Sign in to use this feature.

Years

Between: -

Subjects

remove_circle_outline
remove_circle_outline
remove_circle_outline
remove_circle_outline
remove_circle_outline
remove_circle_outline
remove_circle_outline
remove_circle_outline
remove_circle_outline

Journals

remove_circle_outline
remove_circle_outline
remove_circle_outline
remove_circle_outline
remove_circle_outline
remove_circle_outline
remove_circle_outline
remove_circle_outline
remove_circle_outline

Article Types

Countries / Regions

remove_circle_outline
remove_circle_outline
remove_circle_outline
remove_circle_outline
remove_circle_outline

Search Results (674)

Search Parameters:
Keywords = Litter production

Order results
Result details
Results per page
Select all
Export citation of selected articles as:
24 pages, 940 KB  
Review
A Comprehensive Review of Bump-Feeding Strategies During Late Gestation in Sows: Nutritional and Behavioral Implications for Farrowing Performance and Reproductive Outcomes
by Ahsan Mehtab, Hong-Seok Mun, Eddiemar B. Lagua, Md Sharifuzzaman, Md Kamrul Hasan, Young-Hwa Kim and Chul-Ju Yang
Agriculture 2026, 16(3), 302; https://doi.org/10.3390/agriculture16030302 - 24 Jan 2026
Viewed by 280
Abstract
Bump feeding is a nutritional management strategy in swine production that involves increasing feed allowance and/or dietary nutrient density during the final weeks of gestation, usually from day 90 to farrowing, to support rapid fetal growth and prepare sows for lactation. This strategy [...] Read more.
Bump feeding is a nutritional management strategy in swine production that involves increasing feed allowance and/or dietary nutrient density during the final weeks of gestation, usually from day 90 to farrowing, to support rapid fetal growth and prepare sows for lactation. This strategy is widely applied to improve piglet birth weight, neonatal viability, and subsequent reproductive performance. This review synthesizes current evidence on the effects of increased maternal feed intake during late gestation on sow body condition and feeding-related behavioral responses, and farrowing outcomes. Available studies suggest that increasing feed allowance during late gestation can influence litter characteristics, piglet survival at birth, and sow energy reserves, as reflected by changes in backfat thickness (BFT) and body condition score (BCS). The nutritional composition of bump-feeding diets, including dietary energy and amino acid balance, is critically evaluated in relation to pregnancy maintenance, farrowing duration, and early lactation performance. In addition, the roles of parity and feeding behavior during late gestation are examined, with particular emphasis on their associations with sow activity patterns, restlessness around parturition, and farrowing efficiency. Despite these reported effects, findings across studies remain inconsistent, particularly regarding the balance between improved reproductive outcomes and the risk of excessive fat deposition in sows. This review highlights key knowledge gaps and underscores the need for optimized, parity-specific bump-feeding strategies that integrate nutritional management with feeding behavior to enhance farrowing performance, piglet survival, sow welfare, and economic sustainability in modern pig production. Full article
(This article belongs to the Section Farm Animal Production)
Show Figures

Graphical abstract

14 pages, 3312 KB  
Article
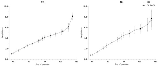
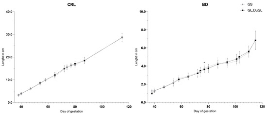
Sonographic Assessment of Fetometric Parameters in Pigs of Different Prolific Genotypes for Gestational Age Estimation
by Frauke Janelt, Johannes Kauffold, Haukur Lindberg Sigmarsson, Ahmad Hamedy, Katharina Riehn, Martin Koethe, Jörg Altemeier and Philipp Maximilian Rolzhäuser
Animals 2026, 16(2), 349; https://doi.org/10.3390/ani16020349 - 22 Jan 2026
Viewed by 66
Abstract
The slaughter of pregnant sows remains a relevant concern in modern swine production, with prevalence rates reported from 1.5–13% in Europe. Considering fetal sensitivity during late gestation and legal restrictions on transport and slaughter, reliable assessment of fetal age is of considerable practical, [...] Read more.
The slaughter of pregnant sows remains a relevant concern in modern swine production, with prevalence rates reported from 1.5–13% in Europe. Considering fetal sensitivity during late gestation and legal restrictions on transport and slaughter, reliable assessment of fetal age is of considerable practical, ethical, and legal relevance. In this study, 70 pregnancies from low-prolificacy (purebred German Saddleback) and medium-to-high prolificacy genotypes (purebred German Landrace and Duroc × German Landrace hybrids) were repeatedly examined using transabdominal ultrasonography, with a total of 15 examinations per pregnancy. Seven fetometric parameters—rosto-occipital distance, bi-parietal distance, orbital distance, sternum length, thorax diameter, body diameter, and crown–rump length—were measured in vivo, assessing two fetuses per pregnancy and calculating mean values to account for intra-individual variation. Parameter feasibility varied across gestation: during early gestation (gestation days 38 and 40), orbital distance, sternum length, and crown–rump length could be reliably measured; in mid-gestation, all seven parameters were measurable, whereas in late gestation (from gestational day 87 onward), crown–rump length was no longer measurable, and the remaining six parameters remained assessable for gestational age estimation. Crown–rump length (CRL) increased from a median of 3.2 cm (range 1.9–4.2 cm) at day 38 to 16.3 cm (range 14.0–18.2 cm) at day 77, representing the most practical parameter for determining the stage of gestation. Litter size had no significant effect on fetometric growth, except for a weak correlation with thorax diameter at day 77, and parity showed no measurable influence on any parameter. The results show that fetometric values in modern sow genotypes are smaller than those reported in earlier literature, highlighting the need for updated gestational age assessment. These findings provide practical guidance for gestational age estimation, supporting the enforcement of animal welfare legislation and potentially contributing to a reduction in the slaughter of highly pregnant sows. Full article
(This article belongs to the Section Animal Genetics and Genomics)
Show Figures

