Sign in to use this feature.

Years

Between: -

Subjects

remove_circle_outline
remove_circle_outline
remove_circle_outline
remove_circle_outline
remove_circle_outline

Journals

Article Types

Countries / Regions

Search Results (18)

Search Parameters:
Keywords = MCRWPT

Order results
Result details
Results per page
Select all
Export citation of selected articles as:
17 pages, 3109 KB  
Article
Simulation of Eddy Current Suppression and Efficiency Recovery in Mining MCR-WPT Systems Based on Explosion-Proof Slotting
by Yingying Wang, Jiahui Yu, Jindi Pang, Shuangli Chen and Yudong Wang
Electronics 2025, 14(19), 3899; https://doi.org/10.3390/electronics14193899 - 30 Sep 2025
Viewed by 323
Abstract
To meet safety regulations in underground coal mines, wireless power transfer (WPT) systems must house both the transmitter and receiver within explosion-proof enclosures. However, eddy currents induced on the surfaces of these non-ferromagnetic metal enclosures significantly hinder magnetic flux coupling, thereby reducing transmission [...] Read more.
To meet safety regulations in underground coal mines, wireless power transfer (WPT) systems must house both the transmitter and receiver within explosion-proof enclosures. However, eddy currents induced on the surfaces of these non-ferromagnetic metal enclosures significantly hinder magnetic flux coupling, thereby reducing transmission efficiency. This paper proposes a slotting technique applied to explosion-proof enclosures to suppress eddy currents, along with the integration of magnetic flux focusing materials into the coils to enhance coupling. Simulations were conducted to compare three system configurations: (i) a WPT system without enclosures, (ii) a system with solid (unslotted) enclosures, and (iii) a system with slotted enclosures. The results show that solid enclosures reduce efficiency to nearly zero, whereas slotted enclosures restore efficiency to 90% of the baseline system without enclosures. Joule heating remains low in the slotted explosion-proof enclosures, with energy losses of 2.552 J for the transmitter enclosure and 2.578 J for the receiver enclosure. A conservative first-order estimation confirms that the corresponding temperature rise in the enclosure surfaces remains below 50 °C, which is well within the 150 °C limit stipulated by the Chinese National Standard GB 3836.1-2021 (Explosive Atmospheres—Part 1: Equipment General Requirements). These findings confirm effective eddy current suppression and efficiency recovery without compromising explosion-proof safety. The core innovation of this work lies not merely in the physical slotting approach, but in the development of a precise equivalent circuit model that fully incorporates all mutual inductance components representing eddy current effects in non-ferromagnetic explosion-proof enclosures, and its integration into the overall MCR-WPT system circuit. Full article
(This article belongs to the Section Electronic Materials, Devices and Applications)
Show Figures

Figure 1

19 pages, 11446 KB  
Article
Research on Constant-Voltage/Constant-Current Characteristics of Variable-Structure Dual-Frequency Dual-Load Wireless Power Transfer Technology
by Lu Zhang, Jundan Mao, Yonglin Ke, Yueliang Chen, Yao Dong and Qinzheng Zhang
World Electr. Veh. J. 2025, 16(9), 504; https://doi.org/10.3390/wevj16090504 - 8 Sep 2025
Viewed by 1444
Abstract
To address the limitations of conventional magnetically coupled resonant wireless power transfer (MCR-WPT) systems in multi-frequency multi-load applications—specifically inadequate load power independence and high complexity inconstant-voltage/constant-current (CV/CC) control—this paper proposes a variable-structure dual-frequency dual-load wireless power transfer system by first establishing its mathematical [...] Read more.
To address the limitations of conventional magnetically coupled resonant wireless power transfer (MCR-WPT) systems in multi-frequency multi-load applications—specifically inadequate load power independence and high complexity inconstant-voltage/constant-current (CV/CC) control—this paper proposes a variable-structure dual-frequency dual-load wireless power transfer system by first establishing its mathematical model and implementing hybrid-frequency modulation for multi-frequency output, then developing an improved T/LCC hybrid resonant topology by deriving parameter design conditions for compensation network reconfiguration under CV/CC requirements, subsequently employing an orthogonal planar solenoid coupling mechanism and frequency-division demodulation to achieve load-independent power regulation across wide load ranges for enhanced stability, and finally constructing a 120 W dual-frequency dual-load prototype to validate the system’s CV/CC characteristics, where simulations and experimental results demonstrate stronger consistency with theoretical predictions. Full article
(This article belongs to the Special Issue Power Electronics for Electric Vehicles)
Show Figures

