Sex-Specific Associations Between Changes in Triglyceride–Glucose (TyG) Index and Risk of Chronic Kidney Disease: A Cohort Study of Young and Middle-Aged Adults
Abstract
1. Introduction
2. Materials and Methods
2.1. Study Population
2.2. Definitions of Exposure and Study Outcome
2.3. Measurements
2.4. Statistical Analyses
3. Results
3.1. Baseline Characteristics
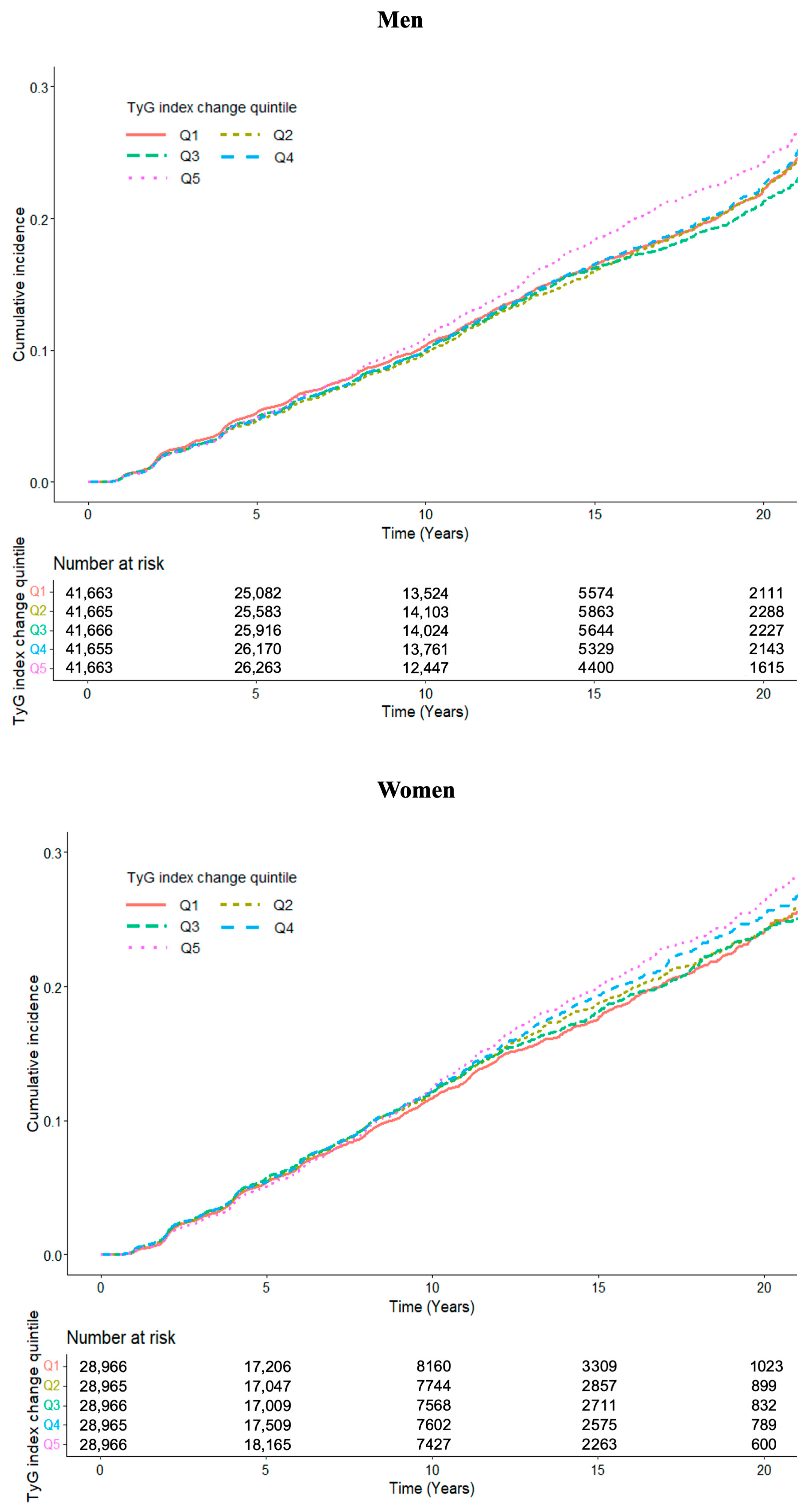
3.2. Association Between the Change of TyG Index and Incident CKD
3.3. Subgroup Analyses
4. Discussion
5. Conclusions
Supplementary Materials
Author Contributions
Funding
Institutional Review Board Statement
Informed Consent Statement
Data Availability Statement
Conflicts of Interest
Abbreviations
| TyG | Triglyceride–glucose |
| CKD | Chronic kidney disease |
| HR | Hazard ratio |
| CI | Confidence interval |
| ESKD | End-stage kidney disease |
| IR | Insulin resistance |
| KSHS | Kangbuk Samsung Health Study |
| Q | quintile |
| HDL–C | High-density lipoprotein cholesterol |
| LDL-C | Low-density lipoprotein cholesterol |
| FBG | Fasting blood glucose |
| eGFR | Estimated glomerular filtration rate |
| BMI | Body mass index |
| HbA1c | Glycated hemoglobin |
| HOMA-IR | Homeostasis model assessment of insulin resistance |
| SD | Standard deviation |
| ANOVA | Analysis of variance |
| LRT | Likelihood ratio test |
| ROC | Receiver operating characteristic |
| AUC | Area under the curve |
| SBP | Systolic blood pressure |
| DBP | Diastolic blood pressure |
| PY | Person-year |
References
- World Health Organization. WHO Technical Guidance and Specifications of Medical Devices for Screening and Treatment of Precancerous Lesions in the Prevention of Cervical Cancer; World Health Organization: Geneva, Switzerland, 2020. [Google Scholar]
- Francis, A.; Harhay, M.N.; Ong, A.C.; Tummalapalli, S.L.; Ortiz, A.; Fogo, A.B.; Fliser, D.; Roy-Chaudhury, P.; Fontana, M.; Nangaku, M. Chronic kidney disease and the global public health agenda: An international consensus. Nat. Rev. Nephrol. 2024, 20, 473–485. [Google Scholar] [CrossRef]
- Kanbay, M.; Copur, S.; Bakir, C.; Covic, A.; Ortiz, A.; Tuttle, K. Glomerular hyperfiltration as a therapeutic target for CKD. Nephrol. Dial. Transplant. 2024, 39, 1228–1238. [Google Scholar] [CrossRef]
- Inserra, F.; Forcada, P.; Castellaro, A.; Castellaro, C. Chronic Kidney Disease and Arterial Stiffness: A Two-Way Path. Front. Med. 2021, 8, 765924. [Google Scholar] [CrossRef]
- Kattah, A.G.; Garovic, V.D. Understanding sex differences in progression and prognosis of chronic kidney disease. Ann. Transl. Med. 2020, 8, 897. [Google Scholar] [CrossRef] [PubMed]
- Chesnaye, N.C.; Carrero, J.J.; Hecking, M.; Jager, K.J. Differences in the epidemiology, management and outcomes of kidney disease in men and women. Nat. Rev. Nephrol. 2024, 20, 7–20. [Google Scholar] [CrossRef] [PubMed]
- Shlipak, M.G.; Tummalapalli, S.L.; Boulware, L.E.; Grams, M.E.; Ix, J.H.; Jha, V.; Kengne, A.-P.; Madero, M.; Mihaylova, B.; Tangri, N. The case for early identification and intervention of chronic kidney disease: Conclusions from a Kidney Disease: Improving Global Outcomes (KDIGO) Controversies Conference. Kidney Int. 2021, 99, 34–47. [Google Scholar] [CrossRef] [PubMed]
