Sign in to use this feature.

Years

Between: -

Subjects

remove_circle_outline
remove_circle_outline
remove_circle_outline
remove_circle_outline
remove_circle_outline
remove_circle_outline
remove_circle_outline
remove_circle_outline
remove_circle_outline

Journals

remove_circle_outline
remove_circle_outline
remove_circle_outline
remove_circle_outline
remove_circle_outline
remove_circle_outline
remove_circle_outline
remove_circle_outline
remove_circle_outline

Article Types

Countries / Regions

Search Results (550)

Search Parameters:
Keywords = L2 Korean

Order results
Result details
Results per page
Select all
Export citation of selected articles as:
11 pages, 1272 KB  
Article
The Establishment of Reference Intervals for Thyroid Hormone Tests in the Korean Population: Using a Direct Selection Technique
by Jong Do Seo, Eun-Jung Cho, Changhee Ha, Hyung-Doo Park, Shinae Yu, Woochang Lee, Sollip Kim and Yeo-Min Yun
Diagnostics 2025, 15(19), 2510; https://doi.org/10.3390/diagnostics15192510 - 2 Oct 2025
Abstract
Background/Objectives: Thyroid-stimulating hormone (TSH), free thyroxine (FT4), and total triiodothyronine (TT3) are biomarkers for evaluating thyroid function. Although hormone levels are affected by many biological and environmental factors, most laboratories use manufacturer-provided reference intervals (RIs) without considering these factors. Thus, in this [...] Read more.
Background/Objectives: Thyroid-stimulating hormone (TSH), free thyroxine (FT4), and total triiodothyronine (TT3) are biomarkers for evaluating thyroid function. Although hormone levels are affected by many biological and environmental factors, most laboratories use manufacturer-provided reference intervals (RIs) without considering these factors. Thus, in this study we assessed RIs for TSH, FT4, and TT3 in a Korean population, using a direct selection technique. Methods: Serum samples from patients without a history of thyroid disease, medication, family history, or antibody-positive test results were collected after a review of medical records. TSH, FT4, and TT3 levels were measured using the Cobas e801 analyzer (Roche Diagnostics GmbH, Mannheim, Germany) with dedicated reagents. RIs were then established using a non-parametric method, using values at the 2.5th and 97.5th percentiles as reference limits, which were then verified in a validation cohort. Results: A total of 618 subjects were enrolled in this study. Because the distribution of reference values for the four subgroups divided by sex and age (65 years) showed insignificant differences, combined RIs were determined, with the established RIs being 0.38–5.46 mIU/L for TSH, 12.28–22.40 pmol/L for FT4, and 0.94–2.32 nmol/L for TT3. When compared to manufacturer-claimed RIs, the Korean RI for TSH showed higher upper limits, while that for TT3 showed lower upper limits. Additionally, when newly established RIs were applied to the validation cohort, the rate of test-positive results decreased significantly. Conclusions: Significant differences in RIs for TSH and TT3 in the Korean population, compared to manufacturer-claimed values, highlight the need for population-specific RIs. Thus, interpreting the results for the Korean population requires caution, and Korean population-based RIs are necessary. Full article
(This article belongs to the Special Issue Advances in Laboratory Markers of Human Disease)
Show Figures

Figure 1

14 pages, 2537 KB  
Article
A New Record of Antithamnion hubbsii (Ceramiales, Rhodophyta) from the Korean Coast: Invasive Species Interactions with Native and Non-Native Communities
by Eunyoung Shim, Soo Yeon Kim, Chan Song Kim and Gwang Hoon Kim
Phycology 2025, 5(4), 55; https://doi.org/10.3390/phycology5040055 - 1 Oct 2025
Abstract
Taxonomic clarity within the genus Antithamnion is critical for understanding its molecular phylogeny and biodiversity. Here we report Antithamnion hubbsii for the first time from the Korean coast. This finding highlights the need to re-evaluate its relationship with the previously reported, morphologically very [...] Read more.
Taxonomic clarity within the genus Antithamnion is critical for understanding its molecular phylogeny and biodiversity. Here we report Antithamnion hubbsii for the first time from the Korean coast. This finding highlights the need to re-evaluate its relationship with the previously reported, morphologically very similar A. nipponicum in this region, raising the question of whether the newly identified A. hubbsii represents a local variant of A. nipponicum or a recently introduced invasive species via nearby ports. Specimens collected from Gangneung were analyzed using plastid-encoded rbcL and psaA genes, confirming their identity as A. hubbsii. Morphological features such as indeterminate lateral axes, oppositely arranged pinnae and pinnules, and distinctive adaxial gland cells supported this identification. Molecular analyses revealed minimal divergence between A. hubbsii and A. nipponicum (1–3 bp in rbcL, none in psbA), and contrasting results from different species delimitation methods. Phylogenetic analyses nevertheless placed the Korean specimens in a strongly supported A. hubbsii/A. nipponicum clade. Taken together, our results suggest that the North American invasive A. nipponicum and the Korean A. hubbsii may represent a single species with broad intraspecific variation. Definitive resolution will require molecular analyses of the type specimens of both taxa. Full article
Show Figures