Figure 1

13 pages, 6646 KB  
Article
Advanced Magnetic Coupling Resonance Model Optimization for Enhanced Wireless Power Transfer
by Huixin Zhang, Sichen Liu and Jialong Liu
Electronics 2025, 14(6), 1152; https://doi.org/10.3390/electronics14061152 - 14 Mar 2025
Cited by 1 | Viewed by 1727
Abstract
To address the demand for improved electrical performance parameters in the field of magnetically coupled resonant wireless power transfer (MCR-WPT), this paper conducts an in-depth theoretical simulation and validation of key processes, including electrical signal isolation, inversion, phase detection, and rectification filtering. This [...] Read more.
To address the demand for improved electrical performance parameters in the field of magnetically coupled resonant wireless power transfer (MCR-WPT), this paper conducts an in-depth theoretical simulation and validation of key processes, including electrical signal isolation, inversion, phase detection, and rectification filtering. This study proposes and verifies the impact of transmitter and receiver coil structural parameters on transmission performance, leading to an optimized design. Additionally, a fully digital phase-locked loop (PLL) is implemented to achieve the full-band frequency locking and tracking of wireless power oscillation transmission, ensuring continuous resonance during power transfer for maximum efficiency. Through theoretical simulations and experimental validation, results confirm that under optimized coil structures and frequency-locking technology, transmission efficiency can be improved by up to 13% compared to conventional methods, with an increase of 8 W in transmitted power. The optimized system has demonstrated long-term operational stability and reliability, providing valuable insights for advancing applications in the field. Full article
Show Figures

Figure 1

25 pages, 10541 KB  
Article
Modeling and Transmission Characteristics Study of a Resonant Underwater Wireless Electric Power Transmission System
by Qiong Hu, Yu Qin, Zhenfu Li, Meiling Zheng, Junqiang Huang and Yujia Ou
Energies 2024, 17(15), 3717; https://doi.org/10.3390/en17153717 - 28 Jul 2024
Viewed by 1421
Abstract
Compared to the traditional wet-mate underwater power supply method, Magnetic Coupling Resonant Wireless Power Transfer (MCR-WPT) technology boasts advantages such as excellent insulation, high safety, and convenient operation, showing promising application prospects in the field of power supply for underwater vehicles and other [...] Read more.
Compared to the traditional wet-mate underwater power supply method, Magnetic Coupling Resonant Wireless Power Transfer (MCR-WPT) technology boasts advantages such as excellent insulation, high safety, and convenient operation, showing promising application prospects in the field of power supply for underwater vehicles and other mobile underwater devices. In order to explore the transmission characteristics of this technology underwater, this article first establishes a traditional mathematical model, and then modifies the underwater model through analysis of changes in coil self-inductance and mutual inductance, as well as the impact of eddy current losses. Using the modified mathematical model of the underwater MCR-WPT system, the transmission characteristics are analyzed, and simulations and experimental validations are performed using MATLAB R2022a software. In the study of frequency characteristics, it is found that the system operates optimally when both ends of the circuit work at the resonant state; that is, when finput = fresonance = 100 kHz, the output performance is at its best, and the optimal resonant frequency significantly improves power and transmission efficiency. When the input frequency is less than 87.3 kHz or greater than 122.9 kHz, the output power decreases to less than half of the maximum power. In the investigation of load effects, the optimal load for maximizing system output power was identified, but the load that maximizes transmission efficiency is different from this optimal load. This study provides strong theoretical support and guidance for improving the performance of underwater wireless power transmission systems. Full article
(This article belongs to the Special Issue Advanced Technology in Wireless Power Transfer and Harvesting Systems)
Show Figures