- Sánchez-Ospina, D.; Más-Fontao, S.; Palencia, M.M.; Prieto, B.H.; Sánchez, C.G.; Carcedo, S.P.; Albo, M.R.; Egido, J.; Ortiz, A.; González-Parra, E.; et al. Impact of albuminuria screening in primary care on the detection and management of chronic kidney disease: Findings from the ONDAAS study. Clin. Kidney J. 2025, 18, sfaf123. [Google Scholar] [CrossRef]
- Scurt, F.G.; Ganz, M.J.; Herzog, C.; Bose, K.; Mertens, P.R.; Chatzikyrkou, C. Association of metabolic syndrome and chronic kidney disease. Obes. Rev. 2024, 25, e13649. [Google Scholar] [CrossRef]
- Borg, R.; Carlson, N.; Søndergaard, J.; Persson, F. The growing challenge of chronic kidney disease: An overview of current knowledge. Int. J. Nephrol. 2023, 2023, 9609266. [Google Scholar] [CrossRef]
- Kumar, S.; Bogle, R.; Banerjee, D. Why do young people with chronic kidney disease die early? World J. Nephrol. 2014, 3, 143. [Google Scholar] [CrossRef]
- Guerrero-Romero, F.; Simental-Mendía, L.E.; Gonzalez-Ortiz, M.; Martínez-Abundis, E.; Ramos-Zavala, M.G.; Hernandez-Gonzalez, S.O.; Jacques-Camarena, O.; Rodríguez-Moran, M. The product of triglycerides and glucose, a simple measure of insulin sensitivity. Comparison with the euglycemic-hyperinsulinemic clamp. J. Clin. Endocrinol. Metab. 2010, 95, 3347–3351. [Google Scholar] [CrossRef]
- Simental-Mendía, L.E.; Rodríguez-Morán, M.; Guerrero-Romero, F. The product of fasting glucose and triglycerides as surrogate for identifying insulin resistance in apparently healthy subjects. Metab. Syndr. Relat. Disord. 2008, 6, 299–304. [Google Scholar] [CrossRef]
- Aliyu, U.; Toor, S.M.; Abdalhakam, I.; Elrayess, M.A.; Abou-Samra, A.B.; Albagha, O.M. Evaluating indices of insulin resistance and estimating the prevalence of insulin resistance in a large biobank cohort. Front. Endocrinol. 2025, 16, 1591677. [Google Scholar] [CrossRef] [PubMed]
- Tahapary, D.L.; Pratisthita, L.B.; Fitri, N.A.; Marcella, C.; Wafa, S.; Kurniawan, F.; Rizka, A.; Tarigan, T.J.E.; Harbuwono, D.S.; Purnamasari, D. Challenges in the diagnosis of insulin resistance: Focusing on the role of HOMA-IR and Tryglyceride/glucose index. Diabetes Metab. Syndr. Clin. Res. Rev. 2022, 16, 102581. [Google Scholar] [CrossRef] [PubMed]
- Spoto, B.; Pisano, A.; Zoccali, C. Insulin resistance in chronic kidney disease: A systematic review. Am. J. Physiol.-Ren. Physiol. 2016, 311, F1087–F1108. [Google Scholar] [CrossRef] [PubMed]
- Kunutsor, S.K.; Seidu, S.; Kurl, S.; Laukkanen, J.A. Baseline and usual triglyceride-glucose index and the risk of chronic kidney disease: A prospective cohort study. Geroscience 2024, 46, 3035–3046. [Google Scholar] [CrossRef]
- Ren, X.; Jiang, M.; Han, L.; Zheng, X. Association between triglyceride-glucose index and chronic kidney disease: A cohort study and meta-analysis. Nutr. Metab. Cardiovasc. Dis. 2023, 33, 1121–1128. [Google Scholar] [CrossRef]
