Sign in to use this feature.

Years

Between: -

Subjects

remove_circle_outline
remove_circle_outline
remove_circle_outline
remove_circle_outline

Journals

Article Types

Countries / Regions

Search Results (14)

Search Parameters:
Keywords = LETKF

Order results
Result details
Results per page
Select all
Export citation of selected articles as:
18 pages, 5821 KB  
Article
Examining the Predictability of Tropical Cyclogenesis over the East Sea of Vietnam through the Ensemble-Based Data Assimilation System
by Dao Nguyen-Quynh Hoa, Tran-Tan Tien, Nguyen-Y Nhu and Thi Lan Dao
Atmosphere 2023, 14(11), 1671; https://doi.org/10.3390/atmos14111671 - 10 Nov 2023
Viewed by 2526
Abstract
In this study, we conducted experiments to assess the forecasting capabilities for tropical cyclone (TC) genesis over the east sea of Vietnam using the ensemble-based data assimilation system (EPS-DA) by WRF-LETKF. These experiments covered forecast lead times of up to 5 days and [...] Read more.
In this study, we conducted experiments to assess the forecasting capabilities for tropical cyclone (TC) genesis over the east sea of Vietnam using the ensemble-based data assimilation system (EPS-DA) by WRF-LETKF. These experiments covered forecast lead times of up to 5 days and spanned a period from 2012 to 2019, involving a total of 45 TC formation events. The evaluation involved forecast probability assessments and positional and timing error analysis. Results indicated that successful forecasting depends on the lead time and initial condition quality. For TC formation from an embryo vortex to tropical depression intensity, the EPS-DA system demonstrated improved accuracy as the forecast cycle approached the actual formation time. TC centers converged towards observed locations, highlighting the potential of assimilation up to 5 days before formation. We examined statistical variations in dynamic and thermodynamic variables relevant to TC processes, offering an objective system assessment. Our study emphasized that early warnings of TC development appear linked to formation-time environmental conditions, particularly strong vorticity and enhanced moisture processes. Full article
Show Figures

Figure 1

17 pages, 7811 KB  
Article
Assimilating GNSS TEC with an LETKF over Yunnan, China
by Jun Tang, Shimeng Zhang, Dengpan Yang and Xuequn Wu
Remote Sens. 2023, 15(14), 3547; https://doi.org/10.3390/rs15143547 - 14 Jul 2023
Cited by 3 | Viewed by 1927
Abstract
A robust ionospheric model is indispensable for providing the atmospheric delay corrections for global navigation satellite system (GNSS) navigation and positioning and forecasting the space environment. The accuracy of ionospheric models is limited due to the simplified model structures. Complicated spatiotemporal variations in [...] Read more.
A robust ionospheric model is indispensable for providing the atmospheric delay corrections for global navigation satellite system (GNSS) navigation and positioning and forecasting the space environment. The accuracy of ionospheric models is limited due to the simplified model structures. Complicated spatiotemporal variations in total electron content (TEC) biases between GNSS and international reference ionosphere (IRI) suggest a robust strategy to optimally combine GNSS and IRI TEC for high-precision modeling. In this paper, we propose a novel ionospheric data assimilation method, which is a local ensemble transform Kalman filter (LETKF), to construct an ionospheric model over Yunnan in southwestern China. We used the LETKF method to assimilate the ionospheric TEC extracted from GNSS observations in Yunnan into the IRI-2016 model. The experimental results indicate that the ionospheric data assimilation has a more pronounced improvement effect on the IRI empirical model during periods of geomagnetic quiet than during periods of geomagnetic disturbance. On quiet magnetic days, the skill score (SKS) of the assimilation is 0.60 and the root mean square error (RMSE) values before and after assimilation are 5.08 TECU and 2.02 TECU, respectively. The correlation coefficient after assimilation increases from 0.94 to 0.99. On magnetic storm days, the SKS of the assimilation is 0.42 and the RMSE values before and after assimilation are 5.99 TECU and 3.46 TECU, respectively. The correlation coefficient after assimilation increases from 0.98 to 0.99. The results suggest that the LETKF algorithm can be considered an effective method for ionospheric data assimilation. Full article
Show Figures

