Tetraquark-Jet Systems at the High-Luminosity LHC
Abstract
1. Introduction
2. HF-NRevo Fragmentation for States
2.1. Heavy-Flavor Fragmentation Framework
2.2. Extending NRQCD Factorization from Quarkonia to Tetraquarks
2.3. Modeling and Initialization of Fragmentation Inputs
2.4. Generation and Evolution of TQ4Q1.1 via HF-NRevo
3. Hybrid Factorization at and Beyond
3.1. High-Energy Resummation in QCD: Status and Prospects
3.2. Hybrid-Factorization Studies at and Beyond
4. Tetraquark-Jet Emissions at the High-Luminosity LHC
4.1. Uncertainties
- (a)
- Perturbative H-MHOUs. These originate from the arbitrariness in choosing the renormalization and factorization scales that enter the hard matrix element of the partonic subprocess. Their variation by factors of and 2 around the central scales provides a standard estimate of missing higher-order corrections.
- (b)
- Perturbative F-MHOUs. These uncertainties trace back to the perturbative initial conditions of the FFs at the reference scale. The evolution-ready scale is varied around its natural value, , by a factor of to 2, and the resulting envelope defines the corresponding uncertainty band. This variation captures the effect of subleading terms not explicitly included in the evolution of the FFs.
- (c)
- Nonperturbative LDMEs. These parameters embody the long-distance dynamics governing hadron formation. Their uncertainties are evaluated by scanning the relevant LDMEs within ranges supported by potential-model analyses. The resulting bands quantify how model-dependent hadronization effects influence collider-level observables.
- (d)
- Proton PDFs. Since collinear PDFs are genuinely nonperturbative inputs extracted from global fits, they introduce an additional source of uncertainty. Dedicated numerical tests for tetraquark-jet production, however, indicate that differences among PDF sets or replicas remain below the level. Therefore, we adopt the central member of the NNPDF4.0 set [485,486] and neglect the broader PDF-fit uncertainty, which is subdominant compared to MHOUs and LDME variations.
- (e)
- Phase-space numerical integration. The leading numerical uncertainty arises from multidimensional integrations over the final-state phase space. These are performed using the native routines of Jethad, with relative errors systematically kept below the level. Subdominant effects originate from one-dimensional integrations over the partonic longitudinal momentum fractions x, which enter the convolution of PDFs and FFs in the LO and NLO tetraquark emission functions (see Equation (23)). Extensive stability tests confirm that these contributions are negligible with respect to the multidimensional integration uncertainty.
4.2. Final-State Observables
4.3. Rapidity-Differential Rates
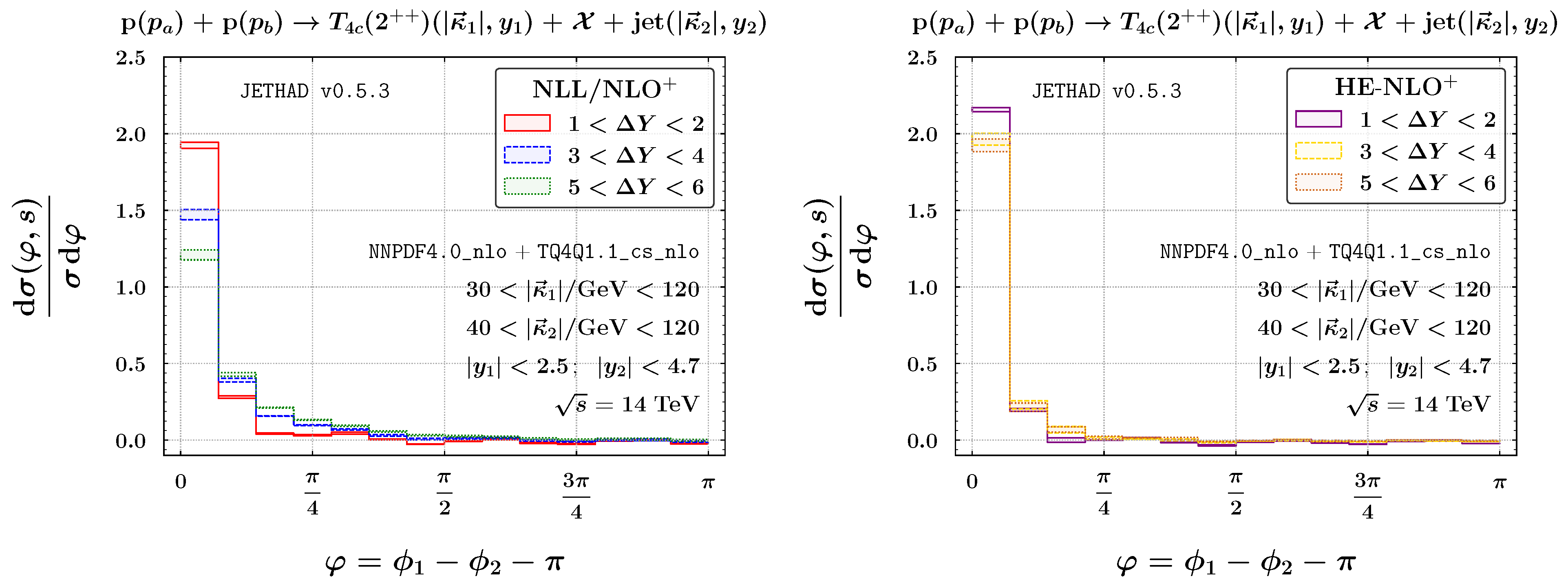
4.4. Azimuthal-Angle Distributions
5. Conclusions
Funding
Data Availability Statement
Conflicts of Interest
Abbreviations
| ABF | Altarelli–Ball–Forte |
| BFKL | Balitsky–Fadin–Kuraev–Lipatov |
| BLM | Brodsky–Lepage–Mackenzie |
| BSM | Beyond-the-Standard-Model |
| DGLAP | Dokshitzer–Gribov–Lipatov–Altarelli–Parisi |
| DPS | Double-Parton Scattering |
| EIC | Electron–Ion Collider |
| F-MHOUs | Fragmentation MHOUs |
| FCC | Future Circular Collider |
| FFNS | Fixed-Flavor Number Scheme |
| FFs | Fragmentation Functions |
| H-MHOUs | Hard-factor MHOUs |
| HF-NRevo | Heavy-flavor NonRelativistic evolution |
| HL-LHC | High-Luminosity Large Hadron Collider |
| HQSS | Heavy-Quark Spin Symmetry |
| HyF | Hybrid collinear and high-energy Factorization |
| LDME | Long-Distance Matrix-Element |
| LL | Leading-Logarithmic |
| LO | Leading Order |
| MHOUs | Missing Higher-Order Uncertainties |
| MPI | Multi-Parton-Interaction |
| NLL | Next-to-Leading-Logarithmic |
| NLO | Next-to-Leading-Order |
| NRQCD | NonRelativistic QCD |
| PDFs | Parton Distribution Functions |
| QCD | Quantum ChromoDynamics |
| SCA | Small-Cone Algorithm |
| SDC | Short-Distance Coefficient |
| SM | Standard Model |
| UGD | Unintegrated Gluon Distribution |
| VFNS | Variable-Flavor Number Scheme |
| VSA | Vacuum Saturation Approximation |
| 1 |
References
- Apollinari, G.; Brüning, O.; Nakamoto, T.; Rossi, L. High Luminosity Large Hadron Collider HL-LHC. In CERN Yellow Reports: Monographs; CERN: Geneva, Switzerland, 2015. [Google Scholar] [CrossRef]
- Apollinari, G.; Béjar Alonso, I.; Brüning, O.; Lamont, M.; Rossi, L. (Eds.) High-Luminosity Large Hadron Collider (HL-LHC): Preliminary Design Report; CERN: Geneva, Switzerland, 2015. [Google Scholar] [CrossRef]
- Apollinari, G.; Béjar Alonso, I.; Brüning, O.; Fessia, P.; Lamont, M.; Rossi, L.; Tavian, L. (Eds.) High-Luminosity Large Hadron Collider (HL-LHC): Technical Design Report V. 0.1; CERN: Geneva, Switzerland, 2017; Volume 4. [Google Scholar] [CrossRef]
- Chapon, E.; d’Enterria, D.; Ducloué, B.; Echevarria, M.G.; Gossiaux, P.-B.; Kartvelishvili, V.; Kasemets, T.; Lansberg, J.-P.; McNulty, R.; Price, D.D.; et al. Prospects for quarkonium studies at the high-luminosity LHC. Prog. Part. Nucl. Phys. 2022, 122, 103906. [Google Scholar] [CrossRef]
- Khalek, R.A.; Accardi, A.; Adam, J.; Adamiak, D.; Akers, W.; Albaladejo, M.; Al-bataineh, A.; Alexeev, M.G.; Ameli, F.; Antonioli, P.; et al. Science Requirements and Detector Concepts for the Electron-Ion Collider: EIC Yellow Report. Nucl. Phys. A 2022, 1026, 122447. [Google Scholar] [CrossRef]
- Abdul Khalek, R.; D’Alesio, U.; Arratia, M.; Bacchetta, A.; Battaglieri, M.; Begel, M.; Boglione, M.; Boughezal, R.; Boussarie, R.; Bozzi, G.; et al. Snowmass 2021 White Paper: Electron Ion Collider for High Energy Physics. In Proceedings of the 2022 Snowmass Summer Study, New York, NY, USA, 9–12 April 2022. [Google Scholar]
- Hentschinski, M.; Royon, C.; Peredo, M.A.; Baldenegro, C.; Bellora, A.; Boussarie, R.; Celiberto, F.G.; Cerci, S.; Chachamis, G.; Contreras, J.G.; et al. White Paper on Forward Physics, BFKL, Saturation Physics and Diffraction. Acta Phys. Polon. B 2023, 54, 2. [Google Scholar] [CrossRef]
- Amoroso, S.; Apyan, A.; Armesto, N.; Ball, R.D.; Bertone, V.; Bissolotti, C.; Bluemlein, J.; Boughezal, R.; Bozzi, G.; Britzger, D.; et al. Snowmass 2021 whitepaper: Proton structure at the precision frontier. Acta Phys. Polon. B 2022, 53, A1. [Google Scholar] [CrossRef]
- Abir, R.; Akushevich, I.; Altinoluk, T.; Anderle, D.P.; Aslan, F.P.; Bacchetta, A.; Balantekin, B.; Barata, J.; Battaglieri, M.; Bertulani, C.A.; et al. The case for an EIC Theory Alliance: Theoretical Challenges of the EIC. arXiv 2023, arXiv:2305.14572. [Google Scholar] [CrossRef]
- Allaire, C.; Ammendola, R.; Aschenauer, E.-C.; Balandat, M.; Battaglieri, M.; Bernauer, J.; Bondì, M.; Branson, N.; Britton, T.; Butter, A.; et al. Artificial Intelligence for the Electron Ion Collider (AI4EIC). Comput. Softw. Big Sci. 2024, 8, 5. [Google Scholar] [CrossRef]
- Abada, A.; Abbrescia, M.; AbdusSalam, S.S.; Abdyukhanov, I.; Abelleira Fernandez, J.; Abramov, A.; Aburaia, M.; Acar, A.O.; Adzic, P.R.; Agrawal, P.; et al. FCC Physics Opportunities: Future Circular Collider Conceptual Design Report Volume 1. Eur. Phys. J. C 2019, 79, 474. [Google Scholar] [CrossRef]
- Abada, A.; Abbrescia, M.; AbdusSalam, S.S.; Abdyukhanov, I.; Abelleira Fernandez, J.; Abramov, A.; Aburaia, M.; Acar, A.O.; Adzic, P.R.; Agrawal, P.; et al. FCC-ee: The Lepton Collider: Future Circular Collider Conceptual Design Report Volume 2. Eur. Phys. J. Spec. Top. 2019, 228, 261–623. [Google Scholar] [CrossRef]
- Abada, A.; Abbrescia, M.; AbdusSalam, S.S.; Abdyukhanov, I.; Abelleira Fernandez, J.; Abramov, A.; Aburaia, M.; Acar, A.O.; Adzic, P.R.; Agrawal, P.; et al. FCC-hh: The Hadron Collider: Future Circular Collider Conceptual Design Report Volume 3. Eur. Phys. J. Spec. Top. 2019, 228, 755–1107. [Google Scholar] [CrossRef]
- Abada, A.; Abbrescia, M.; AbdusSalam, S.S.; Abdyukhanov, I.; Abelleira Fernandez, J.; Abramov, A.; Aburaia, M.; Acar, A.O.; Adzic, P.R.; Agrawal, P.; et al. HE-LHC: The High-Energy Large Hadron Collider: Future Circular Collider Conceptual Design Report Volume 4. Eur. Phys. J. Spec. Top. 2019, 228, 1109–1382. [Google Scholar] [CrossRef]
- Benedikt, M. et al. [FCC Collaboration] Future Circular Collider Feasibility Study Report: Volume 1, Physics, Experiments, Detectors. arXiv 2025, arXiv:2505.00272. [Google Scholar]
- Benedikt, M. et al. [FCC Collaboration] Future Circular Collider Feasibility Study Report: Volume 2, Accelerators, Technical Infrastructure and Safety. arXiv 2025, arXiv:2505.00274. [Google Scholar]
- Benedikt, M. et al. [FCC Collaboration] Future Circular Collider Feasibility Study Report: Volume 3, Civil Engineering, Implementation and Sustainability. arXiv 2025, arXiv:2505.00273. [Google Scholar]
- Gell-Mann, M. Symmetries of baryons and mesons. Phys. Rev. 1962, 125, 1067–1084. [Google Scholar] [CrossRef]
- Gell-Mann, M. A Schematic Model of Baryons and Mesons. Phys. Lett. 1964, 8, 214–215. [Google Scholar] [CrossRef]
- Zweig, G. An SU(3) Model for Strong Interaction Symmetry and Its Breaking. Version 2. 1964, pp. 22–101. Available online: https://inspirehep.net/literature/4674 (accessed on 26 December 2025).
- Fritzsch, H.; Gell-Mann, M.; Leutwyler, H. Advantages of the Color Octet Gluon Picture. Phys. Lett. B 1973, 47, 365–368. [Google Scholar] [CrossRef]
- Peccei, R.D.; Quinn, H.R. CP Conservation in the Presence of Instantons. Phys. Rev. Lett. 1977, 38, 1440–1443. [Google Scholar] [CrossRef]
- Peccei, R.D.; Quinn, H.R. Constraints Imposed by CP Conservation in the Presence of Instantons. Phys. Rev. D 1977, 16, 1791–1797. [Google Scholar] [CrossRef]
- Peccei, R.D. The Strong CP problem and axions. Lect. Notes Phys. 2008, 741, 3–17. [Google Scholar] [CrossRef]
- Duffy, L.D.; van Bibber, K. Axions as Dark Matter Particles. New J. Phys. 2009, 11, 105008. [Google Scholar] [CrossRef]
- Forestell, L.; Morrissey, D.E.; Sigurdson, K. Cosmological Bounds on Non-Abelian Dark Forces. Phys. Rev. D 2018, 97, 075029. [Google Scholar] [CrossRef]
- Huang, W.-C.; Reichert, M.; Sannino, F.; Wang, Z.-W. Testing the dark SU(N) Yang-Mills theory confined landscape: From the lattice to gravitational waves. Phys. Rev. D 2021, 104, 035005. [Google Scholar] [CrossRef]
- McLerran, L.; Pisarski, R.D. Phases of cold, dense quarks at large N(c). Nucl. Phys. A 2007, 796, 83–100. [Google Scholar] [CrossRef]
- Hidaka, Y.; McLerran, L.D.; Pisarski, R.D. Baryons and the phase diagram for a large number of colors and flavors. Nucl. Phys. A 2008, 808, 117–123. [Google Scholar] [CrossRef]
- McLerran, L.; Reddy, S. Quarkyonic Matter and Neutron Stars. Phys. Rev. Lett. 2019, 122, 122701. [Google Scholar] [CrossRef] [PubMed]
- Buchmuller, W.; Wyler, D. Effective Lagrangian Analysis of New Interactions and Flavor Conservation. Nucl. Phys. B 1986, 268, 621–653. [Google Scholar] [CrossRef]
- Witten, E. Baryons in the 1/n Expansion. Nucl. Phys. B 1979, 160, 57–115. [Google Scholar] [CrossRef]
- Dudek, J.J.; Edwards, R.G.; Peardon, M.J.; Richards, D.G.; Thomas, C.E. Toward the excited meson spectrum of dynamical QCD. Phys. Rev. D 2010, 82, 034508. [Google Scholar] [CrossRef]
- Afonin, S.S. The effect of higher dimensional QCD operators on the spectroscopy of bottom-up holographic models. Universe 2021, 7, 102. [Google Scholar] [CrossRef]
- Augustin, J.E. et al. [SLAC-SP-017 Collaboration] Discovery of a Narrow Resonance in e+e− Annihilation. Phys. Rev. Lett. 1974, 33, 1406–1408. [Google Scholar] [CrossRef]
- Aubert, J.J. et al. [E598 Collaboration] Experimental Observation of a Heavy Particle. J. Phys. Rev. Lett. 1974, 33, 1404–1406. [Google Scholar] [CrossRef]
- Bacci, C.; Balbini Celio, R.; Berna-Rodini, M.; Caton, G.; del Fabbro, R.; Grilli, M.; Iarocci, E.; Locci, M.; Mencuccini, C.; Murtas, G.P.; et al. Preliminary Result of Frascati (ADONE) on the Nature of a New 3.1-GeV Particle Produced in e+ e− Annihilation. Phys. Rev. Lett. 1974, 33, 1408, Erratum in Phys. Rev. Lett. 1974, 33, 1649. https://doi.org/10.1103/PhysRevLett.33.1408. [Google Scholar] [CrossRef]
- Close, F. Glueballs and exotic matter. Nature 1991, 349, 368–369. [Google Scholar] [CrossRef]
- Close, F.E. Glueballs and hybrids: New states of matter. Contemp. Phys. 1997, 38, 1–12. [Google Scholar] [CrossRef]
- Close, F.E. Glueballs and the pomeron: A central mystery. In Proceedings of the 33rd Rencontres de Moriond: QCD and High-Energy Hadronic Interactions, Les Arcs, France, 21–28 March 1998; pp. 589–602. [Google Scholar]
- Minkowski, P.; Ochs, W. Identification of the glueballs and the scalar meson nonet of lowest mass. Eur. Phys. J. C 1999, 9, 283–312. [Google Scholar] [CrossRef]
- Close, F.E. Glueballs: A Central mystery. Acta Phys. Polon. B 2000, 31, 2557–2565. [Google Scholar]
- Mathieu, V.; Kochelev, N.; Vento, V. The Physics of Glueballs. Int. J. Mod. Phys. E 2009, 18, 1–49. [Google Scholar] [CrossRef]
- Hsiao, Y.K.; Geng, C.Q. Identifying Glueball at 3.02 GeV in Baryonic B Decays. Phys. Lett. B 2013, 727, 168–171. [Google Scholar] [CrossRef]
- Abazov, V.M.; Abbott, B.; Acharya, B.S.; Adams, M.; Adams, T.; Agnew, J.P.; Alexeev, G.D.; Alkhazov, G.; Alton, A.; Alves, G.A.; et al. Odderon Exchange from Elastic Scattering Differences between pp and Data at 1.96 TeV and from pp Forward Scattering Measurements. Phys. Rev. Lett. 2021, 127, 062003. [Google Scholar] [CrossRef]
- Csörgὄ, T.; Novak, T.; Pasechnik, R.; Ster, A.; Szanyi, I. Evidence of Odderon-exchange from scaling properties of elastic scattering at TeV energies. Eur. Phys. J. C 2021, 81, 180. [Google Scholar] [CrossRef]
- Jaffe, R.L. Multi-Quark Hadrons. 1. The Phenomenology of (2 Quark 2 anti-Quark) Mesons. Phys. Rev. D 1977, 15, 267. [Google Scholar] [CrossRef]
- Jaffe, R.L. Multi-Quark Hadrons. 2. Methods. Phys. Rev. D 1977, 15, 281. [Google Scholar] [CrossRef]
- Ader, J.P.; Richard, J.M.; Taxil, P. DO NARROW HEAVY MULTI—QUARK STATES EXIST? Phys. Rev. D 1982, 25, 2370. [Google Scholar] [CrossRef]
- Choi, S.-K.; Olsen, S.L.; Abe, K.; Abe, T.; Adachi, I.; Ahn, B.S.; Aihara, H.; Akai, K.; Akatsu, M.; Akemoto, M.; et al. Observation of a narrow charmonium-like state in exclusive B±→K±π+π−J/ψ decays. Phys. Rev. Lett. 2003, 91, 262001. [Google Scholar] [CrossRef] [PubMed]
- Acosta, D. et al. [CDF Collaboration] Observation of the narrow state X(3872)→J/ψπ+π− in collisions at TeV. Phys. Rev. Lett. 2004, 93, 072001. [Google Scholar] [CrossRef] [PubMed]
- Aaij, R. et al. [LHCb Collaboration] Determination of the X(3872) meson quantum numbers. Phys. Rev. Lett. 2013, 110, 222001. [Google Scholar] [CrossRef] [PubMed]
- Sirunyan, A.M. et al. [CMS Collaboration] Evidence for X(3872) in Pb-Pb Collisions and Studies of its Prompt Production at TeV. Phys. Rev. Lett. 2022, 128, 032001. [Google Scholar] [CrossRef]
- Swanson, E.S. The New heavy mesons: A Status report. Phys. Rept. 2006, 429, 243–305. [Google Scholar] [CrossRef]
- Aaij, R.; Abellán Beteta, C.; Ackernley, T.; Adeva, B.; Adinolfi, M.; Afsharnia, H.; Aidala, C.A.; Aiola, S.; Ajaltouni, Z.; Akar, S.; et al. A model-independent study of resonant structure in B+→D+D−K+ decays. Phys. Rev. Lett. 2020, 125, 242001. [Google Scholar] [CrossRef]
- Feng, F.; Huang, Y.; Jia, Y.; Sang, W.-L.; Xiong, X.; Zhang, J.-Y. Fragmentation production of fully-charmed tetraquarks at the LHC. Phys. Rev. D 2022, 106, 114029. [Google Scholar] [CrossRef]
