Sign in to use this feature.

Years

Between: -

Subjects

remove_circle_outline
remove_circle_outline
remove_circle_outline
remove_circle_outline
remove_circle_outline
remove_circle_outline
remove_circle_outline
remove_circle_outline
remove_circle_outline

Journals

remove_circle_outline
remove_circle_outline
remove_circle_outline
remove_circle_outline
remove_circle_outline
remove_circle_outline
remove_circle_outline
remove_circle_outline
remove_circle_outline
remove_circle_outline
remove_circle_outline
remove_circle_outline
remove_circle_outline

Article Types

Countries / Regions

remove_circle_outline
remove_circle_outline
remove_circle_outline
remove_circle_outline
remove_circle_outline
remove_circle_outline
remove_circle_outline
remove_circle_outline
remove_circle_outline
remove_circle_outline

Search Results (2,513)

Search Parameters:
Keywords = Land input

Order results
Result details
Results per page
Select all
Export citation of selected articles as:
19 pages, 485 KB  
Article
Are Andean Dairy Farms Losing Their Efficiency?
by Carlos Santiago Torres-Inga, Ángel Javier Aguirre-de Juana, Raúl Victorino Guevara-Viera, Paola Gabriela Alvarado-Dávila and Guillermo Emilio Guevara-Viera
Agriculture 2026, 16(1), 17; https://doi.org/10.3390/agriculture16010017 (registering DOI) - 20 Dec 2025
Abstract
(1) Background: Ecuador is the fourth largest milk producer in Latin America, where ap-proximately 80% of production originates from small family farms located in the Andean region. Despite their socioeconomic importance, these farms face challenges related to low technical efficiency. While there are [...] Read more.
(1) Background: Ecuador is the fourth largest milk producer in Latin America, where ap-proximately 80% of production originates from small family farms located in the Andean region. Despite their socioeconomic importance, these farms face challenges related to low technical efficiency. While there are specific studies on efficiency in dairy systems from other regions, a knowledge gap persists regarding the temporal evolution of technical efficiency (TE) in Ecuadorian Andean dairy farms, especially during crisis periods such as the COVID-19 pandemic. The objective of this study was to evaluate the evolution of TE of family dairy farms in the Ecuadorian Andean region during the period 2018–2024 and to analyze the impact of the pandemic on said efficiency. (2) Methods: Data Envelopment Analysis (DEA) with input orientation and bootstrap simulation was employed to estimate TE, using data from a representative sample that included between 2370 and 2987 farms per year (approximately 25% of the national database of the Ministry of Agriculture and Livestock). Farms were selected based on the availability of complete information on key variables: number of milking cows, area dedicated to forage, family and hired labor (annual hours), and total annual milk production. Statistical analysis included ANOVA to compare mean TE values between years, post-hoc tests to identify specific differences between periods, and the identification of factors related to the TE. (3) Results: The mean TE of Andean dairy farms increased significantly from 0.37 in 2018 to 0.44 in 2024 (p < 0.10), evidencing sustained improvement, although the mean is still distant from the efficiency frontier. The analysis revealed a notable decrease in TE during 2020–2021, coinciding with the period of greatest impact of the COVID-19 pandemic, followed by progressive recovery in subsequent years. The TE distribution showed that between 70% and 75% of farms remained below 0.50 throughout the analyzed period, while only 8–12% achieved levels above 0.70. The main sources of technical inefficiency identified were relative excesses of labor and forage area in relation to milk production obtained. When compared with international studies, Ecuadorian farms present TE levels substantially lower than those reported in the European Union (>0.80) and similar to or slightly lower than those found in Turkey (0.61–0.71). (4) Conclusions: Family dairy farms in the Ecuadorian Andean region operate with technical efficiency levels considerably below their potential and international standards, suggesting substantial scope for improvement through the optimization of productive resource use, particularly labor and land. The COVID-19 pandemic impacted the sector’s efficiency negatively but temporarily, demonstrating resilience and recovery capacity. These findings are relevant to the design of public policies and technical assistance programs aimed at sustainable intensification of family dairy production in the Andes, with an emphasis on improving labor productivity and the efficient use of forage area. Full article
(This article belongs to the Section Farm Animal Production)
Show Figures

