Sign in to use this feature.

Years

Between: -

Subjects

remove_circle_outline
remove_circle_outline
remove_circle_outline
remove_circle_outline

Journals

Article Types

Countries / Regions

Search Results (16)

Search Parameters:
Keywords = LDRT

Order results
Result details
Results per page
Select all
Export citation of selected articles as:
19 pages, 654 KB  
Review
Targeted Radiotherapy in Primary Cutaneous Lymphomas: Precision, Efficacy, and Evolving Strategies
by Piotr Sobolewski, Mateusz Koper, Piotr Ciechanowicz and Irena Walecka
Cancers 2025, 17(17), 2722; https://doi.org/10.3390/cancers17172722 - 22 Aug 2025
Cited by 1 | Viewed by 1855
Abstract
Primary cutaneous lymphomas (PCLs), including cutaneous T-cell lymphomas (CTCL) and primary cutaneous B-cell lymphomas (PCBCL), are a diverse group of non-Hodgkin lymphomas that primarily affect the skin. Radiotherapy (RT) plays a pivotal role in the treatment of these lymphomas, particularly for localized disease, [...] Read more.
Primary cutaneous lymphomas (PCLs), including cutaneous T-cell lymphomas (CTCL) and primary cutaneous B-cell lymphomas (PCBCL), are a diverse group of non-Hodgkin lymphomas that primarily affect the skin. Radiotherapy (RT) plays a pivotal role in the treatment of these lymphomas, particularly for localized disease, due to its ability to deliver precise, skin-directed treatment. Mycosis fungoides (MF) and Sézary syndrome (SS), the most common subtypes of CTCL, often require skin-directed therapies such as electron beam therapy and superficial brachytherapy to manage localized lesions. Electron beam therapy, including total skin electron beam therapy (TSEBT), has been utilized for decades, offering high response rates but with the risk of cumulative skin toxicity. Recently, low-dose radiotherapy (LDRT) has gained attention as an effective alternative that reduces toxicity while maintaining durable responses. Superficial brachytherapy is another modality that delivers radiation through custom molds, allowing for homogeneous dosing over complex anatomical areas like the face. Both teleradiotherapy and brachytherapy have demonstrated high complete response rates, with low recurrence rates observed when higher doses are used. In the context of primary cutaneous B-cell lymphomas, such as primary cutaneous marginal zone lymphoma (PCMZL) and primary cutaneous follicle center lymphoma (PCFCL), radiotherapy also offers excellent local control, particularly for indolent subtypes. However, more aggressive subtypes, such as diffuse large B-cell lymphoma, leg type (PCDLBCL-LT), may require systemic therapies in addition to radiation. Overall, teleradiotherapy and brachytherapy are essential components of the therapeutic arsenal for primary cutaneous lymphomas, offering effective disease control with manageable toxicity, while ongoing research focuses on optimizing treatment strategies and exploring novel combinations with systemic therapies. Full article
(This article belongs to the Section Cancer Therapy)
Show Figures

Figure 1

14 pages, 1574 KB  
Article
A Two-Stage Phase 2, Multicenter, Randomized, Double-Blind, Placebo-Controlled Study to Evaluate the Safety and Efficacy of Ec-18 in Altering the Severity and Course of Oral Mucositis Secondary to Chemoradiation Therapy for Squamous Cell Cancers of the Head and Neck
by Christina Henson, Daniel Clayburgh, Arielle Lee, Deborah Wong, Mahesh Kudrimoti, Steve Lee, Noah Kalman, Krishna Rao, Ki Young Sohn, Jeffrey Crawford, Alessandro Villa and Stephen Sonis
Cancers 2025, 17(10), 1663; https://doi.org/10.3390/cancers17101663 - 14 May 2025
Cited by 3 | Viewed by 1824
Abstract
Background: Oral mucositis (OM) remains a significant toxicity of concomitant chemoradiation (CRT) for head and neck cancer (HNC). This trial assessed the safety and efficacy of EC-18, an innate immune response mitigator, in attenuating severe OM (SOM) in HNC patients being treated with [...] Read more.
Background: Oral mucositis (OM) remains a significant toxicity of concomitant chemoradiation (CRT) for head and neck cancer (HNC). This trial assessed the safety and efficacy of EC-18, an innate immune response mitigator, in attenuating severe OM (SOM) in HNC patients being treated with CRT. Methods: This was a two-stage, Phase 2, randomized, double-blind, placebo-controlled, multi-institutional trial. Stage 1 consisted of a blinded parallel group dose-finding safety and tolerability study of 24 subjects in four equally sized groups of EC-18 (500 mg, 1000 mg, or 2000 mg or placebo). Stage 2 randomized subjects (1:1) to receive placebo or 2000 mg of EC-18. Twice-daily dosing was carried out from the first to the last day of radiation (LDRT). Patients were assessed twice weekly. OM scores were assigned centrally using WHO criteria. Adverse events were reported using NCI-CTCAE v4.0 criteria. Tumor response was reported up to 12 months following the LDRT. Results: Among patients who received a cumulative radiation dose of at least 55 Gy, at least 80% were compliant with the study’s drug dosing during the first 28 days of treatment and continued to use the study drug for more than 4 weeks. EC-18 effectively reduced the duration, onset, and incidence of SOM compared to placebo. Opioid use was delayed in EC-18-treated patients. Efficacy was associated with weekly cisplatin use and HPV positivity. No significant differences in AEs were observed between study cohorts. Conclusions: EC-18 administered orally may be a safe and effective CRT-associated SOM intervention in patients with HNC. Full article
(This article belongs to the Section Cancer Therapy)
Show Figures

