Sign in to use this feature.

Years

Between: -

Subjects

remove_circle_outline
remove_circle_outline
remove_circle_outline
remove_circle_outline
remove_circle_outline
remove_circle_outline
remove_circle_outline
remove_circle_outline
remove_circle_outline

Journals

remove_circle_outline
remove_circle_outline
remove_circle_outline
remove_circle_outline
remove_circle_outline
remove_circle_outline
remove_circle_outline
remove_circle_outline
remove_circle_outline
remove_circle_outline
remove_circle_outline

Article Types

Countries / Regions

remove_circle_outline
remove_circle_outline
remove_circle_outline
remove_circle_outline
remove_circle_outline
remove_circle_outline

Search Results (391)

Search Parameters:
Keywords = Meq

Order results
Result details
Results per page
Select all
Export citation of selected articles as:
21 pages, 702 KB  
Article
Evaluating Honey Adulteration Through Physicochemical Characterization and Liquid Chromatography–Mass Spectrometry-Based Sugar Profiling
by Entesar Al-Hetlani, Bessy D’Cruz, Mohammed Hayssam, Bedraya Mandekar and Mohamed O. Amin
Foods 2026, 15(6), 1038; https://doi.org/10.3390/foods15061038 - 16 Mar 2026
Abstract
The high market demand for Sidr honey, known for its nutritional and therapeutic properties, makes it susceptible to adulteration with sugar syrups, compromising authenticity and consumer safety. This study employed physicochemical tests and liquid chromatography–mass spectrometry (LC–MS) sugar profiling to analyze the impact [...] Read more.
The high market demand for Sidr honey, known for its nutritional and therapeutic properties, makes it susceptible to adulteration with sugar syrups, compromising authenticity and consumer safety. This study employed physicochemical tests and liquid chromatography–mass spectrometry (LC–MS) sugar profiling to analyze the impact of adulteration with corn, date, and agave syrups (5–35% w/w) on Kuwaiti Ziziphus spina-christi (Sidr) honey samples. Authentic Sidr honey exhibited pH values within 3.4–6.1, free acidity (FA) of <50 mEq kg−1, high electrical conductivity (mean EC: 1066.21 ± 353 µS cm−1), and moisture content <20%. Adulteration did not significantly affect pH or moisture (p > 0.05). FA significantly changed only in corn syrup-adulterated samples (p < 0.05). Electrical conductivity varied significantly with syrup type (p < 0.05). LC–MS was used to quantify the fructose (F) and glucose (G) contents, their ratio (F/G), and the total sugar content (F + G). For the authentic samples, F/G = 1.10–1.35, consistent with reported ranges. Corn syrup reduced F + G and F/G, date syrup raised both sugar contents, modestly changing F/G, while agave syrup, markedly increased both F/G and F + G. This integrated approach of physicochemical characterization and targeted sugar profiling effectively detects syrup adulteration, enhancing honey authentication, consumer protection, and market transparency. Full article
(This article belongs to the Section Food Quality and Safety)
Show Figures

Figure 1

25 pages, 3762 KB  
Article
Fatty Acid Composition, Oxidative Stability, and Metabolomic Changes in Hickory Nut Oil During Accelerated Oxidation
by Ziyi Li, Jiahui Liu, Qingqing Gao, Na Zhang, Songyu Geng, Yihong Bao and Qingqi Guo
Antioxidants 2026, 15(3), 336; https://doi.org/10.3390/antiox15030336 - 7 Mar 2026
Viewed by 242
Abstract
This study systematically investigated the dynamic changes in fatty acid composition and oxidative stability of hickory nut oil during accelerated oxidation, and characterized the metabolic features associated with lipid oxidation using a metabolomics approach. Accelerated oxidation was conducted using the Schaal oven method. [...] Read more.
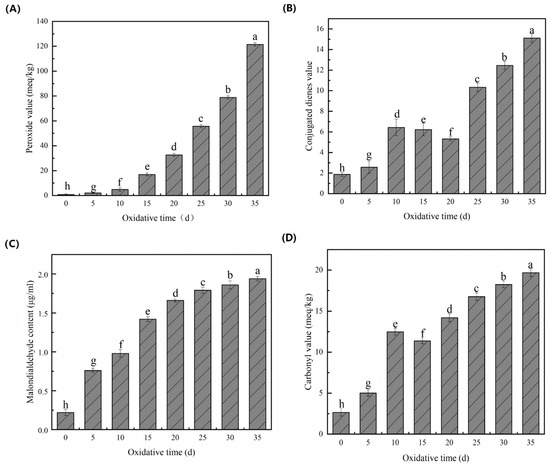
This study systematically investigated the dynamic changes in fatty acid composition and oxidative stability of hickory nut oil during accelerated oxidation, and characterized the metabolic features associated with lipid oxidation using a metabolomics approach. Accelerated oxidation was conducted using the Schaal oven method. The results showed that the peroxide value (POV) and malondialdehyde (MDA) content reached maximum levels of 121.5 meq/kg and 1.94 μg/mL, while the conjugated diene value (CDV) and carbonyl value (COV) increased to 15.12 and 19.68 meq/kg, respectively. The fatty acid profile exhibited notable changes, with unsaturated fatty acids decreasing from 92.52% to 90.65% and saturated fatty acids increasing from 6.92% to 7.88%. A total of 2026 metabolites were identified, among which fatty acyls and benzenoids were predominant. The oxidation rate remained low during the initial phase (0–10 days) but increased markedly after approximately 25 days, leading to accelerated oxidation and a pronounced decline in oil quality. Pathway enrichment analysis further revealed that α-linolenic acid metabolism was the principal pathway associated with the oxidative process of hickory nut oil. Full article
Show Figures