Figure 1

19 pages, 3089 KB  
Article
Coil Parameter Optimization Method for Wireless Power Transfer System Based on Crowding Distance Division and Adaptive Genetic Operators
by Hua Zhang, Xin Sui, Peng Sui, Lili Wei, Yuanchun Huang, Zhenglong Yang and Haidong Yang
Energies 2024, 17(13), 3289; https://doi.org/10.3390/en17133289 - 4 Jul 2024
Cited by 4 | Viewed by 1525
Abstract
In a Magnetically Coupled Resonant Wireless Power Transfer (MCR-WPT) system, the magnetic coupling coil is one of the key factors that determines the system’s output power, transmission efficiency, anti-offset capability, and so on. This article proposes a coil parameter optimization method for a [...] Read more.
In a Magnetically Coupled Resonant Wireless Power Transfer (MCR-WPT) system, the magnetic coupling coil is one of the key factors that determines the system’s output power, transmission efficiency, anti-offset capability, and so on. This article proposes a coil parameter optimization method for a wireless power transfer system based on crowding distance division and adaptive genetic operators. Through optimizing the design of decision variables, such as the numbers of transmitting and receiving coil turns, the spacings between transmitting and receiving coil turns, the inner radii of the transmitting and receiving coils, and the vertical distance of the coil, the best transmission performance can be achieved. This study improves the NSGA-II algorithm through proposing a genetic operator algorithm for average crowding and high crowding populations based on adaptive operators, as well as a genetic operator algorithm for low crowding populations based on information entropy. These improved algorithms avoid problems inherent to traditional genetic operators such as fixed genetic proportions, do not easily cause the algorithm to fall into a local optimal solution, and show better convergence in the ZDT1–ZDT3 test functions. The optimization design method in this article is not only independent of commercial software such as ANSYS Maxwell 2021 R1, but can also significantly improve the calculation speed compared with traditional simulation software. Full article
(This article belongs to the Special Issue Wireless Charging Technologies for Electric Vehicles)
Show Figures

Figure 1

19 pages, 5575 KB  
Article
Multi-Objective Optimization Study on the Coupling Mechanism of Underwater Wireless Power Transfer Systems
by Qiong Hu, Meiling Zheng, Zhenfu Li, Yu Qin, Junqiang Huang and Yujia Ou
Machines 2024, 12(7), 445; https://doi.org/10.3390/machines12070445 - 27 Jun 2024
Cited by 2 | Viewed by 1737
Abstract
Magnetically coupled resonant wireless power transfer (MCR-WPT) technology offers longer effective transmission distances and higher efficiency compared to traditional charging methods, making it better suited to the prolonged and efficient operation of autonomous underwater vehicles. This paper first establishes a traditional mathematical model [...] Read more.
Magnetically coupled resonant wireless power transfer (MCR-WPT) technology offers longer effective transmission distances and higher efficiency compared to traditional charging methods, making it better suited to the prolonged and efficient operation of autonomous underwater vehicles. This paper first establishes a traditional mathematical model and then refines it while analyzing the variations in the self-inductance and mutual inductance of underwater coils. To further enhance the system’s performance, a multi-objective optimization of the coupling mechanism is conducted. An orthogonal experiment is employed to determine the effects of various influencing factors on the coils’ self-inductance and mutual inductance. Subsequently, an RBF neural network is used to create a regression prediction model based on the results of the orthogonal experiment. The NSGA-II algorithm is then applied for the multi-objective optimization of the coupling mechanism, resulting in a Pareto front solution set. The optimized efficiency is 93.35%, representing an approximately 6% improvement over the original system, with the power density increasing from 1.267×106 W/m3 before optimization to 4.782×106 W/m3 after optimization. Significant enhancement in system performance is achieved. Full article
(This article belongs to the Section Electromechanical Energy Conversion Systems)
Show Figures