- Yu, C.-C.; Shi, Y.; Wang, T.; Zhu, L.; Zhou, W.; Bao, H.; Cheng, X. Triglyceride–glucose index change and chronic kidney disease progression in a Chinese hypertensive population. Front. Endocrinol. 2024, 15, 1342408. [Google Scholar] [CrossRef]
- Hou, Q.; Zhang, H.; Zhang, R.; Li, B.; Li, L.; Li, D.; Wang, X.; Liu, Y.; Wan, Z.; Zhang, J.; et al. Relationship between the longitudinal trajectory of the triglyceride-glucose index and the development of CKD: An 8-year retrospective longitudinal cohort study. Front. Endocrinol. 2024, 15, 1376166. [Google Scholar] [CrossRef]
- Fan, C.; Guo, M.; Chang, S.; Wang, Z.; An, T. Elevated TyG-BMI index predicts incidence of chronic kidney disease. Clin. Exp. Med. 2024, 24, 203. [Google Scholar] [CrossRef]
- Kim, B.; Kim, G.; Han, K.; Maki, N.; Taniguchi, K.; Oh, S. The Triglyceride-Glucose Index is Independently Associated with Chronic Kidney Disease in the Geriatric Population, Regardless of Obesity and Sex. Ann. Geriatr. Med. Res. 2023, 27, 258–265. [Google Scholar] [CrossRef] [PubMed]
- Chang, Y.; Ryu, S.; Choi, Y.; Zhang, Y.; Cho, J.; Kwon, M.-J.; Hyun, Y.Y.; Lee, K.-B.; Kim, H.; Jung, H.-S. Metabolically healthy obesity and development of chronic kidney disease: A cohort study. Ann. Intern. Med. 2016, 164, 305–312. [Google Scholar] [CrossRef] [PubMed]
- Chen, N.; Ma, L.-L.; Zhang, Y.; Chu, X.; Dong, J.; Yan, Y.-X. Association of long-term triglyceride-glucose index patterns with the incidence of chronic kidney disease among non-diabetic population: Evidence from a functional community cohort. Cardiovasc. Diabetol. 2024, 23, 7. [Google Scholar] [CrossRef]
- Zhu, Q.; Chen, Y.; Cai, X.; Cai, L.; Hong, J.; Luo, Q.; Ren, Y.; Guo, Y.; Li, N. The non-linear relationship between triglyceride-glucose index and risk of chronic kidney disease in hypertensive patients with abnormal glucose metabolism: A cohort study. Front. Med. 2022, 9, 1018083. [Google Scholar] [CrossRef]
- Cheong, H.S.; Chang, Y.; Kim, Y.; Kwon, M.J.; Cho, Y.; Kim, B.; Joo, E.J.; Bae, Y.H.; Kim, C.; Ryu, S. Human papillomavirus infection and cardiovascular mortality: A cohort study. Eur. Heart J. 2024, 45, 1072–1082. [Google Scholar] [CrossRef] [PubMed]
- Levey, A.S.; Bosch, J.P.; Lewis, J.B.; Greene, T.; Rogers, N.; Roth, D. A more accurate method to estimate glomerular filtration rate from serum creatinine: A new prediction equation. Modification of Diet in Renal Disease Study Group. Ann. Intern. Med. 1999, 130, 461–470. [Google Scholar] [CrossRef]
- Levin, A.; Stevens, P.E.; Bilous, R.W.; Coresh, J.; De Francisco, A.L.; De Jong, P.E.; Griffith, K.E.; Hemmelgarn, B.R.; Iseki, K.; Lamb, E.J. Kidney Disease: Improving Global Outcomes (KDIGO) CKD Work Group. KDIGO 2012 clinical practice guideline for the evaluation and management of chronic kidney disease. Kidney Int. Suppl. 2013, 3, 1–150. [Google Scholar]
