Sign in to use this feature.

Years

Between: -

Subjects

remove_circle_outline
remove_circle_outline
remove_circle_outline
remove_circle_outline
remove_circle_outline
remove_circle_outline
remove_circle_outline
remove_circle_outline
remove_circle_outline

Journals

Article Types

Countries / Regions

Search Results (43)

Search Parameters:
Keywords = Kapton substrate

Order results
Result details
Results per page
Select all
Export citation of selected articles as:
18 pages, 2400 KB  
Article
NiCo2O4 Electrodes Prepared by Inkjet Printing on Kapton Substrates for Flexible Supercapacitor Applications
by Angeliki Banti, Paris Pardalis, Eleni Mantsiou, Michalis Charalampakis, Vassilios Binas, Andronikos C. Balaskas and Sotirios Sotiropoulos
Batteries 2025, 11(12), 434; https://doi.org/10.3390/batteries11120434 - 24 Nov 2025
Viewed by 405
Abstract
This study explores the fabrication and electrochemical performance of flexible NiCo2O4-based pseudo-capacitor electrodes, inkjet-printed onto flexible Kapton substrates. To circumvent the insulating nature of Kapton, a thin Au interlayer (20 nm) was introduced, significantly enhancing electrical conductivity. The effect [...] Read more.
This study explores the fabrication and electrochemical performance of flexible NiCo2O4-based pseudo-capacitor electrodes, inkjet-printed onto flexible Kapton substrates. To circumvent the insulating nature of Kapton, a thin Au interlayer (20 nm) was introduced, significantly enhancing electrical conductivity. The effect of NiCo2O4 mass loading, ranging from 0.1 to 0.5 mg cm−2, was investigated. Optimal performance was achieved at a loading of 0.3 mg cm−2 on Au/Kapton substrates, yielding a specific capacitance of 520 F g−1 at 3.3 A g−1 and 90% capacitance retention after 1000 charge–discharge cycles. These results confirm that inkjet-printed NiCo2O4 electrodes, when combined with a conductive interlayer, exhibit excellent pseudo-capacitive behavior on flexible, non-conductive substrates. This approach demonstrates the feasibility of scalable, low-temperature fabrication techniques for high-performance flexible energy storage devices, suitable for emerging wearable technologies. Full article
Show Figures

Figure 1

1855 KB  
Proceeding Paper
Inkjet-Printed PEDOT:PSS Devices on Tattoo Paper for Transferable Epidermal Temperature Sensing and Heating Applications
by Apostolos Apostolakis, Dimitris Barmpakos, Fadi Jaber, Konstantinos Aidinis and Grigoris Kaltsas
Eng. Proc. 2025, 118(1), 75; https://doi.org/10.3390/ECSA-12-26561 - 7 Nov 2025
Viewed by 107
Abstract
Here, we report a facile technique for fabricating inkjet-printed PEDOT:PSS thermally active devices on commercial tattoo paper, subsequently transferred to Kapton substrate with pre-patterned copper tracks, to enable integration with other electronic systems. Printing parameters were investigated for consistent film quality. Electrical and [...] Read more.
Here, we report a facile technique for fabricating inkjet-printed PEDOT:PSS thermally active devices on commercial tattoo paper, subsequently transferred to Kapton substrate with pre-patterned copper tracks, to enable integration with other electronic systems. Printing parameters were investigated for consistent film quality. Electrical and thermal characterization confirmed stable ohmic behavior; after transfer, the device exhibited superior contact performance with lower measured electrical resistance. Temperature coefficient of resistance (TCR) of −0.0164 °C−1 was measured, indicating the device’s capability for accurate temperature sensing. Additionally, a temperature exceeding 37 °C was achieved with a power consumption of approximately 50 mW. This work presents a robust method for passivating and transferring electronics for on-skin applications. Full article
Show Figures

