Sign in to use this feature.

Years

Between: -

Subjects

remove_circle_outline
remove_circle_outline
remove_circle_outline
remove_circle_outline
remove_circle_outline
remove_circle_outline
remove_circle_outline
remove_circle_outline
remove_circle_outline

Journals

Article Types

Countries / Regions

Search Results (128)

Search Parameters:
Keywords = Kelvin wave

Order results
Result details
Results per page
Select all
Export citation of selected articles as:
18 pages, 25691 KB  
Article
CFD Investigation of Melt Breakup Dynamics Induced by Delivery Tube End Geometry Configuration in Close-Coupled Gas Atomization
by Yi Wang, Bao Wang, Jianan Zhou and Changyong Chen
Metals 2026, 16(1), 43; https://doi.org/10.3390/met16010043 - 29 Dec 2025
Viewed by 102
Abstract
The breakup process of molten metal is the most critical stage in atomization powder production. Conducting systematic research on the breakup process of molten metal during gas atomization is highly significant for understanding the formation mechanism of droplets. In this study, a mathematical [...] Read more.
The breakup process of molten metal is the most critical stage in atomization powder production. Conducting systematic research on the breakup process of molten metal during gas atomization is highly significant for understanding the formation mechanism of droplets. In this study, a mathematical model suitable for investigating the breakup mechanism of molten aluminum in high-speed gas atomization was developed by coupling large eddy simulation (LES) with the volume of fluid (VOF) model, incorporating adaptive mesh refinement technology and periodic boundary conditions. Furthermore, the breakup behavior of molten aluminum in two close-coupled atomizers with distinct delivery tube end geometric (non-expanded type and expanded type, abbreviated as ET atomizer and NET atomizer) were compared. The development of surface waves, as well as the formation mechanisms of liquid cores, liquid ligaments, and liquid droplets during gas atomization, were systematically analyzed. The results indicated that Kelvin–Helmholtz instability was the predominant factor contributing to the primary breakup of molten metals. For the NET atomizer, the recirculation zone predominantly governed the primary breakup of molten metal, whereas the nitrogen main jet primarily controlled the secondary breakup. In the case of ET atomizer, under the influence of atomizing gas, a “conical” liquid core gradually formed, and numerous primary liquid droplets separated from the liquid core before undergoing secondary breakup. Compared to the ET atomizer, the NET atomizer produced droplets with a smaller average size. Full article
Show Figures

Figure 1

29 pages, 16683 KB  
Article
Numerical Study of Amplitude-Driven Flow Dynamics in Shocked Heavy-Fluid Layers
by Ahmed Hussein Msmali, Satyvir Singh and Abdullah Ali H. Ahmadini
Mathematics 2026, 14(1), 82; https://doi.org/10.3390/math14010082 - 25 Dec 2025
Viewed by 89
Abstract
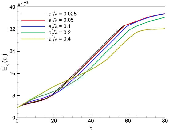
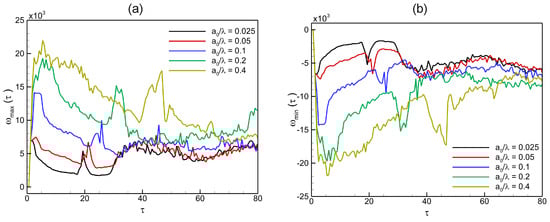
In this study, a comprehensive numerical investigation of amplitude-driven flow dynamics in shocked heavy-fluid layers is presented to focus on the evolution of the Richtmyer–Meshkov instability (RMI). A high-order mixed local discontinuous Galerkin scheme is employed to resolve the complex interactions between shock [...] Read more.
In this study, a comprehensive numerical investigation of amplitude-driven flow dynamics in shocked heavy-fluid layers is presented to focus on the evolution of the Richtmyer–Meshkov instability (RMI). A high-order mixed local discontinuous Galerkin scheme is employed to resolve the complex interactions between shock waves and perturbed interfaces within a compressible viscous flow framework. Impacts of the initial interface amplitudes are systematically examined through a series of single-mode configurations with amplitude–wavelength ratios ranging from a0/λ=0.025 to 0.4. The simulations capture the complete transition from early linear growth to nonlinear roll-up and subsequent mixing. This investigation illustrates that increasing the initial perturbation amplitude enhances baroclinic vorticity generation, intensifies interfacial deformation, and accelerates the onset of secondary instabilities. Low-amplitude interfaces maintain nearly symmetric deformation with delayed nonlinear transition, whereas high-amplitude cases exhibit pronounced spike–bubble asymmetry, stronger curvature, and rapid Kelvin–Helmholtz roll-ups. Quantitative diagnostics of the circulation, enstrophy, and kinetic energy demonstrate that both baroclinic torque and mixing intensity scale directly with the initial perturbation amplitude. This study offers new physical insight into amplitude-dependent shock–interface interactions and elucidates the mechanisms governing vorticity amplification and energy redistribution in RMI flows. Full article
(This article belongs to the Special Issue Advanced Computational Fluid Dynamics and Applications)
Show Figures