Figure 1

14 pages, 1052 KB  
Review
Modulation of Radiation Doses and Chimeric Antigen Receptor T Cells: A Promising New Weapon in Solid Tumors—A Narrative Review
by Antonio Pontoriero, Paola Critelli, Federico Chillari, Giacomo Ferrantelli, Miriam Sciacca, Anna Brogna, Silvana Parisi and Stefano Pergolizzi
J. Pers. Med. 2023, 13(8), 1261; https://doi.org/10.3390/jpm13081261 - 14 Aug 2023
Cited by 6 | Viewed by 3268
Abstract
Tumor behavior is determined by its interaction with the tumor microenvironment (TME). Chimeric antigen receptor (CART) cell therapy represents a new form of cellular immunotherapy (IT). Immune cells present a different sensitivity to radiation therapy (RT). RT can affect tumor cells both modifying [...] Read more.
Tumor behavior is determined by its interaction with the tumor microenvironment (TME). Chimeric antigen receptor (CART) cell therapy represents a new form of cellular immunotherapy (IT). Immune cells present a different sensitivity to radiation therapy (RT). RT can affect tumor cells both modifying the TME and inducing DNA damage, with different effects depending on the low and high doses delivered, and can favor the expression of CART cells. CART cells are patients’ T cells genetically engineered to recognize surface structure and to eradicate cancer cells. High-dose radiation therapy (HDRT, >10–20 Gy/fractions) converts immunologically “cold” tumors into “hot” ones by inducing necrosis and massive inflammation and death. LDRT (low-dose radiation therapy, >5–10 Gy/fractions) increases the expansion of CART cells and leads to non-immunogenetic death. An innovative approach, defined as the LATTICE technique, combines a high dose in higher FDG- uptake areas and a low dose to the tumor periphery. The association of RT and immune checkpoint inhibitors increases tumor immunogenicity and immune response both in irradiated and non-irradiated sites. The aim of this narrative review is to clarify the knowledge, to date, on CART cell therapy and its possible association with radiation therapy in solid tumors. Full article
(This article belongs to the Special Issue Cancer Immunotherapy: Current Advancements and Future Perspectives)
Show Figures