Figure 1

18 pages, 6420 KB  
Article
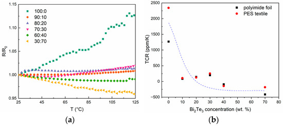
Development of Composite Thermocouple Materials Using PEDOT:PSS and Bi2Te3 for Wearables Thermopiles
by Olga Rac-Rumijowska, Piotr Markowski, Karol Rauch, Patrycja Suchorska-Woźniak and Andrzej Dziedzic
Materials 2025, 18(21), 5046; https://doi.org/10.3390/ma18215046 - 5 Nov 2025
Viewed by 2470
Abstract
This paper presents results on the preparation of thermoelectric composite materials for flexible and wearable electronics applications. Composite materials in the form of pastes for screen printing or stencil printing were made from a mixture of PEDOT:PSS paste and Bi2Te3 [...] Read more.
This paper presents results on the preparation of thermoelectric composite materials for flexible and wearable electronics applications. Composite materials in the form of pastes for screen printing or stencil printing were made from a mixture of PEDOT:PSS paste and Bi2Te3 powder. The pastes showed good adhesion both to polyimide foil (Kapton) and polyester fabric substrates. Depending on the composition and the substrate used, the pastes had a sheet resistance of 26–264 Ω/sq, a Seebeck coefficient of 14–45 μV/K and a power factor of 0.05–0.8 μW/mK2. The obtained pastes enabled the fabrication of textile thermopiles using Ag and PEDOT:PSS/Bi2Te3 materials for both arms. The output voltage of the obtained thermopiles on textile and foil substrates was 6–8 mV at a temperature gradient of 100 °C, and the output power was 0.01–0.12 μW. Energy harvesting from the human–ambient temperature gradient using the developed generators yielded promising results, with output voltages around 0.3 mV. Full article
(This article belongs to the Section Smart Materials)
Show Figures

Figure 1

4 pages, 15624 KB  
Proceeding Paper
Microfabrication of an e-QR Code Sensor Display on a Flexible Substrate
by Asha Elizabeth Raju, Heinrich Edgar Arnold Laue and Trudi-Heleen Joubert
Eng. Proc. 2025, 109(1), 16; https://doi.org/10.3390/engproc2025109016 - 19 Sep 2025
Viewed by 485
Abstract
Electronic quick response (e-QR) codes provide access to real-time sensor data using smartphone readers and internet connectivity. Printed electronics and hybrid integration on flexible substrates is a promising solution for wide-scale and low-cost deployment of sensor systems. This paper presents a 21 × [...] Read more.
Electronic quick response (e-QR) codes provide access to real-time sensor data using smartphone readers and internet connectivity. Printed electronics and hybrid integration on flexible substrates is a promising solution for wide-scale and low-cost deployment of sensor systems. This paper presents a 21 × 21-pixel e-QR display implemented on black Kapton using hybrid additive and subtractive microfabrication techniques. The process flow for the double-sided circuit allows for layer alignment using multiple fiducial markers. The steps include inkjet printing of tracks on both sides of the substrate, laser-cut via holes, stencil-aided via filling, solder paste dispensing, and final integration of discrete surface-mount components by semi-automatic pick-and-place. Full article
(This article belongs to the Proceedings of Micro Manufacturing Convergence Conference)
Show Figures