Figure 1

14 pages, 2310 KB  
Article
Effects of Short-Term Treatment of Hanwoo Satellite Cells with Various Concentrations of Cortisol
by Leecheon Kim, Dongjin Yu, Hyunwoo Choi, Jongryun Kim, Junseok Ban, Kwanseob Shim and Darae Kang
Animals 2025, 15(19), 2847; https://doi.org/10.3390/ani15192847 - 29 Sep 2025
Abstract
Transportation, environmental changes, and overcrowding can induce short-term stress in livestock, leading to physiological imbalances even within a short period. Cortisol is a stress-response hormone and its concentration in the blood can rapidly fluctuate depending on the individual and situation. This study evaluated [...] Read more.
Transportation, environmental changes, and overcrowding can induce short-term stress in livestock, leading to physiological imbalances even within a short period. Cortisol is a stress-response hormone and its concentration in the blood can rapidly fluctuate depending on the individual and situation. This study evaluated the short-term effects of cortisol by applying blood cortisol concentrations that mimicked the normal and stress-induced levels observed in Korean native cattle (Hanwoo) to the culture medium of Hanwoo muscle stem cells (HWSC). Treatments were designed with five cortisol concentrations (0, 5, 10, 30, and 70 ng/mL) and four treatment times (0.5, 1, 2, and 3 h), based on the CCK-8 and viable cell count results. The expression levels of cortisol receptor-related genes (NR3C1, HSP70, and HSP90AA1) increased and reached a peak at 30 min post-treatment. After 30 min, the expression of these genes gradually decreased. However, in the case of HSP70, expression tended to increase again after 3 h of treatment. This could be seen as the regulation of cortisol inflow into the HWSC. Upon examining the oxidative effects of cortisol on superoxide dismutase 1 (SOD1), glutathione peroxidase (GPX), catalase (CAT), and oxygen consumption rate (OCR), the expression of antioxidant factors increased and peaked at 30 min of treatment. Following this peak, their levels generally began to decrease. However, in the 70 ng/mL group, the expression of these factors remained at a high level compared to the control group even after 30 min. In addition, the cellular respiration index and ATP production increased as the treatment prolonged, regardless of the concentration, as shown by the OCR analysis. These results can be considered a phenomenon corresponding to the accumulation of oxidative by products, such as Reactive Oxygen Species (ROS), caused by cortisol. The gene expression of apoptosis factors (p53, BAX, Caspase-3) temporarily increased at 30 min but then decreased. Caspase-3 protein activity was elevated at 30 min in the 70 ng/mL group, which later reduced. These results suggested that short-term cortisol administration had no effect on apoptosis in muscle cell culture. Therefore, the study findings elucidating the effects of short-term cortisol treatment on HWSC suggest that short-term stress may not have a significant negative effect on Hanwoo muscle. However, as this study was limited to muscle stem cells derived from Hanwoo, further investigation is required to determine whether the observed responses are consistent across different species and in vivo environments. Full article
(This article belongs to the Section Cattle)
Show Figures

Figure 1

21 pages, 1197 KB  
Article
A Hybrid System for Automated Assessment of Korean L2 Writing: Integrating Linguistic Features with LLM
by Wonjin Hur and Bongjun Ji
Systems 2025, 13(10), 851; https://doi.org/10.3390/systems13100851 - 28 Sep 2025
Abstract
The global expansion of Korean language education has created an urgent need for scalable, objective, and consistent methods for assessing the writing skills of non-native (L2) learners. Traditional manual grading is resource-intensive and prone to subjectivity, while existing Automated Essay Scoring (AES) systems [...] Read more.
The global expansion of Korean language education has created an urgent need for scalable, objective, and consistent methods for assessing the writing skills of non-native (L2) learners. Traditional manual grading is resource-intensive and prone to subjectivity, while existing Automated Essay Scoring (AES) systems often struggle with the linguistic nuances of Korean and the specific error patterns of L2 writers. This paper introduces a novel hybrid AES system designed specifically for Korean L2 writing. The system integrates two complementary feature sets: (1) a comprehensive suite of conventional linguistic features capturing lexical diversity, syntactic complexity, and readability to assess writing form and (2) a novel semantic relevance feature that evaluates writing content. This semantic feature is derived by calculating the cosine similarity between a student’s essay and an ideal, high-proficiency reference answer generated by a Large Language Model (LLM). Various machine learning models are trained on the Korean Language Learner Corpus from the National Institute of the Korean Language to predict a holistic score on the 6-level Test of Proficiency in Korean (TOPIK) scale. The proposed hybrid system demonstrates superior performance compared to baseline models that rely on either linguistic or semantic features alone. The integration of the LLM-based semantic feature provides a significant improvement in scoring accuracy, more closely aligning the automated assessment with human expert judgments. By systematically combining measures of linguistic form and semantic content, this hybrid approach provides a more holistic and accurate assessment of Korean L2 writing proficiency. The system represents a practical and effective tool for supporting large-scale language education and assessment, aligning with the need for advanced AI-driven educational technology systems. Full article
Show Figures