Figure 1

23 pages, 1714 KB  
Article
Influence of Particle Size and Micronization on the Adsorption Efficiency of Aflatoxin B1 by Bentonite in Animal Feed Applications
by Sonja Milićević, Jovica Stojanović, Ivica Ristović, Hunor Farkaš, Vladimir Dragiša Jovanović, Nevena Stojković and Dragan Radulović
Minerals 2026, 16(3), 252; https://doi.org/10.3390/min16030252 - 27 Feb 2026
Viewed by 232
Abstract
Aflatoxin B1 (AFB1) is one of the most toxic mycotoxins contaminating animal feed, and bentonite clays are widely used as adsorbents to reduce its bioavailability. This study introduces and characterizes a new, previously unexplored bentonite deposit from Bijelo Polje (Bar, Montenegro), with ~55% [...] Read more.
Aflatoxin B1 (AFB1) is one of the most toxic mycotoxins contaminating animal feed, and bentonite clays are widely used as adsorbents to reduce its bioavailability. This study introduces and characterizes a new, previously unexplored bentonite deposit from Bijelo Polje (Bar, Montenegro), with ~55% montmorillonite in the raw material. Size fractions (<0.200 mm, <0.037 mm, <0.005 mm) were obtained by sieving and centrifugation and characterized by laser diffraction, chemical composition, BET, CEC, and quantitative XRD (Rietveld). In vitro AFB1 adsorption (2–50 ppm, pH 3.0, 0.02% w/v adsorbent) simulated monogastric gastrointestinal conditions. Progressive size reduction increased smectite content (from ~55% to 91%), CEC (44–70 meq/100 g), purity, and BET specific surface area (26.5–50.8 m2/g), while reducing impurities and heavy metals to undetectable levels. The finest fraction (<0.005 mm) achieved the highest maximum adsorption capacity (qmax ≈ 240 mg/g), attributed to enhanced surface homogeneity and site accessibility, significantly outperforming coarser fractions and most unmodified natural bentonites. Only the <0.005 mm fraction fully complies with EU regulatory requirements (Commission Implementing Regulation (EU) No 1060/2013) for AFB1-binding feed additives (≥70% dioctahedral smectite, >90% binding, low quartz/calcite). These results demonstrate that simple mechanical fractionation can yield exceptional performance in a novel natural raw material, offering a cost-effective, sustainable alternative to chemical modification for mycotoxin mitigation. Full article
(This article belongs to the Section Clays and Engineered Mineral Materials)
Show Figures

