Performance of a Hybrid Gain Ensemble Data Assimilation Scheme in Tropical Cyclone Forecasting with the GRAPES Model
Abstract
1. Introduction
2. Materials and Methods
2.1. The Model Used
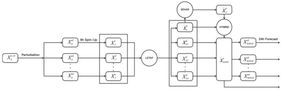
2.2. Hybrid Gain Ensemble Data Assimilation System
2.3. Experimental Design
2.4. Observation Data
3. Results
3.1. Case Study
3.1.1. Analysis of TC Position and Intensity
3.1.2. Rainfall Validation
3.2. Multicase Validation
3.2.1. Track Validation
3.2.2. Rainfall Forecast Skill Scores
4. Conclusions and Discussion
Author Contributions
Funding
Institutional Review Board Statement
Informed Consent Statement
Data Availability Statement
Acknowledgments
Conflicts of Interest
References
- Li, X.; Ming, J.; Xue, M.; Wang, Y.; Zhao, K. Implementation of a dynamic equation constraint based on the steady state momentum equations within the WRF hybrid ensemble-3DVar data assimilation system and test with radar T-TREC wind assimilation for tropical Cyclone Chanthu (2010). J. Geophys. Res. Atmos. 2015, 120, 4017–4039. [Google Scholar] [CrossRef]
- Yu, H.; Chen, L. Impact assessment of landfalling tropical cyclones: Introduction to the special issue. Front. Earth Sci. 2019, 13, 669–671. [Google Scholar] [CrossRef]
- Chen, J.H.; Lin, S.J.; Magnusson, L.; Bender, M.; Chen, X.; Zhou, L.; Xiang, B.; Rees, S.; Morin, M.; Harris, L. Advancements in hurricane prediction with NOAA’s next-generation forecast system. Geophys. Res. Lett. 2019, 46, 4495–4501. [Google Scholar] [CrossRef]
- Mohanty, U.; Nadimpalli, R.; Mohanty, S.; Osuri, K.K. Recent advancements in prediction of tropical cyclone track over north Indian Ocean basin. Mausam 2019, 70, 57–70. [Google Scholar] [CrossRef]
- Xue, M.; Schleif, J.; Kong, F.; Thomas, K.W.; Wang, Y.; Zhu, K. Track and intensity forecasting of hurricanes: Impact of convection-permitting resolution and global ensemble Kalman filter analysis on 2010 Atlantic season forecasts. Weather Forecast. 2013, 28, 1366–1384. [Google Scholar] [CrossRef]
- Osuri, K.K.; Mohanty, U.; Routray, A.; Mohapatra, M. The impact of satellite-derived wind data assimilation on track, intensity and structure of tropical cyclones over the North Indian Ocean. Int. J. Remote Sens. 2012, 33, 1627–1652. [Google Scholar] [CrossRef]
- Goni, G.; DeMaria, M.; Knaff, J.; Sampson, C.; Ginis, I.; Bringas, F.; Mavume, A.; Lauer, C.; Lin, I.-I.; Ali, M. Applications of satellite-derived ocean measurements to tropical cyclone intensity forecasting. Oceanography 2009, 22, 190–197. [Google Scholar] [CrossRef]
- Leroux, M.-D.; Wood, K.; Elsberry, R.L.; Cayanan, E.O.; Hendricks, E.; Kucas, M.; Otto, P.; Rogers, R.; Sampson, B.; Yu, Z. Recent advances in research and forecasting of tropical cyclone track, intensity, and structure at landfall. Trop. Cyclone Res. Rev. 2018, 7, 85–105. [Google Scholar] [CrossRef]