- Nair, S.; Mishra, V.; Hayden, K.; Lisboa, P.; Pandya, B.; Vinjamuri, S.; Hardy, K.; Wilding, J. The four-variable modification of diet in renal disease formula underestimates glomerular filtration rate in obese type 2 diabetic individuals with chronic kidney disease. Diabetologia 2011, 54, 1304–1307. [Google Scholar] [CrossRef]
- Yoon, J.; Heo, S.-J.; Lee, J.-H.; Kwon, Y.-J.; Lee, J.E. Comparison of METS-IR and HOMA-IR for predicting new-onset CKD in middle-aged and older adults. Diabetol. Metab. Syndr. 2023, 15, 230. [Google Scholar] [CrossRef]
- Woo, S.Y.; Kim, S. Determination of cutoff values for biomarkers in clinical studies. Precis. Future Med. 2020, 4, 2–8. [Google Scholar] [CrossRef]
- R Core Team. R: A Language and Environment for Statistical Computing; R Foundation for Statistical Computing: Vienna, Austria, 2025. [Google Scholar]
- Therneau, T. A Package for Survival Analysis in R. R Package Version 3.8-3. 2024. Available online: https://CRAN.R-project.org/package=survival (accessed on 14 September 2025).
- Qiu, W.; Chavarro, J.; Lazarus, R.; Rosner, B.; Ma, J. powerSurvEpi: Power and Sample Size Calculation for Survival Analysis of Epidemiological Studies. R Package Version 0.1.5. 2025. Available online: https://CRAN.R-project.org/package=powerSurvEpi (accessed on 14 September 2025).
- Kassambara, A.; Kosinski, M.; Biecek, P. survminer: Drawing Survival Curves Using ‘ggplot2’. R Package Version 0.5.0. 2024. Available online: https://CRAN.R-project.org/package=survminer (accessed on 14 September 2025).
- Gordon, M.; Lumley, T. forestplot: Advanced Forest Plot Using ‘Grid’ Graphics. R Package Version 3.1.6. 2024. Available online: https://CRAN.R-project.org/package=forestplot (accessed on 14 September 2025).
- Blanche, P.; Dartigues, J.-F.; Jacqmin-Gadda, H. Estimating and Compating time-dependent areas under receiver operating characteristic curves for censored event times with competing risks. Stat. Med. 2013, 32, 5381–5397. [Google Scholar] [CrossRef]
- Palmisano, B.; Zhu, L.; Eckel, R.; Stafford, J. Sex differences in lipid and lipoprotein metabolism. Mol. Metab. 2018, 15, 45–55. [Google Scholar] [CrossRef]
- Link, J.; Reue, K. Genetic Basis for Sex Differences in Obesity and Lipid Metabolism. Annu. Rev. Nutr. 2017, 37, 225–245. [Google Scholar] [CrossRef]
- Sarafidis, P.; Ruilope, L. Insulin Resistance, Hyperinsulinemia, and Renal Injury: Mechanisms and Implications. Am. J. Nephrol. 2006, 26, 232–244. [Google Scholar] [CrossRef]
- Yan, H.; Yang, W.; Zhou, F.; Li, X.; Pan, Q.; Shen, Z.; Han, G.; Newell-Fugate, A.; Tian, Y.; Majeti, R.; et al. Estrogen Improves Insulin Sensitivity and Suppresses Gluconeogenesis via the Transcription Factor Foxo1. Diabetes 2018, 68, 291–304. [Google Scholar] [CrossRef] [PubMed]
- Manrique, C.; Lastra, G.; Habibi, J.; Mugerfeld, I.; Garro, M.; Sowers, J. Loss of Estrogen Receptor α Signaling Leads to Insulin Resistance and Obesity in Young and Adult Female Mice. Cardiorenal Med. 2012, 2, 200–210. [Google Scholar] [CrossRef] [PubMed]
- Ruiz-Castell, M.; Samouda, H.; Bocquet, V.; Fagherazzi, G.; Stranges, S.; Huiart, L. Estimated visceral adiposity is associated with risk of cardiometabolic conditions in a population based study. Sci. Rep. 2021, 11, 9121. [Google Scholar] [CrossRef] [PubMed]
