abstract
The SDG 15.3.1 framework provides a standardized approach using land use/land cover (LULC) change, land productivity, and soil organic carbon (SOC) dynamics to assess land degradation. However, SDG 15.3.1. faces limitations like coarse resolutions of Landsat-8 and Sentinel-2, particularly for fine-scale studies. Accordingly, [...] Read more.
The SDG 15.3.1 framework provides a standardized approach using land use/land cover (LULC) change, land productivity, and soil organic carbon (SOC) dynamics to assess land degradation. However, SDG 15.3.1. faces limitations like coarse resolutions of Landsat-8 and Sentinel-2, particularly for fine-scale studies. Accordingly, this paper integrates Very Deep Super-Resolution (VDSR) for downscaling Landsat-8 imagery to 1 m resolution and the Vegetation Health Index (VHI) into SDG 15.3.1 to enhance detection in the heterogeneous Loiret region, France—a temperate agricultural hub featuring mixed croplands and peri-urban interfaces—using 2017 as baseline and 2024 as target. Results demonstrated that 1 m resolution detected more degraded LULC areas than coarser scales. SOC degradation was minimal (0.15%), concentrated in transitioned zones. VHI reduced overestimation of productivity declines compared to the Normalized Difference Vegetation Index by identifying more stable areas and 2.69 times less degradation in integrated assessments. The “One Out, All Out” rule classified 2.6% (using VHI) and 7.1% (using NDVI) of the region as degraded, mainly in peri-urban and cropland hotspots. This approach enables metre-scale land degradation mapping that remains effective in heterogeneous landscapes where fine-scale LULC changes drive degradation and would be missed at lower resolutions. However, future ground validation and longer timelines are essential to enhance the presented methodology. Full article
Show Figures

Figure 1

20 pages, 1861 KB  
Article
Application of the Normalized Difference Drought Index (NDDI) for Monitoring Agricultural Drought in Tropical Environments
by Fadli Irsyad, Nurmala Sari, Annisa Eka Putri and Villim Filipović
Land 2025, 14(12), 2431; https://doi.org/10.3390/land14122431 - 16 Dec 2025
Viewed by 187
Abstract
Agricultural regions in humid tropical climates are often assumed to be water secure due to high annual rainfall, yet periodic drought remains a major constraint on production. This study demonstrates the application of the Normalized Difference Drought Index (NDDI) to identify drought-affected agricultural [...] Read more.
Agricultural regions in humid tropical climates are often assumed to be water secure due to high annual rainfall, yet periodic drought remains a major constraint on production. This study demonstrates the application of the Normalized Difference Drought Index (NDDI) to identify drought-affected agricultural land in West Sumatera, Indonesia. Despite mean annual rainfall exceeding 3000 mm, rice yields in the Batang Anai Subdistrict declined from 5.28 t/ha in 2018 to 4.20 t/ha in 2022, suggesting an increased drought stress. A spatial analysis integrated administrative boundaries, land use maps, monthly rainfall records (2014–2023), and MOD09A1 V6 MODIS imagery. The NDDI was derived sequentially from the Normalized Difference Vegetation Index (NDVI) and the Normalized Difference Water Index (NDWI). The results show that 51.65% of agricultural land (7175 ha) exhibited average NDDI values of 0.09–0.14 over 2018–2023, with the highest drought intensity in 2022, when 4441 ha were classified as moderate drought. Land use under drought conditions was dominated by plantations (58.6%), rice fields (39.5%), and dry fields (1.9%). The NDDI method can more effectively capture localized drought impacts, making it valuable for operational drought monitoring systems. These findings highlight the vulnerability of humid tropical agricultural systems to drought and underscore the need for sustainable water management and early warning strategies based on remote sensing. Full article
(This article belongs to the Section Land, Soil and Water)
Show Figures

