Simulating Rainfall for Flood Forecasting in the Upper Minjiang River
Abstract
1. Introduction
2. Materials and Methods
2.1. Study Area
2.2. Methodology
2.2.1. WRF Model
2.2.2. InfoWorks ICM
2.2.3. Overall Workflow
3. Results
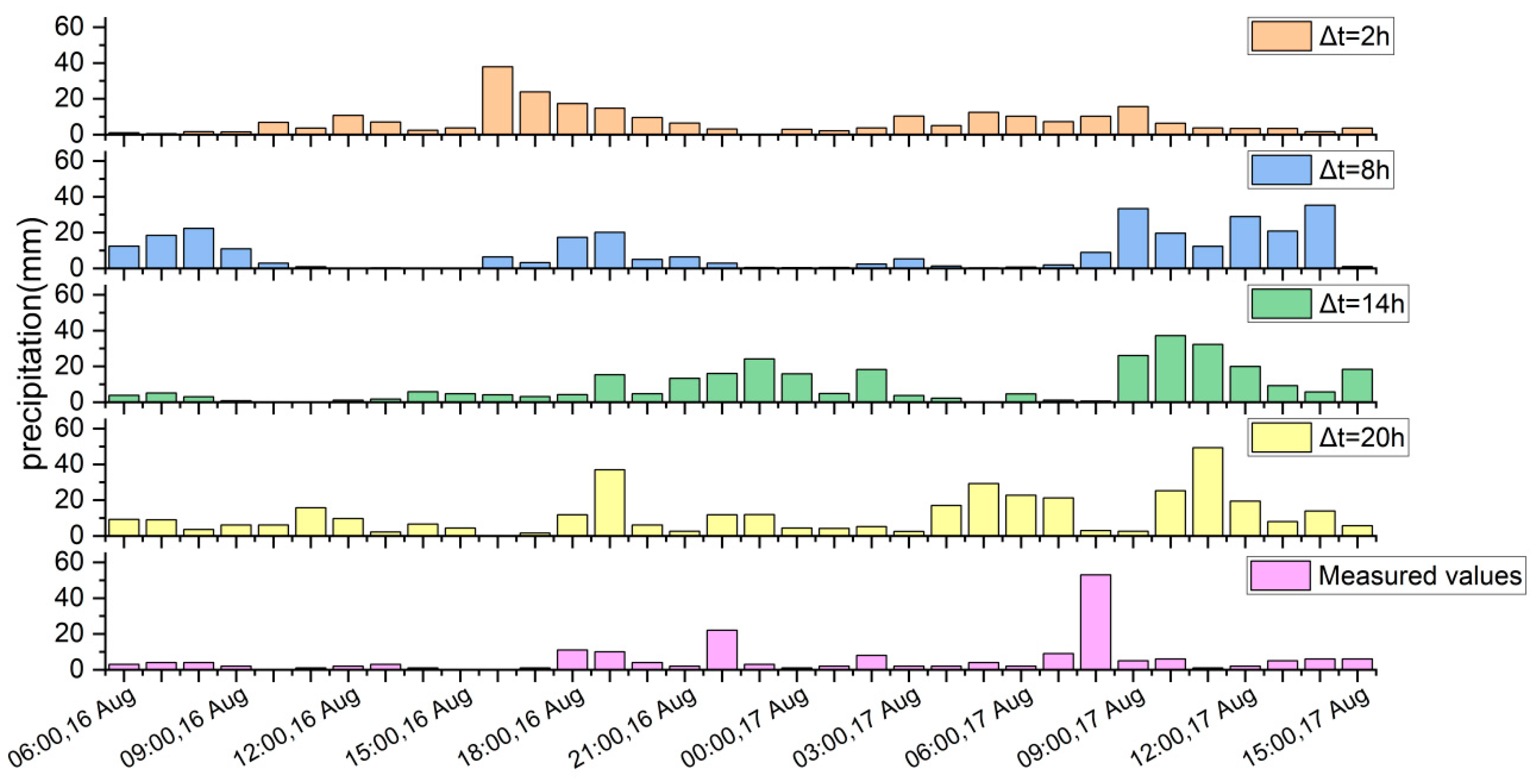
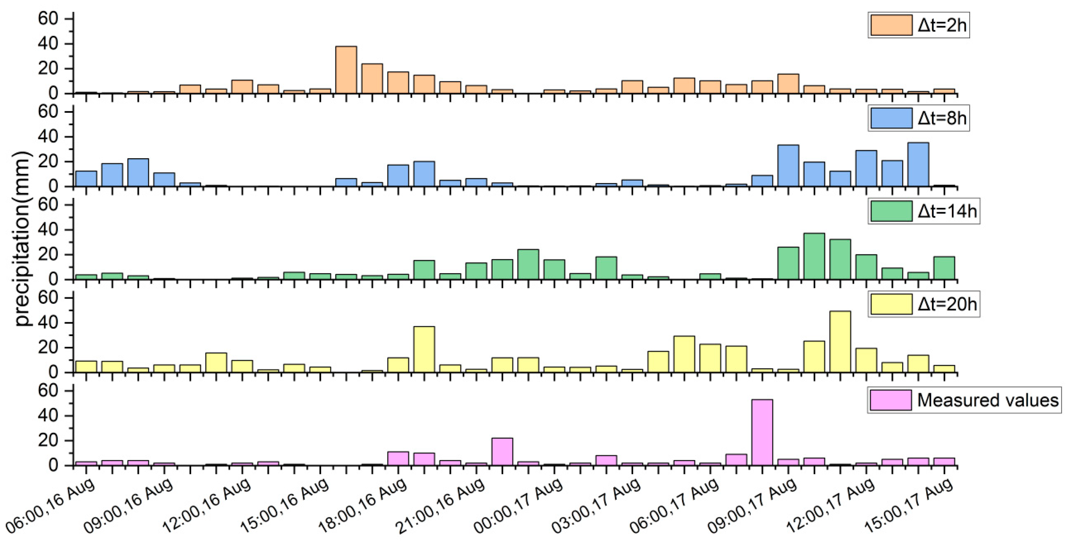
3.1. Effect of Different Lead Times on Simulation Results
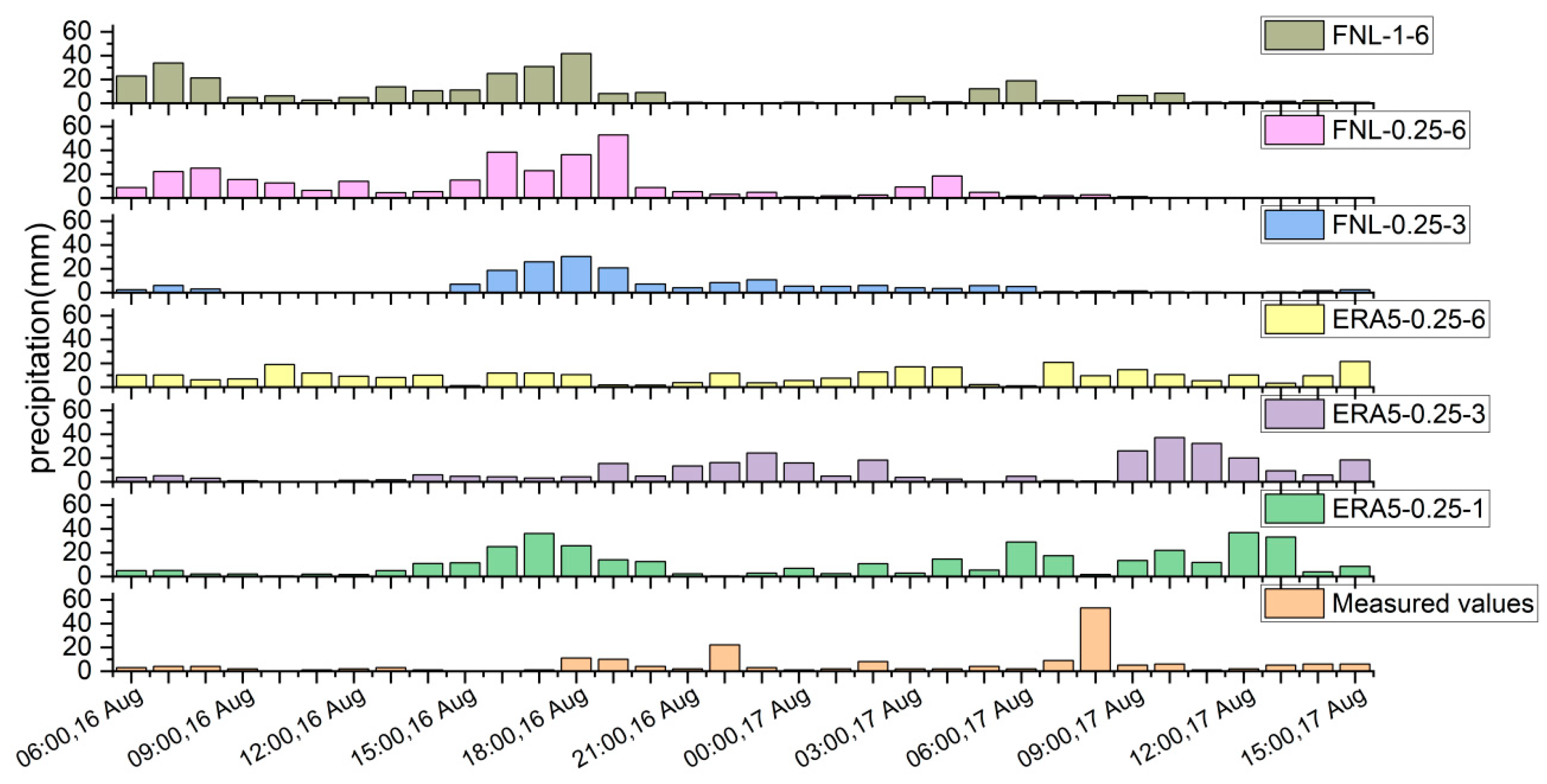
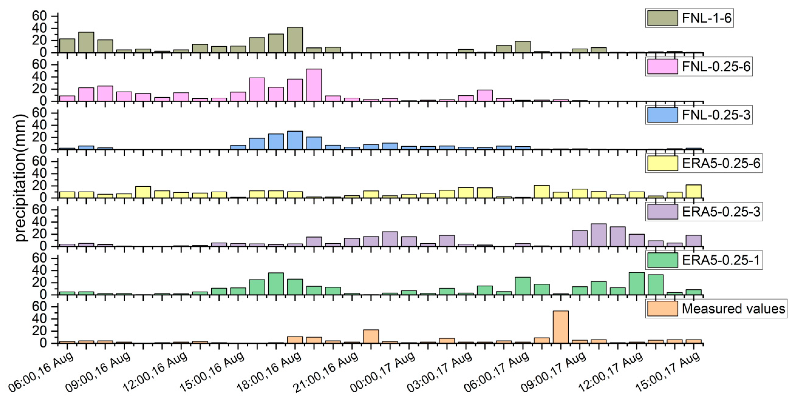
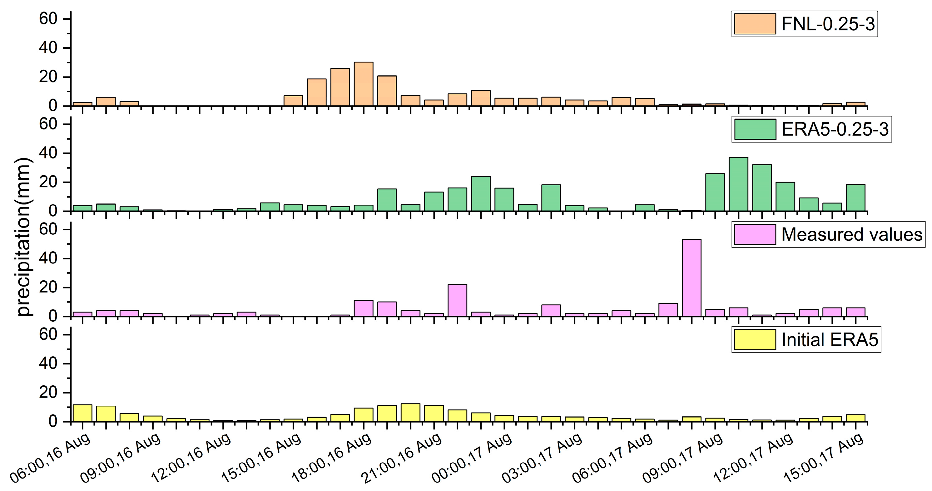
3.2. Effect of Different Spatiotemporal Resolutions
3.3. Effects of Underlying Surface Characteristics and Urbanization
3.4. Integration of Rainfall Processes
3.5. Analysis of Flood Simulation Results
4. Discussion
4.1. Ability of Models to Simulate Precipitation
4.2. Appropriate Initial Conditions
4.3. Process Correlation Improved, but Peak Bias Persists
4.4. Limitations and Outlook
5. Conclusions
Author Contributions
Funding
Data Availability Statement
Conflicts of Interest
Abbreviations
| WRF | Weather Research and Forecasting Model |
| IDW | Inverse Distance Weighting |
| NCEP | National Center for Weather and Environmental Prediction |
| ECMWF | ERA5 of the European Center for Medium-Range Weather Forecasts |
| NCAR | National Center for Atmospheric Research |
References
- Hallegatte, S.; Green, C.; Nicholls, R.J.; Corfee-Morlot, J. Future flood losses in major coastal cities. Nat. Clim. Change 2013, 3, 802–806. [Google Scholar] [CrossRef]
- O’Gorman, P.A. Precipitation extremes under climate change. Curr. Clim. Change Rep. 2015, 1, 49–59. [Google Scholar] [CrossRef]