Figure 1

21 pages, 896 KB  
Article
Baseline Mood and “Relational Triad” Predict Acute Qualities of Psychedelic Experience
by Joshua Lipson, Hannes Kettner, Robin Carhart-Harris and Lisa Miller
Behav. Sci. 2026, 16(2), 310; https://doi.org/10.3390/bs16020310 - 23 Feb 2026
Viewed by 610
Abstract
Background: The quality and valence of psychedelic experiences are influenced by a range of psychological and contextual factors. This study examines baseline mood and the “relational triad”—comprising social connectedness, mindfulness, and spirituality—as potential predictors of the quality of naturalistic psychedelic experiences. Methods: Data [...] Read more.
Background: The quality and valence of psychedelic experiences are influenced by a range of psychological and contextual factors. This study examines baseline mood and the “relational triad”—comprising social connectedness, mindfulness, and spirituality—as potential predictors of the quality of naturalistic psychedelic experiences. Methods: Data were drawn from the Predicting Responses to Psychedelics dataset, a longitudinal study tracking 654 individuals planning to take a psychedelic substance. Participants completed self-report measures at five time points, before and after ingestion. Baseline mood (depression, anxiety, and wellbeing) and relational triad factors were assessed at Timepoint 1, while acute psychedelic experience quality was measured at Timepoint 3 using validated scales (MEQ-30, CEQ, and ASC). Results: Mystical and challenging experiences were weakly but positively correlated. Baseline depression and anxiety were predictive of more challenging experiences but not of mystical-type experiences, while baseline wellbeing predicted more mystical and less challenging experiences. Mindfulness and spirituality were positively associated with mystical experiences, while social connectedness and mindfulness were inversely associated with challenging experiences. Conclusions: These findings extend previous research by demonstrating that baseline psychological and relational factors shape the nature of psychedelic experiences. Full article
Show Figures

Figure 1

15 pages, 388 KB  
Article
Effect of Camelina and Linseed Cake Supplementation on the Antioxidant and Amino Acid Contents, Oxidative Stability, Water Activity and Sensory Attributes of Tenebrio molitor Larvae
by Antonella Dalle Zotte, Zdeněk Volek, Marco Cullere, Emanuele Pontalti and Bianca Palumbo
Foods 2026, 15(4), 787; https://doi.org/10.3390/foods15040787 - 22 Feb 2026
Viewed by 295
Abstract
Camelina and linseed cakes were included in the diet of Tenebrio molitor (TM) larvae at two levels (5% and 10%) to evaluate their effects on antioxidant and amino acid contents, oxidative stability, water activity (aw), and sensory attributes. Six experimental diets [...] Read more.
Camelina and linseed cakes were included in the diet of Tenebrio molitor (TM) larvae at two levels (5% and 10%) to evaluate their effects on antioxidant and amino acid contents, oxidative stability, water activity (aw), and sensory attributes. Six experimental diets were tested: a standard diet used by the insect farm (STD), a commercial control diet (CON), and CON with two inclusion levels of camelina (CAM 5, CAM 10) or linseed (LIN 5, LIN 10) cakes. Each treatment consisted of 12 replicates of five-week-old larvae reared until commercial size (9 weeks). Camelina and linseed cake inclusion affected the aw of dried larvae, with the highest values in CAM 5 and the lowest in LIN 10 (0.69 vs. 0.45, respectively; p = 0.016). The highest linseed inclusion level increased susceptibility to lipid oxidation during storage (11.3 vs. an average 2.93 meq O2/kg fat, respectively; p < 0.0001), despite elevated antioxidant concentrations (α, δ, γ -tocopherols and β-carotene). Larvae fed with CAM 5 and LIN 5 diets had a higher content of most essential amino acids compared to the other treatments (p < 0.0001). Conversely, increasing the inclusion level to 10% determined a reduction in total amino acid content and in key essential amino acids, particularly lysine (p < 0.0001). Non-essential amino acids displayed a similar trend, except glycine, whose highest value was observed in the LIN 10 group (933 vs. 652 mg/100 g, on average). Sensory evaluation showed that LIN 10 larvae achieved the highest scores for visual and overall acceptability, although some results need further investigation. Overall, camelina and linseed cakes appear to be promising, sustainable agro-industrial by-products to be exploited in TM farming, especially at moderate inclusion levels, as the nutritional quality and market appeal of TM biomass were ensured. Full article
Show Figures

Figure 1

14 pages, 622 KB  
Article
Trait Emotional Intelligence and Children’s Eating Practices
by Caterina Laganà, Eliana De Salvo, Francesco Preiti and Maria Cristina Gugliandolo
Behav. Sci. 2026, 16(2), 302; https://doi.org/10.3390/bs16020302 - 20 Feb 2026
Viewed by 333
Abstract
Introduction: Given the growing prevalence of eating-related health problems among children, it is essential to promote well-being and investigate the factors that may underlie these issues. Emotional intelligence has been identified in several studies as a protective factor for children’s psychosocial adjustment, yet [...] Read more.
Introduction: Given the growing prevalence of eating-related health problems among children, it is essential to promote well-being and investigate the factors that may underlie these issues. Emotional intelligence has been identified in several studies as a protective factor for children’s psychosocial adjustment, yet its effects on eating habits remain largely underexplored. This cross-sectional correlational study aims to investigate the relationship between trait emotional intelligence, mindful eating, and emotional over-eating in children. Methods: In the present study, participants were 110 children aged between 8 and 12 years and their parents. Children completed the Trait Emotional Intelligence Questionnaire—Children short form (TEIQUE-CSF) and the Mindful Eating Questionnaire adapted for Children (MEQ-C). Parents completed the Emotional Over-eating subscale of Children’s Eating Behaviour Questionnaire (CEBQ). Results: A regression-based mediation model indicated that children’s trait emotional intelligence is positively related to mindful eating, which in turn is negatively related to emotional over-eating behaviors. The results further revealed that children with lower-than-average levels of emotional over-eating reported greater mindful eating than those with higher levels. Conclusions: These findings highlight trait emotional intelligence as a factor related to children’s eating behavior, suggesting that interventions aimed at enhancing emotional regulation skills and promoting mindful eating practices are particularly warranted in the context of heightened vulnerability to eating disorders among children. Full article
Show Figures