Figure 1

26 pages, 389 KB  
Review
Recent Advancements in Millimeter-Wave Antennas and Arrays: From Compact Wearable Designs to Beam-Steering Technologies
by Faisal Mehmood and Asif Mehmood
Electronics 2025, 14(13), 2705; https://doi.org/10.3390/electronics14132705 - 4 Jul 2025
Cited by 3 | Viewed by 6602
Abstract
Millimeter-wave (mmWave) antennas and antenna arrays have gained significant attention due to their pivotal role in emerging wireless communication, sensing, and imaging technologies. With the rapid deployment of 5G and the transition toward 6G networks, the demand for compact, high-gain, and reconfigurable mmWave [...] Read more.
Millimeter-wave (mmWave) antennas and antenna arrays have gained significant attention due to their pivotal role in emerging wireless communication, sensing, and imaging technologies. With the rapid deployment of 5G and the transition toward 6G networks, the demand for compact, high-gain, and reconfigurable mmWave antennas has intensified. This article highlights recent advancements in mmWave antenna technologies, including hybrid beamforming using phased arrays, dynamic beam-steering enabled by liquid crystal and MEMS-based structures, and high-capacity MIMO architectures. We also examine the integration of metamaterials and metasurfaces for miniaturization and gain enhancement. Applications covered include wearable antennas with low-SAR textile substrates, conformal antennas for UAV-based mmWave relays, and high-resolution radar arrays for autonomous vehicles. The study further analyzes innovative fabrication methods such as inkjet and aerosol jet printing, micromachining, and laser direct structuring, along with advanced materials like Kapton, PDMS, and graphene. Numerical modeling techniques such as full-wave EM simulation and machine learning-based optimization are discussed alongside experimental validation approaches. Beyond communications, we assess mmWave systems for biomedical imaging, security screening, and industrial sensing. Key challenges addressed include efficiency degradation at high frequencies, interference mitigation in dense environments, and system-level integration. Finally, future directions, including AI-driven design automation, intelligent reconfigurable surfaces, and integration with quantum and terahertz technologies, are outlined. This comprehensive synthesis aims to serve as a valuable reference for advancing next-generation mmWave antenna systems. Full article
(This article belongs to the Special Issue Recent Advancements of Millimeter-Wave Antennas and Antenna Arrays)
Show Figures

Figure 1

17 pages, 5259 KB  
Article
Study on the Impact of Laser Settings on Parameters of Induced Graphene Layers Constituting the Antenna of UHF RFIDLIG Transponders
by Aleksandr Kolomijec, Piotr Jankowski-Mihułowicz, Mariusz Węglarski and Nikita Bailiuk
Sensors 2025, 25(6), 1906; https://doi.org/10.3390/s25061906 - 19 Mar 2025
Cited by 1 | Viewed by 1374
Abstract
The aim of the research is to investigate the impact of laser operation parameters on the LIG (laser-induced graphene) process. It focuses on evaluating the feasibility of using the induced conductive layers to create antenna circuits that are dedicated to radio-frequency identification (RFID) [...] Read more.
The aim of the research is to investigate the impact of laser operation parameters on the LIG (laser-induced graphene) process. It focuses on evaluating the feasibility of using the induced conductive layers to create antenna circuits that are dedicated to radio-frequency identification (RFID) technology. Given the specific design of textile RFIDtex transponders, applying the LIG technique to fabricate antenna modules on a flexible substrate (e.g., Kapton) opens new possibilities for integrating RFID labels with modern materials and products. The paper analyses the efficiency of energy and data transmission in the proposed innovative UHF RFIDLIG tags. The signal strength, read range, and effectiveness are estimated in the experimental setup, providing key insights into the performance of the devices. Based on the obtained results, it can be concluded that changes in laser cutting parameters, the size of the induced graphene layer, and the method of fixing the Kapton substrate significantly affect the quality of the cutting/engraving components and the conductivity of burned paths. However, these changes do not directly affect the correct operation of the RFIDLIG transponders, owing to the fact that these structures are resistant to external impacts. Nevertheless, an increased range of data readout from the RFIDLIG tags can be achieved by using graphene paths with higher conductivity. The obtained results confirm the validity of the proposed concept and provide a foundation for further research on adapting the LIG method to automated logistics, ultimately leading to the development of more versatile and innovative solutions for identification processes. Full article
(This article belongs to the Special Issue Sensors Technologies for Measurements and Signal Processing)
Show Figures