- Liu, J.; Fox, C.; Hickson, D.; May, W.; Hairston, K.; Carr, J.; Taylor, H. Impact of abdominal visceral and subcutaneous adipose tissue on cardiometabolic risk factors: The Jackson Heart Study. J. Clin. Endocrinol. Metab. 2010, 95, 5419–5426. [Google Scholar] [CrossRef]
- Moon, S.; Park, J.-S.; Ahn, Y. The Cut-off Values of Triglycerides and Glucose Index for Metabolic Syndrome in American and Korean Adolescents. J. Korean Med. Sci. 2016, 32, 427–433. [Google Scholar] [CrossRef]
- Mitrofanova, A.; Merscher, S.; Fornoni, A. Kidney lipid dysmetabolism and lipid droplet accumulation in chronic kidney disease. Nat. Rev. Nephrol. 2023, 19, 629–645. [Google Scholar] [CrossRef]
- Gai, Z.; Wang, T.; Visentin, M.; Kullak-Ublick, G.; Fu, X.; Wang, Z. Lipid Accumulation and Chronic Kidney Disease. Nutrients 2019, 11, 722. [Google Scholar] [CrossRef] [PubMed]
- Kim, Y.; Kang, J.; Chang, Y.; Hyun, Y.Y.; Lee, K.B.; Shin, H.; Wild, S.H.; Byrne, C.D.; Ryu, S. Coronary artery calcium and risk of chronic kidney disease in young and middle-aged adults. Nephrol. Dial. Transpl. 2023, 38, 1439–1447. [Google Scholar] [CrossRef] [PubMed]
- Beernink, J.; Van Mil, D.; Laverman, G.; Heerspink, H.; Gansevoort, R. Developments in albuminuria testing: A key biomarker for detection, prognosis and surveillance of kidney and cardiovascular disease-A practical update for clinicians. Diabetes Obes. Metab. 2025, 27, 15–33. [Google Scholar] [CrossRef] [PubMed]
- Li, S.; Xia, R.; Gong, X.; Wang, C.; Liu, H.; Dong, H.; Su, Z.; Liang, Y.; Wang, S.; Yang, T. Mediating effect of TyG index on the association between glucose-lipid metabolism-related dietary pattern and T2DM: A propensity score-matched analysis. BMC Endocr. Disord. 2025, 25, 114. [Google Scholar] [CrossRef]



| Total | TyG Index Change Quintiles | ||||||
|---|---|---|---|---|---|---|---|
| Q1 (−3.420–−0.295) | Q2 (−0.295–−0.047) | Q3 (−0.047–0.160) | Q4 (0.160–0.409) | Q5 (0.409–3.210) | p-Value | ||
| N | 208,312 | 41,663 | 41,665 | 41,666 | 41,665 | 41,663 | |
| Age, years | 34.78 5.76 | 35.29 5.82 | 35.04 5.76 | 34.81 5.68 | 34.58 5.69 | 34.18 5.76 | <0.001 |
| Alcohol intake 20 g/day (%) | 50,184 (24.09) | 10,797 (25.92) | 9652 (23.17) | 9574 (22.98) | 9646 (23.16) | 10,515 (25.24) | <0.001 |
| Regular physical activity (%) a | 30,346 (14.57) | 5638 (13.53) | 5639 (13.53) | 5613 (13.47) | 6088 (14.62) | 7368 (17.68) | <0.001 |
| Smoking status (%) | <0.001 | ||||||
| Never smoker | 62,358 (29.93) | 12,055 (28.93) | 12,198 (29.28) | 12,391 (29.74) | 12,644 (30.35) | 13,070 (31.37) | |
| Former smoker | 70,281 (33.74) | 14,627 (35.11) | 14,168 (34.00) | 13,956 (33.49) | 13,876 (33.31) | 13.654 (32.77) | |
| Current smoker | 75,673 (36.33) | 14,981 (35.96) | 15,299 (36.72) | 15,319 (36.77) | 15,135 (36.33) | 14,939 (35.86) | |
| Education: University or more (%) | 161,268 (77.42) | 32,160 (77.19) | 32,940 (79.06) | 32,746 (78.59) | 32,557 (78.16) | 30,865 (74.08) | <0.001 |