- Zhang, X.; Xu, X.; Li, X. Changes of abnormal precipitation with warming in the Minjiang River Basin in the past 40 years. J. Nat. Hazards 2022, 4, 31. [Google Scholar]
- Bao, H.; Wang, L.; Shen, X.; Li, Z.; Huang, X. A Review: Advances of Flood Forecasting of Hydro-meteorological Forecast Technology. Meteorol. Mon. 2016, 42, 1045–1057. [Google Scholar]
- Zhang, J.; Guo, S.; Chen, G.; Chen, F. Review on Coupling Atmospheric and Hydrological Model and lts Application in Flood Forecasting. Water Resour. Power 2010, 28, 37–40. [Google Scholar]
- Pennelly, C.; Reuter, G.; Flesch, T. Verification of the WRF model for simulating heavy precipitation in Alberta. Atmos. Res. 2014, 135–136, 172–192. [Google Scholar] [CrossRef]
- Merino, A.; García-Ortega, E.; Navarro, A.; Sánchez, J.L.; Tapiador, F.J. WRF hourly evaluation for extreme precipitation events. Atmos. Res. 2022, 274, 106215. [Google Scholar] [CrossRef]
- Zhuge, F.; Zheng, Y.; Wu, R.; Xu, J. Simulation study of a heavy rainfall process in Lixiahe area of Jiangsu Province. J. Nat. Hazards 2014, 5, 164–176. [Google Scholar]
- Yu, E.; Song, L.; Wang, B.; Li, Y.; Chen, X.; Chen, D.; Su, X. Investigation on the 2018 prolonged freezing event in South China using the WRF model at convection-permitting resolution: Model performance and sensitivity analysis of physical parameterizations. Atmos. Res. 2024, 310, 107645. [Google Scholar] [CrossRef]
- Patel, P.; Karmakar, S.; Ghosh, S.; Niyogi, D. Improved simulation of very heavy rainfall events by incorporating WUDAPT urban land use/land cover in WRF. Urban Clim. 2020, 32, 100616. [Google Scholar] [CrossRef]