- Shu, A.; Xu, D.; Zhang, S.; Shen, F.; Zhang, X.; Song, L. Impacts of Multi-Source Microwave Satellite Radiance Data Assimilation on the Forecast of Typhoon Ampil. Atmosphere 2022, 13, 1427. [Google Scholar] [CrossRef]
- Christophersen, H.; Sippel, J.; Aksoy, A.; Baker, N.L. Recent advancements for tropical cyclone data assimilation. Ann. N. Y. Acad. Sci. 2022, 1517, 25–43. [Google Scholar] [CrossRef]
- Anthes, R.A. Data assimilation and initialization of hurricane prediction models. J. Atmos. Sci. 1974, 31, 702–719. [Google Scholar] [CrossRef]
- Lai, Z.; Peng, S. The Effect of Assimilating AMSU-A Radiance Data from Satellites and Large-Scale Flows from GFS on Improving Tropical Cyclone Track Forecast. Atmosphere 2022, 13, 1988. [Google Scholar] [CrossRef]
- Kleist, D.T.; Parrish, D.F.; Derber, J.C.; Treadon, R.; Wu, W.-S.; Lord, S. Introduction of the GSI into the NCEP global data assimilation system. Weather Forecast. 2009, 24, 1691–1705. [Google Scholar] [CrossRef]
- Li, Z.; Chao, Y.; McWilliams, J.C.; Ide, K. A three-dimensional variational data assimilation scheme for the regional ocean modeling system. J. Atmos. Ocean. Technol. 2008, 25, 2074–2090. [Google Scholar] [CrossRef]
- Parrish, D.F.; Derber, J.C. The National Meteorological Center’s spectral statistical-interpolation analysis system. Mon. Weather Rev. 1992, 120, 1747–1763. [Google Scholar] [CrossRef]
- Barker, D. Southern high-latitude ensemble data assimilation in the Antarctic Mesoscale Prediction System. Mon. Weather Rev. 2005, 133, 3431–3449. [Google Scholar] [CrossRef]
- Xu, D.; Min, J.; Shen, F.; Ban, J.; Chen, P. Assimilation of MWHS radiance data from the FY-3B satellite with the WRF Hybrid-3DVAR system for the forecasting of binary typhoons. J. Adv. Model. Earth Syst. 2016, 8, 1014–1028. [Google Scholar] [CrossRef]
- Chen, X.; Zhang, F. Development of a convection-permitting air-sea-coupled ensemble data assimilation system for tropical cyclone prediction. J. Adv. Model. Earth Syst. 2019, 11, 3474–3496. [Google Scholar] [CrossRef]
- Hamill, T.M.; Whitaker, J.S.; Kleist, D.T.; Fiorino, M.; Benjamin, S.G. Predictions of 2010’s tropical cyclones using the GFS and ensemble-based data assimilation methods. Mon. Weather Rev. 2011, 139, 3243–3247. [Google Scholar] [CrossRef]
- Hamill, T.M.; Snyder, C. A hybrid ensemble Kalman filter–3D variational analysis scheme. Mon. Weather Rev. 2000, 128, 2905–2919. [Google Scholar] [CrossRef]
- Ghil, M. Advances in Sequential Estimation for Atmospheric and Oceanic Flows (gtSpecial IssueltData Assimilation in Meteology and Oceanography: Theory and Practice). J. Meteorol. Soc. Jpn. Ser. II 1997, 75, 289–304. [Google Scholar] [CrossRef]
- Kepert, J.D. On ensemble representation of the observation-error covariance in the Ensemble Kalman Filter. Ocean. Dyn. 2004, 54, 561–569. [Google Scholar] [CrossRef]
- Liang, K.; Li, W.; Han, G.; Gong, Y.; Liu, S. Analytical Four-Dimensional Ensemble Variational Data Assimilation for Joint State and Parameter Estimation. Atmosphere 2022, 13, 993. [Google Scholar] [CrossRef]