Figure 1

14 pages, 2077 KB  
Article
Machine Learning Assessment of Soil Carbon Sequestration Potential: Integrating Land Use, Pedology, and Machine Learning in Croatia
by Lucija Galić, Mladen Jurišić, Ivan Plaščak and Dorijan Radočaj
Agronomy 2026, 16(1), 14; https://doi.org/10.3390/agronomy16010014 (registering DOI) - 20 Dec 2025
Abstract
Spatially quantifying the soil carbon sequestration potential (SCSP) is crucial for targeting climate change mitigation strategies like carbon farming. However, static mapping approaches often fail by assuming that the drivers of soil organic carbon (SOC) are stationary. We hypothesized that the hierarchy of [...] Read more.
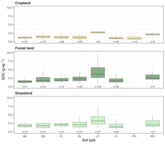
Spatially quantifying the soil carbon sequestration potential (SCSP) is crucial for targeting climate change mitigation strategies like carbon farming. However, static mapping approaches often fail by assuming that the drivers of soil organic carbon (SOC) are stationary. We hypothesized that the hierarchy of SOC controllers is fundamentally non-stationary, shifting from intrinsic stabilization capacity (pedology) in stable ecosystems to extrinsic flux kinetics (climate) in dynamic systems. We tested this by developing a land-use-specific (LULC; Cropland, Forest land, Grassland) ensemble machine learning (ML) framework to quantify the soil carbon saturation deficit (SCSD) across Croatia’s pedologically diverse landscape on 622 soil samples. The LULC-stratified ensemble models (SVM, RF, CUB) achieved moderate to good predictive accuracy under cross-validation (R2 = 0.41–0.60). Crucially, the feature importance analysis (permutation MSE loss) proved our hypothesis: in Forest land, SOC was superiorly controlled by intrinsic capacity (Soil CEC, Soil pH), defining the mineralogical C-saturation “ceiling”; in Grasslands, control shifted to extrinsic C-input kinetics (Precipitation: Bio19, Bio12), which “fuel” the microbial carbon pump (MCP) via root exudation; and in Croplands, the model revealed a hybrid control, limited by remaining intrinsic capacity (CEC, Clay) but strongly influenced by C-loss kinetics (Temperature: Bio08), which regulates microbial carbon use efficiency (CUE). This study demonstrates that LULC-specific dynamic modeling is a prerequisite for accurately mapping SCSP. By identifying soils with both high intrinsic capacity (high CEC/Clay) and high degradation (high SCSD), our data-driven assessment provides a critical tool for spatially targeting carbon farming interventions for maximum climate mitigation return on investment (ROI). Full article
Show Figures

Figure 1

14 pages, 2273 KB  
Article
Integrated Assessment for Optimal Urban Development in Oman: A Multi-Criteria Decision Analysis of Physical and Socioeconomic Factors
by Mohamed E. Hereher
Sustainability 2026, 18(1), 60; https://doi.org/10.3390/su18010060 (registering DOI) - 20 Dec 2025
Abstract
In parallel with achieving its 2040 Vision toward establishing smart cities, this study aims to pinpoint promising locations for future urban development in Oman, which reflect the unique physical attributes of the country, its renewable energy resources, and socio-economic conditions. To meet this [...] Read more.
In parallel with achieving its 2040 Vision toward establishing smart cities, this study aims to pinpoint promising locations for future urban development in Oman, which reflect the unique physical attributes of the country, its renewable energy resources, and socio-economic conditions. To meet this goal at the national scale, the research relied on the following key factors: topography, diurnal temperature range, relative humidity, dust concentrations, wind speed, solar radiation, and access to electricity. These inputs were derived from remote sensing sources. A multi-layer spatial analysis was carried out within a Geographical Information System (GIS) environment to identify high-priority locations for future and sustainable urban growth. All parameters were assigned equal weights, particularly when applying a standard approach to produce a baseline suitability model at the national scale and to avoid subjective bias in the overall suitability assessment. Results showed that 2.1% of Oman’s land shows strong potential for sustainable urban development. Specifically, three locations stand out with the highest occurring along the southern section of the Arabian Sea between Al Jazir and Ad-Duqum. The other two locations occur at Salalah in the south and Sohar in the north. The promising locations occur proximate to major harbors and can benefit from existing infrastructure, including airports, highways, educational and medical services. Suggested locations also align well with earlier relevant studies. This study demonstrates the capabilities of integrating remotely sensed data with geospatial analysis in urban planning and development. Results are expected to help policymakers and planners to prioritize national-scale urban development. Full article
Show Figures