Figure 1

17 pages, 3094 KB  
Article
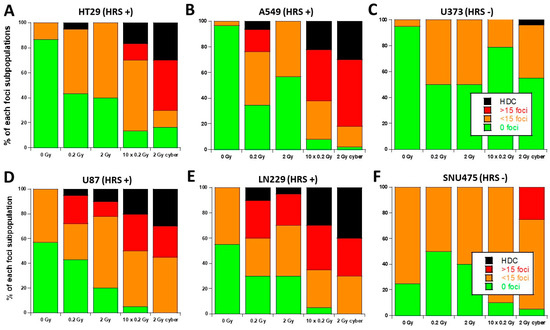
Influence of the Hypersensitivity to Low Dose Phenomenon on the Tumor Response to Hypofractionated Stereotactic Body Radiation Therapy
by Eymeric Le Reun, Adeline Granzotto, Adeline Pêtre, Larry Bodgi, Guillaume Beldjoudi, Thomas Lacornerie, Véronique Vallet, Audrey Bouchet, Joëlle Al-Choboq, Michel Bourguignon, Juliette Thariat, Jean Bourhis, Eric Lartigau and Nicolas Foray
Cancers 2023, 15(15), 3979; https://doi.org/10.3390/cancers15153979 - 5 Aug 2023
Cited by 4 | Viewed by 2404
Abstract
Stereotactic body radiation therapy (SBRT) has made the hypofractionation of high doses delivered in a few sessions more acceptable. While the benefits of hypofractionated SBRT have been attributed to additional vascular, immune effects, or specific cell deaths, a radiobiological and mechanistic model is [...] Read more.
Stereotactic body radiation therapy (SBRT) has made the hypofractionation of high doses delivered in a few sessions more acceptable. While the benefits of hypofractionated SBRT have been attributed to additional vascular, immune effects, or specific cell deaths, a radiobiological and mechanistic model is still needed. By considering each session of SBRT, the dose is divided into hundreds of minibeams delivering some fractions of Gy. In such a dose range, the hypersensitivity to low dose (HRS) phenomenon can occur. HRS produces a biological effect equivalent to that produced by a dose 5-to-10 times higher. To examine whether HRS could contribute to enhancing radiation effects under SBRT conditions, we exposed tumor cells of different HRS statuses to SBRT. Four human HRS-positive and two HRS-negative tumor cell lines were exposed to different dose delivery modes: a single dose of 0.2 Gy, 2 Gy, 10 × 0.2 Gy, and a single dose of 2 Gy using a non-coplanar isocentric minibeams irradiation mode were delivered. Anti-γH2AX immunofluorescence, assessing DNA double-strand breaks (DSB), was applied. In the HRS-positive cells, the DSB produced by 10 × 0.2 Gy and 2 Gy, delivered by tens of minibeams, appeared to be more severe, and they provided more highly damaged cells than in the HRS-negative cells, suggesting that more severe DSB are induced in the “SBRT modes” conditions when HRS occurs in tumor. Each SBRT session can be viewed as hyperfractionated dose delivery by means of hundreds of low dose minibeams. Under current SBRT conditions (i.e., low dose per minibeam and not using ultra-high dose-rate), the response of HRS-positive tumors to SBRT may be enhanced significantly. Interestingly, similar conclusions were reached with HRS-positive and HRS-negative untransformed fibroblast cell lines, suggesting that the HRS phenomenon may also impact the risk of post-RT tissue overreactions. Full article
(This article belongs to the Section Cancer Therapy)
Show Figures

Figure 1

13 pages, 1610 KB  
Article
Low-Dose Radiotherapy for Patients with Pneumonia Due to COVID-19: A Single-Institution Prospective Study
by Tomasz Wojciech Rutkowski, Jerzy Jaroszewicz, Damian Piotrowski, Krzysztof Ślosarek, Barbara Sobala-Szczygieł, Dorota Słonina, Bożena Włostowska, Dawid Bodusz, Maciej Piasecki, Michał Nachlik, Barbara Oczko-Grzesik, Adam Gądek, Dorota Kowal, Roman Rutkowski, Elżbieta Wojarska-Tręda and Krzysztof Składowski
Biomedicines 2023, 11(3), 858; https://doi.org/10.3390/biomedicines11030858 - 11 Mar 2023
Cited by 3 | Viewed by 2593
Abstract
Purpose: Results of the low-dose radiation therapy (LDRT) in patients with pneumonia due to COVID-19 has been presented. Methods: Fifteen patients received a single-fraction radiation dose of 1 Gy to the bilateral lungs due to pre-ARDS pneumonia in the course of COVID-19. Follow-up [...] Read more.
Purpose: Results of the low-dose radiation therapy (LDRT) in patients with pneumonia due to COVID-19 has been presented. Methods: Fifteen patients received a single-fraction radiation dose of 1 Gy to the bilateral lungs due to pre-ARDS pneumonia in the course of COVID-19. Follow-up was performed on days 1, 3, 5, 7, 14 after LDRT. Results: Eleven patients (73%) were released up until day 28. Median hospitalization was 20 days; 28-day mortality was 13%. Median O2 saturation improved within 24 h after LDRT in 14/15, with median SpO2 values of 84.5% vs. 87.5% p = 0.016, respectively. At day 14 of hospitalization, 46% did not require oxygen supplementation. Significant decline in CRP and IL-6 was observed within 24 h post LDRT. No organ toxicities were noted. Conclusion: LDRT is feasible, well tolerated and may translate to early clinical recovery in patients with severe pneumonia. Further studies are needed to determine optimal candidate, time and dose of LDRT for COVID-19 patients with pneumonia. Full article
(This article belongs to the Special Issue COVID-19-Related Pulmonary Conditions and Their Treatment)
Show Figures