- Ipsita, P.; Rakesh, V.; Singh, R.; Mohapatra, G.N. Impact of different land use data on WRF model short range forecasts during pre-monsoon and monsoon seasons in India. Urban Clim. 2023, 49, 101558. [Google Scholar] [CrossRef]
- Pei, Y.; Liu, J.; Wang, J.; Mei, C.; Dong, L.; Wang, H. Effects of urbanization on extreme precipitation based on Weather Research and Forecasting model: A case study of heavy rainfall in Beijing. J. Hydrol. Reg. Stud. 2024, 56, 102078. [Google Scholar] [CrossRef]
- Calvetti, L.; Pereira Filho, A.J. Ensemble hydrometeorological forecasts using WRF hourly QPF and topmodel for a middle watershed. Adv. Meteorol. 2014, 2014, 484120. [Google Scholar] [CrossRef]
- Yao, C.; Ye, J.; He, Z.; Bastola, S.; Zhang, K.; Li, Z. Evaluation of flood prediction capability of the distributed Grid-Xinanjiang model driven by weather research and forecasting precipitation. J. Flood Risk Manag. 2019, 12, e12544. [Google Scholar] [CrossRef]
- Cha, G. Research and Application of Joint Flood Control Dispatch for Large-Scale Reservoir Clusters in the Upper Yangtze River Basin. Ph.D. Thesis, Huazhong University of Science and Technology, Wuhan, China, 2021. (In Chinese). [Google Scholar]
- Yu, W.; Peng, Y.; Yao, L.; Zhang, X. Impact of Different WRF Model Parameterisation Schemes on Rainfall Simulation in the Upper Yangtze River Basin. China Rural. Water Hydropower 2023, 5, 98–105. (In Chinese) [Google Scholar]
- Danielson, J.J.; Gesch, D.B. Global Multi-Resolution Terrain Elevation Data 2010 (GMTED2010) (No. 2011-1073); US Geological Survey: Reston, VA, USA, 2010. [Google Scholar]