- Feng, F.; Huang, Y.; Jia, Y.; Sang, W.-L.; Zhang, J.-Y. Exclusive radiative production of fully-charmed tetraquarks at B Factory. Phys. Lett. B 2021, 818, 136368. [Google Scholar] [CrossRef]
- Feng, F.; Huang, Y.; Jia, Y.; Sang, W.-L.; Yang, D.-S.; Zhang, J.-Y. Inclusive production of fully charmed tetraquarks at the LHC. Phys. Rev. D 2023, 108, L051501. [Google Scholar] [CrossRef]
- Feng, F.; Huang, Y.; Jia, Y.; Sang, W.-L.; Yang, D.-S.; Zhang, J.-Y. Photoproduction of fully charmed tetraquark at electron-ion colliders. Phys. Rev. D 2024, 110, 054007. [Google Scholar] [CrossRef]
- Bai, X.-W.; Feng, F.; Gan, C.-M.; Huang, Y.; Sang, W.-L.; Zhang, H.-F. Producing fully-charmed tetraquarks via charm quark fragmentation in colliders. J. High Energy Phys. 2024, 2024, 2. [Google Scholar] [CrossRef]
- Bai, X.-W.; Huang, Y.; Sang, W.-L. Light quark fragmentation into an S-wave fully charmed tetraquark. Phys. Rev. D 2025, 111, 054006. [Google Scholar] [CrossRef]
- Moosavi Nejad, S.M.; Amiri, N. Ground state heavy tetraquark production in heavy quark fragmentation. Phys. Rev. D 2022, 105, 034001. [Google Scholar] [CrossRef]
- Celiberto, F.G.; Papa, A. A high-energy QCD portal to exotic matter: Heavy-light tetraquarks at the HL-LHC. Phys. Lett. B 2024, 848, 138406. [Google Scholar] [CrossRef]
- Celiberto, F.G.; Gatto, G.; Papa, A. Fully charmed tetraquarks from LHC to FCC: Natural stability from fragmentation. Eur. Phys. J. C 2024, 84, 1071. [Google Scholar] [CrossRef]
- Celiberto, F.G.; Gatto, G. Bottomoniumlike states in proton collisions: Fragmentation and resummation. Phys. Rev. D 2025, 111, 034037. [Google Scholar] [CrossRef]
- Celiberto, F.G. Fragmentation functions for axial-vector heavy tetraquarks: A TQ4Q1.1 update. Phys. Rev. D 2025, 111, L111501. [Google Scholar] [CrossRef]
- Celiberto, F.G. Heavy-flavor multimodal fragmentation to S-wave pentacharms at next-generation hadron colliders. Eur. Phys. J. C 2025, 85, 1395. [Google Scholar] [CrossRef]
- Kou, E.; Pene, O. Suppressed decay into open charm for the Y(4260) being an hybrid. Phys. Lett. B 2005, 631, 164–169. [Google Scholar] [CrossRef]
- Braaten, E. How the Zc(3900) Reveals the Spectra of Quarkonium Hybrid and Tetraquark Mesons. Phys. Rev. Lett. 2013, 111, 162003. [Google Scholar] [CrossRef]
- Berwein, M.; Brambilla, N.; Castellà, J.T.; Vairo, A. Quarkonium Hybrids with Nonrelativistic Effective Field Theories. Phys. Rev. D 2015, 92, 114019. [Google Scholar] [CrossRef]
- Chen, H.-X.; Chen, W.; Zhu, S.-L. Toward the existence of the odderon as a three-gluon bound state. Phys. Rev. D 2021, 103, L091503. [Google Scholar] [CrossRef]
- Jaffe, R.L. Perhaps a Stable Dihyperon. Phys. Rev. Lett. 1977, 38, 195–198, Erratum in Phys. Rev. Lett. 1977, 38, 617. https://doi.org/10.1103/PhysRevLett.38.195. [Google Scholar] [CrossRef]
- Rosner, J.L. SU(3) Breaking and the H Dibaryon. Phys. Rev. D 1986, 33, 2043. [Google Scholar] [CrossRef]
- Pepin, S.; Stancu, F. Heavy hexaquarks in a chiral constituent quark model. Phys. Rev. D 1998, 57, 4475–4478. [Google Scholar] [CrossRef]
- Vijande, J.; Valcarce, A.; Richard, J.M. Stability of hexaquarks in the string limit of confinement. Phys. Rev. D 2012, 85, 014019. [Google Scholar] [CrossRef]
- Esposito, A.; Pilloni, A.; Polosa, A.D. Multiquark Resonances. Phys. Rept. 2017, 668, 1–97. [Google Scholar] [CrossRef]
- Lebed, R.F.; Mitchell, R.E.; Swanson, E.S. Heavy-Quark QCD Exotica. Prog. Part. Nucl. Phys. 2017, 93, 143–194. [Google Scholar] [CrossRef]
- Guo, F.-K.; Hanhart, C.; Meißner, U.-G.; Wang, Q.; Zhao, Q.; Zou, B.-S. Hadronic molecules. Rev. Mod. Phys. 2018, 90, 015004, Erratum in Rev. Mod. Phys. 2022, 94, 029901. https://doi.org/10.1103/RevModPhys.90.015004. [Google Scholar] [CrossRef]
- Lucha, W.; Melikhov, D.; Sazdjian, H. Narrow exotic tetraquark mesons in large-Nc QCD. Phys. Rev. D 2017, 96, 014022. [Google Scholar] [CrossRef]
- Ali, A.; Maiani, L.; Polosa, A.D. Multiquark Hadrons; Cambridge University Press: Cambridge, UK, 2019. [Google Scholar] [CrossRef]
- Chen, H.-X.; Chen, W.; Liu, X.; Zhu, S.-L. The hidden-charm pentaquark and tetraquark states. Phys. Rept. 2016, 639, 1–121. [Google Scholar] [CrossRef]
- Liu, Y.-R.; Chen, H.-X.; Chen, W.; Liu, X.; Zhu, S.-L. Pentaquark and Tetraquark states. Prog. Part. Nucl. Phys. 2019, 107, 237–320. [Google Scholar] [CrossRef]
- Maiani, L.; Piccinini, F.; Polosa, A.D.; Riquer, V. Diquark-antidiquarks with hidden or open charm and the nature of X(3872). Phys. Rev. D 2005, 71, 014028. [Google Scholar] [CrossRef]
- Hooft, G.’t.; Isidori, G.; Maiani, L.; Polosa, A.D.; Riquer, V. A Theory of Scalar Mesons. Phys. Lett. B 2008, 662, 424–430. [Google Scholar] [CrossRef]
- Maiani, L.; Riquer, V.; Faccini, R.; Piccinini, F.; Pilloni, A.; Polosa, A.D. A JPG=1++ Charged Resonance in the Y(4260)→π+π−J/ψ Decay? Phys. Rev. D 2013, 87, 111102. [Google Scholar] [CrossRef]
- Maiani, L.; Piccinini, F.; Polosa, A.D.; Riquer, V. The Z(4430) and a New Paradigm for Spin Interactions in Tetraquarks. Phys. Rev. D 2014, 89, 114010. [Google Scholar] [CrossRef]
- Maiani, L.; Polosa, A.D.; Riquer, V. A Theory of X and Z Multiquark Resonances. Phys. Lett. B 2018, 778, 247–251. [Google Scholar] [CrossRef]
- Mutuk, H. Nonrelativistic treatment of fully-heavy tetraquarks as diquark-antidiquark states. Eur. Phys. J. C 2021, 81, 367. [Google Scholar] [CrossRef]
- Wang, Z.-G.; Huang, T. Analysis of the X(3872), Zc(3900) and Zc(3885) as axial-vector tetraquark states with QCD sum rules. Phys. Rev. D 2014, 89, 054019. [Google Scholar] [CrossRef]
- Wang, Z.-G. Analysis of the Zc(4020), Zc(4025), Y(4360) and Y(4660) as vector tetraquark states with QCD sum rules. Eur. Phys. J. C 2014, 74, 2874. [Google Scholar] [CrossRef]
- Grinstein, B.; Maiani, L.; Polosa, A.D. Radiative decays of X(3872) discriminate between the molecular and compact interpretations. Phys. Rev. D 2024, 109, 074009. [Google Scholar] [CrossRef]
- Tornqvist, N.A. From the deuteron to deusons, an analysis of deuteron-like meson meson bound states. Z. Phys. C 1994, 61, 525–537. [Google Scholar] [CrossRef]
- Braaten, E.; Kusunoki, M. Low-energy universality and the new charmonium resonance at 3870-MeV. Phys. Rev. D 2004, 69, 074005. [Google Scholar] [CrossRef]
- Guo, F.-K.; Hidalgo-Duque, C.; Nieves, J.; Valderrama, M.P. Consequences of Heavy Quark Symmetries for Hadronic Molecules. Phys. Rev. D 2013, 88, 054007. [Google Scholar] [CrossRef]
- Mutuk, H. Molecular interpretation of X(3960) as Ds+Ds− state. Eur. Phys. J. C 2022, 82, 1142. [Google Scholar] [CrossRef]
- Wang, Z.-G.; Huang, T. Possible assignments of the X(3872), Zc(3900) and Zb(10610) as axial-vector molecular states. Eur. Phys. J. C 2014, 74, 2891. [Google Scholar] [CrossRef]
- Wang, Z.-G. Reanalysis of the Y(3940), Y(4140), Zc(4020), Zc(4025) and Zb(10650) as molecular states with QCD sum rules. Eur. Phys. J. C 2014, 74, 2963. [Google Scholar] [CrossRef]
- Esposito, A.; Germani, D.; Glioti, A.; Polosa, A.D.; Rattazzi, R.; Tarquini, M. The role of the pion in the lineshape of the X(3872). Phys. Lett. B 2023, 847, 138285. [Google Scholar] [CrossRef]
- Dubynskiy, S.; Voloshin, M.B. Hadro-Charmonium. Phys. Lett. B 2008, 666, 344–346. [Google Scholar] [CrossRef]
- Voloshin, M.B. Zc(3900)—What is inside? Phys. Rev. D 2013, 87, 091501. [Google Scholar] [CrossRef]
- Ferretti, J.; Santopinto, E.; Anwar, M.N.; Bedolla, M.A. The baryo-quarkonium picture for hidden-charm and bottom pentaquarks and LHCb Pc(4380) and Pc(4450) states. Phys. Lett. B 2019, 789, 562–567. [Google Scholar] [CrossRef]
- Ferretti, J.; Santopinto, E. Threshold corrections of χc (2 P) and χb (3 P) states and J /ψρ and J /ψω transitions of the χ (3872) in a coupled-channel model. Phys. Lett. B 2019, 789, 550–555. [Google Scholar] [CrossRef]
- Ferretti, J.; Santopinto, E. Hidden-charm and bottom tetra- and pentaquarks with strangeness in the hadro-quarkonium and compact tetraquark models. J. High Energy Phys. 2020, 4, 119. [Google Scholar] [CrossRef]
- Esposito, A.; Ferreiro, E.G.; Pilloni, A.; Polosa, A.D.; Salgado, C.A. The nature of X(3872) from high-multiplicity pp collisions. Eur. Phys. J. C 2021, 81, 669. [Google Scholar] [CrossRef]
- Armesto, N.; Ferreiro, E.G.; Escobedo, M.A.; López-Pardo, V. A potential approach to the X(3872) thermal behavior. Phys. Lett. B 2024, 854, 138760. [Google Scholar] [CrossRef]
- Aaij, R. et al. [LHCb Collaboration] Observation of an exotic narrow doubly charmed tetraquark. Nat. Phys. 2022, 18, 751–754. [Google Scholar] [CrossRef]
- Aaij, R. et al. [LHCb Collaboration] Study of the doubly charmed tetraquark Tcc+. Nat. Commun. 2022, 13, 3351. [Google Scholar] [CrossRef]
- Fleming, S.; Hodges, R.; Mehen, T. Tcc+ decays: Differential spectra and two-body final states. Phys. Rev. D 2021, 104, 116010. [Google Scholar] [CrossRef]
- Dai, L.; Fleming, S.; Hodges, R.; Mehen, T. Strong decays of Tcc+ at NLO in an effective field theory. Phys. Rev. D 2023, 107, 076001. [Google Scholar] [CrossRef]
- Hodges, R. Studies of Tcc+ Decays and Transverse-Momentum-Dependent J/ψ Production Using Effective Field Theory. Ph.D. Thesis, Duke University, Durham, NC, USA, 2024. [Google Scholar] [CrossRef]
- Fleming, S.; Kusunoki, M.; Mehen, T.; van Kolck, U. Pion interactions in the X(3872). Phys. Rev. D 2007, 76, 034006. [Google Scholar] [CrossRef]
- Fleming, S.; Mehen, T. Hadronic Decays of the X(3872) to chi(cJ) in Effective Field Theory. Phys. Rev. D 2008, 78, 094019. [Google Scholar] [CrossRef]
- Braaten, E.; Hammer, H.-W.; Mehen, T. Scattering of an Ultrasoft Pion and the X(3872). Phys. Rev. D 2010, 82, 034018. [Google Scholar] [CrossRef]
- Fleming, S.; Mehen, T. The decay of the X(3872) into χcJ and the Operator Product Expansion in XEFT. Phys. Rev. D 2012, 85, 014016. [Google Scholar] [CrossRef]
- Mehen, T. Hadronic loops versus factorization in effective field theory calculations of X(3872)→χcJπ0. Phys. Rev. D 2015, 92, 034019. [Google Scholar] [CrossRef]
- Braaten, E.; He, L.-P.; Ingles, K.; Jiang, J. Charm-meson triangle singularity in e+e− annihilation into D*00+γ. Phys. Rev. D 2020, 101, 096020. [Google Scholar] [CrossRef]
- Aaij, R. et al. [LHCb Collaboration] Observation of structure in the J/ψ -pair mass spectrum. Sci. Bull. 2020, 65, 1983–1993. [Google Scholar] [CrossRef]
- Chen, H.-X.; Chen, W.; Liu, X.; Liu, Y.-R.; Zhu, S.-L. An updated review of the new hadron states. Rept. Prog. Phys. 2023, 86, 026201. [Google Scholar] [CrossRef]
- Nogga, P. Recent developments in tetraquark studies at LHCb. In Proceedings of the 10th International Conference on Quarks and Nuclear Physics, Barcelona, Spain, 8–12 July 2024; p. 118. [Google Scholar] [CrossRef]
- Gong, C.; Du, M.-C.; Zhao, Q.; Zhong, X.-H.; Zhou, B. Nature of X(6900) and its production mechanism at LHCb. Phys. Lett. B 2022, 824, 136794. [Google Scholar] [CrossRef]
- Niu, P.-Y.; Wang, E.; Wang, Q.; Yang, S. Determine the quantum numbers of X(6900) from photon-photon fusion in ultra-peripheral heavy ion collisions. arXiv 2022, arXiv:2209.01924. [Google Scholar] [CrossRef]
- Hayrapetyan, A. et al. [CMS Collaboration] New Structures in the J/ψJ/ψ Mass Spectrum in Proton-Proton Collisions at s = 13 TeV. Phys. Rev. Lett. 2024, 132, 111901. [Google Scholar] [CrossRef] [PubMed]
- Zhu, F.; Bauer, G.; Yi, K. Experimental Road to a Charming Family of Tetraquarks … and Beyond. Chin. Phys. Lett. 2024, 41, 111201. [Google Scholar] [CrossRef]
- Hayrapetyan, A. et al. [CMS Collaboration] Determination of the spin and parity of all-charm tetraquarks. arXiv 2025, arXiv:2506.07944. [Google Scholar] [CrossRef]
- Aaboud, M. et al. [ATLAS Collaboration] Measurement of the prompt J/ ψ pair production cross-section in pp collisions at TeV with the ATLAS detector. Eur. Phys. J. C 2017, 77, 76. [Google Scholar] [CrossRef] [PubMed]
- Khachatryan, V. et al. [CMS Collaboration] Measurement of Prompt J/ψ Pair Production in pp Collisions at Tev. J. High Energy Phys. 2014, 2014, 94. [Google Scholar] [CrossRef]
- Hayrapetyan, A. et al. [CMS Collaboration] Observation of double J/ψ meson production in pPb collisions at sNN=8.16 TeV. Phys. Rev. D 2024, 110, 092002. [Google Scholar] [CrossRef]
- Ding, G.-J.; Yan, M.-L. A Candidate for 1–Strangeonium hybrid. Phys. Lett. B 2007, 650, 390–400. [Google Scholar] [CrossRef]
- Ho, J.; Berg, R.; Steele, T.G.; Chen, W.; Harnett, D. Is the Y(2175) a Strangeonium Hybrid Meson? Phys. Rev. D 2019, 100, 034012. [Google Scholar] [CrossRef]
- Su, N.; Chen, H.-X. S- and P-wave fully strange tetraquark states from QCD sum rules. Phys. Rev. D 2022, 106, 014023. [Google Scholar] [CrossRef]
- Liu, F.-X.; Liu, M.-S.; Zhong, X.-H.; Zhao, Q. Fully-strange tetraquark ss spectrum and possible experimental evidence. Phys. Rev. D 2021, 103, 016016. [Google Scholar] [CrossRef]
- Dong, R.-R.; Su, N.; Chen, H.-X. Highly excited and exotic fully-strange tetraquark states. Eur. Phys. J. C 2022, 82, 983. [Google Scholar] [CrossRef]
- Xi, H.-Z.; Jiang, Y.-W.; Chen, H.-X.; Hosaka, A.; Su, N. Fully-strange tetraquark states with the exotic quantum numbers JPC=0+− and 2+−. Phys. Rev. D 2023, 108, 094019. [Google Scholar] [CrossRef]
- Ma, Y.; Wu, W.-L.; Meng, L.; Chen, Y.-K.; Zhu, S.-L. Fully strange tetraquark resonant states as the cousins of X(6900). Phys. Rev. D 2024, 110, 074026. [Google Scholar] [CrossRef]
- Pineda, A. Review of Heavy Quarkonium at weak coupling. Prog. Part. Nucl. Phys. 2012, 67, 735–785. [Google Scholar] [CrossRef]
- Maiani, L.; Polosa, A.D.; Riquer, V. Hydrogen bond of QCD. Phys. Rev. D 2019, 100, 014002. [Google Scholar] [CrossRef]
- Maciuła, R.; Schäfer, W.; Szczurek, A. On the mechanism of T4c(6900) tetraquark production. Phys. Lett. B 2021, 812, 136010. [Google Scholar] [CrossRef]
- Berezhnoy, A.V.; Likhoded, A.K.; Luchinsky, A.V.; Novoselov, A.A. Double J/psi-meson Production at LHC and 4c-tetraquark state. Phys. Rev. D 2011, 84, 094023. [Google Scholar] [CrossRef]
- Karliner, M.; Nussinov, S.; Rosner, J.L. QQ states: Masses, production, and decays. Phys. Rev. D 2017, 95, 034011. [Google Scholar] [CrossRef]
- Becchi, C.; Giachino, A.; Maiani, L.; Santopinto, E. Search for bb tetraquark decays in 4 muons, B+B−, B00 and Bs0s0 channels at LHC. Phys. Lett. B 2020, 806, 135495. [Google Scholar] [CrossRef]
- Carvalho, F.; Cazaroto, E.R.; Gonçalves, V.P.; Navarra, F.S. Tetraquark Production in Double Parton Scattering. Phys. Rev. D 2016, 93, 034004. [Google Scholar] [CrossRef]
- Abreu, L.M.; Carvalho, F.; Oliveira, J.V.C.; Gonçalves, V.P. Production of fully-heavy tetraquark states through the double parton scattering mechanism in pp and pA collisions. Eur. Phys. J. C 2024, 84, 470. [Google Scholar] [CrossRef]
- Cisek, A.; Schäfer, W.; Szczurek, A. Structure and production mechanism of the enigmatic X(3872) in high-energy hadronic reactions. Eur. Phys. J. C 2022, 82, 1062. [Google Scholar] [CrossRef]
- Wang, Y.; Zhu, R. Fully charm tetraquark production at hadronic collisions with gluon radiation effects. arXiv 2025, arXiv:2510.02085. [Google Scholar] [CrossRef]
- Wu, W.-L.; Meng, L.; Zhu, S.-L. DeepQuark: Deep-neural-network approach to multiquark bound states. arXiv 2025, arXiv:2506.20555. [Google Scholar]
- Bondar, A. et al. [Belle Collaboration] Observation of two charged bottomonium-like resonances in Y(5S) decays. Phys. Rev. Lett. 2012, 108, 122001. [Google Scholar] [CrossRef]