Figure 1

28 pages, 7377 KB  
Review
A Review of Metamaterials in Wireless Power Transfer
by Cancan Rong, Lihui Yan, Long Li, Yunhui Li and Minghai Liu
Materials 2023, 16(17), 6008; https://doi.org/10.3390/ma16176008 - 31 Aug 2023
Cited by 24 | Viewed by 5282
Abstract
Wireless power transfer (WPT) is a technology that enables energy transmission without physical contact, utilizing magnetic and electric fields as soft media. While WPT has numerous applications, the increasing power transfer distance often results in a decrease in transmission efficiency, as well as [...] Read more.
Wireless power transfer (WPT) is a technology that enables energy transmission without physical contact, utilizing magnetic and electric fields as soft media. While WPT has numerous applications, the increasing power transfer distance often results in a decrease in transmission efficiency, as well as the urgent need for addressing safety concerns. Metamaterials offer a promising way for improving efficiency and reducing the flux density in WPT systems. This paper provides an overview of the current status and technical challenges of metamaterial-based WPT systems. The basic principles of magnetic coupling resonant wireless power transfer (MCR-WPT) are presented, followed by a detailed description of the metamaterial design theory and its application in WPT. The paper then reviews the metamaterial-based wireless energy transmission system from three perspectives: transmission efficiency, misalignment tolerance, and electromagnetic shielding. Finally, the paper summarizes the development trends and technical challenges of metamaterial-based WPT systems. Full article
(This article belongs to the Special Issue Metamaterials for Wireless Power Transfer)
Show Figures

Figure 1

13 pages, 3345 KB  
Communication
Nonlinear Modeling and Transmission Efficiency Optimization of MCR-WPT System Based on Monte Carlo-Interior Point Method
by Zhihan Wu, Yanwei Jiang, Guanquan Xiu, Yongcai Wu and Xujian Shu
Electronics 2023, 12(9), 2071; https://doi.org/10.3390/electronics12092071 - 30 Apr 2023
Viewed by 1800
Abstract
With the optimization goal of improving the transmission efficiency of the magnetically coupled resonant wireless power transmission (MCR-WPT) system, the influencing factors and suppression methods of frequency splitting phenomenon (FSP) are analyzed from the perspective of input impedance based on the mutual inductance [...] Read more.
With the optimization goal of improving the transmission efficiency of the magnetically coupled resonant wireless power transmission (MCR-WPT) system, the influencing factors and suppression methods of frequency splitting phenomenon (FSP) are analyzed from the perspective of input impedance based on the mutual inductance model. Then we propose the Monte Carlo-Interior Point method (MC-IPM) for nonlinear modeling to determine the optimal system parameters while ensuring that the system does not suffer from FSP. Finally, the simulation results show that the proposed method can obtain the optimal parameters faster and achieve higher transmission efficiency. The optimized system can meet the practical requirements and provides a reference value for improving the transmission performance of MCR-WPT. Full article
(This article belongs to the Special Issue Wireless Power Transfer and Wireless Energy Harvest)
Show Figures

Figure 1

19 pages, 7629 KB  
Article
An Adaptive Control Strategy for Underwater Wireless Charging System Output Power with an Arc-Shaped Magnetic Core Structure
by Tao Xia, Xiaoliang Zhang, Zhiying Zhu, Haitao Yu and Hang Li
J. Mar. Sci. Eng. 2023, 11(2), 294; https://doi.org/10.3390/jmse11020294 - 31 Jan 2023
Cited by 9 | Viewed by 3027
Abstract
Aiming at the problem of unstable output power of wireless charging systems for autonomous underwater vehicles (AUVs), a magnetic coupler (MC) with an arc-shaped core structure is introduced and an output power stabilization control strategy based on mutual inductance identification algorithm is proposed. [...] Read more.
Aiming at the problem of unstable output power of wireless charging systems for autonomous underwater vehicles (AUVs), a magnetic coupler (MC) with an arc-shaped core structure is introduced and an output power stabilization control strategy based on mutual inductance identification algorithm is proposed. Firstly, an arc-shaped MC with high tolerances, excellent magnetic coupling and weak electromagnetic interference (EMI) is designed for the cylinder-shaped AUV. Based on ANSYS Maxwell simulation, an analysis of the magnetic field and comparative misalignment tests are carried out for the arc-shaped and the double dipole core structures. Secondly, a mathematical model of the LCC-S type magnetically coupled resonant wireless power transfer (MCR-WPT) system is developed, and a particle swarm parameter identification algorithm with adaptive inertia weights is proposed. Finally, the output power is steadily controlled by real-time adaptation of the duty cycle for the Buck-Boost circuit. The results show there is a maximum error within 2.5% in mutual inductance identification when the load is changed from 0 Ω to 12 Ω and the mutual inductance is changed from 25 μH to 50 μH. The system output power is steady at around 680 W with a maximum fluctuation rate of 4.90%, which verifies the efficiency of the power stabilization control strategy. Full article
(This article belongs to the Section Ocean Engineering)
Show Figures