Figure 1

16 pages, 7205 KB  
Article
Comprehensive Structural, Chemical, and Optical Characterization of Cu2ZnSnS4 Films on Kapton Using the Automated Successive Ionic Layer Adsorption and Reaction Method
by Perla J. Vázquez-González, Martha L. Paniagua-Chávez, Lizette A. Zebadua-Chavarria, Rafael Mota-Grajales, C. A. Meza-Avendaño, Enrique Campos-González, A. Escobosa-Echavarría, Yaoqiao Hu, Aldo E. Pérez-Ramos, Manuel-Matuz and Carlos A. Hernández-Gutiérrez
Nanomaterials 2025, 15(2), 85; https://doi.org/10.3390/nano15020085 - 8 Jan 2025
Cited by 3 | Viewed by 1442
Abstract
This study provides a comprehensive structural, chemical, and optical characterization of CZTS thin films deposited on flexible Kapton substrates via the Successive Ionic Layer Adsorption and Reaction (SILAR) method. The investigation explored the effects of varying deposition cycles (40, 60, 70, and 80) [...] Read more.
This study provides a comprehensive structural, chemical, and optical characterization of CZTS thin films deposited on flexible Kapton substrates via the Successive Ionic Layer Adsorption and Reaction (SILAR) method. The investigation explored the effects of varying deposition cycles (40, 60, 70, and 80) and annealing treatments on the films. An X-ray diffraction (XRD) analysis demonstrated enhanced crystallinity and phase purity, particularly in films deposited with 70 cycles. These films exhibited a notable reduction in secondary phases in the as-deposited state, with further improvements observed after annealing at 400 °C and 450 °C in a sulfur atmosphere. A pole figure analysis indicates a decrease in texture disorder with annealing, suggesting improved crystalline orientation at higher temperatures. Field emission scanning electron microscopy (FE-SEM) showed enhancements in surface morphology, with increased grain size and uniformity post-annealing. Chemical uniformity was confirmed through Secondary Ion Mass Spectrometry (SIMS), Energy-Dispersive Spectroscopy (EDS), and X-ray Photoelectron Spectroscopy (XPS). XPS revealed the presence of CZTS phases alongside oxidized phases. Annealing effectively reduced secondary phases, such as ZnO, SnO2, CuO, and SO2, enhancing the CZTS phase. An optical analysis demonstrated that annealing at 200 °C in an air atmosphere reduced the band gap from 1.53 eV to 1.38 eV. In contrast, annealing at 400 °C and 450 °C in a sulfur atmosphere increased the band gap to 1.59 eV and 1.63 eV, respectively. The films exhibited p-type conductivity, as inferred from a valence band structure analysis. Density Functional Theory (DFT) calculations provided insights into the observed band gap variations, further substantiating the findings. Full article
Show Figures

Figure 1

19 pages, 8894 KB  
Article
The Effect of Doping rGO with Nanosized MnO2 on Its Gas Sensing Properties
by Mohamed Ayoub Alouani, Juan Casanova-Chafer, Santiago de Bernardi-Martín, Alejandra García-Gómez, Foad Salehnia, José Carlos Santos-Ceballos, Alejandro Santos-Betancourt, Xavier Vilanova and Eduard Llobet
Chemosensors 2024, 12(12), 256; https://doi.org/10.3390/chemosensors12120256 - 6 Dec 2024
Cited by 6 | Viewed by 2177
Abstract
Manganese dioxide (MnO2) has drawn attention as a sensitiser to be incorporated in graphene-based chemoresistive sensors thanks to its promising properties. In this regard, a rGO@MnO2 sensing material was prepared and deposited on two different substrates (silicon and Kapton). The [...] Read more.
Manganese dioxide (MnO2) has drawn attention as a sensitiser to be incorporated in graphene-based chemoresistive sensors thanks to its promising properties. In this regard, a rGO@MnO2 sensing material was prepared and deposited on two different substrates (silicon and Kapton). The effect of the substrate nature on the morphology and sensing behaviour of the rGO@MnO2 material was thoroughly analysed and reported. These sensors were exposed to different dilutions of NO2 ranging from 200 ppb to 1000 ppb under dry and humid conditions (25% RH and 70% RH) at room temperature. rGO@MnO2 deposited on Kapton showed the highest response of 6.6% towards 1 ppm of NO2 under dry conditions at RT. Other gases or vapours such as NH3, CO, ethanol, H2 and benzene were also tested. FESEM, HRTEM, Raman, XRD and ATR-IR were used to characterise the prepared sensors. The experimental results showed that the incorporation of nanosized MnO2 in the rGO material enhanced its response towards NO2. Moreover, this material also showed very good responses toward NH3 both under dry and humid conditions, with the rGO@MnO2 sensor on silicon showing the highest response of 18.5% towards 50 ppm of NH3 under 50% RH at RT. Finally, the synthetised layers showed no cross-responsiveness towards other toxic gases. Full article
(This article belongs to the Special Issue Advanced Chemical Sensors for Gas Detection)
Show Figures