- Siewert, J.; Kroszczynski, K. Evaluation of high-resolution land cover geographical data for the WRF model simulations. Remote Sens. 2023, 15, 2389. [Google Scholar] [CrossRef]
- Collischonn, B.; Collischonn, W.; Tucci, C.E.M. Daily hydrological modeling in the Amazon basin using TRMM rainfall estimates. J. Hydrol. 2008, 360, 207–216. [Google Scholar] [CrossRef]
- Langella, G.; Basile, A.; Bonfante, A.; Terribile, F. High-resolution space–time rainfall analysis using integrated ANN inference systems. J. Hydrol. 2010, 387, 328–342. [Google Scholar] [CrossRef]
- Chao, L.; Zhang, K.; Yang, Z.-L.; Wang, J.; Lin, P.; Liang, J.; Li, Z.; Gu, Z. Improving flood simulation capability of the WRF-Hydro-RAPID model using a multi-source precipitation merging method. J. Hydrol. 2021, 592, 125814. [Google Scholar] [CrossRef]
- Huang, D.; Gao, S. Impact of different reanalysis data on WRF dynamical downscaling over China. Atmos. Res. 2018, 200, 25–35. [Google Scholar] [CrossRef]
- Jankov, I.; Gallus, W.A., Jr.; Segal, M.; Koch, S.E. Influence of initial conditions on the WRF–ARW model QPF response to physical parameterization changes. Weather Forecast. 2007, 22, 501–519. [Google Scholar] [CrossRef]
- Liu, Y.; Zhuo, L.; Han, D. Developing spin-up time framework for WRF extreme precipitation simulations. J. Hydrol. 2023, 620, 129443. [Google Scholar] [CrossRef]
- Shao, A.; Qiu, C.; Niu, G.Y. A piecewise modeling approach for climate sensitivity studies: Tests with a shallow-water model. J. Meteorol. Res. 2015, 29, 735–746. [Google Scholar] [CrossRef]

