Figure 1

44 pages, 8968 KB  
Review
Modern Advances in Magnetic Materials of Wireless Power Transfer Systems: A Review and New Perspectives
by De’an Wang, Jiantao Zhang, Shumei Cui, Zhi Bie, Kai Song, Chunbo Zhu and Milyaev Igor Matveevich
Nanomaterials 2022, 12(20), 3662; https://doi.org/10.3390/nano12203662 - 18 Oct 2022
Cited by 35 | Viewed by 7552
Abstract
The magnetic coupling resonant wireless power transfer (MCR-WPT) system is considered to be the most promising wireless power transfer (WPT) method because of its considerable transmission power, high transmission efficiency, and acceptable transmission distance. For achieving magnetic concentration, magnetic cores made of magnetic [...] Read more.
The magnetic coupling resonant wireless power transfer (MCR-WPT) system is considered to be the most promising wireless power transfer (WPT) method because of its considerable transmission power, high transmission efficiency, and acceptable transmission distance. For achieving magnetic concentration, magnetic cores made of magnetic materials are usually added to MCR-WPT systems to enhance the coupling performance. However, with the rapid progress of WPT technology, the traditional magnetic materials gradually become the bottleneck that restricts the system power density enhancement. In order to meet the electromagnetic characteristics requirements of WPT systems, high-performance Mn-Zn and Ni-Zn ferrites, amorphous, nanocrystalline, and metamaterials have been developed rapidly in recent years. This paper introduces an extensive review of the magnetic materials of WPT systems, concluding with the state-of-the-art WPT technology and the development and application of high-performance magnetic materials. In addition, this study offers an exclusive reference to researchers and engineers who are interested in learning about the technology and highlights critical issues to be addressed. Finally, the potential challenges and opportunities of WPT magnetic materials are presented, and the future development directions of the technology are foreseen and discussed. Full article
(This article belongs to the Special Issue Functional Modification of Nanomaterials for Efficient Applications)
Show Figures

Figure 1

17 pages, 5920 KB  
Article
Analysis and Design of Wireless Power Transfer System for Rotational Inertial Navigation Application
by Meng Niu, Xinglin Sun, Hongyu Ma, Zhijuan Zhu, Tiantian Huang and Kaichen Song
Appl. Sci. 2022, 12(13), 6392; https://doi.org/10.3390/app12136392 - 23 Jun 2022
Cited by 9 | Viewed by 2568
Abstract
Cables or slip-rings are often used to power loads on a rotating unit in the rotation modulated inertial navigation system (RMINS). However, these power supply methods have the disadvantages of cable winding and slip ring friction and wear, which reduces the reliability and [...] Read more.
Cables or slip-rings are often used to power loads on a rotating unit in the rotation modulated inertial navigation system (RMINS). However, these power supply methods have the disadvantages of cable winding and slip ring friction and wear, which reduces the reliability and life of the RMINS. Therefore, this paper applies magnetic coupling resonant wireless power transfer (MCRWPT) technology to the RMINS to avoid the shortcomings of the above power supply methods. Furthermore, according to the structure and working characteristics of the RMINS, a simple design method of the MCRWPT system without any feedback control is proposed. Based on the ANSYS simulation, the magnetic shielding structure is designed to reduce magnetic leakage, and the efficiency of the MCRWPT system is optimized by designing the excitation frequency. Experiments verify the effectiveness of the proposed method. The experimental results show that the designed MCRWPT system can achieve an efficiency of 74.6% with an output power of 10 W and has been successfully applied to the uniaxial rotation module inertial navigation system. Finally, the design method of the MCRWPT system is simple, and it has guiding significance for the design of the wireless power transfer system in the RMINS. Full article
(This article belongs to the Special Issue Wireless Power Transfer Systems)
Show Figures