Figure 1

22 pages, 9470 KB  
Article
The Local Unscented Transform Kalman Filter for the Weather Research and Forecasting Model
by Kwangjae Sung
Atmosphere 2023, 14(7), 1143; https://doi.org/10.3390/atmos14071143 - 13 Jul 2023
Cited by 1 | Viewed by 1928
Abstract
In this study, the local unscented transform Kalman filter (LUTKF) proposed in the previous study estimates the state of the Weather Research and Forecasting (WRF) model through local analysis. Real observations are assimilated to investigate the analysis performance of the WRF-LUTKF system. The [...] Read more.
In this study, the local unscented transform Kalman filter (LUTKF) proposed in the previous study estimates the state of the Weather Research and Forecasting (WRF) model through local analysis. Real observations are assimilated to investigate the analysis performance of the WRF-LUTKF system. The WRF model as a regional numerical weather prediction (NWP) model is widely used to explain the atmospheric state for mesoscale meteorological fields, such as operational forecasting and atmospheric research applications. For the LUTKF based on the sigma-point Kalman filter (SPKF), the state of the nonlinear system is estimated by propagating ensemble members through the unscented transformation (UT) without making any linearization assumptions for nonlinear models. The main objective of this study is to examine the feasibility of mesoscale data assimilations for the LUTKF algorithm using the WRF model and real observations. Similar to the local ensemble transform Kalman filter (LETKF), by suppressing the impact of distant observations on model state variables through localization schemes, the LUTKF can eliminate spurious long-distance correlations in the background covariance, which are induced by the sampling error due to the finite ensemble size; therefore, the LUTKF used in the WRF-LUTKF system can efficiently execute the data assimilation with a small ensemble size. Data assimilation test results demonstrate that the LUTKF can provide reliable analysis performance in estimating the WRF model state with real observations. Experiments with various ensemble size show that the LETKF can provide better estimation results with a larger ensemble size, while the LUTKF can achieve accurate and reliable assimilation results even with a smaller ensemble size. Full article
(This article belongs to the Section Climatology)
Show Figures

Figure 1

17 pages, 4787 KB  
Article
Performance of a Hybrid Gain Ensemble Data Assimilation Scheme in Tropical Cyclone Forecasting with the GRAPES Model
by Xin Xia, Jiali Feng, Kun Wang, Jian Sun, Yudong Gao, Yuchao Jin, Yulong Ma, Yan Gao and Qilin Wan
Atmosphere 2023, 14(3), 565; https://doi.org/10.3390/atmos14030565 - 16 Mar 2023
Cited by 5 | Viewed by 2470
Abstract
Hybrid data assimilation (DA) methods have received extensive attention in the field of numerical weather prediction. In this study, a hybrid gain data assimilation (HGDA) method that combined the gain matrices of ensemble and variational methods was first applied in the mesoscale version [...] Read more.
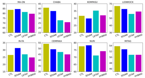
Hybrid data assimilation (DA) methods have received extensive attention in the field of numerical weather prediction. In this study, a hybrid gain data assimilation (HGDA) method that combined the gain matrices of ensemble and variational methods was first applied in the mesoscale version of the Global/Regional Assimilation and Prediction System (GRAPES_Meso). To evaluate the performance of the HGDA method in the GRAPES_Meso model, different DA schemes, including the three-dimensional variational (3DVAR), local ensemble transform Kalman filter (LETKF), and HGDA schemes, were compared across eight tropical cyclone (TC) cases, and FY-4A atmospheric motion vectors were assimilated. The results indicated that the HYBRID scheme outperformed the 3DVAR and LETKF schemes in TC position forecasting, and with ensemble forecasting techniques, the HYBRID scheme promoted the accuracy of the prediction TC intensity. The threat score (TS) values for the light and medium precipitation forecasts obtained in the HYBRID experiment were higher than those for the forecasts obtained in the 3DVAR and LETKF experiments, which may be attributed to the forecasting accuracy for the TC position. Regarding heavy and extreme rainfall, the HYBRID scheme achieved a more stable effect than those of the 3DVAR and LETKF schemes. The results demonstrated the superiority of the HGDA scheme in TC prediction with the GRAPES_Meso model. Full article
(This article belongs to the Section Atmospheric Techniques, Instruments, and Modeling)
Show Figures