Figure 1

19 pages, 4716 KB  
Article
Simulating Rainfall for Flood Forecasting in the Upper Minjiang River
by Wenjie Zhao, Yang Zhao, Qijia Zhao, Xingping Wang, Tiantian Su and Yuan Guo
Water 2026, 18(1), 4; https://doi.org/10.3390/w18010004 - 19 Dec 2025
Abstract
The accuracy and timeliness of precipitation inputs have significant impact on flood forecasting. Upstream Minjiang River Basin is characterized by complex terrain and highly variable climatic conditions, posing a significant challenge for runoff forecasting. This study proposes a combined forecasting approach integrating numerical [...] Read more.
The accuracy and timeliness of precipitation inputs have significant impact on flood forecasting. Upstream Minjiang River Basin is characterized by complex terrain and highly variable climatic conditions, posing a significant challenge for runoff forecasting. This study proposes a combined forecasting approach integrating numerical weather prediction (NWP) models with hydrodynamic models to enhance flood process simulation. The most appropriate initial field data for the Weather Research and Forecasting Model (WRF) exist in time and space resolution. Compared with the measured series, the characteristics of precipitation forecasting are summarized from practical and scientific perspectives. InfoWorks ICM is then used to implement runoff generation calculations and flooding processes. The results indicate that the WRF model effectively simulates the spatial distribution and peak timing of precipitation in the upper Minjiang River. The model systematically underestimates both peak rainfall intensity and cumulative precipitation compared to observations. Initial field data with 0.25° spatial resolution and 3 h temporal intervals demonstrate good performance and the 10–14 h forecast period exhibits superior predictive capability in numerical simulations. Updates to elevation and land use conditions yield increased cumulative rainfall estimates, though simulated peaks remain lower than measured values. The runoff results could indicate peak flow but rely on the precipitation inputs. Full article
(This article belongs to the Section Hydrology)
Show Figures

Figure 1

23 pages, 30210 KB  
Article
Local Altimetric Correction of Global DEMs in Data-Scarce Floodplains: A Practical GNSS-Based Approach
by Jose Miguel Fragozo Arevalo, Jorge Escobar-Vargas and Jairo R. Escobar Villanueva
ISPRS Int. J. Geo-Inf. 2025, 14(12), 498; https://doi.org/10.3390/ijgi14120498 - 18 Dec 2025
Abstract
A reliable Digital Elevation Model (DEM) is a key input for land use planning and risk management, particularly in floodplains where low-resolution models often fail to represent subtle topographic variations. In many regions worldwide, high-precision elevation data are unavailable, necessitating the development of [...] Read more.
A reliable Digital Elevation Model (DEM) is a key input for land use planning and risk management, particularly in floodplains where low-resolution models often fail to represent subtle topographic variations. In many regions worldwide, high-precision elevation data are unavailable, necessitating the development of methods to enhance existing global digital elevation models (DEM). This study proposes a practical and replicable methodology to improve the vertical accuracy of global DEMs in flat terrains with limited data availability. The approach is based on correcting the altimetric differences between the DEM and GNSS-RTK-surveyed topographic points, incorporating land cover classification to refine adjustments. The methodology was tested in the Ranchería River delta in Riohacha, La Guajira, Colombia, using four global DEMs: FABDEM, SRTM, ASTER, and ALOS. Results showed a significant reduction in root mean square error (RMSE), with improvements of up to 76.691% for ASTER, 55.882% for FABDEM, 55.932% for SRTM, and 36.842% for ALOS. The proposed method requires minimal computational resources and no advanced programming. Due to minimal data requirements, it makes it a scalable and replicable solution for similar floodplain environments. These enhancements in local altimetric accuracy could help to improve the reliability of hydrodynamic modeling, with direct implications for flood risk management and decision-making in vulnerable flatland areas. Full article
Show Figures