Figure 1

14 pages, 1056 KB  
Article
Kinetics of Lactic Acid, Acetic Acid and Ethanol Production During Submerged Cultivation of a Forest Litter-Based Biofertilizer
by Sophie Nafil, Lucie Miché, Loris Cagnacci, Martine Martinez and Pierre Christen
Fermentation 2026, 12(1), 52; https://doi.org/10.3390/fermentation12010052 - 16 Jan 2026
Viewed by 231
Abstract
Fermented forest litter (FFL) is a biofertilizer obtained by anaerobic fermentation of forest litter combined with agricultural by-products. Its production involves an initial one-month solid-state fermentation of oak litter mixed with whey, molasses and wheat bran, followed by a one-week submerged fermentation-called the [...] Read more.
Fermented forest litter (FFL) is a biofertilizer obtained by anaerobic fermentation of forest litter combined with agricultural by-products. Its production involves an initial one-month solid-state fermentation of oak litter mixed with whey, molasses and wheat bran, followed by a one-week submerged fermentation-called the “activation” phase-during which the solid FFL is fermented with sugarcane molasses diluted in water. This study aimed to evaluate the effects storage duration (6, 18 and 30 months), and temperature (ambient and 29 °C) on the activation phase. For this purpose, pH, sugar consumption and metabolite production dynamics were monitored. Under all experimental conditions, the pH dropped to values close to 3.5, sucrose was rapidly hydrolyzed, and glucose was preferentially consumed over fructose. Fructose was metabolized only after glucose was depleted, suggesting the involvement of fructophilic microorganisms. The time-course evolution of lactic acid (LA) concentration was adequately fitted by the Gompertz model (R2 > 0.970). The highest LAmax concentration (6.30 g/L) and production rate (2.16 g/L·d) were obtained with FFL stored for 6 months. Acetic acid (AA) and ethanol were also detected reaching maxima values of 1.19 g/L and 0.96 g/L, respectively. Their profiles varied depending on the experimental conditions. Notably, the AA/LA ratio increased with the age of the FFL. Overall, sugar consumption and metabolite production were significantly slower at ambient temperature, than at 29 °C. These results contribute to a better understanding of the metabolic dynamics during FFL activation and highlight key parameters that should be considered to optimize future biofertilizer production processes. Full article
Show Figures