Figure 1

13 pages, 2895 KB  
Article
Evaluation of the Efficacy of Anthelmintic Drugs Against Trichinella spiralis Larvae
by Soon-Ok Lee, Su In Heo, Hyeon-Woo Nam, Ji-Hyun Lee, Ki Back Chu, Gi-Ja Lee, Tong In Oh, Sung Soo Kim and Fu-Shi Quan
Antibiotics 2026, 15(2), 215; https://doi.org/10.3390/antibiotics15020215 - 16 Feb 2026
Viewed by 406
Abstract
Background: Albendazole, mebendazole, and ivermectin are effective against adult Trichinella spiralis but show limited efficacy against encapsulated muscle stage larvae. This limitation highlights the need for improved experimental approaches to evaluate anthelmintic activity at this stage and to identify alternative therapeutic candidates. [...] Read more.
Background: Albendazole, mebendazole, and ivermectin are effective against adult Trichinella spiralis but show limited efficacy against encapsulated muscle stage larvae. This limitation highlights the need for improved experimental approaches to evaluate anthelmintic activity at this stage and to identify alternative therapeutic candidates. Methods: Seven antiparasitic drugs, albendazole (ABZ), miltefosine (MLT), ivermectin (IVM), tribendimidine (TBD), praziquantel (PZQ), artesunate (ART), and mefloquine (MEQ), were evaluated for in vitro activity against T. spiralis muscle larvae. Larval viability was quantified using a tetrazolium salt XTT assay to determine IC50 values and compare with microscopic assessments. Based on in vitro activity, TBD was selected for in vivo evaluation in a mouse model, where efficacy was assessed by muscle larval burden and histopathological changes. Results: TBD, MEQ, IVM, and ABZ exhibited measurable in vitro efficacies against T. spiralis larvae, with TBD showing the lowest IC50 value at 135.2 μM. XTT formazan absorbance correlated strongly with larval number and incubation time. In vivo, TBD treatment significantly reduced larval burdens in diaphragm and gastrocnemius muscles and was associated with reduced collagen capsule thickness, inflammation, and fibrosis compared with ABZ-treated controls. Conclusions: This study validated an assay for quantitative evaluation of T. spiralis muscle larvae and demonstrates robust in vitro and in vivo activity of TBD against this stage. Full article
(This article belongs to the Section Novel Antimicrobial Agents)
Show Figures

Figure 1

18 pages, 2148 KB  
Article
High-Performance Geopolymer-Based Granulated Adsorbents for Selective Sorption of Radioactive Cesium and Strontium
by Chung-Yung Lin, Yu-Chang Liu and Bang-Lun Jhou
Ceramics 2026, 9(2), 21; https://doi.org/10.3390/ceramics9020021 - 9 Feb 2026
Viewed by 458
Abstract
The selective removal of radioactive cesium-137 and strontium-90 from high-salinity radioactive wastewater remains a critical challenge, as competing ions reduce adsorption efficiency and selectivity. In this study, high-performance granulated adsorbents were developed based on alkali-activated geopolymer matrices to enhance sorption performance. The adsorbents [...] Read more.
The selective removal of radioactive cesium-137 and strontium-90 from high-salinity radioactive wastewater remains a critical challenge, as competing ions reduce adsorption efficiency and selectivity. In this study, high-performance granulated adsorbents were developed based on alkali-activated geopolymer matrices to enhance sorption performance. The adsorbents were synthesized by inorganic polymerization, and mechanically robust granules with controlled porosity and surface chemistry were obtained. Batch sorption experiments conducted in simulated seawater demonstrated greater than 99% removal efficiencies for cesium and strontium. Isotherm modeling confirmed high maximum sorption capacities (up to 0.41 meq/g for Cs+ and 5.07 meq/g for Sr2+). Continuous fixed-bed column tests demonstrated sustained removal efficiencies for the optimized adsorbents. Structural analyses, including scanning electron microscopy, energy-dispersive X-ray spectroscopy mapping, and X-ray diffraction, confirmed uniform elemental distribution and crystalline phases consistent with selective sorption mechanisms. Assessment of mechanical strength revealed sufficient compressive strengths to ensure operational durability under hydraulic stress. These findings demonstrate that the synthesized geopolymer-based granules are a potentially effective and versatile solution for the comprehensive treatment of radioactive wastewater. Full article
(This article belongs to the Special Issue The Production Processes and Applications of Geopolymers, 2nd Edition)
Show Figures