Figure 1

17 pages, 1053 KB  
Article
Symmetry-Guided Numerical Simulation of Viscoelastic Pipe Leakage Based on Transient Inverse Problem Analysis
by Tian-Yu Zhang, Ying Xu, Yu-Chao Ma and Jian-Feng Qian
Symmetry 2025, 17(11), 1805; https://doi.org/10.3390/sym17111805 - 26 Oct 2025
Viewed by 435
Abstract
In this study, numerical simulations were performed, and leaks in viscoelastic pipelines were detected. Based on the transient flow equations derived from the continuity and momentum equations, the Kelvin–Voigt model was used to describe the viscoelastic constitutive relationship and derive the strain equation, [...] Read more.
In this study, numerical simulations were performed, and leaks in viscoelastic pipelines were detected. Based on the transient flow equations derived from the continuity and momentum equations, the Kelvin–Voigt model was used to describe the viscoelastic constitutive relationship and derive the strain equation, further establishing a one-dimensional transient flow model for viscoelastic pipelines. A frequency-domain analysis of the transient flow was performed by deriving the Fourier transform and transfer matrix. An inverse problem analysis method for transient flow leak detection was proposed to identify the leak location and rate by minimizing the objective function. To verify the effectiveness of the proposed model, an experimental platform was built, and the pressure head frequency-domain data under working conditions of no leak, experimental leak, and simulated leak were compared. The results showed that the experimental data were consistent with the simulated data under leakage conditions, thus proving that the model was accurate and reliable. Under leak-free conditions, the frequency-domain characteristics of transient pressure waves exhibit significant symmetrical features, whereas when a leak exists in the pipeline, the leak point acts as a localized non-uniform disturbance source, disrupting the symmetry of the frequency-domain characteristics. Moreover, the leak point can be determined by the difference in the peak heights between the no-leak and leak conditions, and the leak parameters can be accurately identified using the inverse problem method. Full article
(This article belongs to the Section Engineering and Materials)
Show Figures

Figure 1

32 pages, 1525 KB  
Article
Analysis of Acoustic Wave Propagation in Defective Concrete: Evolutionary Modeling, Energetic Coercivity, and Defect Classification
by Mario Versaci, Matteo Cacciola, Filippo Laganà and Giovanni Angiulli
Appl. Sci. 2025, 15(21), 11378; https://doi.org/10.3390/app152111378 - 23 Oct 2025
Viewed by 548
Abstract
This study introduces a theoretical and computational framework for modeling acoustic wave propagation in defective concrete, with applications to non-destructive testing and structural health monitoring. The formulation is based on a coupled system of evolutionary hyperbolic equations, where internal defects are explicitly represented [...] Read more.
This study introduces a theoretical and computational framework for modeling acoustic wave propagation in defective concrete, with applications to non-destructive testing and structural health monitoring. The formulation is based on a coupled system of evolutionary hyperbolic equations, where internal defects are explicitly represented as localized energetic sources or sinks. A key contribution is the definition of a coercivity coefficient, which quantifies the energetic effect of defects and enables their classification as stabilizing, neutral, or dissipative. The model establishes a rigorous relationship between defect morphology, spatial distribution, and the global energetic stability of the material. Numerical simulations performed with an explicit finite-difference time-domain scheme confirm the theoretical predictions: the normalized total energy remains above 95% for stabilizing defects (μi>0), decreases by about 10% for quasi-neutral cases (μi0), and drops below 50% within 200μs for dissipative defects (μi<0). The proposed approach reproduces the attenuation and phase behavior of classical Biot-type and Kelvin–Voigt models with deviations below 5% while providing a richer energetic interpretation of local defect dynamics. Although primarily theoretical, this study establishes a physically consistent and quantitatively validated framework that supports the development of predictive ultrasonic indicators for the energetic classification of defects in concrete structures. Full article
Show Figures