- Davis, B.; Wang, X.; Lu, X. A comparison of HWRF six-hourly 4denvar and hourly 3denvar assimilation of inner core tail dopper radar observations for the prediction of hurricane edouard (2014). Atmosphere 2021, 12, 942. [Google Scholar] [CrossRef]
- Wang, X.; Parrish, D.; Kleist, D.; Whitaker, J. GSI 3DVar-based ensemble–variational hybrid data assimilation for NCEP Global Forecast System: Single-resolution experiments. Mon. Weather Rev. 2013, 141, 4098–4117. [Google Scholar] [CrossRef]
- Gao, J.; Xue, M.; Stensrud, D.J. The development of a hybrid EnKF-3DVAR algorithm for storm-scale data assimilation. Adv. Meteorol. 2013, 2013, 512656. [Google Scholar] [CrossRef]
- Penny, S.G. The hybrid local ensemble transform Kalman filter. Mon. Weather Rev. 2014, 142, 2139–2149. [Google Scholar] [CrossRef]
- Penny, S.G.; Behringer, D.W.; Carton, J.A.; Kalnay, E. A hybrid global ocean data assimilation system at NCEP. Mon. Weather Rev. 2015, 143, 4660–4677. [Google Scholar] [CrossRef]
- Wang, Y.; Min, J.; Chen, Y. Impact of the hybrid gain ensemble data assimilation on meso-scale numerical weather prediction over east China. Atmos. Res. 2018, 206, 30–45. [Google Scholar] [CrossRef]
- Houtekamer, P.L.; Buehner, M.; De La Chevrotière, M. Using the hybrid gain algorithm to sample data assimilation uncertainty. Quart. J. Roy. Meteorol. Soc. 2019, 145, 35–56. [Google Scholar] [CrossRef]
- Chang, C.-C.; Yang, S.-C.; Penny, S.G. A regional hybrid gain data assimilation system and preliminary evaluation based on Radio Occultation reflectivity assimilation. SOLA 2022, 18, 33–40. [Google Scholar] [CrossRef]
- Yang, E.-G.; Kim, H.M.; Kim, D.-H. Development of East Asia Regional Reanalysis based on advanced hybrid gain data assimilation method and evaluation with E3DVAR, ERA-5, and ERA-Interim reanalysis. Earth Syst. Sci. Data 2022, 14, 2109–2127. [Google Scholar] [CrossRef]
- Bonavita, M.; Hamrud, M.; Isaksen, L. EnKF and hybrid gain ensemble data assimilation. Part II: EnKF and hybrid gain results. Mon. Weather Rev. 2015, 143, 4865–4882. [Google Scholar] [CrossRef]
- Whitaker, J.S.; Shlyaeva, A.; Penny, S.G. A Comparison of Hybrid-Gain Versus Hybrid-Covariance Data Assimilation for Global NWP. J. Adv. Model. Earth Syst. 2022, 14, e2022MS003036. [Google Scholar] [CrossRef]
- Chang, C.-C.; Penny, S.G.; Yang, S.-C. Hybrid gain data assimilation using variational corrections in the subspace orthogonal to the ensemble. Mon. Weather Rev. 2020, 148, 2331–2350. [Google Scholar] [CrossRef]
- Penny, S.G. Mathematical foundations of hybrid data assimilation from a synchronization perspective. Chaos Interdiscip. J. Nonlinear Sci. 2017, 27, 126801. [Google Scholar] [CrossRef]
- Bonavita, M.; Hólm, E.; Isaksen, L.; Fisher, M. The evolution of the ECMWF hybrid data assimilation system. Q. J. R. Meteorol. Soc. 2016, 142, 287–303. [Google Scholar] [CrossRef]