Figure 1

12 pages, 57283 KB  
Article
Fully Implantable Neural Stimulator with Variable Parameters
by Tan Pan and Yuanwen Zou
Electronics 2022, 11(7), 1104; https://doi.org/10.3390/electronics11071104 - 31 Mar 2022
Cited by 1 | Viewed by 3782
Abstract
Neural implantable systems have promoted the development of neurosurgery research and clinical practice. However, traditional tethered neural implants use physical wires for power supply and signal transmission, which have many restrictions on implant targets. Therefore, untethered, wireless, and controllable neural stimulation has always [...] Read more.
Neural implantable systems have promoted the development of neurosurgery research and clinical practice. However, traditional tethered neural implants use physical wires for power supply and signal transmission, which have many restrictions on implant targets. Therefore, untethered, wireless, and controllable neural stimulation has always been widely recognized as the engineering goal of neural implants. In this paper, magnetically coupled resonant wireless power transfer (MCR-WPT) technology is adopted to design and manufacture a wireless stimulator for the electrical stimulation experiment of nerve repair. In the process of device development, SCM technology, signal modulation, demodulation, wireless power supply, and integration/packaging are used. Through experimental tests, the stimulator can output single-phase pulse signals with a variable frequency of (1–20 Hz), a duty cycle of (1–50%), and voltage. The average power is approximately 25 mW. The minimum pulse width of the signal is 200 μs and the effective distance of transmission is 1–4 cm. The stimulator can perform low-frequency, safe and controllable wireless stimulation. Full article
Show Figures

Figure 1

16 pages, 3583 KB  
Article
Genetic-Algorithm-Based Optimization of a 3D Transmitting Coil Design with a Homogeneous Magnetic Field Distribution in a WPT System
by Domagoj Bilandžija, Davor Vinko and Marinko Barukčić
Energies 2022, 15(4), 1381; https://doi.org/10.3390/en15041381 - 14 Feb 2022
Cited by 9 | Viewed by 2673
Abstract
In magnetically coupled resonant wireless power transfer (MCR-WPT) systems, the nonhomogeneous magnetic field of the transmitting coil can lead to frequency splitting phenomena and lower efficiency. In this paper, a 3D transmitting coil (TX) with a homogeneous magnetic field distribution is proposed. The [...] Read more.
In magnetically coupled resonant wireless power transfer (MCR-WPT) systems, the nonhomogeneous magnetic field of the transmitting coil can lead to frequency splitting phenomena and lower efficiency. In this paper, a 3D transmitting coil (TX) with a homogeneous magnetic field distribution is proposed. The proposed coil structure consists of two layers with different numbers of turns per layer, i.e., with different current distributions. To achieve a homogeneous magnetic field distribution with a high magnetic field value and a low profile of the 3D coil structure, the optimal layer placement and current distribution were optimized using a genetic algorithm (GA). The prototype of the optimized coil was fabricated, and its magnetic field distribution was measured. The measurement results agreed more than 95% with the simulation results. The measured homogeneous area was at least 12.5% larger than reported in the literature. By using a different current distribution, the profile of the 3D coil structure was successfully reduced by 29% and the average magnetic field value was increased by 25% compared to our previous work. Full article
Show Figures