Figure 1

17 pages, 1746 KB  
Article
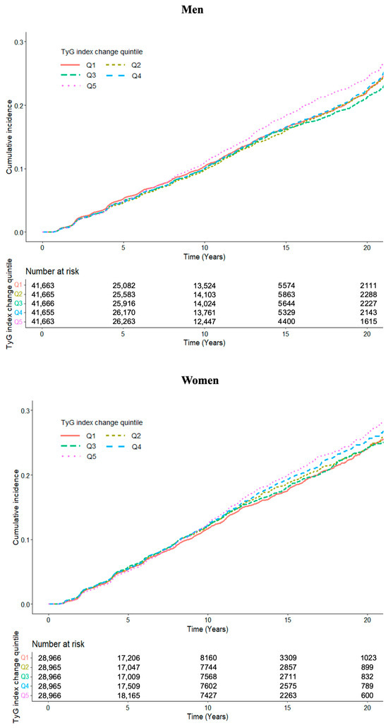
Sex-Specific Associations Between Changes in Triglyceride–Glucose (TyG) Index and Risk of Chronic Kidney Disease: A Cohort Study of Young and Middle-Aged Adults
by Yoon Ji Kim, Ye Seul Bae, Yoosoo Chang and Sujeong Shin
Nutrients 2025, 17(18), 2986; https://doi.org/10.3390/nu17182986 - 17 Sep 2025
Viewed by 462
Abstract
Background/Objectives: The triglyceride–glucose (TyG) index is a surrogate marker of insulin resistance associated with chronic kidney disease (CKD). The effect of TyG index changes on the development of CKD in young adults remains unclear. Methods: We studied 353,140 Korean adults aged 18–49 years [...] Read more.
Background/Objectives: The triglyceride–glucose (TyG) index is a surrogate marker of insulin resistance associated with chronic kidney disease (CKD). The effect of TyG index changes on the development of CKD in young adults remains unclear. Methods: We studied 353,140 Korean adults aged 18–49 years who underwent at least two health screenings. The TyG index changes between visits were categorized into quintiles. Incident CKD was defined as an estimated glomerular filtration rate of <60 mL/min/1.73 m2 or proteinuria. Cox proportional hazards models were used to estimate the hazard ratios (HRs) for CKD risk. Results: Over 2.74 million person-years, 18,857 men and 13,394 women developed CKD. In the fully adjusted models, men in the highest quintile of TyG index increase had a higher CKD risk (HR 1.22, 95% CI 1.16–1.28), while those in the lowest quintile had a lower risk (HR 0.88, 95% CI 0.84–0.92). In women, the associations were in the same direction, but neither the highest (HR 1.01, 95% CI 0.95–1.07) nor the lowest quintile (HR 0.95, 95% CI 0.90–1.00) reached statistical significance. Risk gradients were stronger in those aged 40–49 years, with a baseline eGFR < 90 mL/min/1.73 m2, higher alcohol intake, or insulin resistance. Conclusions: Among relatively young adults, greater increases in the TyG index were associated with a higher CKD risk in men, whereas decreases were protective. In contrast, no significant associations were observed in women. Monitoring TyG index trajectories may help identify high-risk individuals for early intervention. Full article
(This article belongs to the Section Nutritional Epidemiology)
Show Figures