Figure 1

18 pages, 732 KB  
Review
Low-Dose Radiation Therapy (LDRT) against Cancer and Inflammatory or Degenerative Diseases: Three Parallel Stories with a Common Molecular Mechanism Involving the Nucleoshuttling of the ATM Protein?
by Eymeric Le Reun and Nicolas Foray
Cancers 2023, 15(5), 1482; https://doi.org/10.3390/cancers15051482 - 26 Feb 2023
Cited by 18 | Viewed by 6456
Abstract
Very early after their discovery, X-rays were used in multiple medical applications, such as treatments against cancer, inflammation and pain. Because of technological constraints, such applications involved X-ray doses lower than 1 Gy per session. Progressively, notably in oncology, the dose per session [...] Read more.
Very early after their discovery, X-rays were used in multiple medical applications, such as treatments against cancer, inflammation and pain. Because of technological constraints, such applications involved X-ray doses lower than 1 Gy per session. Progressively, notably in oncology, the dose per session increased. However, the approach of delivering less than 1 Gy per session, now called low-dose radiation therapy (LDRT), was preserved and is still applied in very specific cases. More recently, LDRT has also been applied in some trials to protect against lung inflammation after COVID-19 infection or to treat degenerative syndromes such as Alzheimer’s disease. LDRT illustrates well the discontinuity of the dose-response curve and the counterintuitive observation that a low dose may produce a biological effect higher than a certain higher dose. Even if further investigations are needed to document and optimize LDRT, the apparent paradox of some radiobiological effects specific to low dose may be explained by the same mechanistic model based on the radiation-induced nucleoshuttling of the ATM kinase, a protein involved in various stress response pathways. Full article
(This article belongs to the Section Cancer Therapy)
Show Figures

Figure 1

15 pages, 2210 KB  
Article
SARS-CoV-2 Serum Viral Load and Prognostic Markers Proposal for COVID-19 Pneumonia in Low-Dose Radiation Therapy Treated Patients
by Berta Piqué, Karla Peña, Francesc Riu, Johana C. Acosta, Laura Torres-Royo, Barbara Malave, Pablo Araguas, Rocío Benavides, Gabriel de Febrer, Jordi Camps, Jorge Joven, Meritxell Arenas and David Parada
J. Clin. Med. 2023, 12(3), 798; https://doi.org/10.3390/jcm12030798 - 19 Jan 2023
Cited by 5 | Viewed by 2248
Abstract
Several studies have shown that the plasma RNA of SARS-CoV-2 seems to be associated with a worse prognosis of COVID-19. In the present study, we investigated plasma RNA in COVID-19 patients treated with low-dose radiotherapy to determine its prognostic value. Data were collected [...] Read more.
Several studies have shown that the plasma RNA of SARS-CoV-2 seems to be associated with a worse prognosis of COVID-19. In the present study, we investigated plasma RNA in COVID-19 patients treated with low-dose radiotherapy to determine its prognostic value. Data were collected from the IPACOVID prospective clinical trial (NCT04380818). The study included 46 patients with COVID-19 pneumonia treated with a whole-lung dose of 0.5 Gy. Clinical follow-up, as well as laboratory variables, and SARS-CoV-2 serum viral load, were analyzed before LDRT, at 24 h, and one week after treatment. The mean age of the patients was 85 years, and none received any of the SARS-CoV-2 vaccine doses. The mortality ratio during the course of treatment was 33%. RT-qPCR showed amplification in 23 patients. Higher mortality rate was associated with detectable viremia. Additionally, C-reactive protein, lactate dehydrogenase, and aspartate aminotransferase were significant risk factors associated with COVID-19 mortality. Our present findings show that detectable SARS-CoV-2 plasma viremia 24 h before LDRT is significantly associated with increased mortality rates post-treatment, thus downsizing the treatment success. Full article
(This article belongs to the Section Infectious Diseases)
Show Figures