Figure 1

14 pages, 1546 KB  
Article
Mobility Gaps of Hydrogenated Amorphous Silicon Related to Hydrogen Concentration and Its Influence on Electrical Performance
by Francesca Peverini, Saba Aziz, Aishah Bashiri, Marco Bizzarri, Maurizio Boscardin, Lucio Calcagnile, Carlo Calcatelli, Daniela Calvo, Silvia Caponi, Mirco Caprai, Domenico Caputo, Anna Paola Caricato, Roberto Catalano, Roberto Cirro, Giuseppe Antonio Pablo Cirrone, Michele Crivellari, Tommaso Croci, Giacomo Cuttone, Gianpiero de Cesare, Paolo De Remigis, Sylvain Dunand, Michele Fabi, Luca Frontini, Livio Fanò, Benedetta Gianfelici, Catia Grimani, Omar Hammad, Maria Ionica, Keida Kanxheri, Matthew Large, Francesca Lenta, Valentino Liberali, Nicola Lovecchio, Maurizio Martino, Giuseppe Maruccio, Giovanni Mazza, Mauro Menichelli, Anna Grazia Monteduro, Francesco Moscatelli, Arianna Morozzi, Augusto Nascetti, Stefania Pallotta, Andrea Papi, Daniele Passeri, Marco Petasecca, Giada Petringa, Igor Pis, Pisana Placidi, Gianluca Quarta, Silvia Rizzato, Alessandro Rossi, Giulia Rossi, Federico Sabbatini, Andrea Scorzoni, Leonello Servoli, Alberto Stabile, Silvia Tacchi, Cinzia Talamonti, Jonathan Thomet, Luca Tosti, Giovanni Verzellesi, Mattia Villani, Richard James Wheadon, Nicolas Wyrsch, Nicola Zema and Maddalena Pedioadd Show full author list remove Hide full author list
Nanomaterials 2024, 14(19), 1551; https://doi.org/10.3390/nano14191551 - 25 Sep 2024
Cited by 3 | Viewed by 2739
Abstract
This paper presents a comprehensive study of hydrogenated amorphous silicon (a-Si)-based detectors, utilizing electrical characterization, Raman spectroscopy, photoemission, and inverse photoemission techniques. The unique properties of a-Si have sparked interest in its application for radiation detection in both physics and medicine. Although amorphous [...] Read more.
This paper presents a comprehensive study of hydrogenated amorphous silicon (a-Si)-based detectors, utilizing electrical characterization, Raman spectroscopy, photoemission, and inverse photoemission techniques. The unique properties of a-Si have sparked interest in its application for radiation detection in both physics and medicine. Although amorphous silicon (a-Si) is inherently a highly defective material, hydrogenation significantly reduces defect density, enabling its use in radiation detector devices. Spectroscopic measurements provide insights into the intricate relationship between the structure and electronic properties of a-Si, enhancing our understanding of how specific configurations, such as the choice of substrate, can markedly influence detector performance. In this study, we compare the performance of a-Si detectors deposited on two different substrates: crystalline silicon (c-Si) and flexible Kapton. Our findings suggest that detectors deposited on Kapton exhibit reduced sensitivity, despite having comparable noise and leakage current levels to those on crystalline silicon. We hypothesize that this discrepancy may be attributed to the substrate material, differences in film morphology, and/or the alignment of energy levels. Further measurements are planned to substantiate these hypotheses. Full article
(This article belongs to the Special Issue Advanced Nanotechnology in Intelligent Flexible Devices)
Show Figures