Figure 1

16 pages, 4609 KB  
Article
Utilization of Turmeric Leaf Phenolic Extracts as Natural Antioxidants in Emulsion Systems
by Sorour Barekat, Sumanjot Kaur, Navam Hettiarachchy and Ali Ubeyitogullari
Foods 2026, 15(3), 602; https://doi.org/10.3390/foods15030602 - 6 Feb 2026
Viewed by 365
Abstract
This study evaluated the effect of turmeric leaf phenolic extract (TLP) on lipid oxidation and physicochemical properties of oil-in-water emulsions. The dried leaves were first extracted using hydroethanolic solvents (0, 30, 50, 70%, w/w ethanol), and the total phenolic content and [...] Read more.
This study evaluated the effect of turmeric leaf phenolic extract (TLP) on lipid oxidation and physicochemical properties of oil-in-water emulsions. The dried leaves were first extracted using hydroethanolic solvents (0, 30, 50, 70%, w/w ethanol), and the total phenolic content and antioxidant properties were evaluated. Then, TLP was incorporated into emulsions at concentrations of 0, 250, 500, and 1000 µM (0, 0.46, 0.92, and 1.84 mg extract/mL emulsion). The characteristics, including appearance, size, polydispersity index, charge, lipid oxidation, viscosity, and microstructure, were evaluated both before and after heating at 85 °C. The results showed that all emulsions were stable up to 6 h at 85 °C. All fresh emulsions were nanosized with high negative zeta potential (−45.59 to −48.76 mV). With longer incubation time (6 h), the size (264–523 nm) and polydispersity index (0.32–0.43) increased, and the zeta potential decreased (−29.34 to −31.78). The oxidation values after 6 h were highest for the control (16.33 meq/kg oil and 7.03 mg MDA/kg oil) and lowest for the 1000 µM TLP emulsion (7.20 meq/kg oil, 0.74 mg MDA/kg oil). The samples containing 500 µM BHT showed the lowest oxidation and were comparable to the 1000 µM TLP emulsion. The polymerization and oxidation of the oil increased the viscosity during incubation, and the droplet size increased as observed in the CLSM images. Finally, it can be concluded that turmeric leaves, a major agricultural waste, are a potent source of antioxidants, capable of preventing oxidation and preserving the physicochemical properties of emulsions. Full article
(This article belongs to the Special Issue Different Strategies for the Reuse and Valorization of Food Waste)
Show Figures