Figure 1

5 pages, 946 KB  
Commentary
COVID-19 Update: The Golden Time Window for Pharmacological Treatments and Low Dose Radiation Therapy
by Seyed Mohammad Javad Mortazavi, B. F. Bahaaddini Baigy Zarandi, Abdollah Jafarzadeh, S. Alireza Mortazavi and Lembit Sihver
Radiation 2022, 2(3), 268-272; https://doi.org/10.3390/radiation2030020 - 20 Jul 2022
Cited by 1 | Viewed by 3458
Abstract
At the beginning of the COVID-19 emergence, many scientists believed that, thanks to the proofreading enzyme of SARS-CoV-2, the virus would not have many mutations. Our team introduced the concept of radiation at extremely low doses in an attempt to establish selected pressure-free [...] Read more.
At the beginning of the COVID-19 emergence, many scientists believed that, thanks to the proofreading enzyme of SARS-CoV-2, the virus would not have many mutations. Our team introduced the concept of radiation at extremely low doses in an attempt to establish selected pressure-free treatment approaches for COVID-19. The capacity of low-dose radiation to modulate excessive inflammatory responses, optimize the immune system, prevent the occurrence of dangerous cytokine storm, regulate lymphocyte counts, and control bacterial co-infections as well as different modalities were proposed as a treatment program for patients with severe COVID-19-associated pneumonia. There is now substantial evidence which indicates that it would be unwise not to further investigate low-dose radiation therapy (LDRT) as an effective remedy against COVID-19-associated pneumonia. Full article
(This article belongs to the Special Issue Feature Papers of Radiation 2022)
Show Figures

Figure 1

17 pages, 2035 KB  
Review
A ‘Hybrid’ Radiotherapy Regimen Designed for Immunomodulation: Combining High-Dose Radiotherapy with Low-Dose Radiotherapy
by Hongshan Ji and Zhiguo Zhou
Cancers 2022, 14(14), 3505; https://doi.org/10.3390/cancers14143505 - 19 Jul 2022
Cited by 15 | Viewed by 3588
Abstract
Radiotherapy (RT) affects anti-tumor immunity. However, the exact impact of RT on anti-tumor immune response differs among cancer types, RT dose and fractions, patients’ innate immunity, and many other factors. There are conflicting findings on the optimal radiation dose and fractions to stimulate [...] Read more.
Radiotherapy (RT) affects anti-tumor immunity. However, the exact impact of RT on anti-tumor immune response differs among cancer types, RT dose and fractions, patients’ innate immunity, and many other factors. There are conflicting findings on the optimal radiation dose and fractions to stimulate effective anti-tumor immunity. High-dose radiotherapy (HDRT) acts in the same way as a double-edged sword in stimulating anti-tumor immunity, while low-dose radiotherapy (LDRT) seems to play a vital role in modulating the tumor immune microenvironment. Recent preclinical data suggest that a ‘hybrid’ radiotherapy regimen, which refers to combining HDRT with LDRT, can reap the advantages of both. Clinical data have also indicated a promising potential. However, there are still questions to be addressed in order to put this novel combination therapy into clinical practice. For example, the selection of treatment site, treatment volume, the sequencing of high-dose radiotherapy and low-dose radiotherapy, combined immunotherapy, and so on. This review summarizes the current evidence supporting the use of HDRT + LDRT, explains possible immune biology mechanisms of this ‘hybrid’ radiotherapy, raises questions to be considered when working out individualized treatment plans, and lists possible avenues to increase efficiency in stimulating anti-tumor immunity using high-dose plus low-dose radiotherapy. Full article
(This article belongs to the Section Cancer Therapy)
Show Figures