Figure 1

23 pages, 7646 KB  
Article
Retrieving Soil Physical Properties by Assimilating SMAP Brightness Temperature Observations into the Community Land Model
by Hong Zhao, Yijian Zeng, Xujun Han and Zhongbo Su
Sensors 2023, 23(5), 2620; https://doi.org/10.3390/s23052620 - 27 Feb 2023
Cited by 4 | Viewed by 3017
Abstract
This paper coupled a unified passive and active microwave observation operator—namely, an enhanced, physically-based, discrete emission-scattering model—with the community land model (CLM) in a data assimilation (DA) system. By implementing the system default local ensemble transform Kalman filter (LETKF) algorithm, the Soil Moisture [...] Read more.
This paper coupled a unified passive and active microwave observation operator—namely, an enhanced, physically-based, discrete emission-scattering model—with the community land model (CLM) in a data assimilation (DA) system. By implementing the system default local ensemble transform Kalman filter (LETKF) algorithm, the Soil Moisture Active and Passive (SMAP) brightness temperature TBp (p = Horizontal or Vertical polarization) assimilations for only soil property retrieval and both soil properties and soil moisture estimates were investigated with the aid of in situ observations at the Maqu site. The results indicate improved estimates of soil properties of the topmost layer in comparison to measurements, as well as of the profile. Specifically, both assimilations of TBH lead to over a 48% reduction in root mean square errors (RMSEs) for the retrieved clay fraction from the background compared to the top layer measurements. Both assimilations of TBV reduce RMSEs by 36% for the sand fraction and by 28% for the clay fraction. However, the DA estimated soil moisture and land surface fluxes still exhibit discrepancies when compared to the measurements. The retrieved accurate soil properties alone are inadequate to improve those estimates. The discussed uncertainties (e.g., fixed PTF structures) in the CLM model structures should be mitigated. Full article
Show Figures

Figure 1

19 pages, 6151 KB  
Article
Parameter Estimation Based on a Local Ensemble Transform Kalman Filter Applied to El Niño–Southern Oscillation Ensemble Prediction
by Yanqiu Gao, Youmin Tang, Xunshu Song and Zheqi Shen
Remote Sens. 2021, 13(19), 3923; https://doi.org/10.3390/rs13193923 - 30 Sep 2021
Cited by 8 | Viewed by 2920
Abstract
Parameter estimation plays an important role in reducing model error and thus is of great significance to improve the simulation and prediction capabilities of the model. However, due to filtering divergence, parameter estimation by ensemble-based filters still faces great challenges. Previous studies have [...] Read more.
Parameter estimation plays an important role in reducing model error and thus is of great significance to improve the simulation and prediction capabilities of the model. However, due to filtering divergence, parameter estimation by ensemble-based filters still faces great challenges. Previous studies have shown that a covariance inflation scheme could alleviate the filtering divergence problem by increasing the signal-to-noise ratio of the state-parameter covariance. In this study, we proposed a new inflation scheme based on a local ensemble transform Kalman filter (LETKF). With the new scheme, the Zebiak–Cane (Z-C) model parameters were estimated by assimilating the sea surface temperature anomaly (SSTA) data. The effectiveness of the parameter estimation and its influence on El Niño–Southern Oscillation (ENSO) prediction were evaluated in an observation system simulation experiments (OSSE) framework and real-world scenario, respectively. With the utilization of the OSSE framework, the results showed that the model parameters were successfully estimated. Parameter estimation reduced the model error when compared with only state estimation (onlySE); however, multiple parameter estimation (MPE) further improved the ENSO prediction skill by providing better initial conditions and parameter values than the single parameter estimation (SPE). Parameter estimation could thus alleviate the spring prediction barrier (SPB) phenomenon of ENSO to a certain extent. In real-world experiments, the optimized parameters significantly improved the ENSO forecasting skill, primarily in prediction of warm events. This study provides an effective parameter estimation strategy to improve climate models and further climate predictions in the real world. Full article
Show Figures