Graphical abstract

17 pages, 654 KB  
Article
Mid-Pregnancy Maternal Anxiety Mediates the Association Between Maternal Chronotype and Breastfeeding Duration
by Nur K. Abdul Jafar, Elaine K. H. Tham, Doris Fok, Mei Chien Chua, Oon-Hoe Teoh, Daniel Y. T. Goh, Lynette Pei-Chi Shek, Fabian Yap, Kok Hian Tan, Peter D. Gluckman, Yap-Seng Chong, Michael J. Meaney, Birit F. P. Broekman, Wei Wei Pang and Shirong Cai
Nutrients 2026, 18(3), 405; https://doi.org/10.3390/nu18030405 - 26 Jan 2026
Cited by 1 | Viewed by 564
Abstract
Background: Maternal chronotype, maternal sleep, and breastfeeding practices are separately associated with maternal mood. However, it is not known if maternal mood mediates the associations between maternal chronotype or maternal sleep and breastfeeding duration. Objective: To investigate whether maternal mood mediates the associations [...] Read more.
Background: Maternal chronotype, maternal sleep, and breastfeeding practices are separately associated with maternal mood. However, it is not known if maternal mood mediates the associations between maternal chronotype or maternal sleep and breastfeeding duration. Objective: To investigate whether maternal mood mediates the associations of maternal chronotype and maternal prenatal sleep with breastfeeding duration in a multiethnic cohort of Singaporean mothers. Methods: In a prospective cohort study, caregivers of term-born, singleton infants (N = 340) completed the Horne–Östberg Morningness–Eveningness Questionnaire (MEQ; 54 months), Pittsburgh Sleep Quality Index (PSQI; 26 weeks gestation), Edinburgh Postnatal Depression Scale (EPDS; 26–28 weeks gestation) and State–Trait Anxiety Inventory (STAI-state, STAI-trait; 26–28 weeks gestation) and reported breastfeeding practices from 3 weeks to ≥12 months. Regression and mediation analyses were adjusted for maternal age, parity, maternal education, ethnicity, pre-pregnancy BMI, and mode of delivery. Results: Morningness was significantly associated with a longer breastfeeding duration (β = 0.02, p = 0.037) and lower maternal anxiety symptoms (STAI-state: β = −0.19, p = 0.006 and STAI-trait: β = −0.18, p = 0.004). Lower maternal anxiety symptoms were significantly associated with a longer breastfeeding duration (STAI-state: β = −0.02, p = 0.003; STAI-trait: β = −0.02, p = 0.016). STAI-state, but not STAI-trait or EPDS, mediates the association between maternal chronotype and breastfeeding duration (βindirect = 0.004 (0.0004, 0.009)). Maternal mood did not mediate the association between maternal night sleep duration and breastfeeding duration. Conclusions: Maternal state-anxiety constitutes a behavioral pathway through which maternal chronotype influences breastfeeding duration. Strategies to target maternal anxiety in pregnant women with eveningness tendencies to promote breastfeeding duration are warranted. Full article
(This article belongs to the Section Nutrition in Women)
Show Figures

Figure 1

21 pages, 3146 KB  
Article
Seasonal Variability, Sources and Markers of the Impact of PAH-Bonded PM10 on Health During the COVID-19 Pandemic in Krakow
by Rakshit Jakhar, Przemysław Furman, Alicja Skiba, Dariusz Wideł, Mirosław Zimnoch, Lucyna Samek and Katarzyna Styszko
Atmosphere 2026, 17(2), 120; https://doi.org/10.3390/atmos17020120 - 23 Jan 2026
Viewed by 394
Abstract
The main objective of this research was to evaluate the seasonal variability of PM10-bound polycyclic aromatic hydrocarbons (PAHs), their sources, and analyse their health impacts We confirmduring the COVID-19 pandemic period. The chemical composition of PM10 in terms of PAH [...] Read more.
The main objective of this research was to evaluate the seasonal variability of PM10-bound polycyclic aromatic hydrocarbons (PAHs), their sources, and analyse their health impacts We confirmduring the COVID-19 pandemic period. The chemical composition of PM10 in terms of PAH content was carried out using the gas chromatography-mass spectrometry (GC-MS) technique. PM10 samples were collected in Krakow from 2020 to 2021. A total of 92 samples of particulate matter (PM10 fraction) were analysed. The analyses contained 16 basic PAHs identified by the United States Environmental Protection Agency (U.S. EPA) as the most harmful. The information obtained on the concentrations of PAHs was used to determine the profiles of pollution sources, exposure profiles, and the values of toxic equivalency factors recommended by the EPA: mutagenic equivalent to B[a]P (ang. mutagenic equivalent, MEQ), toxic equivalent to B[a]P (ang. toxic equivalent, TEQ), and carcinogenic equivalent to 2,3,7,8-tetrachlorodibenzo-p-dioxin (ang. carcinogenic equivalent, CEQ). In Kraków, heavy PAHs accounted for over 90% of the total PAHs detected in the PM10 samples. In addition, air trajectory frequency analysis was performed to obtain information on the possibility of transporting pollutants from selected areas in the vicinity of the studied site. Interpreting the trajectory results provided information on the nature of air pollution sources. Analysis of Kraków’s air mass trajectory showed that the highest daily concentration of PM10 in the air flow was from the southwest and east for days. Full article
(This article belongs to the Special Issue Observation and Properties of Atmospheric Aerosol)
Show Figures