Figure 1

18 pages, 28128 KB  
Article
All Screen Printed and Flexible Silicon Carbide NTC Thermistors for Temperature Sensing Applications
by Arjun Wadhwa, Jaime Benavides-Guerrero, Mathieu Gratuze, Martin Bolduc and Sylvain G. Cloutier
Materials 2024, 17(11), 2489; https://doi.org/10.3390/ma17112489 - 22 May 2024
Cited by 9 | Viewed by 4106
Abstract
In this study, Silicon Carbide (SiC) nanoparticle-based serigraphic printing inks were formulated to fabricate highly sensitive and wide temperature range printed thermistors. Inter-digitated electrodes (IDEs) were screen printed onto Kapton® substrate using commercially avaiable silver ink. Thermistor inks with different weight ratios [...] Read more.
In this study, Silicon Carbide (SiC) nanoparticle-based serigraphic printing inks were formulated to fabricate highly sensitive and wide temperature range printed thermistors. Inter-digitated electrodes (IDEs) were screen printed onto Kapton® substrate using commercially avaiable silver ink. Thermistor inks with different weight ratios of SiC nanoparticles were printed atop the IDE structures to form fully printed thermistors. The thermistors were tested over a wide temperature range form 25 °C to 170 °C, exhibiting excellent repeatability and stability over 15 h of continuous operation. Optimal device performance was achieved with 30 wt.% SiC-polyimide ink. We report highly sensitive devices with a TCR of −0.556%/°C, a thermal coefficient of 502 K (β-index) and an activation energy of 0.08 eV. Further, the thermistor demonstrates an accuracy of ±1.35 °C, which is well within the range offered by commercially available high sensitivity thermistors. SiC thermistors exhibit a small 6.5% drift due to changes in relative humidity between 10 and 90%RH and a 4.2% drift in baseline resistance after 100 cycles of aggressive bend testing at a 40° angle. The use of commercially available low-cost materials, simplicity of design and fabrication techniques coupled with the chemical inertness of the Kapton® substrate and SiC nanoparticles paves the way to use all-printed SiC thermistors towards a wide range of applications where temperature monitoring is vital for optimal system performance. Full article
Show Figures

Figure 1

13 pages, 7878 KB  
Article
Aluminum Nitride Thin Film Piezoelectric Pressure Sensor for Respiratory Rate Detection
by Maria Assunta Signore, Gabriele Rescio, Luca Francioso, Flavio Casino and Alessandro Leone
Sensors 2024, 24(7), 2071; https://doi.org/10.3390/s24072071 - 24 Mar 2024
Cited by 8 | Viewed by 3385
Abstract
In this study, we propose a low-cost piezoelectric flexible pressure sensor fabricated on Kapton® (KaptonDupont) substrate by using aluminum nitride (AlN) thin film, designed for the monitoring of the respiration rate for a fast detection of respiratory anomalies. [...] Read more.
In this study, we propose a low-cost piezoelectric flexible pressure sensor fabricated on Kapton® (KaptonDupont) substrate by using aluminum nitride (AlN) thin film, designed for the monitoring of the respiration rate for a fast detection of respiratory anomalies. The device was characterized in the range of 15–30 breaths per minute (bpm), to simulate moderate difficult breathing, borderline normal breathing, and normal spontaneous breathing. These three breathing typologies were artificially reproduced by setting the expiratory to inspiratory ratios (E:I) at 1:1, 2:1, 3:1. The prototype was able to accurately recognize the breath states with a low response time (~35 ms), excellent linearity (R2 = 0.997) and low hysteresis. The piezoelectric device was also characterized by placing it in an activated carbon filter mask to evaluate the pressure generated by exhaled air through breathing acts. The results indicate suitability also for the monitoring of very weak breath, exhibiting good linearity, accuracy, and reproducibility, in very low breath pressures, ranging from 0.09 to 0.16 kPa. These preliminary results are very promising for the future development of smart wearable devices able to monitor different patients breathing patterns, also related to breathing diseases, providing a suitable real-time diagnosis in a non-invasive and fast way. Full article
Show Figures