| BMI, kg/m2 | 24.62 3.09 | 24.94 3.09 | 24.64 3.09 | 24.60 3.12 | 24.51 3.09 | 24.42 3.03 | <0.001 |
| SBP, mmHg | 115.06 11.53 | 116.33 11.88 | 115.20 11.57 | 114.89 11.42 | 114.59 11.36 | 114.31 11.33 | <0.001 |
| DBP, mmHg | 73.65 9.29 | 74.93 9.49 | 73.92 9.32 | 73.60 9.21 | 73.22 9.15 | 72.59 9.10 | <0.001 |
| FBG, mg/dL | |||||||
| 1st examination | 95.28 13.65 | 98.97 19.53 | 95.80 11.86 | 94.88 11.34 | 94.10 11.00 | 92.68 11.74 | <0.001 |
| 2nd examination | 96.71 14.42 | 94.64 13.46 | 95.53 11.77 | 96.31 12.37 | 97.23 13.23 | 99.87 19.39 | <0.001 |
| Triglycerides, mg/dL | |||||||
| 1st examination | 134.16 88.69 | 178.55 120.99 | 142.43 80.82 | 130.20 74.30 | 117.68 71.80 | 101.96 64.21 | <0.001 |
| 2nd examination | 139.98 93.71 | 103.26 61.04 | 120.94 68.52 | 135.59 76.62 | 150.21 90.82 | 189.90 130.54 | <0.001 |
| TyG index | |||||||
| 1st examination | 8.60 0.57 | 8.93 0.57 | 8.70 0.52 | 8.60 0.52 | 8.49 0.52 | 8.32 0.55 | <0.001 |
| 2nd examination | 8.66 0.58 | 8.36 0.54 | 8.53 0.52 | 8.65 0.52 | 8.76 0.52 | 8.99 0.57 | <0.001 |
| Total cholesterol, mg/dL | 197.00 34.32 | 201.15 35.69 | 197.72 33.82 | 196.60 33.86 | 195.38 33.79 | 194.14 33.99 | <0.001 |
| HDL cholesterol, mg/dL | 53.85 12.56 | 52.35 12.33 | 53.65 12.52 | 53.85 12.47 | 54.38 12.56 | 55.03 12.75 | <0.001 |
| LDL cholesterol, mg/dL | 125.67 31.54 | 125.26 31.81 | 125.11 30.99 | 125.59 31.30 | 125.73 31.40 | 126.67 32.14 | <0.001 |
| eGFR, mL/min/1.73 m2 | 92.13 15.71 | 92.03 16.27 | 91.51 15.74 | 91.99 15.76 | 92.18 15.39 | 92.94 15.35 | <0.001 |
| HbA1c, % | 5.49 0.47 | 5.56 0.65 | 5.48 0.42 | 5.47 0.39 | 5.47 0.38 | 5.47 0.42 | <0.001 |
| Uric acid, mg/dL | 6.26 1.22 | 6.24 1.24 | 6.22 1.20 | 6.26 1.21 | 6.26 1.21 | 6.35 1.24 | <0.001 |
| HOMA-IR | 1.79 1.18 | 2.09 1.38 | 1.88 1.15 | 1.79 1.09 | 1.69 1.08 | 1.51 1.07 | <0.001 |
| Insulin, uIU/mL | 7.47 4.29 | 8.42 4.68 | 7.82 4.26 | 7.53 4.15 | 7.13 4.09 | 6.44 4.01 | <0.001 |
| History of hypertension (%) | 14,083 (6.76) | 3208 (7.70) | 2716 (6.52) | 2696 (6.47) | 2684 (6.44) | 2779 (6.67) | <0.001 |
| History of diabetes (%) | 2760 (1.32) | 846 (2.03) | 462 (1.11) | 417 (1.00) | 388 (0.93) | 647 (1.55) | <0.001 |
| Usage of lipid-lowering medication (%) | 3030 (1.45) | 672 (1.61) | 559 (1.34) | 558 (1.34) | 591 (1.42) | 650 (1.56) | <0.001 |
| Total | TyG Index Change Quintile | ||||||
|---|---|---|---|---|---|---|---|
| Q1 (−2.780–−0.297) | Q2 (−0.297–−0.061) | Q3 (−0.061–0.141) | Q4 (0.141–0.381) | Q5 (0.381–3.71) | p-Value | ||
| N | 144,828 | 28,966 | 28,965 | 28,966 | 28,965 | 28,966 | |
| Age, years | 33.94 5.84 | 34.13 5.79 | 34.02 5.77 | 34.03 5.78 | 33.98 5.87 | 33.56 5.98 | <0.001 |
| Alcohol intake 10 g/day (%) | 16,609 (11.47) | 3227 (11.14) | 3150 (10.88) | 3266 (11.28) | 3238 (11.18) | 3728 (12.87) | <0.001 |
| Regular physical activity (%) a | 15,169 (10.47) | 2851 (9.84) | 2887 (9.97) | 2889 (9.97) | 3037 (10.49) | 3505 (12.10) | <0.001 |
| Smoking status (%) | <0.001 | ||||||