- Bland, L.C. et al. [ANDY Collaboration] Observation of Feynman scaling violations and evidence for a new resonance at RHIC. arXiv 2019, arXiv:1909.03124. [Google Scholar] [CrossRef]
- Vogt, R.; Angerami, A. Bottom tetraquark production at RHIC? Phys. Rev. D 2021, 104, 094025. [Google Scholar] [CrossRef]
- Francis, A.; Hudspith, R.J.; Lewis, R.; Maltman, K. Evidence for charm-bottom tetraquarks and the mass dependence of heavy-light tetraquark states from lattice QCD. Phys. Rev. D 2019, 99, 054505. [Google Scholar] [CrossRef]
- Padmanath, M.; Radhakrishnan, A.; Mathur, N. Bound Isoscalar Axial-Vector bcu¯d¯ Tetraquark Tbc from Lattice QCD Using Two-Meson and Diquark-Antidiquark Variational Basis. Phys. Rev. Lett. 2024, 132, 201902. [Google Scholar] [CrossRef] [PubMed]
- Bicudo, P.; Cichy, K.; Peters, A.; Wagenbach, B.; Wagner, M. Evidence for the existence of ud and the non-existence of ss and cc tetraquarks from lattice QCD. Phys. Rev. D 2015, 92, 014507. [Google Scholar] [CrossRef]
- Leskovec, L.; Meinel, S.; Pflaumer, M.; Wagner, M. Lattice QCD investigation of a doubly-bottom ud tetraquark with quantum numbers I(JP)=0(1+). Phys. Rev. D 2019, 100, 014503. [Google Scholar] [CrossRef]
- Alexandrou, C.; Finkenrath, J.; Leontiou, T.; Meinel, S.; Pflaumer, M.; Wagner, M. ud and us tetraquarks from lattice QCD using symmetric correlation matrices with both local and scattering interpolating operators. Phys. Rev. D 2024, 110, 054510. [Google Scholar] [CrossRef]
- Chatrchyan, S. et al. [CMS Collaboration] Measurement of the X(3872) Production Cross Section Via Decays to J/ψπ+π− in pp collisions at TeV. J. High Energy Phys. 2013, 2013, 154. [Google Scholar] [CrossRef]
- Aaboud, M. et al. [ATLAS Collaboration] Measurements of ψ(2S) and X(3872)→J/ψπ+π− production in pp collisions at TeV with the ATLAS detector. J. High Energy Phys. 2017, 2017, 117. [Google Scholar] [CrossRef]
- Aaij, R. et al. [LHCb Collaboration] Measurement of χc1(3872) production in proton-proton collisions at and 13 TeV. J. High Energy Phys. 2022, 2022, 131. [Google Scholar] [CrossRef]
- Caswell, W.E.; Lepage, G.P. Effective Lagrangians for Bound State Problems in QED, QCD, and Other Field Theories. Phys. Lett. B 1986, 167, 437–442. [Google Scholar] [CrossRef]
- Thacker, B.A.; Lepage, G.P. Heavy quark bound states in lattice QCD. Phys. Rev. D 1991, 43, 196–208. [Google Scholar] [CrossRef]
- Bodwin, G.T.; Braaten, E.; Lepage, G.P. Rigorous QCD analysis of inclusive annihilation and production of heavy quarkonium. Phys. Rev. D 1995, 51, 1125–1171, Erratum in Phys. Rev. D 1997, 55, 5853. https://doi.org/10.1103/PhysRevD.55.5853. [Google Scholar] [CrossRef]
- Cho, P.L.; Leibovich, A.K. Color octet quarkonia production. Phys. Rev. D 1996, 53, 150–162. [Google Scholar] [CrossRef]
- Cho, P.L.; Leibovich, A.K. Color octet quarkonia production. 2. Phys. Rev. D 1996, 53, 6203–6217. [Google Scholar] [CrossRef]
- Leibovich, A.K. Psi-prime polarization due to color octet quarkonia production. Phys. Rev. D 1997, 56, 4412–4415. [Google Scholar] [CrossRef]
- Bodwin, G.T.; Braaten, E.; Lee, J. Comparison of the color-evaporation model and the NRQCD factorization approach in charmonium production. Phys. Rev. D 2005, 72, 014004. [Google Scholar] [CrossRef]
- Suzuki, M. Fragmentation of Hadrons from Heavy Quark Partons. Phys. Lett. B 1977, 71, 139–141. [Google Scholar] [CrossRef]
- Suzuki, M. Spin Property of Heavy Hadron in Heavy Quark Fragmentation: A Simple Model. Phys. Rev. D 1986, 33, 676. [Google Scholar] [CrossRef] [PubMed]
- Amiri, F.; Ji, C.-R. Perturbative Quantum Chromodynamic Prediction for the Heavy Quark Fragmentation Function. Phys. Lett. B 1987, 195, 593–598. [Google Scholar] [CrossRef]
- Celiberto, F.G.; Lonigro, F. Pseudoscalar heavy-quarkonium hadroproduction from nonrelativistic fragmentation at NLL/NLO+. Phys. Rev. D 2025, 112, 114040. [Google Scholar] [CrossRef]
- Celiberto, F.G. Towards Quarkonium Fragmentation from NRQCD in a Variable-Flavor Number Scheme. In Proceedings of the 58th Rencontres de Moriond on QCD and High Energy Interactions, La Thuile, Italy, 31 Mar–7 April 2024. [Google Scholar]
- Celiberto, F.G. Quarkonium fragmentation in a variable-flavor number scheme: Towards NRFF1.0. In Proceedings of the 31st International Workshop on Deep Inelastic Scattering, Grenoble, France, 8–12 April 2024; p. 168. [Google Scholar] [CrossRef]
- Celiberto, F.G. On the Quarkonium-in-jet Collinear Fragmentation at Moderate-to-large Transverse Momentum. Acta Phys. Pol. Supp. 2025, 18, 1-A22. [Google Scholar] [CrossRef]
- Celiberto, F.G.; Lonigro, F. Heavy-Flavor Fragmentation and Jet Structure from HF-NRevo: Bridging to Heavy-Ion Collisions. In Proceedings of the 2025 European Physical Society Conference on High Energy Physics, Marseille, France, 7–11 July 2025. [Google Scholar] [CrossRef]
- Dokshitzer, Y.L. Calculation of the Structure Functions for Deep Inelastic Scattering and e+ e- Annihilation by Perturbation Theory in Quantum Chromodynamics. Sov. Phys. JETP 1977, 46, 641–653. [Google Scholar]
- Gribov, V.; Lipatov, L. Deep inelastic e p scattering in perturbation theory. Sov. J. Nucl. Phys. 1972, 15, 438–450. [Google Scholar]
- Altarelli, G.; Parisi, G. Asymptotic Freedom in Parton Language. Nucl. Phys. B 1977, 126, 298–318. [Google Scholar] [CrossRef]
- Kim, H.; Kim, K.S.; Cheoun, M.-K.; Oka, M. Tetraquark mixing framework for isoscalar resonances in light mesons. Phys. Rev. D 2018, 97, 094005. [Google Scholar] [CrossRef]
- Kim, H.; Kim, K.S.; Cheoun, M.-K.; Jido, D.; Oka, M. Further signatures to support the tetraquark mixing framework for the two light-meson nonets. Phys. Rev. D 2019, 99, 014005. [Google Scholar] [CrossRef]
- Isgur, N.; Wise, M.B. Spectroscopy with heavy quark symmetry. Phys. Rev. Lett. 1991, 66, 1130–1133. [Google Scholar] [CrossRef]
- Neubert, M. Heavy quark symmetry. Phys. Rept. 1994, 245, 259–396. [Google Scholar] [CrossRef]
- Weng, X.-Z.; Chen, X.-L.; Deng, W.-Z.; Zhu, S.-L. Systematics of fully heavy tetraquarks. Phys. Rev. D 2021, 103, 034001. [Google Scholar] [CrossRef]
- An, H.-T.; Luo, S.-Q.; Liu, Z.-W.; Liu, X. Spectroscopic behavior of fully heavy tetraquarks. Eur. Phys. J. C 2023, 83, 740. [Google Scholar] [CrossRef]
- Landau, L.D. On the angular momentum of a system of two photons. Dokl. Akad. Nauk SSSR 1948, 60, 207–209. [Google Scholar] [CrossRef]
- Yang, C.-N. Selection Rules for the Dematerialization of a Particle Into Two Photons. Phys. Rev. 1950, 77, 242–245. [Google Scholar] [CrossRef]
- Karliner, M.; Rosner, J.L. Interpretation of structure in the di- J/ψ spectrum. Phys. Rev. D 2020, 102, 114039. [Google Scholar] [CrossRef]
- Celiberto, F.G. Fragmentation of fully heavy tetraquarks: The TQ4Q1.1 functions as a case study. Phys. Rev. D 2025, 112, 074041. [Google Scholar] [CrossRef]
- Celiberto, F.G. Hunting BFKL in semi-hard reactions at the LHC. Eur. Phys. J. C 2021, 81, 691. [Google Scholar] [CrossRef]
- Celiberto, F.G. High-energy emissions of light mesons plus heavy flavor at the LHC and the Forward Physics Facility. Phys. Rev. D 2022, 105, 114008. [Google Scholar] [CrossRef]
- Celiberto, F.G. Vector Quarkonia at the LHC with JETHAD: A High-Energy Viewpoint. Universe 2023, 9, 324. [Google Scholar] [CrossRef]
- Celiberto, F.G. Exotic Tetraquarks at the HL-LHC with JETHAD: A High-Energy Viewpoint. Symmetry 2024, 16, 550. [Google Scholar] [CrossRef]
- Celiberto, F.G. Forward & Far-Forward Heavy Hadrons with JETHAD: A High-Energy Viewpoint. Particles 2024, 7, 502–542. [Google Scholar] [CrossRef]
- Celiberto, F.G. Fully Heavy Pentaquarks with JETHAD: A High-Energy Viewpoint. Symmetry, 2025; in press. [Google Scholar]
- Celiberto, F.G. Triply Heavy Ω Baryons with with JETHAD: A High-Energy Viewpoint. Symmetry 2026, 18, 29. [Google Scholar] [CrossRef]
- Cacciari, M.; Greco, M.; Rolli, S.; Tanzini, A. Charmed mesons fragmentation functions. Phys. Rev. D 1997, 55, 2736–2740. [Google Scholar] [CrossRef]
- Cacciari, M.; Greco, M. Large pT hadroproduction of heavy quarks. Nucl. Phys. B 1994, 421, 530–544. [Google Scholar] [CrossRef]
- Jaffe, R.L.; Randall, L. Heavy quark fragmentation into heavy mesons. Nucl. Phys. B 1994, 412, 79–105. [Google Scholar] [CrossRef]
- Kniehl, B.A.; Kramer, G.; Schienbein, I.; Spiesberger, H. Collinear subtractions in hadroproduction of heavy quarks. Eur. Phys. J. C 2005, 41, 199–212. [Google Scholar] [CrossRef]
- Helenius, I.; Paukkunen, H. Revisiting the D-meson hadroproduction in general-mass variable flavour number scheme. J. High Energy Phys. 2018, 2018, 196. [Google Scholar] [CrossRef]
- Helenius, I.; Paukkunen, H. B-meson hadroproduction in the SACOT-mT scheme. J. High Energy Phys. 2023, 2023, 054. [Google Scholar] [CrossRef]
- Generet, T. B-Hadron Production at Higher Orders in QCD. Ph.D. Thesis, RWTH Aachen University, Aachen, Germany, 2023. [Google Scholar]
- Mele, B.; Nason, P. Next-to-leading QCD calculation of the heavy quark fragmentation function. Phys. Lett. B 1990, 245, 635–639. [Google Scholar] [CrossRef]
- Mele, B.; Nason, P. The Fragmentation function for heavy quarks in QCD. Nucl. Phys. B 1991, 361, 626–644, Erratum in Nucl. Phys. B 2017, 921, 841–842. https://doi.org/10.1016/0550-3213(91)90597-Q. [Google Scholar] [CrossRef]
- Rijken, P.J.; van Neerven, W.L. O (alpha-s**2) contributions to the longitudinal fragmentation function in e+ e- annihilation. Phys. Lett. B 1996, 386, 422–428. [Google Scholar] [CrossRef]
- Mitov, A.; Moch, S.-O. QCD Corrections to Semi-Inclusive Hadron Production in Electron-Positron Annihilation at Two Loops. Nucl. Phys. B 2006, 751, 18–52. [Google Scholar] [CrossRef]
- Blumlein, J.; Ravindran, V. O (alpha**2(s)) Timelike Wilson Coefficients for Parton-Fragmentation Functions in Mellin Space. Nucl. Phys. B 2006, 749, 1–24. [Google Scholar] [CrossRef]
- Melnikov, K.; Mitov, A. Perturbative heavy quark fragmentation function through O(αs2). Phys. Rev. D 2004, 70, 034027. [Google Scholar] [CrossRef]
- Mitov, A. Perturbative heavy quark fragmentation function through O(αs2): Gluon initiated contribution. Phys. Rev. D 2005, 71, 054021. [Google Scholar] [CrossRef]
- Biello, C.; Bonino, L. Time-Like heavy-flavour thresholds for fragmentation functions: The light-quark matching condition at NNLO. Eur. Phys. J. C 2024, 84, 1192. [Google Scholar] [CrossRef]
- Kartvelishvili, V.; Likhoded, A.; Petrov, V. On the Fragmentation Functions of Heavy Quarks Into Hadrons. Phys. Lett. B 1978, 78, 615–617. [Google Scholar] [CrossRef]
- Bowler, M.G. e+ e− Production of Heavy Quarks in the String Model. Z. Phys. C 1981, 11, 169. [Google Scholar] [CrossRef]
- Peterson, C.; Schlatter, D.; Schmitt, I.; Zerwas, P.M. Scaling Violations in Inclusive e+ e- Annihilation Spectra. Phys. Rev. D 1983, 27, 105. [Google Scholar] [CrossRef]
- Andersson, B.; Gustafson, G.; Soderberg, B. A General Model for Jet Fragmentation. Z. Phys. C 1983, 20, 317. [Google Scholar] [CrossRef]
- Collins, P.D.B.; Spiller, T.P. The Fragmentation of Heavy Quarks. J. Phys. G 1985, 11, 1289. [Google Scholar] [CrossRef]
- Colangelo, G.; Nason, P. A Theoretical study of the c and b fragmentation function from e+ e- annihilation. Phys. Lett. B 1992, 285, 167–171. [Google Scholar] [CrossRef]
- Georgi, H. An Effective Field Theory for Heavy Quarks at Low-energies. Phys. Lett. B 1990, 240, 447–450. [Google Scholar] [CrossRef]
- Eichten, E.; Hill, B.R. An Effective Field Theory for the Calculation of Matrix Elements Involving Heavy Quarks. Phys. Lett. B 1990, 234, 511–516. [Google Scholar] [CrossRef]
- Grinstein, B. Light quark, heavy quark systems. Ann. Rev. Nucl. Part. Sci. 1992, 42, 101–145. [Google Scholar] [CrossRef]
- Grinstein, B. A Modern introduction to quarkonium theory. Int. J. Mod. Phys. A 2000, 15, 461–496. [Google Scholar] [CrossRef]
- Krämer, M. Quarkonium production at high-energy colliders. Prog. Part. Nucl. Phys. 2001, 47, 141–201. [Google Scholar] [CrossRef]
- Brambilla, N. et al. [Quarkonium Working Group] Heavy Quarkonium Physics; CERN: Geneva, Switzerland, 2005. [Google Scholar] [CrossRef]
- Lansberg, J.-P. Quarkonium Production at High-Energy Hadron Colliders: A Systematic Gauge-Invariant Approach to Relativistic Effects of J/ψ, ψ′ and υ Production. Ph.D. Thesis, Liege University, Liège, Belgium, 2005. [Google Scholar]
- Lansberg, J.-P. New Observables in Inclusive Production of Quarkonia. Phys. Rept. 2020, 889, 1–106. [Google Scholar] [CrossRef]
- Alekhin, S.; Blumlein, J.; Klein, S.; Moch, S. The 3, 4, and 5-flavor NNLO Parton from Deep-Inelastic-Scattering Data and at Hadron Colliders. Phys. Rev. D 2010, 81, 014032. [Google Scholar] [CrossRef]
- Fleming, S.; Leibovich, A.K.; Mehen, T.; Rothstein, I.Z. The Systematics of Quarkonium Production at the LHC and Double Parton Fragmentation. Phys. Rev. D 2012, 86, 094012. [Google Scholar] [CrossRef]
- Kang, Z.-B.; Ma, Y.-Q.; Qiu, J.-W.; Sterman, G. Heavy Quarkonium Production at Collider Energies: Factorization and Evolution. Phys. Rev. D 2014, 90, 034006. [Google Scholar] [CrossRef]
- Echevarria, M.G. Proper TMD factorization for quarkonia production: pp→ηc,b as a study case. J. High Energy Phys. 2019, 2019, 144. [Google Scholar] [CrossRef]
- Boer, D.; Bor, J.; Maxia, L.; Pisano, C.; Yuan, F. Transverse momentum dependent shape function for J/ψ production in SIDIS. J. High Energy Phys. 2023, 2023, 105. [Google Scholar] [CrossRef]
- Braaten, E.; Yuan, T.C. Gluon fragmentation into heavy quarkonium. Phys. Rev. Lett. 1993, 71, 1673–1676. [Google Scholar] [CrossRef] [PubMed]
- Braaten, E.; Cheung, K.-M.; Yuan, T.C. Z0 decay into charmonium via charm quark fragmentation. Phys. Rev. D 1993, 48, 4230–4235. [Google Scholar] [CrossRef]
- Zheng, X.-C.; Chang, C.-H.; Feng, T.-F.; Wu, X.-G. QCD NLO fragmentation functions for c or b¯ quark to Bc or Bc* meson and their application. Phys. Rev. D 2019, 100, 034004. [Google Scholar] [CrossRef]
- Zheng, X.-C.; Chang, C.-H.; Wu, X.-G. Fragmentation functions for gluon into Bc or Bc* meson. J. High Energy Phys. 2022, 2022, 036. [Google Scholar] [CrossRef]
- Celiberto, F.G.; Fucilla, M. Diffractive semi-hard production of a J/ψ or a Υ from single-parton fragmentation plus a jet in hybrid factorization. Eur. Phys. J. C 2022, 82, 929. [Google Scholar] [CrossRef]
- Celiberto, F.G. The high-energy spectrum of QCD from inclusive emissions of charmed B-mesons. Phys. Lett. B 2022, 835, 137554. [Google Scholar] [CrossRef]
- Celiberto, F.G. High-energy QCD dynamics from bottom flavor fragmentation at the Hi-Lumi LHC. Eur. Phys. J. C 2024, 84, 384. [Google Scholar] [CrossRef]
- Aaij, R. et al. [LHCb Collaboration] Precision measurement of CP violation in Bs0→J/ψK+K- decays. Phys. Rev. Lett. 2015, 114, 041801. [Google Scholar] [CrossRef]
- Aaij, R. et al. [LHCb Collaboration] Measurement of the b-quark production cross-section in 7 and 13 TeV pp collisions. Phys. Rev. Lett. 2017, 118, 052002, Erratum in Phys. Rev. Lett. 2017, 119, 169901. https://doi.org/10.1103/PhysRevLett.118.052002. [Google Scholar] [CrossRef] [PubMed]
- Aad, G. et al. [ATLAS Collaboration] Observation of an Excess of Dicharmonium Events in the Four-Muon Final State with the ATLAS Detector. Phys. Rev. Lett. 2023, 131, 151902. [Google Scholar] [CrossRef] [PubMed]