Figure 1

16 pages, 6327 KB  
Article
ZnO Decorated Graphene-Based NFC Tag for Personal NO2 Exposure Monitoring during a Workday
by Alejandro Santos-Betancourt, José Carlos Santos-Ceballos, Mohamed Ayoub Alouani, Shuja Bashir Malik, Alfonso Romero, José Luis Ramírez, Xavier Vilanova and Eduard Llobet
Sensors 2024, 24(5), 1431; https://doi.org/10.3390/s24051431 - 22 Feb 2024
Cited by 8 | Viewed by 3496
Abstract
This paper presents the integration of a sensing layer over interdigitated electrodes and an electronic circuit on the same flexible printed circuit board. This integration provides an effective technique to use this design as a wearable gas measuring system in a target application, [...] Read more.
This paper presents the integration of a sensing layer over interdigitated electrodes and an electronic circuit on the same flexible printed circuit board. This integration provides an effective technique to use this design as a wearable gas measuring system in a target application, exhibiting high performance, low power consumption, and being lightweight for on-site monitoring. The wearable system proves the concept of using an NFC tag combined with a chemoresistive gas sensor as a cumulative gas sensor, having the possibility of holding the data for a working day, and completely capturing the exposure of a person to NO2 concentrations. Three different types of sensors were tested, depositing the sensing layers on gold electrodes over Kapton substrate: bare graphene, graphene decorated with 5 wt.% zinc oxide nanoflowers, or nanopillars. The deposited layers were characterized using FESEM, EDX, XRD, and Raman spectroscopy to determine their crystalline structure, morphological and chemical compositions. The gas sensing performance of the sensors was analyzed against NO2 (dry and humid conditions) and other interfering species (dry conditions) to check their sensitivity and selectivity. The resultant-built wearable NFC tag system accumulates the data in a non-volatile memory every minute and has an average low power consumption of 24.9 µW in dynamic operation. Also, it can be easily attached to a work vest. Full article
Show Figures

Figure 1

18 pages, 7568 KB  
Article
Resonance Analysis and Gain Estimation Using CMA-Based Even Mode Combination Method for Flexible Wideband Antennas
by Bashar Bahaa Qas Elias and Ping Jack Soh
Sensors 2023, 23(11), 5297; https://doi.org/10.3390/s23115297 - 2 Jun 2023
Cited by 2 | Viewed by 2516
Abstract
This work presents an efficient design and optimization method based on characteristic mode analysis (CMA) to predict the resonance and gain of wideband antennas made from flexible materials. Known as the even mode combination (EMC) method based on CMA, the forward gain is [...] Read more.
This work presents an efficient design and optimization method based on characteristic mode analysis (CMA) to predict the resonance and gain of wideband antennas made from flexible materials. Known as the even mode combination (EMC) method based on CMA, the forward gain is estimated based on the principle of summing the electric field magnitudes of the first even dominant modes of the antenna. To demonstrate its effectiveness, two compact, flexible planar monopole antennas designed on different materials and two different feeding methods are presented and analyzed. The first planar monopole is designed on Kapton polyimide substrate and fed using a coplanar waveguide to operate from 2 to 5.27 GHz (measured). On the other hand, the second antenna is designed on felt textile and fed using a microstrip line to operate from about 2.99 to 5.57 GHz (measured). Their frequencies are selected to ensure their relevance in operating across several important wireless frequency bands, such as 2.45 GHz, 3.6 GHz, 5.5 GHz, and 5.8 GHz. On the other hand, these antennas are also designed to enable competitive bandwidth and compactness relative to the recent literature. Comparison of the optimized gains and other performance parameters of both structures are in agreement with the optimized results from full wave simulations, which process is less resource-efficient and more iterative. Full article
(This article belongs to the Section Sensor Materials)
Show Figures