Graphical abstract

37 pages, 2307 KB  
Systematic Review
Effectiveness of Interventions and Control Measures in the Reduction of Campylobacter in Poultry Farms: A Comprehensive Meta-Analysis
by Odete Zefanias, Ursula Gonzales-Barron and Vasco Cadavez
Foods 2026, 15(2), 307; https://doi.org/10.3390/foods15020307 - 14 Jan 2026
Viewed by 357
Abstract
Campylobacter is a leading foodborne bacterial pathogen, and poultry production is a major reservoir contributing to human exposure. Reducing Campylobacter at farm level is therefore critical to limit downstream contamination. This systematic review and meta-analysis aimed to identify and quantitively summarise the current [...] Read more.
Campylobacter is a leading foodborne bacterial pathogen, and poultry production is a major reservoir contributing to human exposure. Reducing Campylobacter at farm level is therefore critical to limit downstream contamination. This systematic review and meta-analysis aimed to identify and quantitively summarise the current interventions and control measures applied in poultry farms to control the contamination and bird colonisation by Campylobacter. The Scopus electronic database was accessed to collect primary research articles that focused on observational studies and in vivo experiments, reporting results on Campylobacter concentrations or prevalence in both non-intervened and intervened groups. A total of 4080 studies were reviewed, from which 112 were selected and included in the meta-analysis according to predefined criteria, yielding 1467 observations. Meta-regression models were adjusted to the full data set and by intervention strategy based on the type of outcome measure (i.e., concentration and prevalence). In general terms, the results reveal that the effectiveness to reduce Campylobacter colonisation vary among interventions. A highly significant effect (p < 0.001) was observed in interventions such as organic acids, bacteriophages, plant extracts, probiotics, and organic iron complexes added to feed or drinking water; although drinking water was proven to be a more effective means of administration than feed for extracts and organic acids. In contrast, interventions such as chemical treatments, routine cleaning and disinfection, and vaccination showed both lower and more heterogeneous effects on Campylobacter loads. Vaccination effects were demonstrated to be driven by route and schedule, with intramuscular administration, longer vaccination periods and sufficient time before slaughter linked to greater reduction in Campylobacter colonisation. Probiotics, plant extracts and routine cleaning and disinfection were associated with lower Campylobacter prevalence in flocks. Meta-regression models consistently showed that the interventions were proven more effective when the sample analysed was caecal contents in comparison to faeces (p < 0.001). Overall, the findings of this meta-analysis study emphasise the application of a multi-barrier approach that combines targeted interventions with robust biosecurity and hygiene measures in order to reduce Campylobacter levels in poultry farms. Full article
(This article belongs to the Special Issue Quality and Safety of Poultry Meat)
Show Figures

Figure 1

17 pages, 8320 KB  
Article
Effects of Slope and Strip-Cutting Width on Bamboo Shoot Emergence, Culm Formation, and Understory Vegetation Diversity in Moso Bamboo Forests in China
by Dawei Fu, Fengying Guan, Zhen Li, Minkai Li, Yifan Lu, Xiao Zhou and Xuan Zhang
Plants 2026, 15(2), 258; https://doi.org/10.3390/plants15020258 - 14 Jan 2026
Viewed by 236
Abstract
Moso bamboo (Phyllostachys edulis) harvesting is labor-intensive and inefficient, while strip-cutting enables mechanized, cost-effective management and supports long-term production. Intensive strip-cutting disturbs bamboo ecosystems, altering soil, litter and understory vegetation. This may reduce long-term productivity despite moso bamboo’s rapid growth, especially [...] Read more.
Moso bamboo (Phyllostachys edulis) harvesting is labor-intensive and inefficient, while strip-cutting enables mechanized, cost-effective management and supports long-term production. Intensive strip-cutting disturbs bamboo ecosystems, altering soil, litter and understory vegetation. This may reduce long-term productivity despite moso bamboo’s rapid growth, especially in the mountainous areas like Anji, Zhejiang. To balance ecological and production goals, we evaluated strip-cutting widths of 3, 5, and 8 m under three slope classes, 5–14° (gentle, SL1), 15–24° (moderate, SL2), and 25–34° (steep, SL3), focusing on bamboo growth recovery and understory vegetation diversity. Compared with uncut control plots, the number of herbaceous and shrub species increased in all treatment plots. In 5 m moderate slope plots, shoot and culm numbers were 27% and 13% higher than those in the 3 m and 8 m plots, and 37% higher than uncut control plots. Herb species diversity, as reflected by the Shannon–Wiener (H′), Simpson (D), and Margalef richness (R) indices, was high in the narrowest clearcut strips under SL1 and SL3. Pielou’s evenness index (J) was high in the 3 and 5 m plots under SL2 and SL3. Shrub species diversity, as indicated by D and R, was high in 5 and 8 m plots under SL2 and SL3. Principal component analysis (PCA) indicated that under SL2, 5 m strip-cutting width with a score of 0.649 outperformed others. These results suggest that 5 m strip-cutting width under SL2 slope optimizes understory vegetation diversity and supports a synergistic outcome of “high shoot emergence–high culm formation” thereby achieving both ecological and production benefits. Full article
Show Figures