Figure 1

25 pages, 25629 KB  
Article
DSEPGAN: A Dual-Stream Enhanced Pyramid Based on Generative Adversarial Network for Spatiotemporal Image Fusion
by Dandan Zhou, Lina Xu, Ke Wu, Huize Liu and Mengting Jiang
Remote Sens. 2025, 17(24), 4050; https://doi.org/10.3390/rs17244050 - 17 Dec 2025
Viewed by 75
Abstract
Many deep learning-based spatiotemporal fusion (STF) methods have been proven to achieve high accuracy and robustness. Due to the variable shapes and sizes of objects in remote sensing images, pyramid networks are generally introduced to extract multi-scale features. However, the down-sampling operation in [...] Read more.
Many deep learning-based spatiotemporal fusion (STF) methods have been proven to achieve high accuracy and robustness. Due to the variable shapes and sizes of objects in remote sensing images, pyramid networks are generally introduced to extract multi-scale features. However, the down-sampling operation in the pyramid structure may lead to the loss of image detail information, affecting the model’s ability to reconstruct fine-grained targets. To address this issue, we propose a novel Dual-Stream Enhanced Pyramid based on Generative Adversarial Network (DSEPGAN) for the spatiotemporal fusion of remote sensing images. The network adopts a dual-stream architecture to separately process coarse and fine images, tailoring feature extraction to their respective characteristics: coarse images provide temporal dynamics, while fine images contain rich spatial details. A reversible feature transformation is embedded in the pyramid feature extraction stage to preserve high-frequency information, and a fusion module employing large-kernel and depthwise separable convolutions captures long-range dependencies across inputs. To further enhance realism and detail fidelity, adversarial training encourages the network to generate sharper and more visually convincing fusion results. The proposed DSEPGAN is compared with widely used and state-of-the-art STF models in three publicly available datasets. The results illustrate that DSEPGAN achieves superior performance across various evaluation metrics, highlighting its notable advantages for predicting seasonal variations in highly heterogeneous regions and abrupt changes in land use. Full article
Show Figures

Figure 1

46 pages, 5390 KB  
Article
A Simulated Weather-Driven Bio-Economic Optimization Model for Agricultural Planning
by Bunnel Bernard, David Riegert, Kenzu Abdella and Suresh Narine
Mathematics 2025, 13(24), 4010; https://doi.org/10.3390/math13244010 - 16 Dec 2025
Viewed by 92
Abstract
This study develops a weather-driven bio-economic optimization framework for agricultural planning in Guyana by integrating weather simulation, crop modeling, and multi-objective optimization. Precipitation was modeled using a first-order Markov chain with fitted distribution, while temperature and relative humidity were simulated using stochastic differential [...] Read more.
This study develops a weather-driven bio-economic optimization framework for agricultural planning in Guyana by integrating weather simulation, crop modeling, and multi-objective optimization. Precipitation was modeled using a first-order Markov chain with fitted distribution, while temperature and relative humidity were simulated using stochastic differential equations. Reference evapotranspiration was estimated using an artificial neural network. These simulated weather variables were then used as inputs to AquaCrop to estimate rice, maize, and soybean yields across multiple planting intervals. A multi-objective optimization model was then applied to optimize gross profit, economic water productivity, and land use efficiency. Validation at the Rose Hall Estate showed strong accuracy for rice and maize (MAPE < 10%) and moderate accuracy for soybeans. Scenario analyses for the 2024–2025 season, assuming 25% and 50% export targets, revealed that rice–maize double cropping produced the highest profitability, while soybean–maize combinations were less favorable. The framework replaces static yield assumptions with dynamic, simulation-driven models that incorporate price forecasts and allow substitution of alternative forecasting or crop simulators to enhance precision. The scenario-based design provides a flexible decision-support platform for optimizing crop selection, planting intervals, and resource allocation under climate variability and market uncertainty. Moreover, the framework is scalable and well-suited for evidence-based agricultural planning. Full article
(This article belongs to the Section E: Applied Mathematics)
Show Figures