Figure 1

18 pages, 3158 KB  
Article
From Kelvin Wave Patterns to Ship Displacement: An Inverse Prediction Framework Based on a Hull Form Database
by Chao Ma, Linwei Wang, Yingjiang Zhao, Haolin Yang, Haoqing Huang and Bohan Cao
J. Mar. Sci. Eng. 2025, 13(10), 2019; https://doi.org/10.3390/jmse13102019 - 21 Oct 2025
Viewed by 330
Abstract
The estimation of a ship’s displacement volume, ∇, from remote sensing data is of considerable practical value for maritime surveillance and vessel characterization. This paper introduces a practical framework for the inverse estimation of displacement volume from Kelvin ship waves, building upon a [...] Read more.
The estimation of a ship’s displacement volume, ∇, from remote sensing data is of considerable practical value for maritime surveillance and vessel characterization. This paper introduces a practical framework for the inverse estimation of displacement volume from Kelvin ship waves, building upon a prior study through two key extensions. First, the wave amplitude function is recovered using Fourier series expansions combined with the stationary phase method. The displacement volume is then estimated via a two-step procedure: an initial estimate is obtained by identifying a hull with similar amplitude characteristics from a database, followed by a refinement that incorporates discrepancies between the target and candidate wave amplitude functions. In the case studied, the proposed approach achieves a prediction error of 4.02%, demonstrating its potential for non-invasive extraction of hull information from remote sensing data. Full article
(This article belongs to the Special Issue Advancements in Marine Hydrodynamics and Structural Optimization)
Show Figures

Figure 1

17 pages, 2926 KB  
Article
Comparative Analysis of Thermal Models for Test Masses in Next-Generation Gravitational Wave Interferometers
by Vincenzo Pierro, Vincenzo Fiumara, Guerino Avallone, Giovanni Carapella, Francesco Chiadini, Roberta De Simone, Rosalba Fittipaldi, Gerardo Iannone, Alessandro Magalotti, Enrico Silva and Veronica Granata
Appl. Sci. 2025, 15(20), 10975; https://doi.org/10.3390/app152010975 - 13 Oct 2025
Viewed by 431
Abstract
Accurate thermal modeling of Terminal Test Masses (TTMs) is crucial for optimizing the sensitivity of gravitational wave interferometers like Virgo. In fact, in such gravitational wave detectors even minimal laser power absorption can induce performance-limiting thermal effects. This paper presents a detailed investigation [...] Read more.
Accurate thermal modeling of Terminal Test Masses (TTMs) is crucial for optimizing the sensitivity of gravitational wave interferometers like Virgo. In fact, in such gravitational wave detectors even minimal laser power absorption can induce performance-limiting thermal effects. This paper presents a detailed investigation into the steady-state thermal behavior of TTMs. In particular, future scenarios of increased intracavity laser beam power and optical coating absorption are considered. We develop and compare two numerical models: a comprehensive model incorporating volumetric heat absorption in both the multilayer coating and the bulk substrate, and a simplified reduced model where the coating’s thermal impact is represented as an effective surface boundary condition on the substrate. Our simulations were focused on a ternary coating design, which is a candidate for use in next-generation detectors. Results reveal that higher coating absorption localizes peak temperatures near the coating–vacuum interface. Importantly, the comparative analysis demonstrates that temperature predictions from the reduced model differ from the detailed model by only milli-Kelvins, a discrepancy often within the experimental uncertainties of the system’s thermo-physical parameters. This finding suggests that computationally efficient reduced models can provide sufficiently accurate results for thermal management and first-order distortion analyses. Moreover, the critical role of accurately characterizing the total power absorbed by the coating is emphasized. Full article
Show Figures