- Zhang, H.-F.; Ma, Y.-Q. Exploring the di-J/ψ resonances based on \itab initio perturbative QCD. arXiv 2020, arXiv:2009.08376. [Google Scholar]
- Zhu, R. Fully-heavy tetraquark spectra and production at hadron colliders. Nucl. Phys. B 2021, 966, 115393. [Google Scholar] [CrossRef]
- Ma, H.-H.; Tao, Z.-K.; Niu, J.-J. Application of fragmentation function to the indirect production of fully charmed tetraquark. Eur. Phys. J. C 2025, 85, 397. [Google Scholar] [CrossRef]
- Celiberto, F.G. Unwinding the rare Ω sector: Fragmentation of fully charmed baryons from HL-LHC to FCC. Phys. Rev. D 2025, 112, 074023. [Google Scholar] [CrossRef]
- Shifman, M.A.; Vainshtein, A.I.; Zakharov, V.I. QCD and Resonance Physics. Theoretical Foundations. Nucl. Phys. B 1979, 147, 385–447. [Google Scholar] [CrossRef]
- Gilman, F.J.; Wise, M.B. Effective Hamiltonian for Delta s = 1 Weak Nonleptonic Decays in the Six Quark Model. Phys. Rev. D 1979, 20, 2392. [Google Scholar] [CrossRef]
- Cacciari, M.; Greco, M.; Mangano, M.L.; Petrelli, A. Charmonium production at the Tevatron. Phys. Lett. B 1995, 356, 553–560. [Google Scholar] [CrossRef]
- Artoisenet, P.; Lansberg, J.P.; Maltoni, F. Hadroproduction of J/ψ and Υ in association with a heavy-quark pair. Phys. Lett. B 2007, 653, 60–66. [Google Scholar] [CrossRef]
- Ma, Y.-Q.; Qiu, J.-W.; Sterman, G.; Zhang, H. Factorized power expansion for high-pT heavy quarkonium production. Phys. Rev. Lett. 2014, 113, 142002. [Google Scholar] [CrossRef] [PubMed]
- Ducloué, B.; Szymanowski, L.; Wallon, S. Evaluating the double parton scattering contribution to Mueller-Navelet jets production at the LHC. Phys. Rev. D 2015, 92, 076002. [Google Scholar] [CrossRef]
- Lansberg, J.-P.; Shao, H.-S. J/ψ-pair production at large momenta: Indications for double parton scatterings and large αs5 contributions. Phys. Lett. B 2015, 751, 479–486. [Google Scholar] [CrossRef]
- Lansberg, J.-P.; Shao, H.-S.; Yamanaka, N.; Zhang, Y.-J.; Noûs, C. Complete NLO QCD study of single- and double-quarkonium hadroproduction in the colour-evaporation model at the Tevatron and the LHC. Phys. Lett. B 2020, 807, 135559. [Google Scholar] [CrossRef]
- Lansberg, J.-P.; Shao, H.-S. Associated production of a quarkonium and a Z boson at one loop in a quark-hadron-duality approach. J. High Energy Phys. 2016, 2016, 153. [Google Scholar] [CrossRef]
- Lansberg, J.-P.; Shao, H.-S.; Yamanaka, N. Indication for double parton scatterings in W+ prompt J/ψ production at the LHC. Phys. Lett. B 2018, 781, 485–491. [Google Scholar] [CrossRef]
- d’Enterria, D.; Snigirev, A.M. Triple parton scatterings in high-energy proton-proton collisions. Phys. Rev. Lett. 2017, 118, 122001. [Google Scholar] [CrossRef]
- Shao, H.-S.; Zhang, Y.-J. Triple prompt J/ψ hadroproduction as a hard probe of multiple-parton scatterings. Phys. Rev. Lett. 2019, 122, 192002. [Google Scholar] [CrossRef] [PubMed]
- Petrelli, A.; Cacciari, M.; Greco, M.; Maltoni, F.; Mangano, M.L. NLO production and decay of quarkonium. Nucl. Phys. B 1998, 514, 245–309. [Google Scholar] [CrossRef]
- Brambilla, N.; Eidelman, S.; Heltsley, B.K.; Vogt, R.; Bodwin, G.T.; Eichten, E.; Frawley, A.D.; Mayer, A.B.; Mitchell, R.E.; Papadimitriou, V.; et al. Heavy Quarkonium: Progress, Puzzles, and Opportunities. Eur. Phys. J. C 2011, 71, 1534. [Google Scholar] [CrossRef]
- Andronic, A.; Arleo, F.; Arnaldi, R.; Beraudo, A.; Bruna, E.; Caffarri, D.; del Valle, Z.C.; Contreras, J.G.; Dahms, T.; Dainese, A.; et al. Heavy-flavour and quarkonium production in the LHC era: From proton–proton to heavy-ion collisions. Eur. Phys. J. C 2016, 76, 107. [Google Scholar] [CrossRef]
- Beneke, M.; Rothstein, I.Z. Hadroproduction of quarkonia in fixed target experiments. Phys. Rev. D 1996, 54, 2005–2031. [Google Scholar] [CrossRef]
- Butenschoen, M.; Kniehl, B.A. Reconciling j/psi production at hera, rhic, tevatron, and lhc with nrqcd factorization at next-to-leading order. Phys. Rev. Lett. 2011, 106, 022003. [Google Scholar] [CrossRef] [PubMed]
- Chao, K.-T.; Ma, Y.-Q.; Shao, H.-S.; Wang, K.; Zhang, Y.-J. J/ψ Polarization at Hadron Colliders in Nonrelativistic QCD. Phys. Rev. Lett. 2012, 108, 242004. [Google Scholar] [CrossRef] [PubMed]
- Gong, B.; Wan, L.-P.; Wang, J.-X.; Zhang, H.-F. Polarization for prompt j/psi, psi(2s) production at the tevatron and lhc. Phys. Rev. Lett. 2013, 110, 042002. [Google Scholar] [CrossRef]
- Aaij, R. et al. [LHCb Collaboration] Measurement of the ηc(1S) production cross-section in proton-proton collisions via the decay ηc(1S)→pp¯. Eur. Phys. J. C 2015, 75, 311. [Google Scholar] [CrossRef]
- Aaij, R. et al. [LHCb Collaboration] Measurement of the ηc(1S) production cross-section in pp collisions at s=13 TeV. Eur. Phys. J. C 2020, 80, 191. [Google Scholar] [CrossRef]
- Han, H.; Ma, Y.-Q.; Meng, C.; Shao, H.-S.; Chao, K.-T. ηc production at LHC and indications on the understanding of J/ψ production. Phys. Rev. Lett. 2015, 114, 092005. [Google Scholar] [CrossRef] [PubMed]
- Aaij, R. et al. [LHCb Collaboration] Measurement of Υ production in pp collisions at = 5 TeV. J. High Energy Phys. 2023, 2023, 69. [Google Scholar] [CrossRef]
- Artoisenet, P.; Campbell, J.M.; Lansberg, J.P.; Maltoni, F.; Tramontano, F. Υ Production at Fermilab Tevatron and LHC Energies. Phys. Rev. Lett. 2008, 101, 152001. [Google Scholar] [CrossRef]
- Gong, B.; Wang, J.-X.; Zhang, H.-F. QCD corrections to Υ production via color-octet states at the Tevatron and LHC. Phys. Rev. D 2011, 83, 114021. [Google Scholar] [CrossRef]
- Eichten, E.; Gottfried, K.; Kinoshita, T.; Kogut, J.B.; Lane, K.D.; Yan, T.-M. Spectrum of Charmed Quark-Antiquark Bound States. Phys. Rev. Lett. 1975, 34, 369–372, Erratum in Phys. Rev. Lett. 1976, 36, 1276. https://doi.org/10.1103/PhysRevLett.34.369. [Google Scholar] [CrossRef]
- Eichten, E.; Gottfried, K.; Kinoshita, T.; Lane, K.D.; Yan, T.-M. Charmonium: The Model. Phys. Rev. D 1978, 17, 3090, Erratum in Phys. Rev. D 1980, 21, 313. https://doi.org/10.1103/PhysRevD.17.3090. [Google Scholar] [CrossRef]
- Zhao, J.; Shi, S.; Zhuang, P. Fully-heavy tetraquarks in a strongly interacting medium. Phys. Rev. D 2020, 102, 114001. [Google Scholar] [CrossRef]
- Lü, Q.-F.; Chen, D.-Y.; Dong, Y.-B. Masses of fully heavy tetraquarks QQQ¯Q¯ in an extended relativized quark model. Eur. Phys. J. C 2020, 80, 871. [Google Scholar] [CrossRef]
- Liu, M.-S.; Liu, F.-X.; Zhong, X.-H.; Zhao, Q. Fully heavy tetraquark states and their evidences in LHC observations. Phys. Rev. D 2024, 109, 076017. [Google Scholar] [CrossRef]
- Sirunyan, A.M. et al. [CMS Collaboration] Measurement of quarkonium production cross sections in pp collisions at s= 13 TeV. Phys. Lett. B 2018, 780, 251–272. [Google Scholar] [CrossRef]
- Yu, G.-L.; Li, Z.-Y.; Wang, Z.-G.; Lu, J.; Yan, M. The S- and P-wave fully charmed tetraquark states and their radial excitations. Eur. Phys. J. C 2023, 83, 416. [Google Scholar] [CrossRef]
- Wang, G.-J.; Meng, L.; Zhu, S.-L. Spectrum of the fully-heavy tetraquark state QQQ¯′Q¯′. Phys. Rev. D 2019, 100, 096013. [Google Scholar] [CrossRef]
- Buchmuller, W.; Tye, S.H.H. Quarkonia and Quantum Chromodynamics. Phys. Rev. D 1981, 24, 132. [Google Scholar] [CrossRef]
- Bertone, V.; Carrazza, S.; Rojo, J. APFEL: A PDF Evolution Library with QED corrections. Comput. Phys. Commun. 2014, 185, 1647–1668. [Google Scholar] [CrossRef]
- Carrazza, S.; Ferrara, A.; Palazzo, D.; Rojo, J. APFEL Web: A web-based application for the graphical visualization of parton distribution functions. J. Phys. G 2015, 42, 057001. [Google Scholar] [CrossRef]
- Bertone, V. APFEL++: A new PDF evolution library in C++. In Proceedings of the 25th International Workshop on Deep-Inelastic Scattering and Related Topics (DIS 2017), Birmingham, UK, 3–7April 2017; p. 201. [Google Scholar] [CrossRef]
- Buckley, A.; Ferrando, J.; Lloyd, S.; Nordström, K.; Page, B.; Rüfenacht, M.; Schönherr, M.; Watt, G. LHAPDF6: Parton density access in the LHC precision era. Eur. Phys. J. C 2015, 75, 132. [Google Scholar] [CrossRef]
- Candido, A.; Hekhorn, F.; Magni, G. EKO: Evolution kernel operators. Eur. Phys. J. C 2022, 82, 976. [Google Scholar] [CrossRef]
- Hekhorn, F.; Magni, G. DGLAP evolution of parton distributions at approximate N3LO. arXiv 2023, arXiv:2306.15294. [Google Scholar]
- Artoisenet, P.; Braaten, E. Gluon fragmentation into quarkonium at next-to-leading order. J. High Energy Phys. 2015, 2015, 121. [Google Scholar] [CrossRef]
- Zhang, P.; Wang, C.-Y.; Liu, X.; Ma, Y.-Q.; Meng, C.; Chao, K.-T. Semi-analytical calculation of gluon fragmentation into1S0[1,8] quarkonia at next-to-leading order. J. High Energy Phys. 2019, 2019, 116. [Google Scholar] [CrossRef]
- Zheng, X.-C.; Zhang, Z.-Y.; Wu, X.-G. Fragmentation functions for a quark into a spin-singlet quarkonium: Different flavor case. Phys. Rev. D 2021, 103, 074004. [Google Scholar] [CrossRef]
- Zheng, X.-C.; Wu, X.-G.; Huang, X.-D. NLO fragmentation functions for a quark into a spin-singlet quarkonium: Same flavor case. J. High Energy Phys. 2021, 2021, 14. [Google Scholar] [CrossRef]
- Zheng, X.-C.; Chang, C.-H.; Wu, X.-G. NLO fragmentation functions of heavy quarks into heavy quarkonia. Phys. Rev. D 2019, 100, 014005. [Google Scholar] [CrossRef]
- Celiberto, F.G.; Fucilla, M.; Ivanov, D.Y.; Papa, A. High-energy resummation in Λc baryon production. Eur. Phys. J. C 2021, 81, 780. [Google Scholar] [CrossRef]
- Celiberto, F.G.; Fucilla, M.; Ivanov, D.Y.; Mohammed, M.M.A.; Papa, A. Bottom-flavored inclusive emissions in the variable-flavor number scheme: A high-energy analysis. Phys. Rev. D 2021, 104, 114007. [Google Scholar] [CrossRef]
- Bjorken, J.D. Properties of Hadron Distributions in Reactions Containing Very Heavy Quarks. Phys. Rev. D 1978, 17, 171–173. [Google Scholar] [CrossRef]
- Bodwin, G.T.; Petrelli, A. Order-v4 corrections to S-wave quarkonium decay. Phys. Rev. D 2002, 66, 094011, Erratum in Phys. Rev. D 2013, 87, 039902. https://doi.org/10.1103/PhysRevD.66.094011. [Google Scholar] [CrossRef]
- Ma, Y.-Q.; Qiu, J.-W.; Zhang, H. Fragmentation functions of polarized heavy quarkonium. J. High Energy Phys. 2015, 2015, 021. [Google Scholar] [CrossRef]
- Xu, Y.-Z.; Chen, S.; Yao, Z.-Q.; Binosi, D.; Cui, Z.-F.; Roberts, C.D. Vector-meson production and vector meson dominance. Eur. Phys. J. C 2021, 81, 895. [Google Scholar] [CrossRef]
- Collins, J.C.; Soper, D.E.; Sterman, G.F. Factorization of Hard Processes in QCD. Adv. Ser. Direct. High Energy Phys. 1989, 5, 1–91. [Google Scholar] [CrossRef]
- Sterman, G.F. Partons, factorization and resummation, TASI 95. In Proceedings of the Theoretical Advanced Study Institute in Elementary Particle Physics (TASI 95): QCD and Beyond, Boulder, CO, USA, 4–30 June 1995; pp. 327–408. [Google Scholar]
- Gribov, L.V.; Levin, E.M.; Ryskin, M.G. Semihard Processes in QCD. Phys. Rept. 1983, 100, 1–150. [Google Scholar] [CrossRef]
- Celiberto, F.G. High-Energy Resummation in Semi-Hard Processes at the LHC. Ph.D. Thesis, Università della Calabria and INFN-Cosenza, Arcavacata, Italy, 2017. [Google Scholar] [CrossRef]
- Bolognino, A.D. From Semi-Hard Processes to the Unintegrated Gluon Distribution: A Phenomenological Path in the High-Energy Framework. Ph.D. Thesis, University of Calabria, Arcavacata, Italy, 2021. [Google Scholar] [CrossRef]
- Mohammed, M.M.A. Hunting Stabilization Effects of the High-Energy Resummation at the LHC. Ph.D. Thesis, Università della Calabria and INFN-Cosenza, Arcavacata, Italy, 2022. [Google Scholar] [CrossRef]
- Gatto, G. High-Energy Dynamics of QCD: Theoretical and Phenomenological Results. Ph.D. Thesis, Università della Calabria and INFN-Cosenza, Arcavacata, Italy, 2025. [Google Scholar] [CrossRef]
- Fadin, V.S.; Kuraev, E.; Lipatov, L. On the Pomeranchuk Singularity in Asymptotically Free Theories. Phys. Lett. B 1975, 60, 50–52. [Google Scholar] [CrossRef]
- Kuraev, E.A.; Lipatov, L.N.; Fadin, V.S. Multi-Reggeon Processes in the Yang-Mills Theory. Sov. Phys. JETP 1976, 44, 443–450. [Google Scholar]
- Kuraev, E.; Lipatov, L.; Fadin, V.S. The Pomeranchuk Singularity in Nonabelian Gauge Theories. Sov. Phys. JETP 1977, 45, 199–204. [Google Scholar]
- Balitsky, I.; Lipatov, L. The Pomeranchuk Singularity in Quantum Chromodynamics. Sov. Phys. JETP 1978, 28, 822–829. [Google Scholar]
- Fadin, V.S.; Lipatov, L.N. BFKL pomeron in the next-to-leading approximation. Phys. Lett. B 1998, 429, 127–134. [Google Scholar] [CrossRef]
- Ciafaloni, M.; Camici, G. Energy scale(s) and next-to-leading BFKL equation. Phys. Lett. B 1998, 430, 349–354. [Google Scholar] [CrossRef]
- Fadin, V.S.; Fiore, R.; Papa, A. The Quark part of the nonforward BFKL kernel and the ’bootstrap’ for the gluon Reggeization. Phys. Rev. D 1999, 60, 074025. [Google Scholar] [CrossRef]
- Fadin, V.S.; Gorbachev, D.A. Nonforward color octet BFKL kernel. JETP Lett. 2000, 71, 222–226. [Google Scholar] [CrossRef]
- Fadin, V.S.; Gorbachev, D.A. Nonforward color-octet kernel of the Balitsky-Fadin-Kuraev-Lipatov equation. Phys. Atom. Nucl. 2000, 63, 2157–2172. [Google Scholar] [CrossRef]
- Fadin, V.S.; Fiore, R. Non-forward BFKL pomeron at next-to-leading order. Phys. Lett. B 2005, 610, 61–66, Erratum in Phys. Lett. B 2005, 621, 320. https://doi.org/10.1016/j.physletb.2005.06.074. [Google Scholar] [CrossRef]
- Fadin, V.S.; Fiore, R. Non-forward NLO BFKL kernel. Phys. Rev. D 2005, 72, 014018. [Google Scholar] [CrossRef]
- Caola, F.; Chakraborty, A.; Gambuti, G.; von Manteuffel, A.; Tancredi, L. Three-Loop Gluon Scattering in QCD and the Gluon Regge Trajectory. Phys. Rev. Lett. 2022, 128, 212001. [Google Scholar] [CrossRef]
- Falcioni, G.; Gardi, E.; Maher, N.; Milloy, C.; Vernazza, L. Disentangling the Regge Cut and Regge Pole in Perturbative QCD. Phys. Rev. Lett. 2022, 128, 132001. [Google Scholar] [CrossRef]
- Duca, V.D.; Marzucca, R.; Verbeek, B. The gluon Regge trajectory at three loops from planar Yang-Mills theory. J. High Energy Phys. 2022, 2022, 149. [Google Scholar] [CrossRef]
- Byrne, E.P.; Duca, V.D.; Dixon, L.J.; Gardi, E.; Smillie, J.M. One-loop central-emission vertex for two gluons in N = 4 super Yang-Mills theory. J. High Energy Phys. 2022, 2022, 271. [Google Scholar] [CrossRef]
- Fadin, V.S.; Fucilla, M.; Papa, A. One-loop Lipatov vertex in QCD with higher ϵ-accuracy. J. High Energy Phys. 2023, 2023, 137. [Google Scholar] [CrossRef]
- Byrne, E.P. One-loop five-parton amplitudes in the NMRK limit. arXiv 2023, arXiv:2312.15051. [Google Scholar] [CrossRef]
- Fadin, V.S.; Fiore, R.; Kotsky, M.I.; Papa, A. The Gluon impact factors. Phys. Rev. D 2000, 61, 094005. [Google Scholar] [CrossRef]
- Fadin, V.S.; Fiore, R.; Kotsky, M.I.; Papa, A. The Quark impact factors. Phys. Rev. D 2000, 61, 094006. [Google Scholar] [CrossRef]
- Bartels, J.; Colferai, D.; Vacca, G.P. The NLO jet vertex for Mueller-Navelet and forward jets: The Quark part. Eur. Phys. J. C 2002, 24, 83–99. [Google Scholar] [CrossRef]
- Bartels, J.; Colferai, D.; Vacca, G.P. The NLO jet vertex for Mueller-Navelet and forward jets: The Gluon part. Eur. Phys. J. C 2003, 29, 235–249. [Google Scholar] [CrossRef]
- Caporale, F.; Ivanov, D.Y.; Murdaca, B.; Papa, A.; Perri, A. The next-to-leading order jet vertex for Mueller-Navelet and forward jets revisited. J. High Energy Phys. 2012, 2012, 101. [Google Scholar] [CrossRef]