| Never smoker | 130,881 (90.37) | 26,075 (90.02) | 26,238 (90.59) | 26,245 (90.16) | 26,289 (90.76) | 26,034 (89.88) | |
| Former smoker | 10,405 (7.18) | 2162 (7.46) | 2107 (7.27) | 2014 (6.95) | 1951 (6.74) | 2171 (7.49) | |
| Current smoker | 3542 (2.45) | 729 (2.52) | 620 (2.14) | 707 (2.44) | 725 (2.50) | 761 (2.63) | |
| Education: University or more (%) | 93,703 (64.70) | 18,347 (63.34) | 19,075 (65.86) | 19,295 (66.61) | 19,064 (65.82) | 17,922 (61.87) | |
| BMI, kg/m2 | 21.59 3.09 | 21.98 3.26 | 21.52 3.06 | 21.43 3.02 | 21.40 3.01 | 21.60 3.05 | <0.001 |
| SBP, mmHg | 102.20 11.02 | 104.04 11.40 | 103.07 11.10 | 102.68 10.98 | 102.36 10.81 | 102.37 10.69 | <0.001 |
| DBP, mmHg | 65.68 8.25 | 66.41 8.50 | 65.84 8.27 | 65.53 8.21 | 65.34 8.14 | 65.30 8.09 | <0.001 |
| FBG, mg/dL | |||||||
| 1st examination | 90.48 10.22 | 92.70 12.52 | 91.19 9.72 | 90.44 8.91 | 89.52 9.28 | 88.56 9.78 | <0.001 |
| 2nd examination | 91.23 10.93 | 89.17 9.99 | 90.25 9.69 | 91.14 9.44 | 91.97 10.01 | 93.61 14.24 | <0.001 |
| Triglycerides, mg/dL | |||||||
| 1st examination | 82.08 46.00 | 111.23 63.64 | 86.08 41.62 | 77.21 36.37 | 71.22 33.69 | 64.63 32.06 | <0.001 |
| 2nd examination | 85.54 49.61 | 65.12 31.06 | 73.05 34.36 | 79.66 36.80 | 89.49 42.61 | 120.38 71.80 | <0.001 |
| TyG index | |||||||
| 1st examination | 8.11 0.47 | 8.43 0.46 | 8.19 0.41 | 8.07 0.41 | 7.98 0.42 | 7.87 0.44 | <0.001 |
| 2nd examination | 8.15 0.48 | 7.88 0.43 | 8.02 0.41 | 8.11 0.41 | 8.24 0.42 | 8.51 0.48 | <0.001 |
| Total cholesterol, mg/dL | 184.21 31.22 | 187.90 33.35 | 184.27 30.84 | 183.26 30.08 | 182.82 30.31 | 182.79 31.12 | <0.001 |
| HDL cholesterol, mg/dL | 66.87 15.28 | 64.35 15.38 | 66.57 15.12 | 67.64 15.13 | 67.81 15.11 | 68.00 15.37 | <0.001 |
| LDL cholesterol, mg/dL | 108.51 28.39 | 110.55 29.68 | 108.12 28.07 | 107.51 27.49 | 107.67 27.73 | 108.69 28.84 | <0.001 |
| eGFR, mL/min/1.73 m2 | 102.26 21.76 | 102.11 23.26 | 101.89 21.88 | 101.98 21.39 | 102.04 21.14 | 103.31 21.05 | <0.001 |
| HbA1c, % | 5.41 0.35 | 5.44 0.43 | 5.40 0.33 | 5.40 0.32 | 5.40 0.33 | 5.41 0.34 | <0.001 |
| Uric acid, mg/dL | 4.27 0.89 | 4.24 0.90 | 4.23 0.88 | 4.24 0.87 | 4.28 0.88 | 4.38 0.93 | <0.001 |
| HOMA-IR | 1.54 1.24 | 1.80 1.18 | 1.60 1.48 | 1.51 1.43 | 1.43 0.98 | 1.35 0.98 | <0.001 |
| Insulin, uIU/mL | 6.75 4.76 | 7.72 4.27 | 6.99 5.84 | 6.66 5.36 | 6.34 3.95 | 6.01 3.83 | <0.001 |
| History of hypertension (%) | 1970 (1.36) | 447 (1.54) | 367 (1.27) | 388 (1.34) | 359 (1.24) | 409 (1.41) | 0.012 |
| History of diabetes (%) | 656 (0.45) | 176 (0.61) | 103 (0.36) | 96 (0.33) | 112 (0.39) | 169 (0.58) | <0.001 |
| Usage of lipid-lowering medication (%) | 524 (0.36) | 117 (0.40) | 106 (0.37) | 75 (0.26) | 84 (0.29) | 142 (0.49) | <0.001 |
| Menopause (%) | 3547 (2.45) | 775 (2.68) | 658 (2.27) | 717 (2.48) | 692 (2.39) | 705 (2.43) | 0.032 |
| Quintile | N | Events (N) | Duration (PY) | Incidence Rate (per 103 PY) | Age-Adjusted HR (95% CI) | Multivariable-Adjusted HR (95% CI) | |
|---|---|---|---|---|---|---|---|