- Zhang, R.; Shen, X. On the development of the GRAPES—A new generation of the national operational NWP system in China. Chin. Sci. Bull. 2008, 53, 3429–3432. [Google Scholar] [CrossRef]
- Zhang, L.; Liu, Y.; Liu, Y.; Gong, J.; Lu, H.; Jin, Z.; Tian, W.; Liu, G.; Zhou, B.; Zhao, B. The operational global four-dimensional variational data assimilation system at the China Meteorological Administration. Q. J. R. Meteorol. Soc. 2019, 145, 1882–1896. [Google Scholar] [CrossRef]
- Xue, J.; Zhuang, S.; Zhu, G.; Zhang, H.; Liu, Z.; Liu, Y.; Zhuang, Z. Scientific design and preliminary results of three-dimensional variational data assimilation system of GRAPES. Chin. Sci. Bull. 2008, 53, 3446–3457. [Google Scholar] [CrossRef]
- Chen, L.; Chen, J.; Xue, J.; Xia, Y. Development and testing of the GRAPES regional ensemble-3DVAR hybrid data assimilation system. J. Mar. Res. 2015, 29, 981–996. [Google Scholar] [CrossRef]
- Xia, Y.; Chen, J.; Zhi, X.; Chen, L.; Zhao, Y.; Liu, X. Impact of Model Bias Correction on a Hybrid Data Assimilation System. J. Mar. Res. 2020, 34, 400–412. [Google Scholar] [CrossRef]
- Zhu, S.; Wang, B.; Zhang, L.; Liu, J.; Liu, Y.; Gong, J.; Xu, S.; Wang, Y.; Huang, W.; Liu, L. A Four-Dimensional Ensemble-Variational (4DEnVar) Data Assimilation System Based on GRAPES-GFS: System Description and Primary Tests. J. Adv. Model. Earth Syst. 2022, 14, e2021MS002737. [Google Scholar] [CrossRef]
- Ma, Z.; Han, W.; Zhao, C.; Zhang, X.; Yang, Y.; Wang, H.; Cao, Y.; Li, Z.; Chen, J.; Jiang, Q. A case study of evaluating the GRAPES_Meso V5. 0 forecasting performance utilizing observations from South China Sea Experiment 2020 of the “Petrel Project”. Atmos. Res. 2022, 280, 106437. [Google Scholar] [CrossRef]
- Chen, D.; Xue, J.; Yang, X.; Zhang, H.; Shen, X.; Hu, J.; Wang, Y.; Ji, L.; Chen, J. New generation of multi-scale NWP system (GRAPES): General scientific design. Chin. Sci. Bull. 2008, 53, 3433–3445. [Google Scholar] [CrossRef]
- Mlawer, E.J.; Taubman, S.J.; Brown, P.D.; Iacono, M.J.; Clough, S.A. Radiative transfer for inhomogeneous atmospheres: RRTM, a validated correlated-k model for the longwave. J. Geophys. Res. Atmos. 1997, 102, 16663–16682. [Google Scholar] [CrossRef]
- Dudhia, J. A nonhydrostatic version of the Penn State–NCAR mesoscale model: Validation tests and simulation of an Atlantic cyclone and cold front. Mon. Weather Rev. 1993, 121, 1493–1513. [Google Scholar] [CrossRef]
- Chen, F.; Dudhia, J. Coupling an advanced land surface–hydrology model with the Penn State–NCAR MM5 modeling system. Part I: Model implementation and sensitivity. Mon. Weather Rev. 2001, 129, 569–585. [Google Scholar] [CrossRef]
- Hong, S.-Y.; Pan, H.-L. Nonlocal boundary layer vertical diffusion in a medium-range forecast model. Mon. Weather Rev. 1996, 124, 2322–2339. [Google Scholar] [CrossRef]
- Hong, S.-Y.; Dudhia, J.; Chen, S.-H. A revised approach to ice microphysical processes for the bulk parameterization of clouds and precipitation. Mon. Weather Rev. 2004, 132, 103–120. [Google Scholar] [CrossRef]