Figure 1

11 pages, 1587 KB  
Article
CICE-LETKF Ensemble Analysis System with Application to Arctic Sea Ice Initialization
by Xiying Liu, Zicheng Sha and Chenchen Lu
J. Mar. Sci. Eng. 2021, 9(9), 920; https://doi.org/10.3390/jmse9090920 - 24 Aug 2021
Cited by 2 | Viewed by 2191
Abstract
To study the effectiveness of methods to reduce errors for Arctic Sea ice initialization due to underestimation of background error covariance, an advanced ensemble analysis system has been developed. The system integrates the local ensemble transform Kalman filter (LETKF) with the community ice [...] Read more.
To study the effectiveness of methods to reduce errors for Arctic Sea ice initialization due to underestimation of background error covariance, an advanced ensemble analysis system has been developed. The system integrates the local ensemble transform Kalman filter (LETKF) with the community ice code (CICE). With a mixed layer ocean model used to compute the sea surface temperature (SST), the experiments on assimilation of observations of sea ice concentration (SIC) have been carried out. Assimilation experiments were performed over a 3-month period from January to March in 1997. The model was sequentially constrained with daily observation data. The effects of observation density, amplification factor for analysis error covariance, and relaxation of disturbance and spread on the results of SIC initialization were studied. It is shown that doubling the density of observation of SIC does not bring significant further improvement on the analysis result; when the ensemble size is doubled, most severe SIC biases in the Labrador, Greenland, Norwegian, and Barents seas are reduced; amplifying the analysis error covariance, relaxing disturbance, and relaxing spread all contribute to improving the reproduction of SIC with amplifying covariance with the largest magnitude. Full article
Show Figures

Figure 1

19 pages, 8309 KB  
Article
Enhanced Simulation of an Asian Dust Storm by Assimilating GCOM-C Observations
by Yueming Cheng, Tie Dai, Daisuke Goto, Hiroshi Murakami, Mayumi Yoshida, Guangyu Shi and Teruyuki Nakajima
Remote Sens. 2021, 13(15), 3020; https://doi.org/10.3390/rs13153020 - 1 Aug 2021
Cited by 9 | Viewed by 3679
Abstract
Dust aerosols have great effects on global and regional climate systems. The Global Change Observation Mission-Climate (GCOM-C), also known as SHIKISAI, which was launched on 23 December 2017 by the Japan Aerospace Exploration Agency (JAXA), is a next-generation Earth observation satellite that is [...] Read more.
Dust aerosols have great effects on global and regional climate systems. The Global Change Observation Mission-Climate (GCOM-C), also known as SHIKISAI, which was launched on 23 December 2017 by the Japan Aerospace Exploration Agency (JAXA), is a next-generation Earth observation satellite that is used for climate studies. The Second-Generation Global Imager (SGLI) aboard GCOM-C enables the retrieval of more precious global aerosols. Here, the first assimilation study of the aerosol optical thicknesses (AOTs) at 500 nm observed by this new satellite is performed to investigate a severe dust storm in spring over East Asia during 28–31 March 2018. The aerosol observation assimilation system is an integration of the four-dimensional local ensemble transform Kalman filter (4D-LETKF) and the Spectral Radiation Transport Model for Aerosol Species (SPRINTARS) coupled with the Non-Hydrostatic Icosahedral Atmospheric Model (NICAM). Through verification with the independent observations from the Aerosol Robotic Network (AERONET) and the Asian Dust and Aerosol Lidar Observation Network (AD-Net), the results demonstrate that the assimilation of the GCOM-C aerosol observations can significantly enhance Asian dust storm simulations. The dust characteristics over the regions without GCOM-C observations are better revealed from assimilating the adjacent observations within the localization length, suggesting the importance of the technical advances in observation and assimilation, which are helpful in clarifying the temporal–spatial structure of Asian dust and which could also improve the forecasting of dust storms, climate prediction models, and aerosol reanalysis. Full article
Show Figures