| Model 1 a | Model 2 b | ||||||
| Men | |||||||
| Q1 (−3.420–−0.295) | 41,663 | 3790 | 332,099.1 | 11.41 | 1.03 (0.99, 1.08) | 0.89 (0.85, 0.93) | 0.88 (0.84, 0.92) |
| Q2 (−0.295–−0.047) | 41,665 | 3724 | 338,970.1 | 10.99 | 1.00 (0.95, 1.04) | 0.96 (0.92, 1.01) | 0.96 (0.92, 1.01) |
| Q3 (−0.047–0.160) | 41,666 | 3711 | 338,825.4 | 10.95 | reference | reference | reference |
| Q4 (0.160–0.409) | 41,655 | 3767 | 336,736.2 | 11.19 | 1.03 (0.98, 1.08) | 1.07 (1.02, 1.12) | 1.07 (1.02, 1.12) |
| Q5 (0.409–3.210) | 41,663 | 3865 | 324,491.8 | 11.91 | 1.12 (1.07, 1.17) | 1.22 (1.16, 1.27) | 1.22 (1.16, 1.28) |
| p for trend | <0.001 | <0.001 | <0.001 | ||||
| Women | |||||||
| Q1 (−2.780–−0.297) | 28,966 | 2661 | 218,342.8 | 12.19 | 0.96 (0.91, 1.02) | 0.93 (0.88, 0.98) | 0.95 (0.90, 1.00) |
| Q2 (−0.297–−0.061) | 28,965 | 2665 | 212,029.9 | 12.57 | 1.00 (0.95, 1.05) | 0.99 (0.94, 1.05) | 1.00 (0.95, 1.06) |
| Q3 (−0.061–0.141) | 28,966 | 2639 | 210,246.8 | 12.55 | reference | reference | reference |
| Q4 (0.141–0.381) | 28,965 | 2717 | 211,568.0 | 12.84 | 1.02 (0.97, 1.08) | 1.03 (0.98, 1.09) | 1.03 (0.98, 1.09) |
| Q5 (0.381–3.71) | 28,966 | 2708 | 212,247.5 | 12.76 | 1.02 (0.96, 1.07) | 1.01 (0.96 1.07) | 1.01 (0.95, 1.07) |
| p for trend | 0.031 | 0.002 | 0.032 | ||||
Disclaimer/Publisher’s Note: The statements, opinions and data contained in all publications are solely those of the individual author(s) and contributor(s) and not of MDPI and/or the editor(s). MDPI and/or the editor(s) disclaim responsibility for any injury to people or property resulting from any ideas, methods, instructions or products referred to in the content. |
© 2025 by the authors. Licensee MDPI, Basel, Switzerland. This article is an open access article distributed under the terms and conditions of the Creative Commons Attribution (CC BY) license (https://creativecommons.org/licenses/by/4.0/).
Share and Cite
Kim, Y.J.; Bae, Y.S.; Chang, Y.; Shin, S. Sex-Specific Associations Between Changes in Triglyceride–Glucose (TyG) Index and Risk of Chronic Kidney Disease: A Cohort Study of Young and Middle-Aged Adults. Nutrients 2025, 17, 2986. https://doi.org/10.3390/nu17182986
Kim YJ, Bae YS, Chang Y, Shin S. Sex-Specific Associations Between Changes in Triglyceride–Glucose (TyG) Index and Risk of Chronic Kidney Disease: A Cohort Study of Young and Middle-Aged Adults. Nutrients. 2025; 17(18):2986. https://doi.org/10.3390/nu17182986
Chicago/Turabian StyleKim, Yoon Ji, Ye Seul Bae, Yoosoo Chang, and Sujeong Shin. 2025. "Sex-Specific Associations Between Changes in Triglyceride–Glucose (TyG) Index and Risk of Chronic Kidney Disease: A Cohort Study of Young and Middle-Aged Adults" Nutrients 17, no. 18: 2986. https://doi.org/10.3390/nu17182986
APA StyleKim, Y. J., Bae, Y. S., Chang, Y., & Shin, S. (2025). Sex-Specific Associations Between Changes in Triglyceride–Glucose (TyG) Index and Risk of Chronic Kidney Disease: A Cohort Study of Young and Middle-Aged Adults. Nutrients, 17(18), 2986. https://doi.org/10.3390/nu17182986