- Ivanov, D.Y.; Papa, A. The next-to-leading order forward jet vertex in the small-cone approximation. J. High Energy Phys. 2012, 2012, 86. [Google Scholar] [CrossRef]
- Colferai, D.; Niccoli, A. The NLO jet vertex in the small-cone approximation for kt and cone algorithms. J. High Energy Phys. 2015, 2015, 71. [Google Scholar] [CrossRef]
- DIvanov, Y.; Papa, A. Inclusive production of a pair of hadrons separated by a large interval of rapidity in proton collisions. J. High Energy Phys. 2012, 2012, 45. [Google Scholar] [CrossRef]
- Ivanov, D.Y.; Kotsky, M.I.; Papa, A. The Impact factor for the virtual photon to light vector meson transition. Eur. Phys. J. C 2004, 38, 195–213. [Google Scholar] [CrossRef]
- Bartels, J.; Gieseke, S.; Qiao, C.F. The (gamma*—> q anti-q) Reggeon vertex in next-to-leading order QCD. Phys. Rev. D 2001, 63, 056014, Erratum in Phys. Rev. D 2002, 65, 079902. https://doi.org/10.1103/PhysRevD.63.056014. [Google Scholar] [CrossRef]
- Bartels, J.; Gieseke, S.; Kyrieleis, A. The Process gamma*(L) + q—> (q anti-q g) + q: Real corrections to the virtual photon impact factor. Phys. Rev. D 2002, 65, 014006. [Google Scholar] [CrossRef]
- Bartels, J.; Colferai, D.; Gieseke, S.; Kyrieleis, A. NLO corrections to the photon impact factor: Combining real and virtual corrections. Phys. Rev. D 2002, 66, 094017. [Google Scholar] [CrossRef]
- Bartels, J.; Kyrieleis, A. NLO corrections to the gamma* impact factor: First numerical results for the real corrections to gamma*(L). Phys. Rev. D 2004, 70, 114003. [Google Scholar] [CrossRef]
- Fadin, V.S.; Ivanov, D.Y.; Kotsky, M.I. Photon Reggeon interaction vertices in the NLA. Phys. Atom. Nucl. 2002, 65, 1513–1527. [Google Scholar] [CrossRef]
- Balitsky, I.; Chirilli, G.A. Photon impact factor and kT-factorization for DIS in the next-to-leading order. Phys. Rev. D 2013, 87, 014013. [Google Scholar] [CrossRef]
- Hentschinski, M.; Kutak, K.; van Hameren, A. Forward Higgs production within high energy factorization in the heavy quark limit at next-to-leading order accuracy. Eur. Phys. J. C 2021, 81, 112, Erratum in Eur. Phys. J. C 2021, 81, 262. https://doi.org/10.1140/epjc/s10052-021-08902-6. [Google Scholar] [CrossRef]
- Celiberto, F.G.; Fucilla, M.; Ivanov, D.Y.; Mohammed, M.M.A.; Papa, A. The next-to-leading order Higgs impact factor in the infinite top-mass limit. J. High Energy Phys. 2022, 2022, 092. [Google Scholar] [CrossRef]
- Hentschinski, M. Forward Higgs production at NLO using Lipatov’s high energy effective action. SciPost Phys. Proc. 2022, 8, 136. [Google Scholar] [CrossRef]
- Celiberto, F.G.; Rose, L.D.; Fucilla, M.; Gatto, G.; Papa, A. The next-to-leading order Higgs impact factor at physical top mass: The real corrections. J. High Energy Phys. 2024, 2024, 61. [Google Scholar] [CrossRef]
- Celiberto, F.G.; Rose, L.D.; Gatto, G.; Papa, A.; Fucilla, M. The Real Corrections to the Higgs Impact Factor at Next-to-leading Order with Finite Top Mass. Acta Phys. Polon. Supp. 2025, 18, 1-A37. [Google Scholar] [CrossRef]
- Duca, V.D.; Falcioni, G. The two-loop Higgs impact factor. J. High Energy Phys. 2025, 2025, 18. [Google Scholar] [CrossRef]
- Hentschinski, M.; Salas, C. Forward Drell-Yan plus backward jet as a test of BFKL evolution. In Proceedings of the 20th International Workshop on Deep-Inelastic Scattering and Related Subjects, Bonn, Germany, 26–30 March 2012. [Google Scholar] [CrossRef]
- Motyka, L.; Sadzikowski, M.; Stebel, T. Twist expansion of Drell-Yan structure functions in color dipole approach. J. High Energy Phys. 2015, 2015, 87. [Google Scholar] [CrossRef]
- Celiberto, F.G.; Ivanov, D.Y.; Murdaca, B.; Papa, A. High-energy resummation in heavy-quark pair photoproduction. Phys. Lett. B 2018, 777, 141–150. [Google Scholar] [CrossRef]
- Bolognino, A.D.; Celiberto, F.G.; Fucilla, M.; Ivanov, D.Y.; Murdaca, B.; Papa, A. Inclusive production of two rapidity-separated heavy quarks as a probe of BFKL dynamics. In Proceedings of the XXVII International Workshop on Deep-Inelastic Scattering and Related Subjects (DIS2019), Torino, Italy, 8–12 April 2019; p. 67. [Google Scholar] [CrossRef]
- Bolognino, A.D.; Celiberto, F.G.; Fucilla, M.; Ivanov, D.Y.; Papa, A. High-energy resummation in heavy-quark pair hadroproduction. Eur. Phys. J. C 2019, 79, 939. [Google Scholar] [CrossRef]
- Boussarie, R.; Ducloué, B.; Szymanowski, L.; Wallon, S. Forward J/ψ and very backward jet inclusive production at the LHC. Phys. Rev. D 2018, 97, 014008. [Google Scholar] [CrossRef]
- Boussarie, R.; Ducloué, B.; Szymanowski, L.; Wallon, S. Production of a forward J/psi and a backward jet at the LHC. In Proceedings of the International Conference on the Structure and Interactions of the Photon and 21st International Workshop on Photon-Photon Collisions and International Workshop on High Energy Photon Linear Colliders, Novosibirsk, Russia, 15–19 June 2015. [Google Scholar] [CrossRef]
- Boussarie, R.; Ducloue, B.; Szymanowski, L.; Wallon, S. Production of a forward J/ψ and a backward jet at the LHC. In Proceedings of the XXIV International Workshop on Deep-Inelastic Scattering and Related Subjects (DIS2016), Hamburg, Germany, 11–15 April 2016; p. 204. [Google Scholar] [CrossRef]
- Boussarie, R.; Ducloué, B.; Szymanowski, L.; Wallon, S. QCD resummation effects in forward J/ψ and very backward jet inclusive production at the LHC. In Proceedings of the XXV International Workshop on Deep-Inelastic Scattering and Related Subjects (DIS2017), Birmingham, UK, 3–7 April 2017; p. 63. [Google Scholar] [CrossRef]
- Mueller, A.H.; Navelet, H. An Inclusive Minijet Cross-Section and the Bare Pomeron in QCD. Nucl. Phys. B 1987, 282, 727–744. [Google Scholar] [CrossRef]
- Colferai, D.; Schwennsen, F.; Szymanowski, L.; Wallon, S. Mueller Navelet jets at LHC - Complete NLL BFKL calculation. J. High Energy Phys. 2010, 2010, 26. [Google Scholar] [CrossRef]
- Ducloué, B.; Szymanowski, L.; Wallon, S. Confronting Mueller-Navelet jets in NLL BFKL with LHC experiments at 7 TeV. J. High Energy Phys. 2013, 2013, 096. [Google Scholar] [CrossRef]
- Caporale, F.; Murdaca, B.; Vera, A.S.; Salas, C. Scale choice and collinear contributions to Mueller-Navelet jets at LHC energies. Nucl. Phys. B 2013, 875, 134–151. [Google Scholar] [CrossRef]
- Caporale, F.; Ivanov, D.Y.; Murdaca, B.; Papa, A. Brodsky-Lepage-Mackenzie optimal renormalization scale setting for semihard processes. Phys. Rev. D 2015, 91, 114009. [Google Scholar] [CrossRef]
- Celiberto, F.G.; Ivanov, D.Y.; Murdaca, B.; Papa, A. Mueller–Navelet Jets at LHC: BFKL Versus High-Energy DGLAP. Eur. Phys. J. C 2015, 75, 292. [Google Scholar] [CrossRef]
- Celiberto, F.G.; Ivanov, D.Y.; Murdaca, B.; Papa, A. Mueller–Navelet Jets at the LHC: Discriminating BFKL from DGLAP by Asymmetric Cuts. Acta Phys. Polon. Supp. 2015, 8, 935. [Google Scholar] [CrossRef]
- Celiberto, F.G.; Ivanov, D.Y.; Murdaca, B.; Papa, A. Mueller–Navelet jets at 13 TeV LHC: Dependence on dynamic constraints in the central rapidity region. Eur. Phys. J. C 2016, 76, 224. [Google Scholar] [CrossRef]
- Celiberto, F.G.; Ivanov, D.Y.; Murdaca, B.; Papa, A. BFKL effects and central rapidity dependence in Mueller-Navelet jet production at 13 TeV LHC. In Proceedings of the XXIV International Workshop on Deep-Inelastic Scattering and Related Subjects (DIS2016), Hamburg, Germany, 11–15 April 2016; p. 176. [Google Scholar] [CrossRef]
- Caporale, F.; Celiberto, F.G.; Chachamis, G.; Gómez, D.G.; Vera, A.S. Inclusive dijet hadroproduction with a rapidity veto constraint. Nucl. Phys. B 2018, 935, 412–434. [Google Scholar] [CrossRef]
- de León, N.B.; Chachamis, G.; Vera, A.S. Multiperipheral final states in crowded twin-jet events at the LHC. Nucl. Phys. B 2021, 971, 115518. [Google Scholar] [CrossRef]
- de León, N.B.; Chachamis, G.; Vera, A.S. Average minijet rapidity ratios in Mueller–Navelet jets. Eur. Phys. J. C 2021, 81, 1019. [Google Scholar] [CrossRef]
- Celiberto, F.G.; Papa, A. Mueller-Navelet jets at the LHC: Hunting data with azimuthal distributions. Phys. Rev. D 2022, 106, 114004. [Google Scholar] [CrossRef]
- Egorov, A.I.; Kim, V.T. Next-to-leading BFKL evolution for dijets with large rapidity separation at different LHC energies. Phys. Rev. D 2023, 108, 014010. [Google Scholar] [CrossRef]
- Egorov, A.I.; Kim, V.T.; Murzin, V.A.; Oreshkin, V.A. Dijets with large rapidity separation at the next-to-leading BFKL for search of large extra dimension gravity at colliders. arXiv 2025, arXiv:2510.24625. [Google Scholar]
- Baldenegro, C.; Chachamis, G.; Kampshoff, M.; Klasen, M.; Milhano, G.J.; Royon, C.; Vera, A.S. Multijet event shape variables for Mueller-Navelet jet topologies. Phys. Rev. D 2024, 110, 114027. [Google Scholar] [CrossRef]
- Celiberto, F.G.; Ivanov, D.Y.; Murdaca, B.; Papa, A. High energy resummation in dihadron production at the LHC. Phys. Rev. D 2016, 94, 034013. [Google Scholar] [CrossRef]
- Celiberto, F.G.; Ivanov, D.Y.; Murdaca, B.; Papa, A. Dihadron Production at LHC: BFKL Predictions for Cross Sections and Azimuthal Correlations. AIP Conf. Proc. 2017, 1819, 060005. [Google Scholar] [CrossRef]
- Celiberto, F.G.; Ivanov, D.Y.; Murdaca, B.; Papa, A. Dihadron production at the LHC: Full next-to-leading BFKL calculation. Eur. Phys. J. C 2017, 77, 382. [Google Scholar] [CrossRef]
- Celiberto, F.G.; Ivanov, D.Y.; Murdaca, B.; Papa, A. Inclusive charged light di-hadron production at 7 and 13 TeV LHC in the full NLA BFKL approach. In Proceedings of the 25th Low-x Meeting, Bari, Italy, 13–17 June 2017. [Google Scholar]
- Celiberto, F.G.; Ivanov, D.Y.; Murdaca, B.; Papa, A. Inclusive dihadron production at the LHC in NLA BFKL. In Proceedings of the 17th conference on Elastic and Diffractive Scattering, Prague, Czech Republic, 26–30 June 2017. [Google Scholar]
- Caporale, F.; Chachamis, G.; Murdaca, B.; Vera, A.S. Balitsky-Fadin-Kuraev-Lipatov Predictions for Inclusive Three Jet Production at the LHC. Phys. Rev. Lett. 2016, 116, 012001. [Google Scholar] [CrossRef]
- Caporale, F.; Celiberto, F.G.; Chachamis, G.; Vera, A.S. Multi-Regge kinematics and azimuthal angle observables for inclusive four-jet production. Eur. Phys. J. C 2016, 76, 165. [Google Scholar] [CrossRef]
- Caporale, F.; Celiberto, F.G.; Chachamis, G.; Gómez, D.G.; Vera, A.S. BFKL azimuthal imprints in inclusive three-jet production at 7 and 13 TeV. Nucl. Phys. B 2016, 910, 374–386. [Google Scholar] [CrossRef]
- Caporale, F.; Celiberto, F.G.; Chachamis, G.; Vera, A.S. Inclusive four-jet production: A study of Multi-Regge kinematics and BFKL observables. In Proceedings of the XXIV International Workshop on Deep-Inelastic Scattering and Related Subjects (DIS2016), Hamburg, Germany, 11–15 April 2016; p. 177. [Google Scholar] [CrossRef]
- Caporale, F.; Celiberto, F.G.; Chachamis, G.; Gómez, D.G.; Vera, A.S. Inclusive Four-jet Production at 7 and 13 TeV: Azimuthal Profile in Multi-Regge Kinematics. Eur. Phys. J. C 2017, 77, 5. [Google Scholar] [CrossRef]
- Celiberto, F.G. BFKL phenomenology: Resummation of high-energy logs in semi-hard processes at LHC. Frascati. Phys. Ser. 2016, 63, 43–48. [Google Scholar]
- Caporale, F.; Celiberto, F.G.; Chachamis, G.; Gómez, D.G.; Vera, A.S. Inclusive three- and four-jet production in multi-Regge kinematics at the LHC. AIP Conf. Proc. 2017, 1819, 060009. [Google Scholar] [CrossRef]
- Caporale, F.; Celiberto, F.G.; Chachamis, G.; Gomez, D.G.; Murdaca, B.; Vera, A.S. High energy effects in multi-jet production at LHC. In Proceedings of the 24th Low-x Meeting, Gyöngÿos, Hungary, 6–11 June 2016; Volume 5, p. 47. [Google Scholar] [CrossRef]
- Chachamis, G.; Caporale, F.; Celiberto, F.; Gordo, D.G.; Vera, A.S. Inclusive three jet production at the LHC for 7 and 13 TeV collision energies. In Proceedings of the XXIV International Workshop on Deep-Inelastic Scattering and Related Subjects (DIS2016), Hamburg, Germany, 11–15 April 2016; p. 178. [Google Scholar] [CrossRef]
- Caporale, F.; Celiberto, F.G.; Chachamis, G.; Gómez, D.G.; Vera, A.S. Probing the BFKL dynamics in inclusive three jet production at the LHC. EPJ Web Conf. 2017, 164, 07027. [Google Scholar] [CrossRef]
- Caporale, F.; Celiberto, F.G.; Chachamis, G.; Gómez, D.G.; Vera, A.S. Stability of Azimuthal-angle Observables under Higher Order Corrections in Inclusive Three-jet Production. Phys. Rev. D 2017, 95, 074007. [Google Scholar] [CrossRef]
- Caporale, F.; Celiberto, F.G.; Gomez, D.G.; Vera, A.S.; Chachamis, G. Multi-jet production in the high energy limit at LHC. In Proceedings of the 25th Low-x Meeting, Bari, Italy, 13–17 June 2017. [Google Scholar] [CrossRef]
- Chachamis, G.; Caporale, F.; Celiberto, F.G.; Gomez, D.G.; Vera, A.S. Azimuthal-angle Observables in Inclusive Three-jet Production. In Proceedings of the XXV International Workshop on Deep-Inelastic Scattering and Related Subjects (DIS2017), Birmingham, UK, 3–7 April 2017; p. 67. [Google Scholar] [CrossRef]
- Bolognino, A.D.; Celiberto, F.G.; Ivanov, D.Y.; Mohammed, M.M.A.; Papa, A. Hadron-jet correlations in high-energy hadronic collisions at the LHC. Eur. Phys. J. C 2018, 78, 772. [Google Scholar] [CrossRef]
- Bolognino, A.D.; Celiberto, F.G.; Ivanov, D.Y.; Mohammed, M.M.A.; Papa, A. High-energy effects in forward inclusive dijet and hadron-jet production. In Proceedings of the XXVII International Workshop on Deep-Inelastic Scattering and Related Subjects (DIS2019), Torino, Italy, 8–12 April 2019; p. 49. [Google Scholar] [CrossRef]
- Bolognino, A.D.; Celiberto, F.G.; Ivanov, D.Y.; Mohammed, M.M.A.; Papa, A. Inclusive hadron-jet production at the LHC. Acta Phys. Polon. Supp. 2019, 12, 773. [Google Scholar] [CrossRef]
- Celiberto, F.G.; Ivanov, D.Y.; Papa, A. Diffractive production of Λ hyperons in the high-energy limit of strong interactions. Phys. Rev. D 2020, 102, 094019. [Google Scholar] [CrossRef]
- Celiberto, F.G. Emergence of high-energy dynamics from cascade-baryon detections at the LHC. Eur. Phys. J. C 2023, 83, 332. [Google Scholar] [CrossRef]
- Celiberto, F.G.; Ivanov, D.Y.; Mohammed, M.M.A.; Papa, A. High-energy resummed distributions for the inclusive Higgs-plus-jet production at the LHC. Eur. Phys. J. C 2021, 81, 293. [Google Scholar] [CrossRef]
- Celiberto, F.G.; Ivanov, D.Y.; Mohammed, M.M.A.; Papa, A. High-energy resummation in inclusive hadroproduction of Higgs plus jet. SciPost Phys. Proc. 2022, 8, 39. [Google Scholar] [CrossRef]
- Celiberto, F.G.; Fucilla, M.; Papa, A.; Ivanov, D.Y.; Mohammed, M.M.A. Higgs-plus-jet inclusive production as stabilizer of the high-energy resummation. In Proceedings of the The European Physical Society Conference on High Energy Physics (EPS-HEP2021), Online, 26–30 July 2021; p. 589. [Google Scholar] [CrossRef]
- Celiberto, F.G.; Fucilla, M.; Ivanov, D.Y.; Mohammed, M.M.A.; Papa, A. Higgs boson production in the high-energy limit of pQCD. In Proceedings of the Particles and Nuclei International Conference 2021 (PANIC2021), Online, 5–10 September 2021; p. 352. [Google Scholar] [CrossRef]
- Celiberto, F.G.; Fucilla, M.; Ivanov, D.Y.; Mohammed, M.M.A.; Papa, A. BFKL phenomenology: Resummation of high-energy logs in inclusive processes. SciPost Phys. Proc. 2022, 10, 2. [Google Scholar] [CrossRef]
- Bolognino, A.D.; Celiberto, F.G.; Fucilla, M.; Ivanov, D.Y.; Papa, A. Inclusive production of a heavy-light dijet system in hybrid high-energy and collinear factorization. Phys. Rev. D 2021, 103, 094004. [Google Scholar] [CrossRef]