Figure 1

13 pages, 6407 KB  
Article
Ensemble Dispersion Simulation of a Point-Source Radioactive Aerosol Using Perturbed Meteorological Fields over Eastern Japan
by Tsuyoshi Thomas Sekiyama, Mizuo Kajino and Masaru Kunii
Atmosphere 2021, 12(6), 662; https://doi.org/10.3390/atmos12060662 - 22 May 2021
Cited by 6 | Viewed by 3366
Abstract
We conducted single-model initial-perturbed ensemble simulations to quantify uncertainty in aerosol dispersion modeling, focusing on a point-source radioactive aerosol emitted from the Fukushima Daiichi Nuclear Power Plant (FDNPP) in March 2011. The ensembles of the meteorological variables were prepared using a data assimilation [...] Read more.
We conducted single-model initial-perturbed ensemble simulations to quantify uncertainty in aerosol dispersion modeling, focusing on a point-source radioactive aerosol emitted from the Fukushima Daiichi Nuclear Power Plant (FDNPP) in March 2011. The ensembles of the meteorological variables were prepared using a data assimilation system that consisted of a non-hydrostatic weather-forecast model with a 3-km horizontal resolution and a four-dimensional local ensemble transform Kalman filter (4D-LETKF) with 20 ensemble members. The emission of radioactive aerosol was not perturbed. The weather and aerosol simulations were validated with in-situ measurements at Hitachi and Tokai, respectively, approximately 100 km south of the FDNPP. The ensemble simulations provided probabilistic information and multiple case scenarios for the radioactive aerosol plumes. Some of the ensemble members successfully reproduced the arrival time and intensity of the radioactive aerosol plumes, even when the deterministic simulation failed to reproduce them. We found that a small ensemble spread of wind speed produced large uncertainties in aerosol concentrations. Full article
(This article belongs to the Special Issue Aerosol Pollution in Asia)
Show Figures

Figure 1

12 pages, 1829 KB  
Article
A Multivariate Balanced Initial Ensemble Generation Approach for an Atmospheric General Circulation Model
by Juan Du, Fei Zheng, He Zhang and Jiang Zhu
Water 2021, 13(2), 122; https://doi.org/10.3390/w13020122 - 7 Jan 2021
Cited by 2 | Viewed by 2757
Abstract
Based on the multivariate empirical orthogonal function (MEOF) method, a multivariate balanced initial ensemble generation method was applied to the ensemble data assimilation scheme. The initial ensembles were generated with a reasonable consideration of the physical relationships between different model variables. The spatial [...] Read more.
Based on the multivariate empirical orthogonal function (MEOF) method, a multivariate balanced initial ensemble generation method was applied to the ensemble data assimilation scheme. The initial ensembles were generated with a reasonable consideration of the physical relationships between different model variables. The spatial distribution derived from the MEOF analysis is combined with the 3-D random perturbation to generate a balanced initial perturbation field. The Local Ensemble Transform Kalman Filter (LETKF) data assimilation scheme was established for an atmospheric general circulation model. Ensemble data assimilation experiments using different initial ensemble generation methods, spatially random and MEOF-based balanced, are performed using realistic atmospheric observations. It is shown that the ensembles integrated from the balanced initial ensembles maintain a much more reasonable spread and a more reliable horizontal correlation compared with the historical model results than those from the randomly perturbed initial ensembles. The model predictions were also improved by adopting the MEOF-based balanced initial ensembles. Full article
Show Figures