Figure 1

12 pages, 2387 KB  
Article
Impact of CT-Defined Sarcopenia on Clinical Outcomes in Elderly Trauma Patients: A Retrospective Korean Cohort Study
by Juhong Park, Yesung Oh, Songhee Kwon, Jihyun Lee, Mihyang Kim, Donghwan Choi and Junsik Kwon
Healthcare 2025, 13(18), 2321; https://doi.org/10.3390/healthcare13182321 - 16 Sep 2025
Viewed by 211
Abstract
Background/Objectives: Sarcopenia, the age-related decline in skeletal muscle mass and function, is increasingly recognized as an important prognostic factor among elderly patients. This study aimed to evaluate whether computed tomography (CT)-defined sarcopenia independently predicts short-term mortality in elderly Korean trauma patients. Methods: We [...] Read more.
Background/Objectives: Sarcopenia, the age-related decline in skeletal muscle mass and function, is increasingly recognized as an important prognostic factor among elderly patients. This study aimed to evaluate whether computed tomography (CT)-defined sarcopenia independently predicts short-term mortality in elderly Korean trauma patients. Methods: We retrospectively analyzed 722 patients aged ≥65 years admitted to a Korean Level I trauma center between January 2020 and December 2021. Sarcopenia was defined as the lowest sex-specific quartile of skeletal muscle index (SMI) measured at the third lumbar vertebra (L3) within 7 days of admission. Demographics, injury severity, and outcome variables were compared between groups. Kaplan–Meier survival analysis with a 24 h landmark and multivariable Cox regression were applied to identify independent predictors of 30-day mortality. Results: Among 722 patients, 181 (25.1%) were sarcopenic. They were older and had lower body mass index and serum albumin yet showed lower Injury Severity Score (ISS) at presentation. Despite this, in-hospital mortality was higher in sarcopenic patients (15.5% vs. 9.8%, p = 0.036), while 24 h mortality did not differ (4.4% vs. 3.7%, p = 0.663). Landmark analysis starting at 24 h demonstrated significantly worse 30-day survival in the sarcopenia group (log-rank p = 0.028). Multivariable Cox regression confirmed sarcopenia as an independent predictor of 30-day mortality (HR, 2.36; 95% CI, 1.07–5.23; p = 0.034), along with higher ISS and lower Glasgow Coma Scale (GCS) scores. Conclusions: CT-defined sarcopenia at the L3 level independently predicts 30-day mortality in elderly trauma patients and may support early risk stratification. Full article
Show Figures

Figure 1

11 pages, 604 KB  
Article
Assessment of Hepatic Safety of Ulipristal Acetate in Korean Women with Uterine Fibroids: A Real-World Study Using Biochemical Markers
by Jung Yoon Park, Jeong Namkung, Yong Han Seo and Younjee Chung
J. Clin. Med. 2025, 14(18), 6496; https://doi.org/10.3390/jcm14186496 - 15 Sep 2025
Viewed by 462
Abstract
Background/Objectives: Ulipristal acetate (UPA) is a selective progesterone receptor modulator approved for the treatment of uterine fibroids, but concerns have arisen regarding its potential for severe hepatotoxicity, particularly following regulatory warnings in Europe and Korea. The real-world risk of UPA-induced liver injury in [...] Read more.
Background/Objectives: Ulipristal acetate (UPA) is a selective progesterone receptor modulator approved for the treatment of uterine fibroids, but concerns have arisen regarding its potential for severe hepatotoxicity, particularly following regulatory warnings in Europe and Korea. The real-world risk of UPA-induced liver injury in Korean women remains largely unknown. To evaluate the hepatic safety of UPA among Korean women with uterine fibroids using large-scale, population-based healthcare claims and health screening data. Methods: A retrospective, propensity score-matched cohort study was conducted using the Korean National Health Insurance Service database. Women diagnosed with uterine fibroids who received UPA between 2013 and 2016 (n = 12,166) were compared to matched controls (n = 36,498) who did not receive UPA. Primary outcomes included changes in liver enzymes (AST, ALT, γ-GTP) and Fatty Liver Index (FLI) before and after UPA use. Results: UPA users showed small but statistically significant increases in ALT, γ-GTP, and FLI compared to pre-treatment values, though all values remained within normal reference ranges. Odds of elevated FLI (≥60) and γ-GTP (≥40 IU/L) were modestly increased in the UPA group, but no cases of severe hepatotoxicity or liver failure occurred. Conclusions: UPA use in Korean women was associated with mild, subclinical elevations in liver enzymes and fatty liver index, but not with clinically significant hepatotoxicity. These findings support vigilant hepatic monitoring during UPA therapy, while contextualizing its risk as low in this population. Full article
(This article belongs to the Section Obstetrics & Gynecology)
Show Figures