Figure 1

22 pages, 1499 KB  
Article
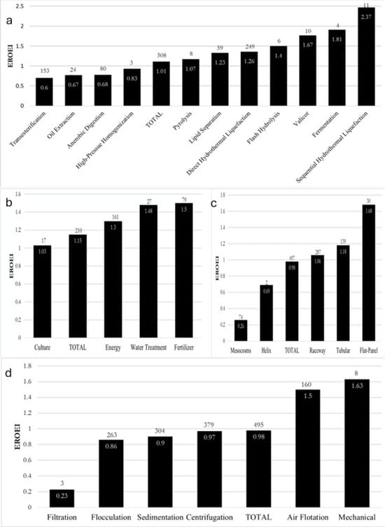
Energy Input–Output Meta-Analysis Reveals Algal Diesel Struggles to Break Even
by Michelle M. Arnold, David J. R. Murphy and Christopher L. Lant
Energies 2025, 18(24), 6572; https://doi.org/10.3390/en18246572 - 16 Dec 2025
Viewed by 125
Abstract
Algal biofuels have been investigated as an alternative to fossil fuels and first-generation biofuels for transportation in the United States since the 1970s. Yet after five decades of development, scalability and implementation remain limited—largely due to persistent barriers such as low biomass productivity, [...] Read more.
Algal biofuels have been investigated as an alternative to fossil fuels and first-generation biofuels for transportation in the United States since the 1970s. Yet after five decades of development, scalability and implementation remain limited—largely due to persistent barriers such as low biomass productivity, modest lipid yields, and energy-intensive processing methods. These technical challenges significantly constrain the feasibility of large-scale commercialization despite substantial research and investment. To evaluate progress toward commercial viability, this study harmonized energy inputs and outputs across 508 observations on the production of algal biofuel energy return on energy investment (EROEI) in the United States. While bioethanol achieves an EROEI of (2.8) and oil (8.7), the analysis produced a mean EROEI of 1.01—essentially the break-even point—irrespective of system boundaries. Life-cycle analysis results showed that hydrothermal liquefaction in algal diesel production yielded a slightly higher mean EROEI (0.67) than transesterification (0.51), yet both showed net energy losses. Co-products were found to increase EROEI values, particularly when recycled into production processes. Collectively, these findings indicate that research and development to date has not produced a technology with net energy gains sufficient for commercial viability. For this reason, algal biofuels show little potential to alleviate the ongoing decline in the EROEI of petroleum and are not a promising renewable energy option for reducing greenhouse gas emissions from the transportation sector. They also show little promise for alleviating the land use, food vs. fuel and other controversies that have plagued first and second-generation biofuels. Full article
Show Figures

Figure 1

36 pages, 10566 KB  
Article
Advancing Agricultural Drought Level Prediction in Guangdong Utilizing ERA5-Land and SMAP-L3 Data
by Xiaoning Li, Zhichao Zhong, Jing Wang, Qingliang Li, Xingyu Zhou, Sen Yan, Jinlong Zhu and Xiao Chen
Water 2025, 17(24), 3564; https://doi.org/10.3390/w17243564 - 16 Dec 2025
Viewed by 230
Abstract
Accurate forecasting of agricultural drought is vital for enhancing agricultural resilience and optimizing water resource management. Although deep learning models like Long Short-Term Memory (LSTM) have shown promise in drought prediction, their performance is often constrained by the high dimensionality and varying relevance [...] Read more.
Accurate forecasting of agricultural drought is vital for enhancing agricultural resilience and optimizing water resource management. Although deep learning models like Long Short-Term Memory (LSTM) have shown promise in drought prediction, their performance is often constrained by the high dimensionality and varying relevance of input meteorological and soil variables. Standard models treat all input features equally, lacking a mechanism to dynamically prioritize the most informative drivers of soil moisture dynamics. To address this limitation, this study introduces a novel feature recalibration encoder placed between the input and the core prediction model. This encoder leverages a fully connected layer and Softmax activation to generate importance weights for input features, which are then used to enhance the original input via a residual connection, thereby guiding the model to focus on critical signals. We integrated this encoder into three drought forecasting frameworks (targeting soil moisture, SWDI, and drought levels) and four LSTM architectures (LSTM, AttLSTM, EDLSTM, and AEDLSTM) to forecast conditions 1–14 days ahead. Using SMAP-L3 and ERA5-Land data across Guangdong Province, our results demonstrate that models equipped with the proposed encoder consistently outperform their standard counterparts, particularly in capturing extreme drought events. For instance, the encoder-enhanced AEDLSTM model in framework B has significantly improved the 7-day prediction accuracy for severe drought situations. These results highlight that adaptive feature recalibration is a critical step for advancing regional drought forecasting, offering a refined approach that aligns data-driven insights with the dynamic nature of drought evolution. Full article
Show Figures