Figure 1

18 pages, 2633 KB  
Article
Prediction of Ammonia Mitigation Efficiency in Sodium Bisulfate-Treated Broiler Litter Using Artificial Neural Networks
by Busra Yayli and Ilker Kilic
Animals 2026, 16(2), 210; https://doi.org/10.3390/ani16020210 - 10 Jan 2026
Viewed by 163
Abstract
The increasing demand for poultry meat, driven by its favorable nutritional profile, including low cholesterol and high protein content, has resulted in intensified production volumes and, consequently, elevated ammonia (NH3) emissions. Artificial intelligence-based predictive approaches offer an effective alternative to conventional [...] Read more.
The increasing demand for poultry meat, driven by its favorable nutritional profile, including low cholesterol and high protein content, has resulted in intensified production volumes and, consequently, elevated ammonia (NH3) emissions. Artificial intelligence-based predictive approaches offer an effective alternative to conventional treatment-oriented methods by enabling faster and more accurate estimation of NH3 removal performance. This study aimed to predict the ammonia removal efficiency of broiler litter generated during a production cycle under controlled laboratory-scale conditions using artificial neural networks (ANNs) trained with different learning algorithms. Four ANN models were developed based on the Levenberg–Marquardt (LM), Fletcher–Reeves (FR), Scaled Conjugate Gradient (SCG), and Bayesian Regularization (BR) algorithms. The results showed that the LM-based model with 12 hidden neurons achieved the highest predictive performance (R2 = 0.9777; MSE = 0.0033; RMSE = 0.0574; MAPE = 0.0833), while the BR-based model with 10 neurons showed comparable accuracy. In comparison with the FR and SCG models, the LM algorithm demonstrated superior predictive accuracy and generalization capability. Overall, the findings suggest that ANN-based modeling is a reliable, data-informed approach for estimating NH3 removal efficiency, providing a potential decision-support framework for ammonia mitigation strategies in poultry production systems. Full article
(This article belongs to the Section Poultry)
Show Figures

Figure 1

13 pages, 739 KB  
Article
Factors Influencing the Production Efficiency of Cloned Pigs: A Large-Scale Retrospective Analysis
by Huaxing Zhao, Shouquan Zhang, Xiaopeng Tang, Rong Zhou, Ranbiao Mai, Lvhua Luo, Qiaoyun Su, Sixiu Huang, Zhenfang Wu, Zicong Li, Gengyuan Cai and Junsong Shi
Animals 2026, 16(2), 168; https://doi.org/10.3390/ani16020168 - 7 Jan 2026
Viewed by 179
Abstract
Pig somatic cell nuclear transfer (SCNT) has valuable applications in agriculture, biomedicine, and life sciences, yet low cloning efficiency remains a major constraint limiting its application. To systematically investigate factors related to the production efficiency of pig cloning, this study conducted a retrospective [...] Read more.
Pig somatic cell nuclear transfer (SCNT) has valuable applications in agriculture, biomedicine, and life sciences, yet low cloning efficiency remains a major constraint limiting its application. To systematically investigate factors related to the production efficiency of pig cloning, this study conducted a retrospective analysis of 367,701 SCNT embryos transferred into 2019 surrogate sows over five years, focusing on breeds of donor cells, the season of embryo transfers, and the number of embryos transferred per surrogate. Our data demonstrate that the genetic background of donor cells is a critical determinant. SCNT embryos generated by wild-type (WT) Pietrain and Duroc pigs yielded significantly higher cloning efficiencies compared to those from Large White and Yorkshire pigs. This breed-specific influence was also observed with genetically modified (GM) donor cells. Nevertheless, within the GM groups, GM-Duroc and GM-Yorkshire showed superior efficiency compared to GM-Large White and GM-Bama. Furthermore, Summer was identified as the least favorable season for embryo transfer, with significantly lower pregnancy rates, delivery rates, and cloning efficiency compared to the other seasons. Importantly, we established that transferring 100–150 embryos per recipient optimized cloning efficiency, significantly outperforming groups receiving higher embryo numbers without compromising pregnancy rates, delivery rates, or average litter sizes. Our findings provide valuable guidance for optimizing large-scale SCNT protocols in swine. Full article
(This article belongs to the Special Issue Assisted Reproductive Technologies in Production Animals)
Show Figures