Figure 1

16 pages, 276 KB  
Article
Association Between Mediterranean Diet Adherence and Intuitive and Mindful Eating in Turkish Young Adults
by Hande Ongun Yilmaz, Sedat Arslan, Kevser Tari Selcuk and Salim Yilmaz
Nutrients 2026, 18(2), 196; https://doi.org/10.3390/nu18020196 - 7 Jan 2026
Viewed by 564
Abstract
Background/Objectives: This study aimed to examine the association between Mediterranean diet adherence and adaptive eating behaviors, specifically intuitive eating and mindful eating, among Turkish young adults. Methods: This cross-sectional study included 2293 young adults aged 18–34 years who completed an online [...] Read more.
Background/Objectives: This study aimed to examine the association between Mediterranean diet adherence and adaptive eating behaviors, specifically intuitive eating and mindful eating, among Turkish young adults. Methods: This cross-sectional study included 2293 young adults aged 18–34 years who completed an online survey between December 2023 and March 2024. Data were collected using the Mediterranean Diet Adherence Scale (MEDAS), Intuitive Eating Scale-2 (IES-2), and Mindful Eating Questionnaire (MEQ-30). One-way ANOVA compared eating behavior scores across adherence groups. Hierarchical multiple regression analyses examined the unique contribution of MEDAS scores after controlling for demographic, socioeconomic, health, lifestyle, and nutritional factors. Results: Among the participants, 64.5% demonstrated low, 27.0% moderate, and 8.4% high Mediterranean diet adherence. ANOVA revealed significant differences in both IES-2 and MEQ-30 scores across groups. In hierarchical regression, MEDAS significantly predicted intuitive eating (B = 0.023, p = 0.004, contributing 10.72% to explained variance) and mindful eating (B = 0.776, p = 0.001, contributing 13.61%) after controlling for all covariates. BMI emerged as the strongest predictor for both outcomes, with divergent associations: negative for intuitive eating and positive for mindful eating. Final models explained 5.8% and 6.2% of variance in IES-2 and MEQ-30, respectively. Conclusions: Mediterranean diet adherence demonstrated significant positive associations with both intuitive and mindful eating behaviors, independent of multiple confounders. Although effect sizes were modest, these findings suggest that promoting Mediterranean dietary patterns may complement interventions aimed at fostering adaptive eating behaviors. The divergent BMI associations warrant further investigation. Full article
(This article belongs to the Special Issue Eating Behaviors and Lifestyle in Body Weight and Health)
27 pages, 2132 KB  
Article
Sustainable Valorization of Crickets: Optimized Low-Pressure Supercritical CO2 Extraction and the Oil’s Properties and Stability
by Dolaya Sadubsarn and Rattana Muangrat
Foods 2026, 15(1), 114; https://doi.org/10.3390/foods15010114 - 31 Dec 2025
Cited by 2 | Viewed by 624
Abstract
As part of the green valorization of crickets, cricket oil was extracted using supercritical CO2 at temperatures of 40–60 °C, pressures of 175–225 bar, and extraction times of 1–5 h to evaluate oil yield and physicochemical properties. Optimization was performed using Response [...] Read more.
As part of the green valorization of crickets, cricket oil was extracted using supercritical CO2 at temperatures of 40–60 °C, pressures of 175–225 bar, and extraction times of 1–5 h to evaluate oil yield and physicochemical properties. Optimization was performed using Response Surface Methodology with a Box–Behnken Design. Oil yield ranged from of 9.35 to 16.19%, with acid values of 2.45–5.14 mg KOH/g oil, peroxide values of 20.06–70.34 mEq O2/kg oil, iodine values of 70.59–77.15 g I2/100 g oil, and saponification values of 178.07–196.76 mg KOH/g oil. Total phenolic content was 19.56–50.73 mg GAE/kg oil, and antioxidant activity measured by DPPH and ABTS assays ranged from 3.29 to 49.97 and from 36.82 to 145.90 mg Eq Trolox/kg oil, respectively. The main fatty acids were palmitic (27.36–28.84%), oleic (25.00–30.23%), linoleic (27.02–34.96%), and stearic acid (6.81–8.17%). The optimal extraction condition (60 °C, 200 bar, 5 h) yielded 15.86% SC-CO2-extracted cricket oil with favorable quality parameters, antioxidant activity, 1025 mg/100 g of cholesterol, and 14.9 mg/100 g of vitamin E. This oil was then used to study oxidative stability. With the addition of food-grade antioxidants (BHA, BHT, TBHQ, and DL-α-tocopherol at 75 mg/kg), TBHQ was the most effective in reducing oxidation, particularly at 45 and 55 °C. These findings demonstrate that supercritical CO2 extraction efficiently produces high-quality, solvent-free cricket oil with enhanced oxidative stability. Optimization of extraction temperature, pressure, and time identified suitable conditions that improved the oil’s physicochemical characteristics, supporting a sustainable and environmentally friendly extraction approach for cricket-based ingredients. Full article
(This article belongs to the Section Food Engineering and Technology)
Show Figures