Figure 1

16 pages, 1572 KB  
Article
Modeling Soil Organic Carbon Dynamics Across Land Uses in Tropical Andean Ecosystems
by Víctor Alfonso Mondragón Valencia, Apolinar Figueroa Casas, Diego Jesús Macias Pinto and Rigoberto Rosas-Luis
Land 2025, 14(12), 2425; https://doi.org/10.3390/land14122425 - 16 Dec 2025
Viewed by 200
Abstract
Soil organic carbon (SOC) plays a crucial role in climate change mitigation by regulating atmospheric CO2 and maintaining ecosystem balance; however, its stability is influenced by land use in anthropized areas such as the tropical Andes. This study developed a dynamic compartmental [...] Read more.
Soil organic carbon (SOC) plays a crucial role in climate change mitigation by regulating atmospheric CO2 and maintaining ecosystem balance; however, its stability is influenced by land use in anthropized areas such as the tropical Andes. This study developed a dynamic compartmental model based on ordinary differential equations to simulate carbon fluxes among litter, humus, and microbial biomass under four land uses in the Las-Piedras River basin (Popayán, Colombia): riparian forest (RF), ecological restoration (ER), natural-regeneration (NR), and livestock (LS). The model includes two decomposition rate constants: k1, for the transformation of fresh organic matter, and k2, for the turnover of humified organic matter. It was calibrated using field data on soil physicochemical and biological properties, as well as carbon inputs and outputs. The results showed clear differences in SOC dynamics among land uses: RF had the highest SOC stocks (148.7 Mg ha−1) and microbial biomass, while LS showed the lowest values and the greatest deviation due to compaction and low residue input. The humus fraction remained the most stable pool (k2 ≈ 10−4 month−1), confirming its recalcitrant nature. Overall, the model reproduced SOC behavior accurately (MAE = 0.01–0.30 Mg ha−1) and provides a framework for improving soil carbon management in mountain ecosystems. Full article
(This article belongs to the Special Issue Feature Papers for "Land, Soil and Water" Section)
Show Figures

Figure 1

24 pages, 8935 KB  
Article
Application of UAVs and Machine Learning Methods for Mapping and Assessing Salinity in Agricultural Fields in Southern Kazakhstan
by Ravil I. Mukhamediev
Drones 2025, 9(12), 865; https://doi.org/10.3390/drones9120865 - 15 Dec 2025
Viewed by 97
Abstract
Soil salinization is an important negative factor that reduces the fertility of irrigated arable land. The fields in southern Kazakhstan are at high risk of salinization due to the dry arid climate. In some cases, even the top layer of soil has a [...] Read more.
Soil salinization is an important negative factor that reduces the fertility of irrigated arable land. The fields in southern Kazakhstan are at high risk of salinization due to the dry arid climate. In some cases, even the top layer of soil has a significant degree of salinization. The use of a UAV equipped with a multispectral camera can help in the rapid and highly detailed mapping of salinity in cultivated arable land. This article describes the process of preparing the labeled data for assessing the salinity of the top layer of soil and the comparative results achieved due to using machine learning methods in two different districts. During an expedition to the fields of the Turkestan region of Kazakhstan, fields were surveyed using a multispectral camera mounted on a UAV; simultaneously, the soil samples were collected. The electrical conductivity of the soil samples was then measured in laboratory conditions, and a set of programs was developed to configure machine learning models and to map the obtained results subsequently. A comparative analysis of the results shows that local conditions have a significant impact on the quality of the models in different areas of the region, resulting in differences in the composition and significance of the model input parameters. For the fields of the Zhetisay district, the best result was achieved using the extreme gradient boosting regressor model (linear correlation coefficient Rp = 0.86, coefficient of determination R2 = 0.42, mean absolute error MAE = 0.49, mean square error MSE = 0.63). For the fields in the Shardara district, the best results were achieved using the support vector machines model (Rp = 0.82, R2 = 0.22, MAE = 0.41, MSE = 0.46). This article presents the results, discusses the limitations of the developed technology for operational salinity mapping, and outlines the tasks for future research. Full article
(This article belongs to the Special Issue Advances of UAV in Precision Agriculture—2nd Edition)
Show Figures