Figure 1

12 pages, 2361 KB  
Article
Effect of Low-Dose Radiotherapy on the Circulating Levels of Paraoxonase-1-Related Variables and Markers of Inflammation in Patients with COVID-19 Pneumonia
by Elisabet Rodríguez-Tomàs, Johana C. Acosta, Laura Torres-Royo, Gabriel De Febrer, Gerard Baiges-Gaya, Helena Castañé, Andrea Jiménez, Carlos Vasco, Pablo Araguas, Junior Gómez, Bárbara Malave, Miguel Árquez, David Calderón, Berta Piqué, Manel Algara, Ángel Montero, Josep M. Simó, Xavier Gabaldó-Barrios, Sebastià Sabater, Jordi Camps, Jorge Joven and Meritxell Arenasadd Show full author list remove Hide full author list
Antioxidants 2022, 11(6), 1184; https://doi.org/10.3390/antiox11061184 - 16 Jun 2022
Cited by 8 | Viewed by 3571
Abstract
The aim of our study was to investigate the changes produced by low-dose radiotherapy (LDRT) in the circulating levels of the antioxidant enzyme paraoxonase-1 (PON1) and inflammatory markers in patients with COVID-19 pneumonia treated with LDRT and their interactions with clinical and radiological [...] Read more.
The aim of our study was to investigate the changes produced by low-dose radiotherapy (LDRT) in the circulating levels of the antioxidant enzyme paraoxonase-1 (PON1) and inflammatory markers in patients with COVID-19 pneumonia treated with LDRT and their interactions with clinical and radiological changes. Data were collected from the IPACOVID prospective clinical trial (NCT04380818). The study included 30 patients treated with a whole-lung dose of 0.5 Gy. Clinical follow-up, as well as PON1-related variables, cytokines, and radiological parameters were analyzed before LDRT, at 24 h, and 1 week after treatment. Twenty-five patients (83.3%) survived 1 week after LDRT. Respiratory function and radiological images improved in survivors. Twenty-four hours after LDRT, PON1 concentration significantly decreased, while transforming growth factor beta 1 (TGF-β1) increased with respect to baseline. One week after LDRT, patients had increased PON1 activities and lower PON1 and TGF-β1 concentrations compared with 24 h after LDRT, PON1 specific activity increased, lactate dehydrogenase (LDH), and C-reactive protein (CRP) decreased, and CD4+ and CD8+ cells increased after one week. Our results highlight the benefit of LDRT in patients with COVID-19 pneumonia and it might be mediated, at least in part, by an increase in serum PON1 activity at one week and an increase in TGF-β1 concentrations at 24 h. Full article
Show Figures

Figure 1

21 pages, 680 KB  
Review
The Role of Ionizing Radiation for Diagnosis and Treatment against COVID-19: Evidence and Considerations
by Marina Chalkia, Nikolaos-Achilleas Arkoudis, Emmanouil Maragkoudakis, Stamatis Rallis, Ioanna Tremi, Alexandros G. Georgakilas, Vassilis Kouloulias, Efstathios Efstathopoulos and Kalliopi Platoni
Cells 2022, 11(3), 467; https://doi.org/10.3390/cells11030467 - 29 Jan 2022
Cited by 13 | Viewed by 5283
Abstract
The Coronavirus disease 2019 (COVID-19) pandemic continues to spread worldwide with over 260 million people infected and more than 5 million deaths, numbers that are escalating on a daily basis. Frontline health workers and scientists diligently fight to alleviate life-threatening symptoms and control [...] Read more.
The Coronavirus disease 2019 (COVID-19) pandemic continues to spread worldwide with over 260 million people infected and more than 5 million deaths, numbers that are escalating on a daily basis. Frontline health workers and scientists diligently fight to alleviate life-threatening symptoms and control the spread of the disease. There is an urgent need for better triage of patients, especially in third world countries, in order to decrease the pressure induced on healthcare facilities. In the struggle to treat life-threatening COVID-19 pneumonia, scientists have debated the clinical use of ionizing radiation (IR). The historical literature dating back to the 1940s contains many reports of successful treatment of pneumonia with IR. In this work, we critically review the literature for the use of IR for both diagnostic and treatment purposes. We identify details including the computed tomography (CT) scanning considerations, the radiobiological basis of IR anti-inflammatory effects, the supportive evidence for low dose radiation therapy (LDRT), and the risks of radiation-induced cancer and cardiac disease associated with LDRT. In this paper, we address concerns regarding the effective management of COVID-19 patients and potential avenues that could provide empirical evidence for the fight against the disease. Full article
(This article belongs to the Section Cell Methods)
Show Figures