Figure 1

12 pages, 682 KB  
Article
Physiological Changes and Trimester-Specific Reference Intervals for Complete Blood Count Parameters in Korean Pregnant Women
by Heejin So, Kyungsuk Kwon, Sukhyun Jung and Kyeongmi Kim
Medicina 2025, 61(9), 1665; https://doi.org/10.3390/medicina61091665 - 14 Sep 2025
Viewed by 596
Abstract
Background and Objectives: Pregnancy induces numerous physiological changes, including hematologic adaptations, which affect complete blood count (CBC) parameters. Existing reference intervals for CBC are often based on non-pregnant populations, potentially limiting their clinical utility during pregnancy. This study aimed to evaluate longitudinal [...] Read more.
Background and Objectives: Pregnancy induces numerous physiological changes, including hematologic adaptations, which affect complete blood count (CBC) parameters. Existing reference intervals for CBC are often based on non-pregnant populations, potentially limiting their clinical utility during pregnancy. This study aimed to evaluate longitudinal changes in CBC parameters throughout pregnancy in Korean women and to establish gestational age-specific reference intervals. Materials and Methods: This retrospective study, conducted between March and May 2025, included CBC tests consecutively performed on the same individuals at five time points: the first trimester (≤12 weeks), second trimester (13–28 weeks), third trimester (29–40 weeks), delivery day, and the second postpartum day. Additionally, to prevent duplication with the primary cohort, CBC data from pregnant outpatients and non-pregnant controls were also analyzed to establish reference intervals. CBC parameters were measured using an automated hematology analyzer. Reference intervals were established using the 2.5th and 97.5th percentile of the distribution. Results: During pregnancy, white blood cell (WBC) counts increased most significantly during the second trimester, while hemoglobin (Hgb) levels declined most markedly at this stage. Platelet (PLT) counts showed a consistent and progressive decline. The reference intervals for CBC parameters—WBC (×109/L), Hgb (g/dL), and PLT (×109/L)—were 5.11–12.14, 11.3–14.3, and 184–374 in the first trimester; 6.11–13.45, 10.1–13.3, and 164–356 in the second trimester; and 5.62–12.42, 10.1–14.1, and 145–349 in the third trimester, respectively. Conclusions: This study examined longitudinal changes in CBC parameters in Korean pregnant women and provided gestational age-specific reference intervals for CBC. This is expected to help clinicians interpret CBC results in pregnant women. Full article
(This article belongs to the Section Obstetrics and Gynecology)
Show Figures

Figure 1

19 pages, 833 KB  
Article
Comparative Analysis of Chemical Composition and Food Safety of Commercial Fish Sauces from Four Asian Countries
by Yu-Ru Huang, Pei-Chuan Wu, Chi-Jen Lo, Yi-Chen Lee and Yung-Hsiang Tsai
Foods 2025, 14(17), 3134; https://doi.org/10.3390/foods14173134 - 8 Sep 2025
Viewed by 860
Abstract
This study evaluated chemical safety indicators in 38 commercial fish sauces from Thailand, South Korea, Taiwan, and Vietnam sold in Taiwan. We quantified key nitrogenous compounds, biogenic amines, preservatives, and sodium levels, and further characterized metabolite profiles using untargeted 1H nuclear magnetic [...] Read more.
This study evaluated chemical safety indicators in 38 commercial fish sauces from Thailand, South Korea, Taiwan, and Vietnam sold in Taiwan. We quantified key nitrogenous compounds, biogenic amines, preservatives, and sodium levels, and further characterized metabolite profiles using untargeted 1H nuclear magnetic resonance (1H-NMR) spectroscopy. Vietnamese fish sauces exhibited the highest total nitrogen content and lowest pH, indicating superior fermentation quality. Sodium concentrations ranged from 5037 to 12,637 mg/100 mL, and nearly 40% of products, particularly Thai and Korean, exceeded the permitted labeling tolerance (≤120%), highlighting substantial labeling inaccuracies. Preservative analysis revealed the unauthorized or excessive use of benzoates and sorbates in several samples, indicating regulatory non-compliance. Preservative analysis revealed that three of seven Taiwanese samples contained dehydroacetic acid above the regulatory limit of 1 g/kg, with sample C6 both mislabeled and showing the highest concentration (3.22 g/kg). Among the ten Vietnamese samples, two exceeded the permissible limits for combined preservative use, and samples D2–D5 contained triacetin, a non-listed food additive, in violation of current regulations. Notably, South Korean fish sauces contained histamine concentrations up to 539.85 ± 318.88 ppm, with several samples surpassing the Taiwanese regulatory limit of 400 ppm, raising significant food safety concerns. Metabolomic analysis differentiated products by country, with formic acid, acetate, branched-chain amino acids, and alanine contributing to the distinct profiles of Thai and Taiwanese fish sauces. Collectively, our results provide critical insights into the quality and safety of fish sauce products, highlighting the importance of monitoring biogenic amines and ensuring accurate labeling to comply with food safety regulations. Full article
(This article belongs to the Special Issue Nutrition, Safety and Storage of Seafoods)
Show Figures