Figure 1

19 pages, 1687 KB  
Article
Developing New-Quality Productive Forces for China’s Farmland: Connotation, Challenges, and Strategies
by Jie Ren
Sustainability 2025, 17(24), 11220; https://doi.org/10.3390/su172411220 - 15 Dec 2025
Viewed by 173
Abstract
High-efficiency farmland production is essential for ensuring national food security and promoting sustainable agriculture in China. This paper aims to systematically analyze the challenges in building a new-quality farmland production system driven by innovative productive forces that emphasizes large-scale operations, optimal integration of [...] Read more.
High-efficiency farmland production is essential for ensuring national food security and promoting sustainable agriculture in China. This paper aims to systematically analyze the challenges in building a new-quality farmland production system driven by innovative productive forces that emphasizes large-scale operations, optimal integration of farming components, and the application of modern technologies and intangible inputs. To achieve this aim, we conducted a comprehensive review and synthesis of the current literature, national policy documents, and agricultural statistics. Our analysis identifies key challenges, including limited water and land resources, outdated machinery and practices, a shortage of skilled farmers, insufficient innovation, and underdeveloped policy and support systems. Based on this analysis, we propose a series of integrated strategies to enhance farmland productivity. These recommendations include improving soil fertility, developing new crop varieties, promoting modern management models, training farmers in advanced technologies, innovating agricultural policies and infrastructure, and establishing accessible farm credit and insurance systems. We conclude that by integrating the six key elements of quality farmland, superior varieties, skilled farmers, modern technologies, sound policies, and supportive credit systems, China can successfully transition from labor-intensive to technology- and information-intensive farming models, thereby boosting the productivity and resilience of its farmland production systems. Full article
Show Figures

Figure 1

22 pages, 3603 KB  
Article
Land Use and Rainfall as Drivers of Microplastic Transport in Canal Systems: A Case Study from Upstate New York
by Md Nayeem Khan Shahariar, Addrita Haque, Thomas M. Holsen and Abul B. M. Baki
Microplastics 2025, 4(4), 106; https://doi.org/10.3390/microplastics4040106 - 15 Dec 2025
Viewed by 436
Abstract
Microplastic pollution in freshwater systems represents a growing environmental concern, yet the dynamics of microplastic distributions in smaller tributaries like canals/creeks remain understudied. This case study presents an investigation of microplastic contamination in a canal system in upstate New York, USA, examining land [...] Read more.
Microplastic pollution in freshwater systems represents a growing environmental concern, yet the dynamics of microplastic distributions in smaller tributaries like canals/creeks remain understudied. This case study presents an investigation of microplastic contamination in a canal system in upstate New York, USA, examining land use and rainfall that influence microplastic abundance, distribution, and characteristics. Water and sediment samples were collected bi-weekly (June–August 2023) from sites representing runoff from diverse land-use types: agricultural areas, residential zones, academic buildings, and parking lots. The study reveals significant land-use dependent variations in contamination, with mean concentrations of 17 ± 7 items/L in the water column, while suspended sediment and bedload reached 540 ± 230 items/kg and 370 ± 80 items/kg, respectively. Upstream water column exhibited the highest loads (27 ± 2 items/L), driven by cumulative agricultural and commercial inputs, while downstream declines highlighted vegetation-mediated sedimentation. Land-use patterns strongly influenced contamination profiles, with parking lots exhibiting tire-wear fragments, artificial turf contributing polyethylene particles, and residential areas contributing 43% textile fibers. Rainfall intensity and antecedent dry days differentially influenced transport mechanisms. Antecedent dry days strongly predicted parking lot runoff fluxes surpassing rainfall intensity effects and underscored impervious surfaces as transient microplastic reservoirs. Full article
(This article belongs to the Special Issue Microplastics in Freshwater Ecosystems)
Show Figures