Figure 1

13 pages, 8352 KB  
Article
Intraoperative Near-Infrared Spectroscopy Monitoring of Renal Allograft Reperfusion in Kidney Transplant Recipients: A Feasibility and Proof-of-Concept Study
by Hien Lau, Alberto Jarrin Lopez, Natsuki Eguchi, Akihiro Shimomura, Antoney Ferrey, Ekamol Tantisattamo, Uttam Reddy, Donald Dafoe and Hirohito Ichii
J. Clin. Med. 2021, 10(19), 4292; https://doi.org/10.3390/jcm10194292 - 22 Sep 2021
Cited by 8 | Viewed by 2527
Abstract
Conventional renal function markers are unable to measure renal allograft perfusion intraoperatively, leading to delayed recognition of initial allograft function. A handheld near-infrared spectroscopy (NIRS) device that can provide real-time assessment of renal allograft perfusion by quantifying regional tissue oxygen saturation levels (rSO [...] Read more.
Conventional renal function markers are unable to measure renal allograft perfusion intraoperatively, leading to delayed recognition of initial allograft function. A handheld near-infrared spectroscopy (NIRS) device that can provide real-time assessment of renal allograft perfusion by quantifying regional tissue oxygen saturation levels (rSO2) was approved by the FDA. This pilot study evaluated the feasibility of intraoperative NIRS monitoring of allograft reperfusion in renal transplant recipients (RTR). Intraoperative renal allograft rSO2 and perfusion rates were measured in living (LDRT, n = 3) and deceased donor RTR (DDRT, n = 4) during the first 50 min post-reperfusion and correlated with renal function markers 30 days post-transplantation. Intraoperative renal allograft rSO2 for the DDRT group remained significantly lower than the LDRT group throughout the 50 min. Reperfusion rates were significantly faster in the LDRT group during the first 5 min post-reperfusion but remained stable thereafter in both groups. Intraoperative rSO2 were similar among the upper pole, renal hilum, and lower pole, and strongly correlated with allograft function and hemodynamic parameters up to 14 days post-transplantation. NIRS successfully detected differences in intraoperative renal allograft rSO2, warranting future studies to evaluate it as an objective method to measure ischemic injury and perfusion for the optimization of preservation/reperfusion protocols and early prediction of allograft function. Full article
(This article belongs to the Special Issue New Advances in Kidney Transplantation)
Show Figures

Figure 1

17 pages, 2048 KB  
Systematic Review
Low-Dose Radiation Therapy for COVID-19: A Systematic Review
by Seyed Mohammad Javad Mortazavi, Seyedeh Fatemeh Shams, Sahar Mohammadi, Seyed ALi Reza Mortazavi and Lembit Sihver
Radiation 2021, 1(3), 234-249; https://doi.org/10.3390/radiation1030020 - 6 Sep 2021
Cited by 10 | Viewed by 6956
Abstract
The ongoing COVID-19 pandemic is of great concern for the whole world, and finding an effective treatment for the disease caused by the severe acute respiratory syndrome coronavirus-2 (SARS-CoV-2) is, therefore, a global race. In particular, treatment options for elderly patients and patients [...] Read more.
The ongoing COVID-19 pandemic is of great concern for the whole world, and finding an effective treatment for the disease caused by the severe acute respiratory syndrome coronavirus-2 (SARS-CoV-2) is, therefore, a global race. In particular, treatment options for elderly patients and patients with genetic risk factors with COVID-19-associated pneumonia are limited, and many patients die. Low-dose radiotherapy (LDRT) of lungs was used to treat pneumonia many decades ago. Since the first report on the potential efficacy of LDRT for COVID-19-associated pneumonia was published on 1 April, 2020, tens of papers have addressed the importance of this treatment. Moreover, the findings of less than 10 clinical trials conducted to date are now available. We performed a detailed search of PubMed/MEDLINE, Web of Science, Google Scholar, and Scopus and selected the nine most relevant articles. A review of these articles was conducted. The available data indicate that in oxygen-dependent elderly patients with COVID-19-associated pneumonia, whole-lung radiation at doses of 0.5–1.5 Gy can lead to accelerated recovery and progress in clinical status, encephalopathy, and radiographic consolidation without any detectable acute toxicity. Although data collected so far show that LDRT could be introduced as a treatment with promising efficacy, due to limitations such as lack of randomization in most studies, we need further large-scale randomized studies, especially for elderly patients who are at greater risk of mortality due to COVID-19. However, more preclinical work and clinical trials are needed before any clear conclusion can be made. Full article
Show Figures