Figure 1

31 pages, 19725 KB  
Article
Ensemble-Based Data Assimilation of Volcanic Ash Clouds from Satellite Observations: Application to the 24 December 2018 Mt. Etna Explosive Eruption
by Federica Pardini, Stefano Corradini, Antonio Costa, Tomaso Esposti Ongaro, Luca Merucci, Augusto Neri, Dario Stelitano and Mattia de’ Michieli Vitturi
Atmosphere 2020, 11(4), 359; https://doi.org/10.3390/atmos11040359 - 7 Apr 2020
Cited by 37 | Viewed by 5560
Abstract
Accurate tracking and forecasting of ash dispersal in the atmosphere and quantification of its uncertainty are of fundamental importance for volcanic risk mitigation. Numerical models and satellite sensors offer two complementary ways to monitor ash clouds in real time, but limits and uncertainties [...] Read more.
Accurate tracking and forecasting of ash dispersal in the atmosphere and quantification of its uncertainty are of fundamental importance for volcanic risk mitigation. Numerical models and satellite sensors offer two complementary ways to monitor ash clouds in real time, but limits and uncertainties affect both techniques. Numerical forecasts of volcanic clouds can be improved by assimilating satellite observations of atmospheric ash mass load. In this paper, we present a data assimilation procedure aimed at improving the monitoring and forecasting of volcanic ash clouds produced by explosive eruptions. In particular, we applied the Local Ensemble Transform Kalman Filter (LETKF) to the results of the Volcanic Ash Transport and Dispersion model HYSPLIT. To properly simulate the release and atmospheric transport of volcanic ash particles, HYSPLIT has been initialized with the results of the eruptive column model PLUME-MoM. The assimilation procedure has been tested against SEVIRI measurements of the volcanic cloud produced during the explosive eruption occurred at Mt. Etna on 24 December 2018. The results show how the assimilation procedure significantly improves the representation of the current ash dispersal and its forecast. In addition, the numerical tests show that the use of the sequential Ensemble Kalman Filter does not require a precise initialization of the numerical model, being able to improve the forecasts as the assimilation cycles are performed. Full article
(This article belongs to the Special Issue Forecasting the Transport of Volcanic Ash in the Atmosphere)
Show Figures

Graphical abstract

17 pages, 758 KB  
Article
Implicit Equal-Weights Variational Particle Smoother
by Pinqiang Wang, Mengbin Zhu, Yan Chen and Weimin Zhang
Atmosphere 2020, 11(4), 338; https://doi.org/10.3390/atmos11040338 - 30 Mar 2020
Cited by 8 | Viewed by 2961
Abstract
Under the motivation of the great success of four-dimensional variational (4D-Var) data assimilation methods and the advantages of ensemble methods (e.g., Ensemble Kalman Filters and Particle Filters) in numerical weather prediction systems, we introduce the implicit equal-weights particle filter scheme in the weak [...] Read more.
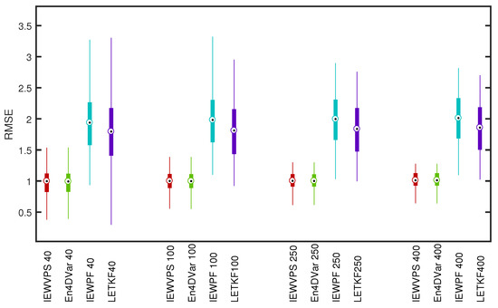
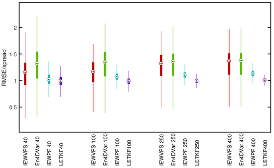
Under the motivation of the great success of four-dimensional variational (4D-Var) data assimilation methods and the advantages of ensemble methods (e.g., Ensemble Kalman Filters and Particle Filters) in numerical weather prediction systems, we introduce the implicit equal-weights particle filter scheme in the weak constraint 4D-Var framework which avoids the filter degeneracy through implicit sampling in high-dimensional situations. The new variational particle smoother (varPS) method has been tested and explored using the Lorenz96 model with dimensions N x = 40 , N x = 100 , N x = 250 , and N x = 400 . The results show that the new varPS method does not suffer from the curse of dimensionality by construction and the root mean square error (RMSE) in the new varPS is comparable with the ensemble 4D-Var method. As a combination of the implicit equal-weights particle filter and weak constraint 4D-Var, the new method improves the RMSE compared with the implicit equal-weights particle filter and LETKF (local ensemble transformed Kalman filter) methods and enlarges the ensemble spread compared with ensemble 4D-Var scheme. To overcome the difficulty of the implicit equal-weights particle filter in real geophysical application, the posterior error covariance matrix is estimated using a limited ensemble and can be calculated in parallel. In general, this new varPS performs slightly better in ensemble quality (the balance between the RMSE and ensemble spread) than the ensemble 4D-Var and has the potential to be applied into real geophysical systems. Full article
(This article belongs to the Section Atmospheric Techniques, Instruments, and Modeling)
Show Figures