Figure 1

19 pages, 12279 KB  
Article
Numerical Study on Self-Pulsation Phenomenon in Liquid-Centered Swirl Coaxial Injector with Recess
by Jiwon Lee, Hadong Jung and Kyubok Ahn
Aerospace 2025, 12(9), 796; https://doi.org/10.3390/aerospace12090796 - 3 Sep 2025
Viewed by 707
Abstract
This study investigates self-pulsation phenomena in a liquid-centered swirl coaxial injector with a recess length of 4 mm, under varying liquid flow conditions, using numerical simulations. The simulations focused on analyzing spray patterns, pressure oscillations, and dominant frequency characteristics, and the results were [...] Read more.
This study investigates self-pulsation phenomena in a liquid-centered swirl coaxial injector with a recess length of 4 mm, under varying liquid flow conditions, using numerical simulations. The simulations focused on analyzing spray patterns, pressure oscillations, and dominant frequency characteristics, and the results were compared with previous experimental data. Self-pulsation, observed at liquid flow rates of 60%, 90%, and 100% of nominal values, generated distinctive periodic oscillations in the spray pattern, forming “neck” and “shoulder” breakup structures that resemble a Christmas tree. Surface waves induced by Kelvin-Helmholtz and Rayleigh-Taylor instabilities were identified at the gas-liquid interface, contributing to enhanced atomization and reduced spray breakup length. FFT analysis of the pressure oscillations highlighted a match in trends between simulation and experimental data, although variations in dominant frequency magnitudes arose due to the absence of manifold space in simulations, confining oscillations and slightly elevating dominant frequencies. Regional analysis revealed that interactions between the high-speed gas and liquid film in the recess region drive self-pulsation, leading to amplified pressure oscillations throughout the injector’s internal regions, including the gas annular passage, tangential hole, and gas core. These findings provide insights into the internal flow dynamics of swirl coaxial injectors and inform design optimizations to control instabilities in liquid rocket engines. Full article
(This article belongs to the Section Astronautics & Space Science)
Show Figures

Figure 1

38 pages, 9839 KB  
Article
Numerical Study of the Late-Stage Flow Features and Stripping in Shock Liquid Drop Interaction
by Solomon Onwuegbu, Zhiyin Yang and Jianfei Xie
Aerospace 2025, 12(8), 648; https://doi.org/10.3390/aerospace12080648 - 22 Jul 2025
Viewed by 776
Abstract
Three-dimensional (3D) computational fluid dynamic (CFD) simulations have been performed to investigate the complex flow features and stripping of fluid materials from a cylindrical water drop at the late-stage in a Shock Liquid Drop Interaction (SLDI) process when the drop’s downstream end experiences [...] Read more.
Three-dimensional (3D) computational fluid dynamic (CFD) simulations have been performed to investigate the complex flow features and stripping of fluid materials from a cylindrical water drop at the late-stage in a Shock Liquid Drop Interaction (SLDI) process when the drop’s downstream end experiences compression after it is impacted by a supersonic shock wave (Ma = 1.47). The drop trajectory/breakup has been simulated using a Lagrangian model and the unsteady Reynolds-averaged Navier–Stokes (URANS) approach has been employed for simulating the ambient airflow. The Kelvin–Helmholtz Rayleigh–Taylor (KHRT) breakup model has been used to capture the liquid drop fragmentation process and a coupled level-set volume of fluid (CLSVOF) method has been applied to investigate the topological transformations at the air/water interface. The predicted changes of the drop length/width/area with time have been compared against experimental measurements, and a very good agreement has been obtained. The complex flow features and the qualitative characteristics of the material stripping process in the compression phase, as well as disintegration and flattening of the drop are analyzed via comprehensive flow visualization. Characteristics of the drop distortion and fragmentation in the stripping breakup mode, and the development of turbulence at the later stage of the shock drop interaction process are also examined. Finally, this study investigated the effect of increasing Ma on the breakup of a water drop by shear stripping. The results show that the shed fluid materials and micro-drops are spread over a narrower distribution as Ma increases. It illustrates that the flattened area bounded by the downstream separation points experienced less compression, and the liquid sheet suffered a slower growth. Full article
(This article belongs to the Section Aeronautics)
Show Figures