Graphical abstract

18 pages, 4116 KB  
Article
Assessment of Habitat Suitability for the Invasive Vine Sicyos angulatus Under Current and Future Climate Change Scenarios
by Cui Xiao, Ji Ye, Haibo Zhang, Yonghui Qin, Ruihuan Yan, Guanghao Xu and Haili Zhou
Plants 2025, 14(17), 2745; https://doi.org/10.3390/plants14172745 - 2 Sep 2025
Viewed by 696
Abstract
Sicyos angulatus L. is a rapidly spreading invasive alien vine that threatens natural and agricultural ecosystems globally. We collected occurrence data from 4886 sites and applied the maximum entropy (MaxEnt) model to assess current and future habitat suitability for S. angulatus [...] Read more.
Sicyos angulatus L. is a rapidly spreading invasive alien vine that threatens natural and agricultural ecosystems globally. We collected occurrence data from 4886 sites and applied the maximum entropy (MaxEnt) model to assess current and future habitat suitability for S. angulatus. Future climate conditions were represented by low and high greenhouse gas concentrations under representative concentration pathways (i.e., RCP2.6 and RCP8.5, respectively). The MaxEnt model accurately predicted the distribution of S. angulatus, and the area under the receiver operating characteristic curve in the receiver operating characteristic test reached 0.921. Among the 19 climatic variables investigated, the best predictors for the distribution of S. angulatus were the precipitation in the driest month (with a contribution of 37.4%), annual precipitation (26.8%), average annual temperature (18.1%), and temperature seasonality (14.9%). Currently, the most suitable areas cover the central and eastern United States, parts of southern Europe, most Japanese islands, the majority of the Korean Peninsula, and eastern China, with a total area of 180.3 × 104 km2 (1.2% of the Earth’s land area). During the 2050s and 2090s under RCP2.6 and RCP8.5, the most suitable regions worldwide are projected to expand by factors of 1.0 and 2.2, respectively. In particular, suitable areas might expand to higher-latitude regions and encompass previously unsuitable areas, such as Liaoning Province in Northeast China. These findings may aid in the surveillance and management of S. angulatus’ invasion globally. Full article
(This article belongs to the Special Issue Plant Invasions and Their Interactions with the Environment)
Show Figures

Figure 1

14 pages, 1465 KB  
Article
Ku2: A Novel Korean Purple-Green Tea Germplasm (Camellia sinensis) with Enhanced Polyphenols and Antioxidant Activity
by Yun-Suk Kwon, Doo-Gyung Moon, Ha Rim Hong, Byung-Hyuk Kim, Eun Young Song, Chun Hwan Kim and Su Jin Kim
Plants 2025, 14(17), 2742; https://doi.org/10.3390/plants14172742 - 2 Sep 2025
Viewed by 589
Abstract
Although colored-leaf tea germplasms can broaden product diversity and functional potential, such resources have been rarely reported in Korea. Herein, we comprehensively characterized Ku2, a newly discovered purple-green line of Camellia sinensis, and benchmarked it against the conventional green-leaf ‘Sangmok’. Five-year-old plants [...] Read more.
Although colored-leaf tea germplasms can broaden product diversity and functional potential, such resources have been rarely reported in Korea. Herein, we comprehensively characterized Ku2, a newly discovered purple-green line of Camellia sinensis, and benchmarked it against the conventional green-leaf ‘Sangmok’. Five-year-old plants grown under identical open-field conditions were evaluated for growth characteristics, leaf pigmentation, biochemical composition, and antioxidant capacity. Ku2 exhibited a more vigorous growth habit with denser branching and produced leaves that were 11% longer and 17% wider than those of ‘Sangmok’, but chlorophyll concentrations were 29–33% lower. Young shoots of Ku2 in the first flush accumulated markedly higher levels of total polyphenols (+38%), anthocyanins (+78%), and total catechins (+35%), including a 70% increase in epigallocatechin-3-gallate. But amino acid and theanine contents were reduced to 30% and 25% of those in ‘Sangmok’, respectively. Consistent with its polyphenol enrichment, Ku2 extracts displayed superior radical-scavenging activity, with lower DPPH and ABTS IC50 values (7.6 ± 0.5 and 11.6 ± 0.2 µg·mL−1) than ‘Sangmok’ (10.1 ± 0.4 and 15.1 ± 0.1 µg·mL−1), approaching ascorbic acid and Trolox standards. These findings highlight Ku2 as a valuable germplasm for developing premium Korean teas and for breeding colored-leaf cultivars enriched with health-promoting metabolites. Full article
Show Figures