- Bolognino, A.D.; Celiberto, F.G.; Fucilla, M.; Ivanov, D.Y.; Papa, A. Hybrid high-energy/collinear factorization in a heavy-light dijets system reaction. SciPost Phys. Proc. 2022, 8, 068. [Google Scholar] [CrossRef]
- Bolognino, A.D.; Celiberto, F.G.; Fucilla, M.; Ivanov, D.Y.; Papa, A. Heavy flavored emissions in hybrid collinear/high energy factorization. In Proceedings of the The European Physical Society Conference on High Energy Physics (EPS-HEP2021), Online, 26–30 July 2021; p. 389. [Google Scholar] [CrossRef]
- Celiberto, F.G. Stabilizing BFKL via Heavy-flavor and NRQCD Fragmentation. Acta Phys. Polon. Supp. 2023, 16, 41. [Google Scholar] [CrossRef]
- Bolognino, A.D.; Celiberto, F.G.; Fucilla, M.; Ivanov, D.Y.; Mohammed, M.M.A.; Papa, A. High-energy Signals from Heavy-flavor Physics. Acta Phys. Polon. Supp. 2023, 16, 17. [Google Scholar] [CrossRef]
- Celiberto, F.G.; Fucilla, M.; Papa, A. The high-energy limit of perturbative QCD: Theory and phenomenology. EPJ Web Conf. 2022, 270, 1. [Google Scholar] [CrossRef]
- Celiberto, F.G.; Fucilla, M.; Mohammed, M.M.A.; Papa, A. Ultraforward production of a charmed hadron plus a Higgs boson in unpolarized proton collisions. Phys. Rev. D 2022, 105, 114056. [Google Scholar] [CrossRef]
- Celiberto, F.G.; Fucilla, M. Inclusive J/ψ and Υ emissions from single-parton fragmentation in hybrid high-energy and collinear factorization. In Proceedings of the 29th International Workshop on Deep-Inelastic Scattering and Related Subjects, Santiago de Compostela, Spain, 2–6 May 2022. [Google Scholar] [CrossRef]
- Anikin, I.; Ivanov, D.Y.; Pire, B.; Szymanowski, L.; Wallon, S. QCD factorization of exclusive processes beyond leading twist: γT★→ρT impact factor with twist three accuracy. Nucl. Phys. B 2010, 828, 1–68. [Google Scholar] [CrossRef]
- Anikin, I.; Besse, A.; Ivanov, D.Y.; Pire, B.; Szymanowski, L.; Wallon, S. A phenomenological study of helicity amplitudes of high energy exclusive leptoproduction of the rho meson. Phys. Rev. D 2011, 84, 54004. [Google Scholar] [CrossRef]
- Besse, A.; Szymanowski, L.; Wallon, S. Saturation effects in exclusive rhoT, rhoL meson electroproduction. J. High Energy Phys. 2013, 2013, 62. [Google Scholar] [CrossRef]
- Bolognino, A.D.; Celiberto, F.G.; Ivanov, D.Y.; Papa, A. Unintegrated gluon distribution from forward polarized ρ-electroproduction. Eur. Phys. J. C 2018, 78, 1023. [Google Scholar] [CrossRef]
- Bolognino, A.D.; Celiberto, F.G.; Ivanov, D.Y.; Papa, A. ρ-meson leptoproduction as testfield for the unintegrated gluon distribution in the proton. Frascati Phys. Ser. 2018, 67, 76–82. [Google Scholar]
- Bolognino, A.D.; Celiberto, F.G.; Ivanov, D.Y.; Papa, A. Leptoproduction of ρ-mesons as discriminator for the unintegrated gluon distribution in the proton. Acta Phys. Polon. Supp. 2019, 12, 891. [Google Scholar] [CrossRef]
- Bolognino, A.D.; Szczurek, A.; Schaefer, W. Exclusive production of ϕ meson in the γ*p→ϕp reaction at large photon virtualities within kT-factorization approach. Phys. Rev. D 2020, 101, 054041. [Google Scholar] [CrossRef]
- Celiberto, F.G. Unraveling the Unintegrated Gluon Distribution in the Proton via ρ-Meson Leptoproduction. Nuovo Cim. C 2019, 42, 220. [Google Scholar] [CrossRef]
- Łuszczak, A.; Łuszczak, M.; Schäfer, W. Unintegrated gluon distributions from the color dipole cross section in the BGK saturation model. Phys. Lett. B 2022, 835, 137582. [Google Scholar] [CrossRef]
- Bolognino, A.D.; Celiberto, F.G.; Ivanov, D.Y.; Papa, A.; Schäfer, W.; Szczurek, A. Exclusive production of ρ-mesons in high-energy factorization at HERA and EIC. Eur. Phys. J. C 2021, 81, 846. [Google Scholar] [CrossRef]
- Bolognino, A.D.; Celiberto, F.G.; Ivanov, D.Y.; Papa, A. Exclusive emissions of rho-mesons and the unintegrated gluon distribution. SciPost Phys. Proc. 2022, 8, 89. [Google Scholar] [CrossRef]
- Bolognino, A.D.; Celiberto, F.G.; Fucilla, M.; Ivanov, D.Y.; Papa, A.; Schäfer, W.; Szczurek, A. Hadron structure at small-x via unintegrated gluon densities. Rev. Mex. Fis. Suppl. 2022, 3, 0308109. [Google Scholar] [CrossRef]
- Celiberto, F.G. Phenomenology of the hadronic structure at small-x. arXiv 2022, arXiv:2202.04207. [Google Scholar]
- Bolognino, A.D.; Celiberto, F.G.; Ivanov, D.Y.; Papa, A.; Schäfer, W.; Szczurek, A. Exclusive emissions of polarized ρ mesons at the EIC and the proton content at low x. In Proceedings of the 29th International Workshop on Deep-Inelastic Scattering and Related Subjects, Santiago de Compostela, Spain, 2–6 May 2022. [Google Scholar] [CrossRef]
- Bautista, I.; Tellez, A.F.; Hentschinski, M. BFKL evolution and the growth with energy of exclusive J/ψ and Υ photoproduction cross sections. Phys. Rev. D 2016, 94, 054002. [Google Scholar] [CrossRef]
- Garcia, A.A.; Hentschinski, M.; Kutak, K. QCD evolution based evidence for the onset of gluon saturation in exclusive photo-production of vector mesons. Phys. Lett. B 2019, 795, 569–575. [Google Scholar] [CrossRef]
- Hentschinski, M.; Molina, E.P. Exclusive J/Ψ and Ψ(2s) photo-production as a probe of QCD low x evolution equations. Phys. Rev. D 2021, 103, 074008. [Google Scholar] [CrossRef]
- Peredo, M.A.; Hentschinski, M. Ratio of J/Ψ and Ψ(2s) exclusive photoproduction cross-sections as an indicator for the presence of non-linear QCD evolution. Phys. Rev. D 2024, 109, 014032. [Google Scholar] [CrossRef]
- Hentschinski, M.; Ramírez, R.R. The energy dependence of exclusive heavy vector meson photoproduction cross-sections and NLO BFKL evolution. arXiv 2025, arXiv:2508.11545. [Google Scholar] [CrossRef]
- Brzeminski, D.; Motyka, L.; Sadzikowski, M.; Stebel, T. Twist decomposition of Drell-Yan structure functions: Phenomenological implications. J. High Energy Phys. 2017, 2017, 5. [Google Scholar] [CrossRef]
- Motyka, L.; Sadzikowski, M.; Stebel, T. Lam-Tung relation breaking in Z0 hadroproduction as a probe of parton transverse momentum. Phys. Rev. D 2017, 95, 114025. [Google Scholar] [CrossRef]
- Celiberto, F.G.; Gómez, D.G.; Vera, A.S. Forward Drell-Yan production at the LHC in the BFKL formalism with collinear corrections. Phys. Lett. B 2018, 786, 201–206. [Google Scholar] [CrossRef]
- Chachamis, G.; Deak, M.; Hentschinski, M.; Rodrigo, G.; Vera, A.S. Single bottom quark production in k⊥-factorisation. J. High Energy Phys. 2015, 2015, 123. [Google Scholar] [CrossRef]
- Chachamis, G.; Deak, M.; Rodrigo, G. Heavy quark impact factor in kT-factorization. J. High Energy Phys. 2013, 2013, 066. [Google Scholar] [CrossRef]
- Chachamis, G.; Hentschinski, M.; Vera, A.S.; Salas, C. Exclusive central production of heavy quarks at the LHC. arXiv 2009, arXiv:0911.2662. [Google Scholar] [CrossRef]
- Ball, R.D.; Bertone, V.; Bonvini, M.; Marzani, S.; Rojo, J.; Rottoli, L. Parton distributions with small-x resummation: Evidence for BFKL dynamics in HERA data. Eur. Phys. J. C 2018, 78, 321. [Google Scholar] [CrossRef]
- Abdolmaleki, H.; Bertone, V.; Britzger, D.; Camarda, S.; Cooper-Sarkar, A.; Giuli, F.; Glazov, A.; Kusina, A.; Luszczak, A.; Olness, F.; et al. Impact of low-x resummation on QCD analysis of HERA data. Eur. Phys. J. C 2018, 78, 621. [Google Scholar] [CrossRef]
- Bonvini, M.; Giuli, F. A new simple PDF parametrization: Improved description of the HERA data. Eur. Phys. J. Plus 2019, 134, 531. [Google Scholar] [CrossRef]
- Silvetti, F.; Bonvini, M. Differential heavy quark pair production at small x. Eur. Phys. J. C 2023, 83, 267. [Google Scholar] [CrossRef]
- Silvetti, F. Resummation Phenomenology and PDF Determination for Precision QCD at the LHC. Ph.D. Thesis, Sapienza Università di Roma, Roma, Italy, 2023. [Google Scholar] [CrossRef]
- Rinaudo, A. Towards the resummation of high-energy next-to-leading logarithms in QCD. Ph.D. Thesis, University of Genoa, Genova, Italy, 2024. [Google Scholar] [CrossRef]
- Celiberto, F.G.; Bonvini, M. Towards Precision Gluon Densities at Small x: From Resummation to Collider Observables. In Proceedings of the 2025 European Physical Society Conference on High Energy Physics, Marseille, France, 7–11 July 2025. [Google Scholar] [CrossRef]
- Bacchetta, A.; Celiberto, F.G.; Radici, M.; Taels, P. Transverse-momentum-dependent gluon distribution functions in a spectator model. Eur. Phys. J. C 2020, 80, 733. [Google Scholar] [CrossRef]
- Celiberto, F.G. 3D tomography of the nucleon: Transverse-momentum-dependent gluon distributions. Nuovo Cim. C 2021, 44, 36. [Google Scholar] [CrossRef]
- Bacchetta, A.; Celiberto, F.G.; Radici, M.; Taels, P. A spectator-model way to transverse-momentum-dependent gluon distribution functions. SciPost Phys. Proc. 2022, 8, 40. [Google Scholar] [CrossRef]
- Bacchetta, A.; Celiberto, F.G.; Radici, M. Toward twist-2 T-odd transverse-momentum-dependent gluon distributions: The f-type Sivers function. In Proceedings of the The European Physical Society Conference on High Energy Physics (EPS-HEP2021), Online, 26–30 July 2021; p. 376. [Google Scholar] [CrossRef]
- Bacchetta, A.; Celiberto, F.G.; Radici, M. Toward twist-2 T-odd transverse-momentum-dependent gluon distributions: The f-type linearity function. In Proceedings of the Particles and Nuclei International Conference 2021 (PANIC2021), Online, 5–10 September, 2021; p. 378. [Google Scholar] [CrossRef]
- Bacchetta, A.; Celiberto, F.G.; Radici, M. Towards Leading-twist T-odd TMD Gluon Distributions. JPS Conf. Proc. 2022, 37, 020124. [Google Scholar] [CrossRef]
- Bacchetta, A.; Celiberto, F.G.; Radici, M. Unveiling the proton structure via transverse-momentum-dependent gluon distributions. Rev. Mex. Fis. Suppl. 2022, 3, 0308108. [Google Scholar] [CrossRef]
- Bacchetta, A.; Celiberto, F.G.; Radici, M.; Signori, A. Phenomenology of gluon TMDs from ηb,c production. In Proceedings of the 29th International Workshop on Deep-Inelastic Scattering and Related Subjects, Santiago de Compostela, Spain, 2–6 May 2022. [Google Scholar] [CrossRef]
- Celiberto, F.G. A Journey into the Proton Structure: Progresses and Challenges. Universe 2022, 8, 661. [Google Scholar] [CrossRef]
- Bacchetta, A.; Celiberto, F.G.; Radici, M. Spectator-model studies for spin-dependent gluon TMD PDFs at the LHC and EIC. In Proceedings of the European Physical Society Conference on High Energy Physics (EPS-HEP2023), Hamburg, Germany, 21–25 August 2023; p. 247. [Google Scholar] [CrossRef]
- Bacchetta, A.; Celiberto, F.G.; Radici, M. T-odd gluon distribution functions in a spectator model. Eur. Phys. J. C 2024, 84, 576. [Google Scholar] [CrossRef]
- Bacchetta, A.; Celiberto, F.G.; Radici, M. Proton 3D reconstruction with T-odd TMD gluon densities. In Proceedings of the 25th International Symposium on Spin Physics (SPIN2023), Durham, NC, USA, 24–29 September 2023; p. 49. [Google Scholar] [CrossRef]
- Hentschinski, M. Transverse momentum dependent gluon distribution within high energy factorization at next-to-leading order. Phys. Rev. D 2021, 104, 054014. [Google Scholar] [CrossRef]
- Mukherjee, S.; Skokov, V.V.; Tarasov, A.; Tiwari, S. Unified description of DGLAP, CSS, and BFKL evolution: TMD factorization bridging large and small x. Phys. Rev. D 2024, 109, 034035. [Google Scholar] [CrossRef]
- Boroun, G.R. Dipole cross section from the unintegrated gluon distribution at small x. Phys. Rev. D 2023, 108, 034025. [Google Scholar] [CrossRef]
- Boroun, G.R. The unintegrated gluon distribution from the GBW and BGK models. Eur. Phys. J. A 2024, 60, 48. [Google Scholar] [CrossRef]
- Bonvini, M.; Marzani, S. Double resummation for Higgs production. Phys. Rev. Lett. 2018, 120, 202003. [Google Scholar] [CrossRef]
- Ball, R.D.; Forte, S. Summation of leading logarithms at small x. Phys. Lett. B 1995, 351, 313–324. [Google Scholar] [CrossRef]
- Ball, R.D.; Forte, S. Asymptotically free partons at high-energy. Phys. Lett. B 1997, 405, 317–326. [Google Scholar] [CrossRef]
- Altarelli, G.; Ball, R.D.; Forte, S. Factorization and resummation of small x scaling violations with running coupling. Nucl. Phys. B 2002, 621, 359–387. [Google Scholar] [CrossRef]
- Altarelli, G.; Ball, R.D.; Forte, S. An Anomalous dimension for small x evolution. Nucl. Phys. B 2003, 674, 459–483. [Google Scholar] [CrossRef]
- Altarelli, G.; Ball, R.D.; Forte, S. Perturbatively stable resummed small x evolution kernels. Nucl. Phys. B 2006, 742, 1–40. [Google Scholar] [CrossRef]
- Altarelli, G.; Ball, R.D.; Forte, S. Small x Resummation with Quarks: Deep-Inelastic Scattering. Nucl. Phys. B 2008, 799, 199–240. [Google Scholar] [CrossRef]
- White, C.; Thorne, R. A Global Fit to Scattering Data with NLL BFKL Resummations. Phys. Rev. D 2007, 75, 034005. [Google Scholar] [CrossRef]
- Catani, S.; Ciafaloni, M.; Hautmann, F. GLUON CONTRIBUTIONS TO SMALL x HEAVY FLAVOR PRODUCTION. Phys. Lett. B 1990, 242, 97–102. [Google Scholar] [CrossRef]
- Catani, S.; Ciafaloni, M.; Hautmann, F. High-energy factorization and small x heavy flavor production. Nucl. Phys. B 1991, 366, 135–188. [Google Scholar] [CrossRef]
- Collins, J.C.; Ellis, R. Heavy quark production in very high-energy hadron collisions. Nucl. Phys. B 1991, 360, 3–30. [Google Scholar] [CrossRef]
- Catani, S.; Ciafaloni, M.; Hautmann, F. High-energy factorization in QCD and minimal subtraction scheme. Phys. Lett. B 1993, 307, 147–153. [Google Scholar] [CrossRef]
- Catani, S.; Hautmann, F. Quark anomalous dimensions at small x. Phys. Lett. B 1993, 315, 157–163. [Google Scholar] [CrossRef]
- Catani, S.; Hautmann, F. High-energy factorization and small x deep inelastic scattering beyond leading order. Nucl. Phys. B 1994, 427, 475–524. [Google Scholar] [CrossRef]
- Ball, R.D. Resummation of Hadroproduction Cross-sections at High Energy. Nucl. Phys. B 2008, 796, 137–183. [Google Scholar] [CrossRef]
- Caola, F.; Forte, S.; Marzani, S. Small x resummation of rapidity distributions: The Case of Higgs production. Nucl. Phys. B 2011, 846, 167–211. [Google Scholar] [CrossRef]
- Brodsky, S.J.; Hautmann, F.; Soper, D.E. Probing the QCD pomeron in e+ e- collisions. Phys. Rev. Lett. 1997, 78, 803–806, Erratum in Phys. Rev. Lett. 1997, 79, 3544. https://doi.org/10.1103/PhysRevLett.78.803. [Google Scholar] [CrossRef]
- Brodsky, S.J.; Hautmann, F.; Soper, D.E. Virtual photon scattering at high-energies as a probe of the short distance pomeron. Phys. Rev. D 1997, 56, 6957–6979. [Google Scholar] [CrossRef]
- Brodsky, S.J.; Fadin, V.S.; Kim, V.T.; Lipatov, L.N.; Pivovarov, G.B. The QCD pomeron with optimal renormalization. JETP Lett. 1999, 70, 155–160. [Google Scholar] [CrossRef]
- Brodsky, S.J.; Fadin, V.S.; Kim, V.T.; Lipatov, L.N.; Pivovarov, G.B. High-energy QCD asymptotics of photon-photon collisions. JETP Lett. 2002, 76, 249–252. [Google Scholar] [CrossRef]
- Celiberto, F.G.; Papa, A. The high-energy QCD dynamics from Higgs-plus-jet correlations at the FCC. arXiv 2023, arXiv:2305.00962. [Google Scholar]
- Celiberto, F.G.; Rose, L.D.; Fucilla, M.; Gatto, G.; Papa, A. High-energy resummed Higgs-plus-jet distributions at NLL/NLO* with Powheg+Jethad. In Proceedings of the 57th Rencontres de Moriond on QCD and High Energy Interactions, La Thuile, Italy, 25 March–1 April 2023. [Google Scholar] [CrossRef]