Figure 1

21 pages, 10783 KB  
Article
An ALoGI PU Algorithm for Simulating Kelvin Wake on Sea Surface Based on Airborne Ku SAR
by Limin Zhai, Yifan Gong and Xiangkun Zhang
Sensors 2025, 25(14), 4508; https://doi.org/10.3390/s25144508 - 21 Jul 2025
Cited by 1 | Viewed by 815
Abstract
The airborne Synthetic Aperture Radar (SAR) has the advantages of high-precision real-time observation of wave height variations and portability in the high frequency band, such as the Ku band. In view of the Four Fast Fourier Transform (4-FFT) algorithm, combined with a Gaussian [...] Read more.
The airborne Synthetic Aperture Radar (SAR) has the advantages of high-precision real-time observation of wave height variations and portability in the high frequency band, such as the Ku band. In view of the Four Fast Fourier Transform (4-FFT) algorithm, combined with a Gaussian operator, a Laplacian of Gaussian (LoG) Phase Unwrapping (PU) expression was derived. Then, an Adaptive LoG (ALoG) algorithm was proposed based on adaptive variance, further optimizing the algorithm through iteration. Building the models of Kelvin wake on the sea surface and height to phase, the interferometric phase of wave height can be simulated. These PU algorithms were qualitatively and quantitatively evaluated. The Principal Component Analysis (PCA) scores of the ALoG iteration (ALoGI) algorithm are the best under the tested noise levels of the simulation. Through a simulation experiment, it has been proven that the superiority of the ALoGI algorithm in high spatial resolution inversion for the sea-ship surface height of the Kelvin wake, with good stability and noise resistance. Full article
(This article belongs to the Section Radar Sensors)
Show Figures

Figure 1

19 pages, 3696 KB  
Article
Reproducibility Limits of the Frequency Equation for Estimating Long-Linear Internal Wave Periods in Lake Biwa
by Hibiki Yoneda, Chunmeng Jiao, Keisuke Nakayama, Hiroki Matsumoto and Kazuhide Hayakawa
Hydrology 2025, 12(7), 190; https://doi.org/10.3390/hydrology12070190 - 11 Jul 2025
Viewed by 1041
Abstract
In a large deep lake, the generation of internal Kelvin waves and internal Poincaré waves due to wind stress on the lake surface is a significant phenomenon. These internal waves play a crucial role in material transport within the lake and have profound [...] Read more.
In a large deep lake, the generation of internal Kelvin waves and internal Poincaré waves due to wind stress on the lake surface is a significant phenomenon. These internal waves play a crucial role in material transport within the lake and have profound effects on its ecosystem and environment. Our study, which investigated the modes of internal waves in Lake Biwa using the vertical temperature distribution from field observations, has yielded important findings. We have demonstrated the applicability of the frequency equation solutions, considering the Coriolis force. The period of the internal Poincaré waves, as observed in the field, was found to match the solutions of the frequency equation. For example, observational data collected in late October revealed excellent agreement with the theoretical solutions derived from the frequency equation, showing periods of 14.7 h, 11.8 h, 8.2 h, and 6.3 h compared to the theoretical values of 14.4 h, 11.7 h, 8.5 h, and 6.1 h, respectively. However, the periods of the internal Kelvin waves in the field observation results were longer than those of the theoretical solutions. The Modified Mathew function uses a series expansion around qi=0, making it difficult to estimate the periods of internal Kelvin waves under conditions where qi>1.0. Furthermore, in lakes with an elliptical shape, such as Lake Biwa, the elliptical cylinder showed better reproducibility than the circular cylinder. These findings have significant implications for the rapid estimation of internal wave periods using the frequency equation. Full article
(This article belongs to the Section Hydrological and Hydrodynamic Processes and Modelling)
Show Figures