Graphical abstract

17 pages, 1049 KB  
Article
Pain Treatment in Primary Care Through Eight Constitution Medicine: A Retrospective Real-World Study from South Korea
by Nahyun Cho, Younkuk Choi, Heekyung Kim, Jeongmi Yun, Hyungsun Jun, Changsop Yang, Sungha Kim and Jungtae Leem
Medicina 2025, 61(9), 1564; https://doi.org/10.3390/medicina61091564 - 30 Aug 2025
Viewed by 619
Abstract
Background and Objectives: Musculoskeletal pain is a global public health issue. Eight Constitution Medicine (ECM), a type of East Asian Traditional Medicine, offers personalized, minimally invasive treatment through Eight Constitution Acupuncture (ECA) and Eight Constitution Lifestyle Intervention (ECLI). Despite its clinical use, [...] Read more.
Background and Objectives: Musculoskeletal pain is a global public health issue. Eight Constitution Medicine (ECM), a type of East Asian Traditional Medicine, offers personalized, minimally invasive treatment through Eight Constitution Acupuncture (ECA) and Eight Constitution Lifestyle Intervention (ECLI). Despite its clinical use, scientific evidence supporting ECM’s effectiveness remains limited. This study aimed to evaluate the effectiveness in treating musculoskeletal pain in primary care settings. Materials and Methods: This retrospective study analyzed medical records from three ECM clinics (Gangnam-Shingwang, Yeson, and Yebon) between January 2018 and August 2023. A total of 163 patients were included, with 44 providing follow-up data. Pain intensity, quality of life, and functional outcomes were assessed using validated instruments including the PainDETECT questionnaire, Korean Cancer Pain Assessment Tool (KCPAT) somatic pain scores, EuroQol 5-Dimension 5-Level (EQ-5D-5L), Western Ontario and McMaster Universities Osteoarthritis Index (WOMAC), Oswestry Disability Index (ODI), Neck Disability Index (NDI), and Shoulder Pain and Disability Index (SPADI). Pre- and post-treatment scores were statistically analyzed. Results: Significant decreases were observed in KCPAT somatic pain scores (11.77 ± 4.77 to 9.77 ± 5.32) and significant improvements in EQ-5D-5L scores (0.74 ± 0.12 to 0.80 ± 0.07). WOMAC and ODI scores also showed significant improvements. However, the changes in the NDI, SPADI, and PainDETECT scores were not statistically significant. No adverse events were reported. Conclusions: ECM, through ECA and ECLI, may offer effective personalized treatment for musculoskeletal pain, improving both pain intensity and quality of life. Despite its small sample size and retrospective design, this study offers valuable preliminary evidence for ECM. Further large-scale prospective studies are needed to confirm these findings. Full article
Show Figures

Figure 1

20 pages, 616 KB  
Article
L2 Korean Learners’ Socialization into Discourses Around the Non-Honorific ‘Banmal’ Style: Affective and Pedagogical Consequences
by Devon Renfroe and Katharine E. Burns
Languages 2025, 10(9), 222; https://doi.org/10.3390/languages10090222 - 30 Aug 2025
Viewed by 439
Abstract
This study examines L2 Korean learners’ self-reports of their socialization into discourses around the use of two categories of non-honorific (banmal) and honorific (jondaenmal) language. L2 Korean learners (n = 49) of varying proficiency levels completed a questionnaire aimed [...] Read more.
This study examines L2 Korean learners’ self-reports of their socialization into discourses around the use of two categories of non-honorific (banmal) and honorific (jondaenmal) language. L2 Korean learners (n = 49) of varying proficiency levels completed a questionnaire aimed at capturing their beliefs, attitudes, and practices regarding learning and using banmal. A subset of questionnaire participants (n = 11) were interviewed, and transcripts were analyzed using discourse analysis to understand how banmal is positioned discursively in participants’ self-reported accounts of learning and using L2 Korean. Findings revealed three dominant discourses in learners’ self-reported accounts of their socialization into learning and using banmal: (1) jondaenmal is more important to them than banmal, (2) banmal does not belong in formal learning contexts such as classrooms, and (3) banmal instruction should be delayed until the intermediate or advanced level. Additionally, these discourses were connected to two overarching, at times contradictory, affective responses from participants. While they reported heightened anxiety over when to use banmal, they also described how using it instilled confidence in their sociopragmatic abilities. These findings highlight the connection between the affective experiences of learners and prevailing discourses on particular linguistic forms. Finally, we suggest the need for more integrated approaches to teaching speech styles in L2 Korean classrooms. Full article
(This article belongs to the Special Issue Second Language Acquisition and Sociolinguistic Studies)
Show Figures