Graphical abstract

26 pages, 2339 KB  
Article
Assessment of AquaCrop Inputs from ERA5-Land and Sentinel-2 for Soil Water Content Estimation and Durum Wheat Yield Prediction: A Case Study in a Tunisian Field
by Hiba Ghazouani, Dario De Caro, Matteo Ippolito, Fulvio Capodici and Giuseppe Ciraolo
Water 2025, 17(24), 3522; https://doi.org/10.3390/w17243522 - 12 Dec 2025
Viewed by 224
Abstract
Climate change and water scarcity are major threats to the sustainability of wheat production in Mediterranean regions. Thus, timely and reliable water demand assessments are crucial to drive decisions on crop management strategies that are useful for agricultural adaptation to climate change challenges. [...] Read more.
Climate change and water scarcity are major threats to the sustainability of wheat production in Mediterranean regions. Thus, timely and reliable water demand assessments are crucial to drive decisions on crop management strategies that are useful for agricultural adaptation to climate change challenges. Although the AquaCrop model is widely used to infer crop yields, it requires continuous field-based observations (mainly soil water content and crop coverage). Often, these areas suffer from a scarcity of in situ data, suggesting the need for remote sensing and model-based decision support. In this framework, this research intends to compare the performance of the AquaCrop model using four different input combinations, with one employing ERA5-Land and crop cover retrieved by satellite images exclusively. A field experiment was conducted on durum wheat (highly sensitive to water stress and playing a strategic role in national food security) in northwest Tunisia during the growing season of 2024–2025, where meteorological variables, green Canopy Cover (gCC), Soil Water Content (SWC), and final yields (biological and grain) were monitored. The AquaCrop model was applied. Four model input combinations were evaluated. In situ meteorological data or ERA5-Land (E5L) reanalysis were combined with either measured-gCC (measured-gCC) or Sentinel-2 NDVI-derived gCC (NDVI-gCC). The results showed that E5L reproduced temperature with RMSE < 2.4 °C (NSE > 0.72) and ETo with RMSE equal to 0.57 mm d−1 (NSE = 0.79), while precipitation presented larger discrepancies (RMSE = 4.14 mm d−1, NSE = 0.58). Sentinel-2 effectively captured gCC dynamics (RMSE = 15.65%, NSE = 0.73) and improved AquaCrop perfomance (RMSE = 5.29%, NSE = 0.93). Across all combinations, AquaCrop reproduced yields within acceptable deviations. The simulated biological yield ranged from 9.7 to 11.0 t ha−1 compared to the observed 10.3 t ha−1, while grain yield ranged from 3.0 to 3.5 t ha−1 against the observed 3.3 t ha−1. As expected, the best agreement with measured yield data was obtained using in situ meteorological data and measured-gCC, even if the use of in situ meteorological data coupled with NDVI-gCC, or E5L-based meteorological data coupled with NDVI-gCC, produced realistic estimates. These results highlight that the application of AquaCrop employing E5L and Sentinel-2 inputs is a feasible alternative for crop monitoring in data-scarce environments. Full article
(This article belongs to the Section Water, Agriculture and Aquaculture)
Show Figures

Graphical abstract

34 pages, 18403 KB  
Article
A Comprehensive Methodology for Identifying Cadastral Plots Suitable for the Construction of Photovoltaic Farms: The Energy Transformation of the Częstochowa Poviat
by Katarzyna Siok, Beata Calka and Łukasz Kulesza
Energies 2025, 18(24), 6520; https://doi.org/10.3390/en18246520 - 12 Dec 2025
Viewed by 245
Abstract
In the era of growing energy demand and the need to reduce greenhouse gas emissions, the development of renewable energy sources, including photovoltaic farms, is becoming a key element of a sustainable energy transition. In this context, the careful selection of cadastral plots [...] Read more.
In the era of growing energy demand and the need to reduce greenhouse gas emissions, the development of renewable energy sources, including photovoltaic farms, is becoming a key element of a sustainable energy transition. In this context, the careful selection of cadastral plots on which farms can be built is crucial, as appropriate location influences the investment’s energy efficiency and minimizes environmental and planning risks. This article presents a proprietary methodology for identifying cadastral plots that are suitable for locating a photovoltaic farm. The presented methodology integrates the Fuzzy-AHP multi-criteria analysis method and the Fuzzy Membership fuzzy logic method, thereby reducing the subjectivity of expert assessments and improving the accuracy of estimating the values of factors considered in the research. A key element of the methodology is a detailed analysis of land and building register data, which results in the identification of specific plots with high investment potential. The multi-criteria analysis considered eight key factors related to climate, terrain, land cover, and cadastral data. Based on this, eight plots and 32 plot complexes were selected as the most suitable for the construction of PV farms. The most favorable locations were identified primarily in the eastern part of Częstochowa Poviat, as well as in the northern municipalities. The proposed methodology provides a ready-to-use, practical solution to the investment challenge of selecting specific cadastral plots for new solar investments. According to the reviewed literature, each of the 40 designated sites could support a photovoltaic farm of an estimated capacity of at least 1 MW. The obtained results provide significant input into the renewable energy investment planning process and emphasize that careful selection of plot locations is crucial for the investment’s success and the region’s sustainable energy transformation. Full article
Show Figures

Figure 1

Back to TopTop