- Hunt, B.R.; Kostelich, E.J.; Szunyogh, I. Efficient data assimilation for spatiotemporal chaos: A local ensemble transform Kalman filter. Phys. D Nonlinear Phenom. 2007, 230, 112–126. [Google Scholar] [CrossRef]
- Torn, R.D.; Hakim, G.J.; Snyder, C. Boundary conditions for limited-area ensemble Kalman filters. Mon. Weather Rev. 2006, 134, 2490–2502. [Google Scholar] [CrossRef]
- Whitaker, J.S.; Hamill, T.M. Evaluating methods to account for system errors in ensemble data assimilation. Mon. Weather Rev. 2012, 140, 3078–3089. [Google Scholar] [CrossRef]
- Yang, J.; Zhang, Z.; Wei, C.; Lu, F.; Guo, Q. Introducing the new generation of Chinese geostationary weather satellites, Fengyun-4. Bull. Am. Meteorol. Soc. 2017, 98, 1637–1658. [Google Scholar] [CrossRef]
- Yiemwech, J.; Chen, Y.; Shen, J.; Wang, Y.; Alriah, M.A.A. Assessment of FY-2G, FY-4A, and Himawari-8 Atmospheric Motion Vectors over Southeast Asia and Their Assimilating Impact on the Forecasts of Tropical Cyclone PABUK. Remote Sens. 2022, 14, 4311. [Google Scholar] [CrossRef]
- Velden, C.S.; Hayden, C.M.; Nieman, S.J.W.; Paul Menzel, W.; Wanzong, S.; Goerss, J.S. Upper-tropospheric winds derived from geostationary satellite water vapor observations. Bull. Am. Meteorol. Soc. 1997, 78, 173–196. [Google Scholar] [CrossRef]
- Yang, L.; Wang, Z.; Chu, Y.; Zhao, H.; Tang, M. Water vapor motion signal extraction from FY-2E longwave infrared window images for cloud-free regions: The temporal difference technique. Adv. Atmos. Sci. 2014, 31, 1386–1394. [Google Scholar] [CrossRef]
- Liang, J.; Chen, K.; Xian, Z. Assessment of FY-2G Atmospheric Motion Vector Data and Assimilating Impacts on Typhoon Forecasts. Earth Space Sci. 2021, 8, e2020EA001628. [Google Scholar] [CrossRef]
- Chen, K.; Guan, P.; Han, W.; Chen, Y.; Zhu, J.; Li, J.; Zhang, P. The Impacts of Assimilating Fengyun-4A Atmospheric Motion Vectors on Typhoon Forecasts. Atmosphere 2023, 14, 375. [Google Scholar] [CrossRef]
- Xiang, C.; Wu, L.; Qin, N. Characteristics of extreme rainfall and rainbands evolution of Super Typhoon Lekima (2019) during its landfall. Front. Earth Sci. 2022, 16, 64–74. [Google Scholar] [CrossRef]
- Lei, L.; Ge, Y.; Tan, Z.-M.; Zhang, Y.; Chu, K.; Qiu, X.; Qian, Q. Evaluation of a Regional Ensemble Data Assimilation System for Typhoon Prediction. Adv. Atmos. Sci. 2022, 39, 1816–1832. [Google Scholar] [CrossRef]
- Zhang, F.; Weng, Y.; Sippel, J.A.; Meng, Z.; Bishop, C.H. Cloud-resolving hurricane initialization and prediction through assimilation of Doppler radar observations with an ensemble Kalman filter. Mon. Weather Rev. 2009, 137, 2105–2125. [Google Scholar] [CrossRef]
- Peng, S.; Li, Y.; Gu, X.; Chen, S.; Wang, D.; Wang, H.; Zhang, S.; Lv, W.; Wang, C.; Liu, B. A Real-Time Regional Forecasting System Established for the South China Sea and Its Performance in the Track Forecasts of Tropical Cyclones during 2011–2013. Weather Forecast. 2015, 30, 471–485. [Google Scholar] [CrossRef]