Figure 1

18 pages, 13530 KB  
Article
A Simulation Study of Triband Low SAR Wearable Antenna
by Wazie M. Abdulkawi, Asad Masood, N. Nizam-Uddin and Mohammad Alnakhli
Micromachines 2023, 14(4), 819; https://doi.org/10.3390/mi14040819 - 5 Apr 2023
Cited by 25 | Viewed by 3558
Abstract
The proposed paper presents a flexible antenna that is capable of operating in several frequency bands, namely 2.45 GHz, 5.8 GHz, and 8 GHz. The first two frequency bands are frequently utilized in industrial, scientific, and medical (ISM) as well as wireless local [...] Read more.
The proposed paper presents a flexible antenna that is capable of operating in several frequency bands, namely 2.45 GHz, 5.8 GHz, and 8 GHz. The first two frequency bands are frequently utilized in industrial, scientific, and medical (ISM) as well as wireless local area network (WLAN) applications, whereas the third frequency band is associated with X-band applications. The antenna, with dimensions of 52 mm × 40 mm (0.79 λ × 0.61 λ), was designed using a 1.8 mm thick flexible kapton polyimide substrate with a permittivity of 3.5. Using CST Studio Suite, full-wave electromagnetic simulations were conducted, and the proposed design achieved a reflection coefficient below −10 dB for the intended frequency bands. Additionally, the proposed antenna achieves an efficiency value of up to 83% and appropriate values of gain in the desired frequency bands. In order to quantify the specific absorption rate (SAR), simulations were conducted by mounting the proposed antenna on a three-layered phantom. The SAR1g values recorded for the frequency bands of 2.45 GHz, 5.8 GHz, and 8 GHz were 0.34, 1.45, and 1.57 W/Kg respectively. These SAR values were observed to be significantly lower than the 1.6 W/Kg threshold set by the Federal Communication Commission (FCC). Moreover, the performance of the antenna was evaluated by simulating various deformation tests. Full article
(This article belongs to the Special Issue Miniaturized Wearable Antennas)
Show Figures

Figure 1

16 pages, 9445 KB  
Article
Customizable Fabrication Process for Flexible Carbon-Based Electrochemical Biosensors
by Catalin Marculescu, Petruta Preda, Tiberiu Burinaru, Eugen Chiriac, Bianca Tincu, Alina Matei, Oana Brincoveanu, Cristina Pachiu and Marioara Avram
Chemosensors 2023, 11(4), 204; https://doi.org/10.3390/chemosensors11040204 - 24 Mar 2023
Cited by 8 | Viewed by 3271
Abstract
In recent research, 3D printing has become a powerful technique and has been applied in the last few years to carbon-based materials. A new generation of 3D-printed electrodes, more affordable and easier to obtain due to rapid prototyping techniques, has emerged. We propose [...] Read more.
In recent research, 3D printing has become a powerful technique and has been applied in the last few years to carbon-based materials. A new generation of 3D-printed electrodes, more affordable and easier to obtain due to rapid prototyping techniques, has emerged. We propose a customizable fabrication process for flexible (and rigid) carbon-based biosensors, from biosensor design to printable conductive inks. The electrochemical biosensors were obtained on a 50 µm Kapton® (polyimide) substrate and transferred to a 500 µm PDMS substrate, using a 3D-extrusion-based printing method. The main features of our fabrication process consist of short-time customization implementation, fast small-to-medium batch production, ease of electrochemical spectroscopy measurements, and very good resolution for an extrusion-based printing method (100 µm). The sensors were designed for future integration into a smart wound dressing for wound monitoring and other biomedical applications. We increased their sensibility with electro-deposited gold nanoparticles. To assess the biosensors’ functionality, we performed surface functionalization with specific anti-N-protein antibodies for SARS-CoV 2 virus, with promising preliminary results. Full article
(This article belongs to the Special Issue Electrochemical Impedance Spectroscopy (EIS): Biosensing Applications)
Show Figures

Figure 1

Back to TopTop