Figure 1

13 pages, 2921 KB  
Article
A Revised Model of the Ocean’s Meridional Overturning Circulation
by Jochen Kaempf
J. Mar. Sci. Eng. 2025, 13(7), 1244; https://doi.org/10.3390/jmse13071244 - 27 Jun 2025
Viewed by 800
Abstract
This work explores the density-driven overturning circulation of the ocean using a process-oriented three-dimensional hydrodynamic model with a free sea surface. As expected, dense-water formation in polar regions creates a deep western boundary current (DWBC) spreading southward along the continental slope. Near the [...] Read more.
This work explores the density-driven overturning circulation of the ocean using a process-oriented three-dimensional hydrodynamic model with a free sea surface. As expected, dense-water formation in polar regions creates a deep western boundary current (DWBC) spreading southward along the continental slope. Near the equator, the DWBC releases its water eastward into the ambient ocean to form a large upwelling zone. This upwelling is coupled with a slow westward surface recirculation feeding into a swift surface return flow along the western boundary that closes the mass budget. This recirculation pattern, which is fundamentally different to the Stommel–Arons model, is a consequence of geostrophic adjustment to anomalies of the surface pressure field that form under the influence of both coastal and equatorial Kelvin waves and Rossby waves. Based on the findings, the author presents a revised model of the ocean’s meridional overturning circulation to supersede earlier, incorrect suggestions. Full article
(This article belongs to the Section Physical Oceanography)
Show Figures

Figure 1

14 pages, 8597 KB  
Article
AI-Based Enhancing of xBn MWIR Thermal Camera Performance at 180 Kelvin
by Michael Zadok, Zeev Zalevsky and Benjamin Milgrom
Sensors 2025, 25(10), 3200; https://doi.org/10.3390/s25103200 - 19 May 2025
Viewed by 933
Abstract
Thermal imaging technology has revolutionized various fields, but current high operating temperature (HOT) mid-wave infrared (MWIR) cameras, particularly those based on xBn detectors, face limitations in size and cost due to the need for cooling to 150 Kelvin. This study explores the potential [...] Read more.
Thermal imaging technology has revolutionized various fields, but current high operating temperature (HOT) mid-wave infrared (MWIR) cameras, particularly those based on xBn detectors, face limitations in size and cost due to the need for cooling to 150 Kelvin. This study explores the potential of extending the operating temperature of these cameras to 180 Kelvin, leveraging advanced AI algorithms to mitigate the increased thermal noise expected at higher temperatures. This research investigates the feasibility and effectiveness of this approach for remote sensing applications, combining experimental data with cutting-edge image enhancement techniques like Enhanced Super-Resolution Generative Adversarial Networks (ESRGAN). The findings demonstrate the potential of 180 Kelvin operation for xBn MWIR cameras, particularly in daylight conditions, paving the way for a new generation of more affordable and compact thermal imaging systems. Full article
(This article belongs to the Section Sensing and Imaging)
Show Figures

Figure 1

16 pages, 5032 KB  
Article
A Low-Noise High-Resolution Temperature Measurement Technique Based on Inductive Voltage Divider and Alternating-Current Bridge
by Shanghua Gao, Xiaoyi Zhu, Xiaofeng Zhang, Bing Xue, Jilou Xi, Jiang Li, Bing Zhang, Xiaolei Wang, Yuru Wang, Haoyue Zhang and Xu Wu
Sensors 2025, 25(9), 2777; https://doi.org/10.3390/s25092777 - 28 Apr 2025
Viewed by 981
Abstract
In the field of space gravitational wave detection, high-precision temperature measurement with a resolution at the micro-Kelvin level in the milli-Hertz frequency range is required to mitigate the interference caused by temperature fluctuations around the core components. This is a very challenging task [...] Read more.
In the field of space gravitational wave detection, high-precision temperature measurement with a resolution at the micro-Kelvin level in the milli-Hertz frequency range is required to mitigate the interference caused by temperature fluctuations around the core components. This is a very challenging task due to resistance thermal noise and the inherent 1/f noise of electronic components. To overcome this problem, this paper proposes a low-noise, high-resolution temperature measurement method based on an inductive voltage divider and an alternating-current (AC) bridge. The proposed method has the following three characteristics: (1) it employs an AC excitation signal to drive the temperature measuring bridge to overcome the influence of 1/f noise in electronic components; (2) it uses as few resistance components as possible in the AC bridge and signal detection circuit to reduce the impact of resistance thermal noise on the measurement results; (3) it adopts a frequency-domain data processing algorithm based on discrete Fourier transform to improve the accuracy of the temperature measuring result. Using this method, a circuit board is designed and tested. The results show that the noise floor level of the designed temperature measurement circuit is below 7×106 K/Hz in a frequency range of 0.005~1 Hz. This demonstrates that our proposed method is able to detect extremely weak temperature change signals and meets the temperature measurement requirements of space gravitational wave detection. Full article
(This article belongs to the Section Electronic Sensors)
Show Figures