Figure 1

17 pages, 860 KB  
Article
Effects of Fermentation Compound Chinese Herbal Medicine on the Reproductive Performance, Immune and Antioxidant Status, and Colostrum Metabolites of Ningxiang Sows During the Lactation Period
by Qingtai Zhang, Haibo Huang, Xinhao Song, Weiguang Yang, Rejun Fang and Chengkun Fang
Animals 2026, 16(2), 167; https://doi.org/10.3390/ani16020167 - 7 Jan 2026
Viewed by 206
Abstract
The present study aimed to evaluate the effects of fermented compound Chinese herbal medicine (FCHM, Vaccaria segetali, Tetrapanax papyriferus, Ligusticum chuanxiong Hort and Rhaponticum uniflorum) on the reproductive performance of Ningxiang sows. A total of 30 Ningxiang sows were randomly [...] Read more.
The present study aimed to evaluate the effects of fermented compound Chinese herbal medicine (FCHM, Vaccaria segetali, Tetrapanax papyriferus, Ligusticum chuanxiong Hort and Rhaponticum uniflorum) on the reproductive performance of Ningxiang sows. A total of 30 Ningxiang sows were randomly assigned to the control group (CON), CHM group, and FCHM group. The results indicated that dietary CHMs and FCHM supplementation significantly increased (p < 0.05) the milk production, feed intake, reproductive performance protein content, and lactose content in the milk of sows and significantly decreased (p < 0.05) the number of somatic cells in colostrum and in the number of low-birthweight piglets. Dietary FCHM supplementation significantly increased (p < 0.05) the number of healthy piglets, birth litter weight, colostrum fat content, and feed intake. Moreover, malondialdehyde, porcine interleukin-1α, and porcine interleukin-6 in sow serum were decreased (p < 0.05), and the activity of superoxide dismutase, total antioxidant capacity, immunoglobulin, prolactin and progesterone levels (p < 0.05) were increased, with FCHM supplementation. The colostrum metabolomics analyses showed that FCHM significantly enriched the oxytocin signaling pathway, calcium signaling pathway, and pathways associated with milk composition synthesis. In conclusion, supplementing with FCHM improved the reproductive performance and milk metabolic biomarkers of sows and may serve as an effective feed additive to improve productivity. Full article
Show Figures

Figure 1

18 pages, 816 KB  
Article
Effect of Preweaning Socialization on Postweaning Biomarkers of Stress, Inflammation, Immunity and Metabolism in Saliva and Serum of Iberian Piglets
by Carolina Becerra, Francisco Ignacio Hernández-García, Antonia Gómez-Quintana, José Joaquín Cerón, María Botía, Clara Mateos and Mercedes Izquierdo
Animals 2026, 16(1), 88; https://doi.org/10.3390/ani16010088 - 28 Dec 2025
Viewed by 294
Abstract
Weaning is one of the most stressful stages in pig production, especially for Iberian piglets, which grow more slowly than other cosmopolitan breeds and therefore, have a lower weaning weight when raised in intensive systems. Stress at weaning, caused by separation from the [...] Read more.
Weaning is one of the most stressful stages in pig production, especially for Iberian piglets, which grow more slowly than other cosmopolitan breeds and therefore, have a lower weaning weight when raised in intensive systems. Stress at weaning, caused by separation from the sow, dietary change, and regrouping with unfamiliar piglets, can negatively impact welfare, immune function, and performance. Pre-weaning socialization, which allows piglets from different litters to interact before weaning, has been proposed as a strategy to reduce aggression and facilitate the adaptation to the post-weaning period. However, its physiological effects in Iberian pigs remain largely unknown. In this study, 8 Iberian sows and their litters were assigned to either a control group (CTRL) or a socialization group (SOC) where litters were mingled (socialized) two weeks before weaning. Salivary and serum biomarkers of stress, inflammation, immunity and metabolism were measured at weaning (pwD0) and 7 days post-weaning (pwD7), and growth performance was recorded until 60 days of age. Socialized piglets showed reduced salivary Adenosine Deaminase (ADA) activity at pwD0 and pwD7 and lower salivary chromogranin A (CgA) and serum Haptoglobin (Hp) levels at pwD7. In contrast, they presented higher concentrations in serum of high-density lipoprotein (HDL), low-density lipoprotein (LDL), total cholesterol, glucose, and urea at pwD7 compared to controls. Attending to the sex effect, Butyryl-cholinesterase (BChE) serum concentration was higher in males and urea, and creatinine were higher in females. Growth rates were higher in socialized piglets in the first two weeks post-weaning but lower thereafter. These findings may suggest that pre-weaning socialization could reduce the stress associated with early post-weaning in Iberian piglets, thus potentially improving welfare and adaptation during this period. Full article
(This article belongs to the Special Issue Animal Health and Welfare Assessment of Pigs)
Show Figures