Figure 1

18 pages, 10352 KB  
Article
Parameter Optimization of Double LCC MCRWPT System Based on ZVS
by Guowen Feng, Zhizhen Liu, Yanjin Hou, Xueqing Luo, Shuyao Sun, Ran Ding and Aiguo Yu
Energies 2021, 14(17), 5309; https://doi.org/10.3390/en14175309 - 26 Aug 2021
Cited by 4 | Viewed by 2203
Abstract
At present, magnetically coupled resonance wireless power transfer (MCRWPT) is the main technology used in electric vehicle wireless power transfer (WPT) due to its advantages of high transmission power and high efficiency. The resonant compensation circuit of the system generally adopts the double [...] Read more.
At present, magnetically coupled resonance wireless power transfer (MCRWPT) is the main technology used in electric vehicle wireless power transfer (WPT) due to its advantages of high transmission power and high efficiency. The resonant compensation circuit of the system generally adopts the double LCC (DLCC) structure, which has many capacitor and inductor components. Therefore, it is necessary to optimize the circuit parameters to improve the transmission performance of the system. In this study, the DLCC compensation circuit was modeled and analyzed to lay the foundation for parameter optimization. Secondly, the size parameters of the energy transmitting and receiving coil were determined, and the influence of the change of the primary and secondary compensation inductance on the circuit element stress and output performance was analyzed to determine the optimal compensation inductance value. Thirdly, the realization condition of zero voltage switching (ZVS) was analyzed, the relationship between the input impedance angle of the compensation circuit and the component parameter value was obtained, and a parameter optimization control strategy for realizing ZVS was proposed. Finally, through simulation and experiment, it was concluded that under different power levels, the efficiency of the parameter optimization strategy proposed in this study is as high as 91.86%, increasing by about 1%. Therefore, the research undertaken in this study can promote the development of WPT technology and has certain practical significance. Full article
(This article belongs to the Special Issue Research on Wireless Power Transfer System)
Show Figures

Figure 1

15 pages, 5981 KB  
Article
A Design Method for Magnetically Coupled Resonant Coils Considering Transmission Objectives and Dimension Constraints
by Jingang Wang, Chen Shen, Pengcheng Zhao, Shucheng Ou, Zhi Xu, Ruiqiang Zhang and Zhiming Song
Energies 2020, 13(16), 4144; https://doi.org/10.3390/en13164144 - 11 Aug 2020
Cited by 1 | Viewed by 2185
Abstract
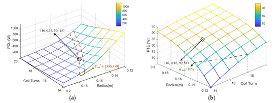
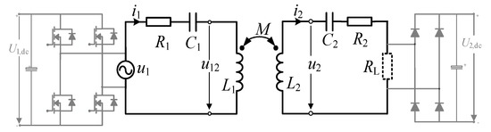
This paper proposes a coil design method for the magnetically coupled resonant wireless power transfer (MCR-WPT) system. Based on the Biot–Savart law, the magnetic flux density at the observation point was derived, and the magnetic flux of the observation plane generated by the [...] Read more.
This paper proposes a coil design method for the magnetically coupled resonant wireless power transfer (MCR-WPT) system. Based on the Biot–Savart law, the magnetic flux density at the observation point was derived, and the magnetic flux of the observation plane generated by the exciting coil was deduced to build the calculation model of power transfer efficiency (PTE) and power delivered to the load (PDL). The PTE and PDL curves via coil parameters could be fitted in minutes using numerical calculation. The coil was designed according to transmission objectives and dimension constraints. In addition, the calculated PTE and PDL were compared with those from finite element analysis to verify the credibility of the method. Finally, the actual curves of PTE and PDL were achieved, which showed a strong positive correlation with the corresponding curves from the calculation model. The relative average deviations of PDL curves were less than 6.11%. Meanwhile, coils designed with the numerical calculation could realize 309.80 W and 88.51%, which achieved the objectives under the constraints. The results demonstrate that the proposed method can realize a rapid and accurate coil design under constraints. It can also be applied to other coil structures or circuit topologies with strong universality. Full article
(This article belongs to the Section F: Electrical Engineering)
Show Figures

Graphical abstract

Back to TopTop