| Case | TC Name | Category | Year | Data Assimilation Time | Free Forecast Duration |
|---|---|---|---|---|---|
| 1 | MA-ON | Typhoon | 2022 | 06 UTC 24 August | 06 UTC 24–25 August |
| 2 | CHABA | Typhoon | 2022 | 06 UTC 1 July | 06 UTC 1–2 July |
| 3 | KOMPASU | Typhoon | 2021 | 00 UTC 12 October | 00 UTC 12–13 October |
| 4 | LIONROCK | Tropical Storm | 2021 | 18 UTC 7 October | 18 UTC 7–8 October |
| 5 | IN-FA | Typhoon | 2021 | 06 UTC 24 July | 06 UTC 24–25 July |
| 6 | CEMPAKA | Typhoon | 2021 | 06 UTC 19 July | 06 UTC 19–20 July |
| 7 | NURI | Tropical Storm | 2020 | 00 UTC 13 June | 00 UTC 13–14 June |
| 8 | MITAG | Typhoon | 2019 | 12 UTC 30 September | 12 UTC 30 September–1 October |
| Case | TC Name | 3DVAR | LETKF | HYBRID |
|---|---|---|---|---|
| 1 | MA-ON | 1.016 | −2.642 | −4.806 |
| 2 | CHABA | −8.484 | −31.956 | −36.773 |
| 3 | KOMPASU | −5.693 | 11.448 | 1.202 |
| 4 | LIONROCK | −6.109 | −16.320 | −11.334 |
| 5 | IN-FA | 18.093 | 1.734 | −6.408 |
| 6 | CEMPAKA | −8.692 | −13.094 | −16.904 |
| 7 | NURI | 0.903 | −8.203 | −4.334 |
| 8 | MITAG | −1.988 | −5.538 | −5.538 |
| Average mean | −1.369 | −8.071 | −10.612 | |
Disclaimer/Publisher’s Note: The statements, opinions and data contained in all publications are solely those of the individual author(s) and contributor(s) and not of MDPI and/or the editor(s). MDPI and/or the editor(s) disclaim responsibility for any injury to people or property resulting from any ideas, methods, instructions or products referred to in the content. |
© 2023 by the authors. Licensee MDPI, Basel, Switzerland. This article is an open access article distributed under the terms and conditions of the Creative Commons Attribution (CC BY) license (https://creativecommons.org/licenses/by/4.0/).
Share and Cite
Xia, X.; Feng, J.; Wang, K.; Sun, J.; Gao, Y.; Jin, Y.; Ma, Y.; Gao, Y.; Wan, Q. Performance of a Hybrid Gain Ensemble Data Assimilation Scheme in Tropical Cyclone Forecasting with the GRAPES Model. Atmosphere 2023, 14, 565. https://doi.org/10.3390/atmos14030565
Xia X, Feng J, Wang K, Sun J, Gao Y, Jin Y, Ma Y, Gao Y, Wan Q. Performance of a Hybrid Gain Ensemble Data Assimilation Scheme in Tropical Cyclone Forecasting with the GRAPES Model. Atmosphere. 2023; 14(3):565. https://doi.org/10.3390/atmos14030565
Chicago/Turabian StyleXia, Xin, Jiali Feng, Kun Wang, Jian Sun, Yudong Gao, Yuchao Jin, Yulong Ma, Yan Gao, and Qilin Wan. 2023. "Performance of a Hybrid Gain Ensemble Data Assimilation Scheme in Tropical Cyclone Forecasting with the GRAPES Model" Atmosphere 14, no. 3: 565. https://doi.org/10.3390/atmos14030565
APA StyleXia, X., Feng, J., Wang, K., Sun, J., Gao, Y., Jin, Y., Ma, Y., Gao, Y., & Wan, Q. (2023). Performance of a Hybrid Gain Ensemble Data Assimilation Scheme in Tropical Cyclone Forecasting with the GRAPES Model. Atmosphere, 14(3), 565. https://doi.org/10.3390/atmos14030565