Figure 1

27 pages, 122137 KB  
Article
Object-Based Random Forest Approach for High-Resolution Mapping of Urban Green Space Dynamics in a University Campus
by Bakhrul Midad, Rahmihafiza Hanafi, Muhammad Aufaristama and Irwan Ary Dharmawan
Appl. Sci. 2025, 15(24), 13183; https://doi.org/10.3390/app152413183 - 16 Dec 2025
Viewed by 162
Abstract
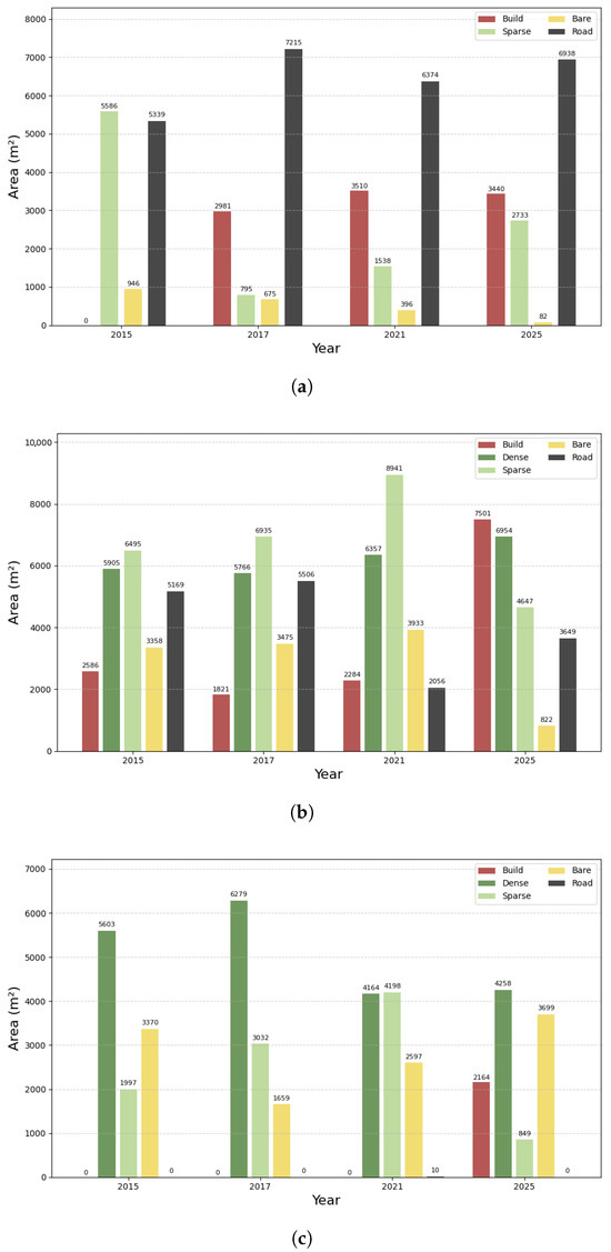
Urban green space is essential for ecological functions, environmental quality, and human well-being, yet campus expansion can reduce vegetated areas. This study assessed UGS dynamics at Universitas Padjadjaran’s Jatinangor campus from 2015 to 2025 and evaluated an object-based machine learning approach for fine-scale [...] Read more.
Urban green space is essential for ecological functions, environmental quality, and human well-being, yet campus expansion can reduce vegetated areas. This study assessed UGS dynamics at Universitas Padjadjaran’s Jatinangor campus from 2015 to 2025 and evaluated an object-based machine learning approach for fine-scale land cover mapping. High-resolution WorldView-2, WorldView-3, and Legion-03 imagery were pan-sharpened, geometrically corrected, normalized, and used to compute NDVI and NDWI indices. Object-based image analysis segmented the imagery into homogeneous objects, followed by random forest classification into six land cover classes; UGS was derived from dense and sparse vegetation. Accuracy assessment included confusion matrices, overall accuracy 0.810–0.860, kappa coefficients 0.747–0.826, weighted F1 scores 0.807–0.860, and validation with 43 field points. The total UGS increased from 68.89% to 74.69%, bare land decreased from 13.49% to 5.81%, and building areas moderately increased from 10.36% to 11.52%. The maps captured vegetated and developed zones accurately, demonstrating the reliability of the classification approach. These findings indicate that campus expansion has been managed without compromising ecological integrity, providing spatially explicit, reliable data to inform sustainable campus planning and support green campus initiatives. Full article
(This article belongs to the Section Environmental Sciences)
Show Figures

Figure 1

29 pages, 6854 KB  
Article
Spatiotemporal Evolution and Driving Mechanisms of Water–Energy–Food Synergistic Efficiency: A Case Study of Irrigation Districts in the Lower Yellow River
by Yuchen Zheng, Chang Liu, Lingqi Li, Enhui Jiang, Genxiang Feng, Bo Qu, Lingang Hao, Jiaqi Li and Jiahe Li
Sustainability 2025, 17(24), 11265; https://doi.org/10.3390/su172411265 - 16 Dec 2025
Viewed by 111
Abstract
As an integrated framework linking resource use and environmental sustainability, the WEF (Water–Energy–Food) system plays a vital role in achieving sustainable agricultural development. Focusing on the irrigation districts in the lower reaches of the Yellow River, this study constructed and applied a Super-Undesirable-SBM [...] Read more.
As an integrated framework linking resource use and environmental sustainability, the WEF (Water–Energy–Food) system plays a vital role in achieving sustainable agricultural development. Focusing on the irrigation districts in the lower reaches of the Yellow River, this study constructed and applied a Super-Undesirable-SBM (super-efficiency undesirable slacks-based measure) model and a GTWR (geographically and temporally weighted regression) model from a WEF perspective to systematically analyze the spatiotemporal evolution and driving mechanisms of WEFSE (Water–Energy–Food Synergistic Efficiency) from 2000 to 2020. The overall WEFSE exhibited a continuous upward trend, with the spatial pattern gradually shifting from the southwest to the northeast and regional disparities becoming more pronounced. The efficiency demonstrated a significant positive spatial autocorrelation, indicating a stable clustering pattern of “high–high” and “low–low” efficiency areas. In terms of driving mechanisms, WEFSE evolved from being dominated by socio-economic drivers to a composite system jointly influenced by ecological and structural factors. Among these, PD (population density) and WP (proportion of water area) had increasingly positive effects, whereas PRE (precipitation) and NDVI (normalized difference vegetation index) imposed notable constraints. Meanwhile, PCL (proportion of cultivated land), GP (proportion of grassland), and AT (average temperature) exhibited significant spatial differentiation. This study highlights that the assessment of WEFSE and identification of its driving mechanisms using the Super-Undesirable-SBM and GTWR models can help to uncover the spatiotemporal dynamics of agricultural resource utilization, providing methodological support and decision-making insights for optimizing resource allocation and promoting sustainable development in the Yellow River irrigation districts and other complex agricultural systems. Full article
Show Figures

Figure 1

Back to TopTop