| Rainfall Events | Timing of Rainfall (Beijing Time) | Duration/h | Initial Filed Type | Data Resolution | Test ID |
|---|---|---|---|---|---|
| 24 June 2018 8 July 2018 18 August 2019 14 August 2020 22 June 2022 | 0624_14—0627_08 0708_14—0711_20 0818_20—0821_14 0815_02—0818_14 0622_08—0623_08 | 66 78 66 84 24 | FNL | 1° × 1°, 6 h | 1 |
| FNL | 0.25° × 0.25°, 6 h | 2 | |||
| FNL | 0.25° × 0.25°, 3 h | 3 | |||
| ERA5 | 0.25° × 0.25°, 6 h | 4 | |||
| ERA5 | 0.25° × 0.25°, 3 h | 5 | |||
| ERA5 | 0.25° × 0.25°, 1 h | 6 |
| Rainfall Event | Test Number | Station Measured Value | WRF Corresponding Station Value | WRF Watershed Maximum | Mean Surface Rainfall/mm | |
|---|---|---|---|---|---|---|
| Measured Value | WRF Value | |||||
| 8 July 2018 event | 1 | 194 (hongkou) | 78.49 | 239.86 | 46.47 | 42.50 |
| 2 | 194 (hongkou) | 66.23 | 206.53 | 46.47 | 39.54 | |
| 3 | 194 (hongkou) | 44.73 | 216.37 | 46.47 | 32.76 | |
| 4 | 194 (hongkou) | 63.22 | 310.27 | 46.47 | 35.07 | |
| 5 | 194 (hongkou) | 57.72 | 297.75 | 46.47 | 31.30 | |
| 6 | 194 (hongkou) | 60.70 | 276.32 | 46.47 | 29.50 | |
| 14 August 2020 event | 1 | 320 (heitupo) | 297.40 | 353.57 | 81.62 | 58.16 |
| 2 | 320 (heitupo) | 411.56 | 459.81 | 81.62 | 71.84 | |
| 3 | 320 (heitupo) | 154.19 | 323.53 | 81.62 | 52.48 | |
| 4 | 320 (heitupo) | 277.52 | 500.42 | 81.62 | 79.15 | |
| 5 | 320 (heitupo) | 209.01 | 495.76 | 81.62 | 73.47 | |
| 6 | 320 (heitupo) | 363.70 | 537.26 | 81.62 | 83.06 | |
| Land Use | Before Changes | After Changes | Land Use | Before Changes | After Changes |
|---|---|---|---|---|---|
| Evergreen needle leaved forest | 6.65% | 0.34% | Grassland | 24.72% | 43.98% |