Figure 1

20 pages, 5772 KB  
Article
A Generalized Shape Function for Vibration Suppression Analysis of Acoustic Black Hole Beams Based on Fractional Calculus Theory
by Jun Xu and Ning Chen
Appl. Sci. 2025, 15(5), 2768; https://doi.org/10.3390/app15052768 - 4 Mar 2025
Cited by 2 | Viewed by 1319
Abstract
In this paper, a generalized acoustic black hole (ABH) beam covered with a viscoelastic layer is proposed to improve the energy dissipation based on the double-parameter Mittag–Leffler (ML) function. Since fractional-order constitutive models can more accurately capture the properties of viscoelastic materials, a [...] Read more.
In this paper, a generalized acoustic black hole (ABH) beam covered with a viscoelastic layer is proposed to improve the energy dissipation based on the double-parameter Mittag–Leffler (ML) function. Since fractional-order constitutive models can more accurately capture the properties of viscoelastic materials, a fractional dynamic model of an ABH structure covered with viscoelastic film is established based on the fractional Kelvin–Voigt constitutive equation and the mechanical analysis of composite structures. To analyze the energy dissipation of the viscoelastic ML-ABH structures under steady-state conditions, the wave method is introduced, and the theory of vibration wave transmission in such non-uniform structures is extended. The effects of the fractional order, the film thickness and length, and shape function parameters on the dynamic characteristics of the ABH structure are systematically investigated. The study reveals that these parameters have a significant impact on the vibration characteristics of the ABH structure. To obtain the best parameters of the shape function under various parameters, the Particle Swarm Optimization (PSO) algorithm is employed. The results demonstrate that by selecting appropriate ML parameters and viscoelastic materials, the dissipation characteristics of the structure can be significantly improved. This research provides a theoretical foundation for structural vibration reduction in ABH structures. Full article
Show Figures

Figure 1

19 pages, 8205 KB  
Article
Large-Eddy Simulation of Droplet Deformation and Fragmentation Under Shock Wave Impact
by Viola Rossano and Giuliano De Stefano
Appl. Sci. 2025, 15(3), 1233; https://doi.org/10.3390/app15031233 - 25 Jan 2025
Cited by 3 | Viewed by 1734
Abstract
This study employs the large-eddy simulation (LES) approach, together with the hybrid volume of fluid—discrete phase model, to examine the deformation and breakup of a water droplet impacted by a traveling shock wave. The research investigates the influence of Weber number on transient [...] Read more.
This study employs the large-eddy simulation (LES) approach, together with the hybrid volume of fluid—discrete phase model, to examine the deformation and breakup of a water droplet impacted by a traveling shock wave. The research investigates the influence of Weber number on transient deformation and breakup characteristics. Particular focus is given to the detailed analysis of sub-droplet-size distributions, which are frequently overlooked in existing studies, providing a novel insight into droplet fragmentation dynamics. The predicted deformation and breakup patterns of droplets in the shear breakup regime align well with experimental data, validating the computational approach. Notably, LES is able to reproduce the underlying physical mechanisms, highlighting the significant role of recirculation zones and the progression of Kelvin–Helmholtz instabilities in droplet breakup. Additionally, it is shown that higher Mach numbers significantly amplify both cross-stream and streamwise deformations, leading to earlier breakup at higher airflow pressures. Increasing the Weber number from 205 to 7000 results in 25% reduction in the average size of the sub-droplets, indicating the strong influence of aerodynamic forces on droplet fragmentation. This comprehensive analysis, while aligning with experimental observations, also provides new insights into the complex dynamics of droplet breakup under post-shock conditions, highlighting the robustness and applicability of the proposed hybrid Eulerian–Lagrangian formulation for such advanced applications in fluid engineering. Full article
Show Figures

Figure 1

Back to TopTop