Figure 1

16 pages, 1596 KB  
Article
Forest Fine Root Litter Mitigates the NH3 Volatilization and N2O Emission from N-Applied Agriculture Soil
by Si Wu, Lei Chu, Guanglong Zhu and Lihua Ning
Plants 2026, 15(1), 57; https://doi.org/10.3390/plants15010057 - 24 Dec 2025
Viewed by 366
Abstract
Forest fine root litter enters agricultural soils in some cases and its decomposition would change the soil’s properties. However, how this process further influences the ammonia (NH3) volatilization and nitrous oxide (N2O) emission from agricultural soil receiving fertilizer nitrogen [...] Read more.
Forest fine root litter enters agricultural soils in some cases and its decomposition would change the soil’s properties. However, how this process further influences the ammonia (NH3) volatilization and nitrous oxide (N2O) emission from agricultural soil receiving fertilizer nitrogen (N) is unknown. Here, we conducted a soil pot experiment to investigate the responses of the aforementioned gaseous N losses during wheat season to fine root litters derived from Populus deltoides (RP) and Metasequoia glyptostroboides (RM) incorporations. The results showed that two forest fine root litters reduced total NH3 losses by 30.6−31.9% from 180 kg N ha−1 applied to farmland soil, and this effect was attributed to decreased soil urease activity and ammonium-N during the basal N fertilization period. Whether receiving fertilizer N or not, N2O emissions from farmland soil were significantly (p < 0.05) mitigated by 62.8–68.2% and 43.0−50.0% following the RP and RM incorporation, respectively. Lower N2O emission was ascribed to increased soil pH but decreased soil nitrate-N and bulk density. In addition, less AOA and AOB amoA but more nosZ gene abundances explained the fine root litter-induced N2O mitigation effect. Neither forest fine root litter exerted a negative effect on wheat grain yield and crop N use efficiency in N-added agriculture soil. In conclusion, forest fine root litter incorporation could help to mitigate gaseous N losses via NH3 volatilization and N2O emission from fertilizer-N-applied agricultural soils, and without crop production loss. Full article
(This article belongs to the Section Plant–Soil Interactions)
Show Figures

Figure 1

18 pages, 1523 KB  
Article
Factors Influencing Reproductive Performance in Austrian Sow Farms Challenged by Reproductive Disorders
by Gertrude Baumgartner, Alexander Grahofer, Andrea Buzanich-Ladinig and Christine Unterweger
Vet. Sci. 2026, 13(1), 3; https://doi.org/10.3390/vetsci13010003 - 19 Dec 2025
Viewed by 542
Abstract
Many piglet-producing farms are facing poor reproductive performance, yet their characteristics remain poorly understood. This study aimed to identify factors contributing to reproductive disorders based on information easily identifiable through an oral survey. Therefore, forty Austrian piglet producing farms (35–2000 sows) were surveyed [...] Read more.
Many piglet-producing farms are facing poor reproductive performance, yet their characteristics remain poorly understood. This study aimed to identify factors contributing to reproductive disorders based on information easily identifiable through an oral survey. Therefore, forty Austrian piglet producing farms (35–2000 sows) were surveyed using a questionnaire mainly addressing management, treatment and prophylaxis. Five key performance indicators (KPIs) were defined to assess farm productivity: farrowing rate, return-to-estrus rate, abortion rate, total piglets born per litter, and piglets weaned per litter. Farrowing rates were significantly higher in larger farms (r = 0.368; p = 0.019), PRRS-negative farms (r = 0.415; p = 0.008), and farms that did not clean the vulva before artificial insemination (r = 0.357; p = 0.024). Return-to-estrus rates were significantly higher in smaller farms (r = −0.431; p = 0.006), farms with more vaginal discharge after farrowing (r = 0.397; p = 0.011), those not using hormonal farrowing induction (r = 0.339; p = 0.033), and farms with older teaser boars (r = 0.385; p = 0.039). Larger farms had more piglets born per litter (r = 0.342; p = 0.031) and weaned more piglets (r = 0.391; p = 0.013). Weaned piglet numbers were also higher in farms with all-in/all-out implementation in farrowing pens (r = 0.353; p = 0.026), with restricted access of other animal species to the barn (r = 0.366; p = 0.028) and hormonal farrowing induction (r = 0.348; p = 0.028). Common well-established strategies for improving fertility performance like evaluation of body temperature after farrowing, antimicrobial, and hormonal treatments showed limited relevance. Further research is needed to confirm these findings and to identify additional factors influencing reproductive performance of sows. Full article
(This article belongs to the Special Issue Swine Management: Reproduction and Breeding)
Show Figures