- Celiberto, F.G.; Rose, L.D.; Fucilla, M.; Gatto, G.; Papa, A. NLL/NLO- studies on Higgs-plus-jet production with POWHEG+JETHAD. In Proceedings of the 16th International Symposium on Radiative Corrections: Applications of Quantum Field Theory to Phenomenology (RADCOR2023), Crieff, UK, 28 May June 2023; p. 69. [Google Scholar] [CrossRef]
- Celiberto, F.G.; Rose, L.D.; Fucilla, M.; Gatto, G.; Papa, A. Towards high-energy Higgs+jet distributions at NLL matched to NLO. In Proceedings of the European Physical Society Conference on High Energy Physics (EPS-HEP2023), Hamburg, Germany, 21–25 August 2023; p. 390. [Google Scholar] [CrossRef]
- Celiberto, F.G.; Fucilla, M.; Ivanov, D.Y.; Mohammed, M.M.A.; Papa, A. Higgs boson production at next-to-leading logarithmic accuracy. In Proceedings of the 57th Rencontres de Moriond on QCD and High Energy Interactions, La Thuile, Italy, 25 March–1 April 2023. [Google Scholar] [CrossRef]
- Celiberto, F.G.; Fucilla, M.; Mohammed, M.M.A.; Ivanov, D.Y.; Papa, A. High-energy resummation in Higgs production at the next-to-leading order. In Proceedings of the 16th International Symposium on Radiative Corrections: Applications of Quantum Field Theory to Phenomenology (RADCOR2023), Crieff, UK, 28 May June 2023; p. 91. [Google Scholar] [CrossRef]
- Celiberto, F.G.; Rose, L.D.; Fucilla, M.; Gatto, G.; Papa, A. Towards Higgs and Z boson plus jet distributions at NLL/NLO+. In Proceedings of the 31st International Workshop on Deep Inelastic Scattering (DIS2024), Grenoble, France, 8–12 April 2024; p. 126. [Google Scholar] [CrossRef]
- Celiberto, F.G.; Rose, L.D.; Fucilla, M.; Gatto, G.; Ivanov, D.Y.; Mohammed, M.M.A.; Papa, A. Higgs production at NLL accuracy in the BFKL approach. In Proceedings of the 31st International Workshop on Deep Inelastic Scattering (DIS2024), Grenoble, France, 8–12 April 2024; p. 101. [Google Scholar] [CrossRef]
- Celiberto, F.G.; Rose, L.D.; Papa, A. Matching NLL to NLO in Higgs and Z plus jet at the LHC and FCC. In Proceedings of the 2025 European Physical Society Conference on High Energy Physics, Marseille, France, 7–11 July 2025. [Google Scholar] [CrossRef]
- Celiberto, F.G.; Giannini, A.V.; Gonçalves, V.P.; Lima, Y.N. Fully charmed tetraquark production in forward rapidity pp collisions at LHC and FCC energies. arXiv 2025, arXiv:2511.18984. [Google Scholar] [CrossRef]
- Binosi, D.; Collins, J.; Kaufhold, C.; Theussl, L. JaxoDraw: A Graphical user interface for drawing Feynman diagrams. Version 2.0 release notes. Comput. Phys. Commun. 2009, 180, 1709–1715. [Google Scholar] [CrossRef]
- Bardeen, W.A.; Buras, A.J.; Duke, D.W.; Muta, T. Deep-inelastic scattering beyond the leading order in asymptotically free gauge theories. Phys. Rev. D 1978, 18, 3998–4017. [Google Scholar] [CrossRef]
- Kotikov, A.V.; Lipatov, L.N. NLO corrections to the BFKL equation in QCD and in supersymmetric gauge theories. Nucl. Phys. B 2000, 582, 19–43. [Google Scholar] [CrossRef]
- Kotikov, A.V.; Lipatov, L.N. DGLAP and BFKL equations in the N = 4 supersymmetric gauge theory. Nucl. Phys. B 2003, 661, 19–61, Erratum in Nucl. Phys. B 2004, 685, 405–40. https://doi.org/10.1016/S0550-3213(03)00264-5. [Google Scholar] [CrossRef]
- Chekanov, S.V. Jet algorithms: A Minireview. In Proceedings of the 14th Topical Conference on Hadron Collider Physics (HCP 2002), Karlsruhe Germany, 29 September–4 October 2002; pp. 478–486. [Google Scholar]
- Salam, G.P. Towards Jetography. Eur. Phys. J. C 2010, 67, 637–686. [Google Scholar] [CrossRef]
- Catani, S.; Dokshitzer, Y.L.; Seymour, M.H.; Webber, B.R. Longitudinally invariant Kt clustering algorithms for hadron hadron collisions. Nucl. Phys. B 1993, 406, 187–224. [Google Scholar] [CrossRef]
- Cacciari, M.; Salam, G.P.; Soyez, G. The anti-kt jet clustering algorithm. J. High Energy Phys. 2008, 2008, 63. [Google Scholar] [CrossRef]
- Furman, M. Study of a Nonleading {QCD} Correction to Hadron Calorimeter Reactions. Nucl. Phys. B 1982, 197, 413–445. [Google Scholar] [CrossRef]
- Aversa, F.; Chiappetta, P.; Greco, M.; Guillet, J.P. QCD Corrections to Parton-Parton Scattering Processes. Nucl. Phys. B 1989, 327, 105. [Google Scholar] [CrossRef]
- Ball, R.D. et al. [NNPDF Collaboration] An open-source machine learning framework for global analyses of parton distributions. Eur. Phys. J. C 2021, 81, 958. [Google Scholar] [CrossRef]
- Ball, R.D. et al. [NNPDF Collaboration] The path to proton structure at 1% accuracy. Eur. Phys. J. C 2022, 82, 428. [Google Scholar] [CrossRef]
- Forte, S.; Garrido, L.; Latorre, J.I.; Piccione, A. Neural network parametrization of deep inelastic structure functions. J. High Energy Phys. 2002, 2002, 62. [Google Scholar] [CrossRef]
- Bacchetta, A.; Delcarro, F.; Pisano, C.; Radici, M.; Signori, A. Extraction of partonic transverse momentum distributions from semi-inclusive deep-inelastic scattering, Drell-Yan and Z-boson production. J. High Energy Phys. 2017, 2017, 81, Erratum in J. High Energy Phys. 2019, 2019, 51. https://doi.org/10.1007/JHEP06(2017)081. [Google Scholar] [CrossRef]
- IScimemi; Vladimirov, A. Non-perturbative structure of semi-inclusive deep-inelastic and Drell-Yan scattering at small transverse momentum. J. High Energy Phys. 2020, 2020, 137. [Google Scholar] [CrossRef]
- Bacchetta, A.; Bertone, V.; Bissolotti, C.; Bozzi, G.; Delcarro, F.; Piacenza, F.; Radici, M. Transverse-momentum-dependent parton distributions up to N3LL from Drell-Yan data. J. High Energy Phys. 2020, 2020, 117. [Google Scholar] [CrossRef]
- Bacchetta, A.; Bertone, V.; Bissolotti, C.; Bozzi, G.; Cerutti, M.; Piacenza, F.; Radici, M.; Signori, A. Unpolarized transverse momentum distributions from a global fit of Drell-Yan and semi-inclusive deep-inelastic scattering data. J. High Energy Phys. 2022, 2022, 127. [Google Scholar] [CrossRef]
- Bury, M.; Hautmann, F.; Leal-Gomez, S.; Scimemi, I.; Vladimirov, A.; Zurita, P. PDF bias and flavor dependence in TMD distributions. J. High Energy Phys. 2022, 2022, 118. [Google Scholar] [CrossRef]
- Moos, V.; Scimemi, I.; Vladimirov, A.; Zurita, P. Extraction of unpolarized transverse momentum distributions from the fit of Drell-Yan data at N4LL. J. High Energy Phys. 2024, 2024, 36. [Google Scholar] [CrossRef]
- Ball, R.D.; Forte, S.; Stegeman, R. Correlation and combination of sets of parton distributions. Eur. Phys. J. C 2021, 81, 1046. [Google Scholar] [CrossRef]
- Chatrchyan, S. et al. [CMS Collaboration] Measurement of the Λb cross section and the Λ¯b to Λb ratio with J/ΨΛ decays in pp collisions at s=7 TeV. Phys. Lett. B 2012, 714, 136–157. [Google Scholar] [CrossRef]
- Khachatryan, V. et al. [CMS Collaboration] Azimuthal decorrelation of jets widely separated in rapidity in pp collisions at s=7 TeV. J. High Energy Phys. 2016, 2016, 139. [Google Scholar] [CrossRef]
- Khachatryan, V. et al. [CMS Collaboration] The very forward CASTOR calorimeter of the CMS experiment. J. Instrum. 2021, 16, P02010. [Google Scholar] [CrossRef]
- Marquet, C.; Royon, C. Azimuthal decorrelation of Mueller-Navelet jets at the Tevatron and the LHC. Phys. Rev. D 2009, 79, 034028. [Google Scholar] [CrossRef]
- Celiberto, F.G. TQ4Q1.1: HF-NRevo FFs for Scalar, Axial-Vector, and Tensor Fully Heavy T4Q(JPC) Tetraquarks. 2025. Available online: https://github.com/FGCeliberto/Collinear_FFs/ (accessed on 29 November 2025).
- Aaij, R. et al. [LHCb Collaboration] Measurement of J/ψ-pair production in pp collisions at s = 13 TeV and study of gluon transverse-momentum dependent PDFs. J. High Energy Phys. 2024, 2024, 088. [Google Scholar] [CrossRef]
- Kassabov, Z.; Ubiali, M.; Voisey, C. Parton distributions with scale uncertainties: A Monte Carlo sampling approach. J. High Energy Phys. 2023, 2023, 148. [Google Scholar] [CrossRef]
- Harland-Lang, L.A.; Thorne, R.S. On the Consistent Use of Scale Variations in PDF Fits and Predictions. Eur. Phys. J. C 2019, 79, 225. [Google Scholar] [CrossRef]
- Ball, R.D.; Pearson, R.L. Correlation of theoretical uncertainties in PDF fits and theoretical uncertainties in predictions. Eur. Phys. J. C 2021, 81, 830. [Google Scholar] [CrossRef]
- McGowan, J.; Cridge, T.; Harland-Lang, L.A.; Thorne, R.S. Approximate N3LO parton distribution functions with theoretical uncertainties: MSHT20aN3LO PDFs. Eur. Phys. J. C 2023, 83, 185, Erratum in Eur. Phys. J. C 2023, 83, 302. https://doi.org/10.1140/epjc/s10052-023-11236-0. [Google Scholar] [CrossRef]
- Ball, R.D. et al. [NNPDF Collaboration] Determination of the theory uncertainties from missing higher orders on NNLO parton distributions with percent accuracy. Eur. Phys. J. C 2024, 84, 517. [Google Scholar] [CrossRef]
- Pasquini, B.; Rodini, S.; Venturini, S. Valence quark, sea, and gluon content of the pion from the parton distribution functions and the electromagnetic form factor. Phys. Rev. D 2023, 107, 114023. [Google Scholar] [CrossRef]
- Nocera, E.R. Towards a Neural Network Determination of Charged Pion Fragmentation Functions. In Proceedings of the 22nd International Symposium on Spin Physics, Urbana, IL, USA, 25–30 September 2016. [Google Scholar]
- Bertone, V.; Carrazza, S.; Nocera, E.R.; Hartland, N.P.; Rojo, J. Towards a Neural Network determination of Pion Fragmentation Functions. In Proceedings of the Parton radiation and fragmentation from LHC to FCC-ee, Geneva, Switzerland, 22–23 November 2016; pp. 19–25. [Google Scholar]
- Bertone, V.; Carrazza, S.; Hartland, N.P.; Nocera, E.R.; Rojo, J. A determination of the fragmentation functions of pions, kaons, and protons with faithful uncertainties. Eur. Phys. J. C 2017, 77, 516. [Google Scholar] [CrossRef]
- Bertone, V.; Hartland, N.P.; Nocera, E.R.; Rojo, J.; Rottoli, L. Charged hadron fragmentation functions from collider data. Eur. Phys. J. C 2018, 78, 651. [Google Scholar] [CrossRef]
- Khalek, R.A.; Bertone, V.; Nocera, E.R. Determination of unpolarized pion fragmentation functions using semi-inclusive deep-inelastic-scattering data. Phys. Rev. D 2021, 104, 034007. [Google Scholar] [CrossRef]
- Khalek, R.A.; Bertone, V.; Khoudli, A.; Nocera, E.R. Pion and kaon fragmentation functions at next-to-next-to-leading order. Phys. Lett. B 2022, 834, 137456. [Google Scholar] [CrossRef]
- Soleymaninia, M.; Hashamipour, H.; Khanpour, H.; Spiesberger, H. Fragmentation Functions for Ξ-/Ξ¯+ Using Neural Networks. Nucl. Phys. A 2023, 1029, 122564. [Google Scholar] [CrossRef]
- Soleymaninia, M.; Hashamipour, H.; Khanpour, H. Neural network QCD analysis of charged hadron fragmentation functions in the presence of SIDIS data. Phys. Rev. D 2022, 105, 114018. [Google Scholar] [CrossRef]
- Hatta, Y.; Xiao, B.-W.; Yuan, F.; Zhou, J. Anisotropy in Dijet Production in Exclusive and Inclusive Processes. Phys. Rev. Lett. 2021, 126, 142001. [Google Scholar] [CrossRef]
- Hatta, Y.; Xiao, B.-W.; Yuan, F.; Zhou, J. Azimuthal angular asymmetry of soft gluon radiation in jet production. Phys. Rev. D 2021, 104, 054037. [Google Scholar] [CrossRef]
- Caucal, P.; Salazar, F.; Schenke, B.; Venugopalan, R. Back-to-back inclusive dijets in DIS at small x: Sudakov suppression and gluon saturation at NLO. J. High Energy Phys. 2022, 2022, 169. [Google Scholar] [CrossRef]
- Taels, P.; Altinoluk, T.; Beuf, G.; Marquet, C. Dijet photoproduction at low x at next-to-leading order and its back-to-back limit. J. High Energy Phys. 2022, 2022, 184. [Google Scholar] [CrossRef]
- Dasgupta, M.; Dreyer, F.; Salam, G.P.; Soyez, G. Small-radius jets to all orders in QCD. J. High Energy Phys. 2015, 2015, 39. [Google Scholar] [CrossRef]
- Dasgupta, M.; Dreyer, F.A.; Salam, G.P.; Soyez, G. Inclusive jet spectrum for small-radius jets. J. High Energy Phys. 2016, 2016, 057. [Google Scholar] [CrossRef]
- Banfi, A.; Monni, P.F.; Salam, G.P.; Zanderighi, G. Higgs and Z-boson production with a jet veto. Phys. Rev. Lett. 2012, 109, 202001. [Google Scholar] [CrossRef] [PubMed]
- Banfi, A.; Caola, F.; Dreyer, F.A.; Monni, P.F.; Salam, G.P.; Zanderighi, G.; Dulat, F. Jet-vetoed Higgs cross section in gluon fusion at N3LO+NNLL with small-R resummation. J. High Energy Phys. 2016, 2016, 49. [Google Scholar] [CrossRef]
- Liu, X.; Moch, S.-O.; Ringer, F. Threshold and jet radius joint resummation for single-inclusive jet production. Phys. Rev. Lett. 2017, 119, 212001. [Google Scholar] [CrossRef]
- Luisoni, G.; Marzani, S. QCD resummation for hadronic final states. J. Phys. G 2015, 42, 103101. [Google Scholar] [CrossRef]
- Caletti, S.; Fedkevych, O.; Marzani, S.; Reichelt, D.; Schumann, S.; Soyez, G.; Theeuwes, V. Jet angularities in Z+jet production at the LHC. J. High Energy Phys. 2021, 2021, 76. [Google Scholar] [CrossRef]
- Reichelt, D.; Caletti, S.; Fedkevych, O.; Marzani, S.; Schumann, S.; Soyez, G. Phenomenology of jet angularities at the LHC. J. High Energy Phys. 2022, 2022, 131. [Google Scholar] [CrossRef]
- Gelis, F.; Iancu, E.; Jalilian-Marian, J.; Venugopalan, R. The Color Glass Condensate. Ann. Rev. Nucl. Part. Sci. 2010, 60, 463–489. [Google Scholar] [CrossRef]
- Kovchegov, Y.V.; Levin, E. Quantum Chromodynamics at High Energy; Cambridge University Press: Cambridge, UK, 2012; Volume 33. [Google Scholar] [CrossRef]
- Chirilli, G.A.; Xiao, B.-W.; Yuan, F. Inclusive Hadron Productions in pA Collisions. Phys. Rev. D 2012, 86, 054005. [Google Scholar] [CrossRef]
- Boussarie, R.; Grabovsky, A.V.; Szymanowski, L.; Wallon, S. Impact factor for high-energy two and three jets diffractive production. J. High Energy Phys. 2014, 2014, 26. [Google Scholar] [CrossRef]
- Benic, S.; Fukushima, K.; Garcia-Montero, O.; Venugopalan, R. Probing gluon saturation with next-to-leading order photon production at central rapidities in proton-nucleus collisions. J. High Energy Phys. 2017, 2017, 115. [Google Scholar] [CrossRef]
- Benić, S.; Fukushima, K.; Garcia-Montero, O.; Venugopalan, R. Constraining unintegrated gluon distributions from inclusive photon production in proton–proton collisions at the LHC. Phys. Lett. B 2019, 791, 11–16. [Google Scholar] [CrossRef]
- Roy, K.; Venugopalan, R. NLO impact factor for inclusive photon+dijet production in e+A DIS at small x. Phys. Rev. D 2020, 101, 034028. [Google Scholar] [CrossRef]
- Roy, K.; Venugopalan, R. Extracting many-body correlators of saturated gluons with precision from inclusive photon+dijet final states in deeply inelastic scattering. Phys. Rev. D 2020, 101, 071505. [Google Scholar] [CrossRef]
- Beuf, G.; Hänninen, H.; Lappi, T.; Mäntysaari, H. Color Glass Condensate at next-to-leading order meets HERA data. Phys. Rev. D 2020, 102, 074028. [Google Scholar] [CrossRef]
- Iancu, E.; Mueller, A.H.; Triantafyllopoulos, D.N. Probing Parton Saturation and the Gluon Dipole via Diffractive Jet Production at the Electron-Ion Collider. Phys. Rev. Lett. 2022, 128, 202001. [Google Scholar] [CrossRef] [PubMed]
- Iancu, E.; Mueller, A.H.; Triantafyllopoulos, D.N.; Wei, S.Y. Probing gluon saturation via diffractive jets in ultra-peripheral nucleus-nucleus collisions. Eur. Phys. J. C 2023, 83, 1078. [Google Scholar] [CrossRef]
- van Hameren, A.; Kakkad, H.; Kotko, P.; Kutak, K.; Sapeta, S. Searching for saturation in forward dijet production at the LHC. Eur. Phys. J. C 2023, 83, 947. [Google Scholar] [CrossRef]
- Wallon, S. The QCD Shockwave Approach at NLO: Towards Precision Physics in Gluonic Saturation. Acta Phys. Polon. Supp. 2023, 16, 26. [Google Scholar] [CrossRef]
- Agostini, P.; Altinoluk, T.; Armesto, N. Next-to-eikonal corrections to dijet production in Deep Inelastic Scattering in the dilute limit of the Color Glass Condensate. J. High Energy Phys. 2024, 2024, 137. [Google Scholar] [CrossRef]