Graphical abstract

18 pages, 2374 KB  
Article
Assessing Groundwater Sustainability in Siwa Oasis, Egypt: Evaluating Physico-Chemical and Hydrochemical Suitability for Human and Agricultural Use
by Mohamed H. H. Ali, Mohamad S. Abdelkarim, Khadija M. Attwa and Afify D. G. Al-Afify
Sustainability 2026, 18(1), 357; https://doi.org/10.3390/su18010357 - 30 Dec 2025
Viewed by 487
Abstract
Groundwater wells are essential for sustaining biodiversity in arid and hyper-arid regions. Wells are easily affected by external disturbances, particularly in hyper-arid regions like the Siwa Oasis, where the environmental variables influencing groundwater communities remain understudied. This study assessed the quality of several [...] Read more.
Groundwater wells are essential for sustaining biodiversity in arid and hyper-arid regions. Wells are easily affected by external disturbances, particularly in hyper-arid regions like the Siwa Oasis, where the environmental variables influencing groundwater communities remain understudied. This study assessed the quality of several groundwater wells and agricultural drains based on the physical, chemical and hydrochemical parameters. The results classified the wells and drains into three distinct groups: (1) highly mineralized, carbonated systems with high concentrations of potassium, calcium, sodium, magnesium, chloride, and sulfate, and an average electrical conductivity (EC) of 12.01 mS/cm; (2) low-mineralized wells with an average EC of 2.15 mS/cm; and (3) a moderate one averaging 7.77 mS/cm. The major ions were dominated by Na+ (59.3%) and Mg2+ (26.8%) for cations, and Cl (79.1%) and SO42− (13.4%) for anions in meq/L. Collectively, the evaluation based on total dissolved solids (TDS), sodium percentage (Na%), sodium adsorption ratio (SAR), and the US Salinity Laboratory (USSL) diagram revealed that about 80% of the analyzed wells are unsuitable for irrigation, with only three wells (W03, W12, and W16) deemed suitable for drinking. These findings confirmed a critical vulnerability of the oasis ecosystem. The uncontrolled and extensive use of finite, non-renewable aquifers for agricultural and other purposes is directly exacerbating water salinization and soil sodicity, posing a threat to the future sustainability of the oasis’s water resources. Full article
Show Figures

Figure 1

16 pages, 278 KB  
Article
Mindful Eating and Healthy Lifestyle Behaviors Among Women with and Without Regular Exercise Habits
by Handan Isiklar, Meral Kucuk Yetgin and Zuhal Aydan Saglam
Healthcare 2026, 14(1), 67; https://doi.org/10.3390/healthcare14010067 - 26 Dec 2025
Viewed by 570
Abstract
Background/Objectives: Eating mindfulness and healthy lifestyle behaviors play a key role in preventing unhealthy weight gain. Understanding how these behaviors differ according to exercise habits can guide interventions targeting women’s health. This study aimed to compare healthy lifestyle behaviors and eating mindfulness between [...] Read more.
Background/Objectives: Eating mindfulness and healthy lifestyle behaviors play a key role in preventing unhealthy weight gain. Understanding how these behaviors differ according to exercise habits can guide interventions targeting women’s health. This study aimed to compare healthy lifestyle behaviors and eating mindfulness between women with and without regular exercise habits. Methods: A cross-sectional, analytical, and descriptive study was conducted with 156 women: a Regular Exercise Group (REG, n = 68) and a Non-Exercise Group (NEG, n = 88). Data were collected through face-to-face interviews using the Mindful Eating Questionnaire (MEQ-30) and the Healthy Lifestyle Behavior Scale II (HLBS-II), along with dietary records and anthropometric measurements. Results: The REG scored significantly higher in eating discipline (p = 0.003) and in HLBS-II subscales of physical activity, nutrition, and stress management (p < 0.05). No significant differences were found in total MEQ scores, BMI-related nutrient intake, or other HLBS-II dimensions (p > 0.05). BMI values and smoking rates were lower in the REG (p < 0.05). Univariate logistic regression showed that BMI, eating discipline, physical activity, nutrition, stress management, and total HPLP-II scores were significantly associated with regular exercise (p < 0.05). In the multivariate model, BMI (OR = 1.114, 95% CI: 1.021–1.216) remained independently associated with regular exercise status. Conclusions: Although eating discipline was higher in the REG, overall mindful eating levels did not differ between groups. BMI were the strongest independent variables associated with regular exercise status, suggesting that while exercise supports positive lifestyle patterns, enhancing mindful eating may require additional targeted interventions. Full article
Back to TopTop