| Broadleaved forest | 0.97% | 7.08% | Cropland | 29.17% | 19.84% |
| Mixed forest | 35.40% | 24.36% | City and architecture | 0.56% | 2.42% |
| Elevation minimum/m | 315.5 | 317 | Elevation maximum/m | 5079.6 | 5063 |
Disclaimer/Publisher’s Note: The statements, opinions and data contained in all publications are solely those of the individual author(s) and contributor(s) and not of MDPI and/or the editor(s). MDPI and/or the editor(s) disclaim responsibility for any injury to people or property resulting from any ideas, methods, instructions or products referred to in the content. |
© 2025 by the authors. Licensee MDPI, Basel, Switzerland. This article is an open access article distributed under the terms and conditions of the Creative Commons Attribution (CC BY) license.
Share and Cite
Zhao, W.; Zhao, Y.; Zhao, Q.; Wang, X.; Su, T.; Guo, Y. Simulating Rainfall for Flood Forecasting in the Upper Minjiang River. Water 2026, 18, 4. https://doi.org/10.3390/w18010004
Zhao W, Zhao Y, Zhao Q, Wang X, Su T, Guo Y. Simulating Rainfall for Flood Forecasting in the Upper Minjiang River. Water. 2026; 18(1):4. https://doi.org/10.3390/w18010004
Chicago/Turabian StyleZhao, Wenjie, Yang Zhao, Qijia Zhao, Xingping Wang, Tiantian Su, and Yuan Guo. 2026. "Simulating Rainfall for Flood Forecasting in the Upper Minjiang River" Water 18, no. 1: 4. https://doi.org/10.3390/w18010004
APA StyleZhao, W., Zhao, Y., Zhao, Q., Wang, X., Su, T., & Guo, Y. (2026). Simulating Rainfall for Flood Forecasting in the Upper Minjiang River. Water, 18(1), 4. https://doi.org/10.3390/w18010004