- Altinoluk, T.; Beuf, G.; Czajka, A.; Marquet, C. Back-to-back dijet production in DIS at next-to-eikonal accuracy and twist-3 gluon TMDs. Phys. Rev. D 2025, 111, 014010. [Google Scholar] [CrossRef]
- Altinoluk, T.; Bergabo, F.; Jalilian-Marian, J.; Marquet, C.; Shi, Y. SIDIS at small x at next-to-leading order: Transverse photon. Phys. Rev. D 2025, 112, 054020. [Google Scholar] [CrossRef]
- Altinoluk, T.; Beuf, G.; Penttala, J. Exploring rapidity regularization schemes at low x with the DIS longitudinal structure function. arXiv 2025, arXiv:2510.08550. [Google Scholar] [CrossRef]
- Caucal, P.; Salazar, F.; Venugopalan, R. Dijet impact factor in DIS at next-to-leading order in the Color Glass Condensate. J. High Energy Phys. 2021, 2021, 222. [Google Scholar] [CrossRef]
- Kotko, P.; Kutak, K.; Marquet, C.; Petreska, E.; Sapeta, S.; van Hameren, A. Improved TMD factorization for forward dijet production in dilute-dense hadronic collisions. J. High Energy Phys. 2015, 2015, 106. [Google Scholar] [CrossRef]
- van Hameren, A.; Kotko, P.; Kutak, K.; Marquet, C.; Petreska, E.; Sapeta, S. Forward di-jet production in p+Pb collisions in the small-x improved TMD factorization framework. J. High Energy Phys. 2016, 2016, 34, Erratum in J. High Energy Phys. 2019, 2019, 58. https://doi.org/10.1007/JHEP12(2016)034. [Google Scholar] [CrossRef]
- Altinoluk, T.; Boussarie, R.; Marquet, C.; Taels, P. Photoproduction of three jets in the CGC: Gluon TMDs and dilute limit. J. High Energy Phys. 2020, 2020, 143. [Google Scholar] [CrossRef]
- Altinoluk, T.; Marquet, C.; Taels, P. Low-x improved TMD approach to the lepto- and hadroproduction of a heavy-quark pair. J. High Energy Phys. 2021, 2021, 85. [Google Scholar] [CrossRef]
- Boussarie, R.; Mäntysaari, H.; Salazar, F.; Schenke, B. The importance of kinematic twists and genuine saturation effects in dijet production at the Electron-Ion Collider. J. High Energy Phys. 2021, 2021, 178. [Google Scholar] [CrossRef]
- Caucal, P.; Salazar, F.; Schenke, B.; Stebel, T.; Venugopalan, R. Back-to-back inclusive dijets in DIS at small x: Gluon Weizsäcker-Williams distribution at NLO. J. High Energy Phys. 2023, 2023, 62. [Google Scholar] [CrossRef]
- Cheung, V.; Kang, Z.-B.; Salazar, F.; Vogt, R. Direct quarkonium production in DIS from a joint CGC and NRQCD framework. Phys. Rev. D 2024, 110, 094039. [Google Scholar] [CrossRef]
- Caucal, P.; Iancu, E.; Salazar, F.; Yuan, F. Gluon splitting at small x: A unified derivation for the JIMWLK, DGLAP and CSS equations. arXiv 2025, arXiv:2510.08454. [Google Scholar] [CrossRef]
- Kang, Z.-B.; Ma, Y.-Q.; Venugopalan, R. Quarkonium production in high energy proton-nucleus collisions: CGC meets NRQCD. J. High Energy Phys. 2014, 2014, 56. [Google Scholar] [CrossRef]
- Ma, Y.-Q.; Venugopalan, R. Comprehensive Description of J/ψ Production in Proton-Proton Collisions at Collider Energies. Phys. Rev. Lett. 2014, 113, 192301. [Google Scholar] [CrossRef] [PubMed]
- Ma, Y.-Q.; Venugopalan, R.; Zhang, H.-F. J/ψ production and suppression in high energy proton-nucleus collisions. Phys. Rev. D 2015, 92, 071901. [Google Scholar] [CrossRef]
- Ma, Y.-Q.; Stebel, T.; Venugopalan, R. J/ψ polarization in the CGC+NRQCD approach. J. High Energy Phys. 2018, 2018, 57. [Google Scholar] [CrossRef]
- Stebel, T.; Watanabe, K. Jψ polarization in high multiplicity pp and pA collisions: CGC + NRQCD approach. Phys. Rev. D 2021, 104, 034004. [Google Scholar] [CrossRef]
- Mäntysaari, H.; Penttala, J. Exclusive heavy vector meson production at next-to-leading order in the dipole picture. Phys. Lett. B 2021, 823, 136723. [Google Scholar] [CrossRef]
- Mäntysaari, H.; Penttala, J. Complete calculation of exclusive heavy vector meson production at next-to-leading order in the dipole picture. J. High Energy Phys. 2022, 2022, 247. [Google Scholar] [CrossRef]
- Brodsky, S.J.; Hoyer, P.; Peterson, C.; Sakai, N. The Intrinsic Charm of the Proton. Phys. Lett. B 1980, 93, 451–455. [Google Scholar] [CrossRef]
- Brodsky, S.J.; Kusina, A.; Lyonnet, F.; Schienbein, I.; Spiesberger, H.; Vogt, R. A review of the intrinsic heavy quark content of the nucleon. Adv. High Energy Phys. 2015, 2015, 231547. [Google Scholar] [CrossRef]
- Jimenez-Delgado, P.; Hobbs, T.J.; Londergan, J.T.; Melnitchouk, W. New limits on intrinsic charm in the nucleon from global analysis of parton distributions. Phys. Rev. Lett. 2015, 114, 082002. [Google Scholar] [CrossRef]
- Ball, R.D.; Bertone, V.; Bonvini, M.; Carrazza, S.; Forte, S.; Guffanti, A.; Hartland, N.P.; Rojo, J.; Rottoli, L. A Determination of the Charm Content of the Proton. Eur. Phys. J. C 2016, 76, 647. [Google Scholar] [CrossRef] [PubMed]
- Hou, T.-J.; Dulat, S.; Gao, J.; Guzzi, M.; Huston, J.; Nadolsky, P.; Schmidt, C.; Winter, J.; Xie, K.; Yuan, C.P. CT14 Intrinsic Charm Parton Distribution Functions from CTEQ-TEA Global Analysis. J. High Energy Phys. 2018, 2018, 59. [Google Scholar] [CrossRef]
- Ball, R.D.; Candido, A.; Cruz-Martinez, J.; Forte, S.; Giani, T.; Hekhorn, F.; Kudashkin, K.; Magni, G.; Rojo, J. Evidence for intrinsic charm quarks in the proton. Nature 2022, 608, 483–487. [Google Scholar] [CrossRef]
- Guzzi, M.; Hobbs, T.J.; Xie, K.; Huston, J.; Nadolsky, P.; Yuan, C.P. The persistent nonperturbative charm enigma. Phys. Lett. B 2023, 843, 137975. [Google Scholar] [CrossRef]
- Ball, R.D.; Candido, A.; Cruz-Martinez, J.; Forte, S.; Giani, T.; Hekhorn, F.; Magni, G.; Nocera, E.R.; Rojo, J.; Stegeman, R. Intrinsic charm quark valence distribution of the proton. Phys. Rev. D 2024, 109, L091501. [Google Scholar] [CrossRef]
- Dokshitzer, Y.L.; Khoze, V.A.; Troian, S.I. On specific QCD properties of heavy quark fragmentation (’dead cone’). J. Phys. G 1991, 17, 1602–1604. [Google Scholar] [CrossRef]
- Acharya, S. et al. [ALICE Collaboration] Direct observation of the dead-cone effect in quantum chromodynamics. Nature 2022, 605, 440–446, Erratum in Nature 2022, 607, E22. https://doi.org/10.1038/s41586-022-04572-w. [Google Scholar] [CrossRef]
- Accardi, A.; Bacchetta, A.; Barion, L.; Bedeschi, G.; Benesova, V.; Bertelli, S.; Bertone, V.; Bissolotti, C.; Boglione, M.; Bozzi, G.; et al. LHCspin: A Polarized Gas Target for LHC. arXiv 2025, arXiv:2504.16034. [Google Scholar] [CrossRef]
- Anchordoqui, L.A.; Ariga, A.; Ariga, T.; Bai, W.; Balazs, K.; Batell, B.; Boyd, J.; Bramante, J.; Campanelli, M.; Carmona, A.; et al. The Forward Physics Facility: Sites, experiments, and physics potential. Phys. Rept. 2022, 968, 1–50. [Google Scholar] [CrossRef]
- Feng, J.L.; Kling, F.; Reno, M.H.; Rojo, J.; Soldin, D.; Anchordoqui, L.A.; Boyd, J.; Ismail, A.; Harland-Lang, L.; Kelly, K.J.; et al. The Forward Physics Facility at the High-Luminosity LHC. J. Phys. G 2023, 50, 030501. [Google Scholar] [CrossRef]
- Accardi, A.; Albacete, J.L.; Anselmino, M.; Armesto, N.; Aschenauer, E.C.; Bacchetta, A.; Boer, D.; Brooks, W.K.; Burton, T.; Chang, N.-B.; et al. Electron Ion Collider: The Next QCD Frontier: Understanding the glue that binds us all. Eur. Phys. J. A 2016, 52, 268. [Google Scholar] [CrossRef]
- Acosta, D.; Barberis, E.; Hurley, N.; Li, W.; Colin, O.M.; Wood, D.; Zuo, X. The Potential of a TeV-Scale Muon-Ion Collider. In Proceedings of the 2022 Snowmass Summer Study, New York, NY, USA, 9–12 April 2022. [Google Scholar] [CrossRef]
- Aryshev, A.; Behnke, T.; Berggren, M.; Brau, J.; Craig, N.; Freitas, A.; Gaede, F.; Gessner, S.; Gori, S.; Grojean, C.; et al. The International Linear Collider: Report to Snowmass 2021. arXiv 2022, arXiv:2203.07622. [Google Scholar] [CrossRef]
- Balazs, C. et al. [Linear Collider Collaboration] The Linear Collider Facility (LCF) at CERN. arXiv 2025, arXiv:2503.24049. [Google Scholar]
- Attié, D. et al. [Linear Collider Collaboration] A Linear Collider Vision for the Future of Particle Physics. arXiv 2025, arXiv:2503.19983. [Google Scholar]
- Brunner, O.; Burrows, P.N.; Calatroni, S.; Lasheras, N.C.; Corsini, R.; D’Auria, G.; Doebert, S.; Faus-Golfe, A.; Grudiev, A.; Latina, A.; et al. The CLIC project. arXiv 2022, arXiv:2203.09186. [Google Scholar] [CrossRef]
- Arbuzov, A.; Bacchetta, A.; Butenschoen, M.; Celiberto, F.G.; D’Alesio, U.; Deka, M.; Denisenko, I.; Echevarria, M.G.; Efremov, A.; Ivanov, N.Y.; et al. On the physics potential to study the gluon content of proton and deuteron at NICA SPD. Prog. Part. Nucl. Phys. 2021, 119, 103858. [Google Scholar] [CrossRef]
- Abazov, V.M.; Abramov, V.; Afanasyev, L.G.; Akhunzyanov, R.R.; Akindinov, A.V.; Akopov, N.; Alekseev, I.G.; Aleshko, A.M.; Alexakhin, V.Y.; Alexeev, G.D.; et al. Conceptual design of the Spin Physics Detector. arXiv 2021, arXiv:2102.00442. [Google Scholar] [CrossRef]
- Bernardi, G.; Brost, E.; Denisov, D.; Landsberg, G.; Aleksa, M.; d’Enterria, D.; Janot, P.; Mangano, M.L.; Selvaggi, M.; Zimmermann, F.; et al. The Future Circular Collider: A Summary for the US 2021 Snowmass Process. arXiv 2022, arXiv:2203.06520. [Google Scholar] [CrossRef]
- Celiberto, F.G.; Fucilla, M.; Ivanov, D.Y.; Mohammed, M.M.A.; Papa, A. High-energy QCD at colliders: Semi-hard reactions and unintegrated gluon densities: Letter of Interest for SnowMass 2021. In Proceedings of the 2022 Snowmass Summer Study, New York, NY, USA, 9–12 April 2021. [Google Scholar]
- Adam, J.; Aidala, C.; Angerami, A.; Audurier, B.; Bertulani, C.; Bierlich, C.; Blok, B.; Brandenburg, J.D.; Brodsky, S.; Bylinkin, A.; et al. New opportunities at the photon energy frontier. arXiv 2020, arXiv:2009.03838. [Google Scholar] [CrossRef]
- Canepa, A.; D’Onofrio, M. Future Accelerator Projects: New Physics at the Energy Frontier. Front. Phys. 2023, 10, 916078. [Google Scholar] [CrossRef]
- De Blas, J.; Buttazzo, D.; Capdevilla, R.; Curtin, D.; Franceschini, R.; Maltoni, F.; Meade, P.; Meloni, F.; Su, S.; Vryonidou, E.; et al. The physics case of a 3 TeV muon collider stage. arXiv 2022, arXiv:2203.07261. [Google Scholar] [CrossRef]
- Aimè, C.; Apyan, A.; Mahmoud, M.A.; Bartosik, N.; Bertolin, A.; Bonesini, M.; Bottaro, S.; Buttazzo, D.; Capdevilla, R.; Casarsa, M.; et al. Muon Collider Physics Summary. arXiv 2022, arXiv:2203.07256. [Google Scholar] [CrossRef]
- Bartosik, N.; Krizka, K.; Griso, S.P.; Aimè, C.; Apyan, A.; Mahmoud, M.A.; Bertolin, A.; Braghieri, A.; Buonincontri, L.; Calzaferri, S.; et al. Simulated Detector Performance at the Muon Collider. In Proceedings of the 2022 Snowmass Summer Study, New York, NY, USA, 9–12 April 2022. [Google Scholar] [CrossRef]
- Black, K.M.; Jindariani, S.; Li, D.; Maltoni, F.; Meade, P.; Stratakis, D.; Acosta, D.; Agarwal, R.; Agashe, K.; Aimè, C.; et al. Muon Collider Forum report. J. Instrum. 2024, 19, T02015. [Google Scholar] [CrossRef]
- Accettura, C.; Adams, D.; Agarwal, R.; Ahdida, C.; Aimè, C.; Amapane, N.; Amorim, D.; Andreetto, P.; Anulli, F.; Appleby, R.; et al. Towards a muon collider. Eur. Phys. J. C 2023, 83, 864, Erratum in Eur. Phys. J. C 2024, 84, 36. [Google Scholar] [CrossRef]
- Accettura, C.; Adrian, S.; Agarwal, R.; Ahdida, C.; Aimè, C.; Aksoy, A.; Alberghi, G.L.; Alden, S.; Alfonso, L.; Amapane, N.; et al. Interim report for the International Muon Collider Collaboration (IMCC). arXiv 2024, arXiv:2407.12450. [Google Scholar] [CrossRef]
- Accettura, C.; Adrian, S.; Agarwal, R.; Ahdida, C.; Aimè, C.; Aksoy, A.; Alberghi, G.L.; Alden, S.; Alfonso, L.; Amapane, N.; et al. MuCol Milestone Report No. 5: Preliminary Parameters. arXiv 2024, arXiv:2411.02966. [Google Scholar] [CrossRef]
- Accettura, C.; Adrian, S.; Agarwal, R.; Ahdida, C.; Aimè, C.; Aksoy, A.; Alberghi, G.L.; Albright, S.; Alden, S.; Alfonso, L.; et al. MuCol Milestone Report No. 7: Consolidated Parameters. arXiv 2025, arXiv:2510.27437. [Google Scholar] [CrossRef]
- Accettura, C.; Adrian, S.; Agarwal, R.; Ahdida, C.; Aimè, C.; Aksoy, A.; Alberghi, G.L.; Alden, S.; Alfonso, L.; Ali, M.; et al. The Muon Collider. arXiv 2025, arXiv:2504.21417. [Google Scholar]
- Vignaroli, N. Charged resonances and MDM bound states at a multi-TeV muon collider. arXiv 2023, arXiv:2304.12362. [Google Scholar] [CrossRef]
- Dawson, S.; Meade, P.; Ojalvo, I.; Vernieri, C.; Adhikari, S.; Abu-Ajamieh, F.; Albert, A.; Bahl, H.; Barman, R.; Basso, M.; et al. Report of the Topical Group on Higgs Physics for Snowmass 2021: The Case for Precision Higgs Physics. In Proceedings of the 2022 Snowmass Summer Study, New York, NY, USA, 9–12 April 2022. [Google Scholar] [CrossRef]
- Bose, T.; Boveia, A.; Doglioni, C.; Griso, S.P.; Hirschauer, J.; Lipeles, E.; Liu, Z.; Shah, N.R.; Wang, L.-T.; Agashe, K.; et al. Report of the Topical Group on Physics Beyond the Standard Model at Energy Frontier for Snowmass 2021. In Proceedings of the 2022 Snowmass Summer Study, New York, NY, USA, 9–12 April 2022. [Google Scholar] [CrossRef]
- Begel, M.; Hoeche, S.; Schmitt, M.; Lin, H.-W.; Nadolsky, P.M.; Royon, C.; Lee, Y.-J.; Mukherjee, S.; Baldenegro, C.; Campbell, J.; et al. Precision QCD, Hadronic Structure & Forward QCD, Heavy Ions: Report of Energy Frontier Topical Groups 5, 6, 7 submitted to Snowmass 2021. arXiv 2022, arXiv:2209.14872. [Google Scholar] [CrossRef]
- Accardi, A.; Achenbach, P.; Adhikari, D.; Afanasev, A.; Akondi, C.S.; Akopov, N.; Albaladejo, M.; Albataineh, H.; Albrecht, M.; Almeida-Zamora, B.; et al. Strong interaction physics at the luminosity frontier with 22 GeV electrons at Jefferson Lab. Eur. Phys. J. A 2024, 60, 173. [Google Scholar] [CrossRef]
- Gessner, S.; Barklow, T.; Hogan, M.; Knetsch, A.; Majernik, N.; O’Shea, B.; Peskin, M.; Schwartzman, A.; Storey, D.; Vernieri, C.; et al. Design Initiative for a 10 TeV pCM Wakefield Collider. arXiv 2025, arXiv:2503.20214. [Google Scholar]
- Altmann, J.; Skands, P.; Desai, A.; Mitaroff, W.; Plätzer, S.; Dobur, D.; Skovpen, K.; Drewes, M.; Durieux, G.; Georis, Y.; et al. ECFA Higgs, electroweak, and top Factory Study. In CERN Yellow Reports: Monographs; CERN: Geneva, Switzerland, 2025; Volume 5. [Google Scholar] [CrossRef]










| Charm Sector () [] | Bottom Sector () [] | |||||
|---|---|---|---|---|---|---|
| 0 | 0 | 0 | 0 | |||
| 0 | 0 | 0 | 0 | |||
Disclaimer/Publisher’s Note: The statements, opinions and data contained in all publications are solely those of the individual author(s) and contributor(s) and not of MDPI and/or the editor(s). MDPI and/or the editor(s) disclaim responsibility for any injury to people or property resulting from any ideas, methods, instructions or products referred to in the content. |
© 2026 by the author. Licensee MDPI, Basel, Switzerland. This article is an open access article distributed under the terms and conditions of the Creative Commons Attribution (CC BY) license.
Share and Cite
Celiberto, F.G. Tetraquark-Jet Systems at the High-Luminosity LHC. Universe 2026, 12, 13. https://doi.org/10.3390/universe12010013
Celiberto FG. Tetraquark-Jet Systems at the High-Luminosity LHC. Universe. 2026; 12(1):13. https://doi.org/10.3390/universe12010013
Chicago/Turabian StyleCeliberto, Francesco Giovanni. 2026. "Tetraquark-Jet Systems at the High-Luminosity LHC" Universe 12, no. 1: 13. https://doi.org/10.3390/universe12010013
APA StyleCeliberto, F. G. (2026). Tetraquark-Jet Systems at the High-Luminosity LHC. Universe, 12(1), 13. https://doi.org/10.3390/universe12010013