Graphical abstract

16 pages, 4211 KB  
Article
Bone Growth and Development in Different Breeds of Piglets at the Early Age Is Associated with Mineral Deposition
by Md. Abul Kalam Azad, Chenjian Li, Yating Cheng, Bo Song, Sujuan Ding, Zhenlei Zhou, Qian Zhu and Xiangfeng Kong
Animals 2025, 15(24), 3536; https://doi.org/10.3390/ani15243536 - 8 Dec 2025
Viewed by 1010
Abstract
The growth and development of skeletal structures in young animals are important for their overall health and productivity. Deciphering variations in bone growth among pig breeds can optimize breeding strategies and improve animal welfare. This study explored differences in the bone growth and [...] Read more.
The growth and development of skeletal structures in young animals are important for their overall health and productivity. Deciphering variations in bone growth among pig breeds can optimize breeding strategies and improve animal welfare. This study explored differences in the bone growth and development of different pig breeds at the early growth stages. A total of 120 newborn piglets from Taoyuan black (TB), Xiangcun black (XB), and Duroc piglets, from 30 sows (litter sizes 9–11), were selected to assess their bone growth and development at four different ages (including at 1, 10, 21, and 24 days old). The results showed that the bone length and weight of femur, tibia, rib, and lumbar vertebrae among different pig breeds increased with age. Compared to Duroc piglets, XB and TB piglets exhibited a shorter bone length and lighter bone weight of those four bones at different ages (p < 0.05). XB piglets showed shorter bone length of femur, tibia, and lumbar vertebrae at weaning (21 days old), and a lighter bone weight and lower bone mineral content of those three bones at weaning and three days after weaning (24 days old) compared to TB piglets (p < 0.05). Bone breaking load increased with age, with Duroc piglets exhibiting higher bone breaking load at 10 days old (p < 0.05). Bone mineral density, ash content, and Ca and P deposition varied by breed and age, and TB piglets had a higher bone mineral density at 21 days old compared to XB piglets. In summary, Chinese native piglets have slower bone growth than Duroc piglets, but TB piglets exhibit higher mineral deposition compared to XB piglets. Full article
(This article belongs to the Special Issue Advances in Pig Reproductive Endocrinology)
Show Figures

Figure 1

15 pages, 1267 KB  
Article
Whole-Genome Sequencing of Dorper × Hu Hybrid Sheep for Screening Selection Signatures Associated with Litter Size
by Liying Qiao, Ke Ma, Quanhong Yao, Siying Zhang, Zhixu Pang, Wannian Wang, Ke Cai and Wenzhong Liu
Animals 2025, 15(23), 3505; https://doi.org/10.3390/ani15233505 - 4 Dec 2025
Viewed by 587
Abstract
Sheep are an economically important livestock species, and reproductive performance is a key trait affecting productivity. The Dorper × Hu hybrid sheep (DHS), widely bred in China, provides a valuable model for studying the genetic basis of prolificacy. This study aimed to investigate [...] Read more.
Sheep are an economically important livestock species, and reproductive performance is a key trait affecting productivity. The Dorper × Hu hybrid sheep (DHS), widely bred in China, provides a valuable model for studying the genetic basis of prolificacy. This study aimed to investigate the genomic architecture and identify candidate genes associated with high litter size in DHS using whole-genome selective sweep analysis and genome-wide association study (GWAS). A total of 31 DHS individuals with complete reproductive records were sequenced and compared with publicly available genomic data from 20 Hu sheep (HUS) and 10 Dorper sheep (DPS). Population genetic structure and diversity were assessed using phylogenetic trees, principal component analysis (PCA), and ADMIXTURE analysis. To identify key genomic regions associated with litter size, we performed selective sweep analysis between the polytocous and monotocous subpopulations of DHS using multiple methods within a 50 kb sliding window framework, including FST, θπ ratio, XP-CLR, and XP-EHH; we also conducted GWAS. DHS exhibited a distinct genetic structure with admixed ancestry and elevated genetic diversity. Genetic diversity analysis showed that DHS retained moderate levels of heterozygosity and polymorphism, comparable to or exceeding those of its parental breeds. Comparative analysis between polytocous and monotocous DHS identified reproduction-associated genes, including MUC1, PLCB4, SIN3A, and ELAVL2, enriched in pathways such as ovarian steroidogenesis, insulin secretion, and circadian entrainment. Furthermore, genome-wide association study (GWAS) identified 140 significant loci (p < 10−5) associated with reproductive traits. From these, 10 candidate SNPs were selected for validation through single-marker association analysis in 200 DHS individuals, among which two loci—g.88680390 C>A (SLC24A2/MLLT3) and g.18197516 T>C (ABCA1)—showed significant correlations with litter size. These findings enhance our understanding of the genetic basis of prolificacy in DHS and provide valuable molecular markers for genomic selection in sheep-breeding programs. Full article
Show Figures