Figure 1

14 pages, 850 KB  
Article
Barley-Based Cereals Enhance Metabolic Health and Satiety in Overweight Korean Adults: A Randomized Trial
by Ingyeong Kang, Hyunsook Jang, Minchul Gim, Sang Eun Bae, Yu Jin Lee, Chai Sun Leem and Yoo Kyoung Park
Nutrients 2025, 17(17), 2801; https://doi.org/10.3390/nu17172801 - 28 Aug 2025
Viewed by 1006
Abstract
Background/Objectives: Recent shifts in dietary patterns have led to reduced fiber consumption, corresponding with increasing rates of obesity and metabolic disorders. Barley-based cereals with high fiber content, particularly β-glucan, may provide superior metabolic and satiety benefits compared to corn-based alternatives. This study investigated [...] Read more.
Background/Objectives: Recent shifts in dietary patterns have led to reduced fiber consumption, corresponding with increasing rates of obesity and metabolic disorders. Barley-based cereals with high fiber content, particularly β-glucan, may provide superior metabolic and satiety benefits compared to corn-based alternatives. This study investigated whether barley-based cereals provide superior metabolic and satiety benefits compared to corn-based alternatives in overweight Korean adults. Methods: After selecting the most optimal cereal in the phase 1 study (acute postprandial research), a 6-week randomized controlled trial (RCT) was conducted in phase 2. In the phase 2 trial, overweight adults (n = 30; mean age of 43 ± 10.89 years; 36.7% female) were randomly assigned to consume either barley (n = 15) or corn cereal (n = 15) daily for 6 weeks. Participants consumed approximately 50 g of available carbohydrates (either barley or corn cereal) in 190 mL milk. Outcome measures included anthropometric parameters, fasting blood glucose, homeostasis model assessment of insulin resistance (HOMA-IR), postprandial glucose, subjective satiety, and gut health. Results: After 6 weeks, between-group comparisons revealed significant differences favoring the barley group in body weight (barley: −0.33 kg vs. corn: +0.85 kg; difference: −1.18 kg, p = 0.027), BMI (barley: −0.14 kg/m2 vs. corn: +0.03 kg/m2; difference: −0.17 kg/m2, p = 0.014), and glycated albumin (barley: −0.78% vs. corn: +0.09%; difference: −0.87%, p = 0.032). Within-group analyses showed that the barley group exhibited significant reductions in percent body fat (−1.03%, p = 0.004), waist circumference (−3.64 cm, p = 0.003), waist-to-hip ratio (−0.02, p = 0.012), glycated albumin (−0.78%, p = 0.029), and LDL cholesterol (−10.57 mg/dL, p = 0.033). Conversely, the corn group showed significant increases in body weight (+0.85 kg, p = 0.026) and percent body fat (+0.84%, p = 0.020), with a significant decrease in HDL cholesterol (−2.84 mg/dL, p = 0.020). Conclusions: Barley-based cereals offer significant metabolic and satiety benefits for overweight adults compared to corn-based alternatives. These findings suggest that barley-based cereals may be an effective dietary intervention for managing obesity and metabolic disorders. Full article
(This article belongs to the Section Carbohydrates)
Show Figures

Figure 1

33 pages, 14579 KB  
Article
Parametric CFD-FEA Study on the Aerodynamic and Structural Performance of NaviScreen for Wind Resistance Reduction in Medium-Sized Commercial Ships
by Jin-Man Kim, Jun-Taek Lim, Kwang Cheol Seo and Joo-Shin Park
J. Mar. Sci. Eng. 2025, 13(9), 1626; https://doi.org/10.3390/jmse13091626 - 26 Aug 2025
Viewed by 525
Abstract
Meeting the International Maritime Organization’s (IMO) 2050 targets for reducing greenhouse gas (GHG) emissions requires cost-effective solutions that minimize wind resistance without compromising safety, particularly for medium-sized multipurpose vessels (MPVs), which have been underrepresented in prior research. This study numerically evaluates 20 bow-mounted [...] Read more.
Meeting the International Maritime Organization’s (IMO) 2050 targets for reducing greenhouse gas (GHG) emissions requires cost-effective solutions that minimize wind resistance without compromising safety, particularly for medium-sized multipurpose vessels (MPVs), which have been underrepresented in prior research. This study numerically evaluates 20 bow-mounted NaviScreen configurations using a coupled high-fidelity computational fluid dynamics (CFD) and finite element analysis (FEA) approach. Key design variables—including contact angle (35–50°), lower-edge height (1.2–2.0 m), and horn position (3.2–5.3 m)—were systematically varied. The sloped Type-15 shield reduced aerodynamic resistance by 17.1% in headwinds and 24.5% at a 30° yaw, lowering total hull resistance by up to 8.9%. Nonlinear FEA under combined dead weight, wind loads, and Korean Register (KR) green-water pressure revealed local buckling risks, which were mitigated by adding carling stiffeners and increasing plate thickness from 6 mm to 8 mm. The reinforced design satisfied KR yield limits, ABS buckling factors (>1.0), and NORSOK displacement criteria (L/100), confirming structural robustness. This dual-framework approach demonstrates the viability of NaviScreens as passive aerodynamic devices that enhance fuel efficiency and reduce GHG emissions, aligning with global efforts to address climate change by targeting not only CO2 but also other harmful emissions (e.g., NOx, SOx) regulated under MARPOL. The study delivers a validated CFD-FEA workflow to optimize performance and safety, offering shipbuilders a scalable solution for MPVs and related vessel classes to meet IMO’s GHG reduction goals. Full article
(This article belongs to the Section Ocean Engineering)
Show Figures

Figure 1

Back to TopTop