Figure 1

13 pages, 1616 KB  
Article
Low Dose Radiation Therapy, Particularly with 0.5 Gy, Improves Pain in Degenerative Joint Disease of the Fingers: Results of a Retrospective Analysis
by Anna-Jasmina Donaubauer, Jian-Guo Zhou, Oliver J. Ott, Florian Putz, Rainer Fietkau, Ludwig Keilholz, Udo S. Gaipl, Benjamin Frey and Thomas Weissmann
Int. J. Mol. Sci. 2020, 21(16), 5854; https://doi.org/10.3390/ijms21165854 - 14 Aug 2020
Cited by 35 | Viewed by 5739
Abstract
Low-dose radiation therapy (LDRT) has been successfully established for decades as an alternative analgesic treatment option for patients suffering from chronic degenerative and inflammatory diseases. In this study, 483 patients were undergoing LDRT for degenerative joint disease of the fingers and thumb at [...] Read more.
Low-dose radiation therapy (LDRT) has been successfully established for decades as an alternative analgesic treatment option for patients suffering from chronic degenerative and inflammatory diseases. In this study, 483 patients were undergoing LDRT for degenerative joint disease of the fingers and thumb at the University Hospital Erlangen between 2004 and 2019. Radiotherapy was applied according to the German guidelines for LDRT. Several impact factors on therapeutic success, such as the age and gender, the number of affected fingers, the single and cumulative dose, as well as the number of series, were investigated. In summary, 70% of the patients showed an improvement of their pain following LDRT. No significant impact was found for the factors age, gender, the number of series or the cumulative dosage. Patients with an involvement of the thumb showed a significantly worse outcome compared to patients with an isolated affection of the fingers. In this cohort, patients receiving a single dose of 0.5 Gy reported a significantly better outcome than patients receiving 1.0 Gy, strongly suggesting a reduction in the total dose. In summary, LDRT is a good alternative treatment option for patients suffering from degenerative and inflammatory joint disease of the fingers. Full article
(This article belongs to the Section Molecular Pathology, Diagnostics, and Therapeutics)
Show Figures

Graphical abstract

16 pages, 2012 KB  
Article
Clinically Relevant Radiation Exposure Differentially Impacts Forms of Cell Death in Human Cells of the Innate and Adaptive Immune System
by Sylvia E. Falcke, Paul F. Rühle, Lisa Deloch, Rainer Fietkau, Benjamin Frey and Udo S. Gaipl
Int. J. Mol. Sci. 2018, 19(11), 3574; https://doi.org/10.3390/ijms19113574 - 13 Nov 2018
Cited by 84 | Viewed by 8158
Abstract
In cancer treatments, especially high-dose radiotherapy (HDRT) is applied. Patients suffering from chronic inflammatory diseases benefit from low-dose radiation therapy (LDRT), but exposure to very low radiation doses can still steadily increase for diagnostic purposes. Yet, little is known about how radiation impacts [...] Read more.
In cancer treatments, especially high-dose radiotherapy (HDRT) is applied. Patients suffering from chronic inflammatory diseases benefit from low-dose radiation therapy (LDRT), but exposure to very low radiation doses can still steadily increase for diagnostic purposes. Yet, little is known about how radiation impacts on forms of cell death in human immune cells. In this study, the radiosensitivity of human immune cells of the peripheral blood was examined in a dose range from 0.01 to 60 Gy with regard to induction of apoptosis, primary necrosis, and secondary necrosis. Results showed that immune cells differed in their radiosensitivity, with monocytes being the most radioresistant. T cells mainly died by necrosis and were moderately radiosensitive. This was followed by B and natural killer (NK) cells, which died mainly by apoptosis. X-radiation had no impact on cell death in immune cells at very low doses (≤0.1 Gy). Radiation doses of LDRT (0.3–0.7 Gy) impacted on the more radiosensitive NK and B cells, which might contribute to attenuation of inflammation. Even single doses applied during RT of tumors did not erase the immune cells completely. These in vitro studies can be considered as the basis to optimize individual radiation therapy schemes in multimodal settings and to define suited time points for further inclusion of immunotherapies. Full article
(This article belongs to the Special Issue Partnership of Radiotherapy and Immunotherapy)
Show Figures

Graphical abstract

Back to TopTop