Figure 1

22 pages, 733 KB  
Article
Seasonal Evaluation and Effects of Poultry Litter-Based Organic Fertilization on Sustainable Production and Secondary Metabolism of Cuphea carthagenensis (Jacq.) J. F. Macbr
by Joice Karina Otênio Ribeiro, Mariana Moraes Pinc, Rosselyn Gimenes Baisch, Marina Pereira da Silva Bocchio Barbosa, Jaqueline Hoscheid, Maiara Kawana Aparecida Rezende, Paula Derksen Macruz, Eduardo Jorge Pilau, Ezilda Jacomassi and Odair Alberton
Sustainability 2025, 17(23), 10801; https://doi.org/10.3390/su172310801 - 2 Dec 2025
Viewed by 325
Abstract
To ensure the quality and efficient access of the population to plant-derived resources, research on the sustainable cultivation of medicinal species is of great importance, and the present study aimed to evaluate the influence of poultry litter-based organic fertilization and seasonality on plant [...] Read more.
To ensure the quality and efficient access of the population to plant-derived resources, research on the sustainable cultivation of medicinal species is of great importance, and the present study aimed to evaluate the influence of poultry litter-based organic fertilization and seasonality on plant growth, soil health (quality), and secondary metabolism of Cuphea carthagenensis. Plants were cultivated during the summer and autumn/winter seasons in a randomized design with five poultry litter application rates (0, 10, 20, 30, and 40 t ha−1) and three replications per plot field (1 × 2 m). The parameters evaluated included soil health, plant biomass, nutrient content, extract yield from the aerial parts, and chemical composition. In the summer, soil bioindicators (microbial biomass carbon and basal respiration) increased with the addition of poultry litter, although plant biomass was not affected by the season. Plant nutrient levels, particularly N and P, increased under poultry litter application rates of 30 t ha−1 and higher. Under these conditions, the highest extract yield from the aerial parts was obtained at a rate of 40 t ha−1. During autumn/winter, poultry litter increased significantly soil microbial biomass carbon, plant biomass, and N and P contents, resulting in an 11.07% increase in extract yield at a rate of 20 t ha−1. Phytochemical analysis of the extracts identified 29 compounds, predominantly quercetin derivatives. Overall, the findings demonstrate that the sustainable cultivation of C. carthagenensis under organic fertilization enhances soil health, plant biomass, and extract yield. These findings highlight the potential of organic nutrient management as a promising strategy for advancing sustainable medicinal plant production and meeting societal demands for natural bioactive resources. Full article
(This article belongs to the Special Issue Soil Pollution, Soil Ecology and Sustainable Land Use)
Show Figures

Figure 1

18 pages, 2560 KB  
Article
Vegetation Traits and Litter Properties Play a Vital Role in Enhancing Soil Quality in Revegetated Sandy Land Ecosystems
by Pengfei Zhang, Ming’an Shao, Xiao Bai and Chunlei Zhao
Forests 2025, 16(12), 1782; https://doi.org/10.3390/f16121782 - 27 Nov 2025
Viewed by 324
Abstract
Desertification erodes arable land and human habitats. Vegetation restoration represents a critical process for improving the quality of sandy land by enhancing soil structure and nutrient cycling. This study aims to investigation how vegetation restoration affects soil physicochemical properties and soil quality. Five [...] Read more.
Desertification erodes arable land and human habitats. Vegetation restoration represents a critical process for improving the quality of sandy land by enhancing soil structure and nutrient cycling. This study aims to investigation how vegetation restoration affects soil physicochemical properties and soil quality. Five vegetated land types were selected (Pinus sylvestris var. mongholica Litv., PS; Amygdalus pedunculata Pall., AP; Salix psammophila, SP; Amorpha fruticosa L., AF; Artemisia desertorum Spreng., AD). Bare sandy land (BS) served as the control. The physicochemical properties of 270 soil samples from three vertical depth intervals (0–10, 10–20, and 20–30 cm) were analyzed. The findings demonstrated that vegetation restoration markedly improved the proportion of finer soil particles (clay and silt) and organic carbon, while the variations in total phosphorus, ammonia nitrogen, and nitrate nitrogen were not significant. To better understand the variations in soil quality in different vegetated lands, a soil quality index (SQI) was developed that considers multiple soil physical and chemical indicator selections and scoring methods. The SQI based on the minimum dataset and linear scoring method better differentiated the soil quality for sandy lands and showed higher values for SP among all five vegetated lands and BS. Improvements in soil quality were closely related to vegetation properties (density and coverage) and litter characteristics (thickness, water content, and total phosphorus content). Restoration strategies for sandy lands should focus more strongly on species selection, taking into account interspecific variations in litter production, physicochemical properties, canopy architecture, and planting density to more effectively improve soil quality. Full article
(This article belongs to the Special Issue Effect of Vegetation Restoration on Forest Soil)
Show Figures

Figure 1

Back to TopTop