Figure 1

22 pages, 7959 KB  
Article
A Physically Based Empirical Localization Method for Assimilating Synthetic SWOT Observations of a Continental-Scale River: A Case Study in the Congo Basin
by Menaka Revel, Daiki Ikeshima, Dai Yamazaki and Shinjiro Kanae
Water 2019, 11(4), 829; https://doi.org/10.3390/w11040829 - 19 Apr 2019
Cited by 20 | Viewed by 5379
Abstract
Water resource management has faced challenges in recent decades due to limited in situ observations and the limitations of hydrodynamic modeling. Data assimilation techniques have been proposed to improve hydrodynamic model outputs of local rivers (river length ≤ 1500 km) using synthetic observations [...] Read more.
Water resource management has faced challenges in recent decades due to limited in situ observations and the limitations of hydrodynamic modeling. Data assimilation techniques have been proposed to improve hydrodynamic model outputs of local rivers (river length ≤ 1500 km) using synthetic observations of the future Surface Water and Ocean Topography (SWOT) satellite mission to overcome limited in situ observations and the limitations of hydrodynamic modeling. However, large-scale data assimilation schemes require computationally efficient filtering techniques, such as the Local Ensemble Transformation Kalman Filter (LETKF). Expansion of the assimilation domain to maximize observations is limited by error covariance caused by limited ensemble size in complex river networks, such as the Congo River. Therefore, we tested the LETKF algorithm in a continental-scale river (river length > 1500 km) using a physically based empirical localization method to maximize the observations available while filtering error covariance areas. Physically based empirical local patches were derived separately for each river pixel, considering spatial auto-correlations. An observing system simulation experiment (OSSE) was performed using empirical localization parameters to evaluate the potential of our method for estimating discharge. We found our method could improve discharge estimates considerably without affected from error covariance while fully using the available observations. We compared this experiment using empirical localization parameters with conventional fixed-shape local patches of different sizes. The empirical local patch OSSE showed the lowest normalized root mean square error of discharge for the entire Congo basin. Extending the conventional local patch without considering spatial auto-correlation results in very large errors in LETKF assimilation due to error covariance between small tributaries. The empirical local patch method has the potential to overcome the limitations of conventional local patches for continental-scale rivers using SWOT observations. Full article
(This article belongs to the Section Hydrology)
Show Figures

Figure 1

17 pages, 2665 KB  
Article
Data Assimilation of the High-Resolution Sea Surface Temperature Obtained from the Aqua-Terra Satellites (MODIS-SST) Using an Ensemble Kalman Filter
by Yasumasa Miyazawa, Hiroshi Murakami, Toru Miyama, Sergey M. Varlamov, Xinyu Guo, Takuji Waseda and Sourav Sil
Remote Sens. 2013, 5(6), 3123-3139; https://doi.org/10.3390/rs5063123 - 21 Jun 2013
Cited by 17 | Viewed by 10531
Abstract
We develop an assimilation method of high horizontal resolution sea surface temperature data, provided from the Moderate Resolution Imaging Spectroradiometer (MODIS-SST) sensors boarded on the Aqua and Terra satellites operated by National Aeronautics and Space Administration (NASA), focusing on the reproducibility of the [...] Read more.
We develop an assimilation method of high horizontal resolution sea surface temperature data, provided from the Moderate Resolution Imaging Spectroradiometer (MODIS-SST) sensors boarded on the Aqua and Terra satellites operated by National Aeronautics and Space Administration (NASA), focusing on the reproducibility of the Kuroshio front variations south of Japan in February 2010. Major concerns associated with the development are (1) negative temperature bias due to the cloud effects, and (2) the representation of error covariance for detection of highly variable phenomena. We treat them by utilizing an advanced data assimilation method allowing use of spatiotemporally varying error covariance: the Local Ensemble Transformation Kalman Filter (LETKF). It is found that the quality control, by comparing the model forecast variable with the MODIS-SST data, is useful to remove the negative temperature bias and results in the mean negative bias within −0.4 °C. The additional assimilation of MODIS-SST enhances spatial variability of analysis SST over 50 km to 25 km scales. The ensemble spread variance is effectively utilized for excluding the erroneous temperature data from the assimilation process. Full article
(This article belongs to the Special Issue Observing the Ocean’s Interior from Satellite Remote Sensing)
Show Figures

Back to TopTop