Sign in to use this feature.

Years

Between: -

Subjects

remove_circle_outline
remove_circle_outline
remove_circle_outline
remove_circle_outline
remove_circle_outline
remove_circle_outline
remove_circle_outline
remove_circle_outline
remove_circle_outline

Journals

Article Types

Countries / Regions

remove_circle_outline
remove_circle_outline
remove_circle_outline
remove_circle_outline
remove_circle_outline
remove_circle_outline

Search Results (271)

Search Parameters:
Keywords = KGE

Order results
Result details
Results per page
Select all
Export citation of selected articles as:
24 pages, 6226 KB  
Article
Enhanced IMERG SPE Using LSTM with a Novel Adaptive Regularization Method
by Seng Choon Toh, Wan Zurina Wan Jaafar, Cia Yik Ng, Eugene Zhen Xiang Soo, Majid Mirzaei, Fang Yenn Teo and Sai Hin Lai
Water 2026, 18(8), 905; https://doi.org/10.3390/w18080905 - 10 Apr 2026
Viewed by 257
Abstract
Satellite-based precipitation estimates (SPE) provide essential spatial coverage and near real-time availability for hydrological applications but often exhibit systematic biases in regions characterized by complex terrain and strong climatic variability, limiting their reliability for flood-related studies. To address these limitations, this study proposes [...] Read more.
Satellite-based precipitation estimates (SPE) provide essential spatial coverage and near real-time availability for hydrological applications but often exhibit systematic biases in regions characterized by complex terrain and strong climatic variability, limiting their reliability for flood-related studies. To address these limitations, this study proposes an Adaptive Regularization framework integrated within a Long Short-Term Memory (LSTM) model to enhance satellite–gauge rainfall fusion beyond conventional optimization strategies. The framework dynamically adjusts learning rate and weight decay during training based on validation performance and overfitting indicators, improving training stability, data efficiency, and model generalization across diverse precipitation regimes. The proposed approach was applied to refine Integrated Multi-satellite Retrievals for Global Precipitation Measurement (IMERG-Final) daily rainfall estimates over the flood-prone east coast of Peninsular Malaysia. Model performance was assessed against ten optimization algorithms using correlation coefficient (CC), mean absolute error (MAE), normalized root mean squared error (NRMSE), percentage bias (PBias), and Kling–Gupta efficiency (KGE). Results show that the Adaptive Regularization framework consistently outperforms all benchmark optimizers, achieving an MAE of 6.87, CC of 0.68, NRMSE of 1.84, and KGE of 0.56. Overall, the proposed framework enhances spatial consistency and robustness across monsoon seasons, offering a scalable solution for improving SPE in flood-prone regions. Full article
(This article belongs to the Special Issue Water and Environment for Sustainability)
Show Figures

Figure 1

19 pages, 11722 KB  
Article
Modeling Spatiotemporal Streamflow Patterns in the Missouri River Basin Under Future Climate Scenarios
by Benjamin Donkor, Zhulu Lin and Siew Hoon Lim
Water 2026, 18(7), 858; https://doi.org/10.3390/w18070858 - 2 Apr 2026
Viewed by 405
Abstract
Understanding the spatiotemporal streamflow patterns under future climate scenarios is critical for sustainable water resource management in large river basins. This study applied the Soil and Water Assessment Tool (SWAT), forced by five downscaled and bias-corrected CMIP6 global climate models, to evaluate historical [...] Read more.
Understanding the spatiotemporal streamflow patterns under future climate scenarios is critical for sustainable water resource management in large river basins. This study applied the Soil and Water Assessment Tool (SWAT), forced by five downscaled and bias-corrected CMIP6 global climate models, to evaluate historical (2008–2024) and future (2025–2049) streamflow patterns in the Missouri River Basin in the continental United States. Model calibration and validation were satisfactory, with NSE > 0.5, KGE ≥ 0.5, R2 > 0.5, and PBIAS within ±25% at most USGS gauge stations. Future projections indicate spatially and temporally variable hydrological responses: The upper basin (Bismarck, North Dakota) is projected to experience lower flows across most percentiles and reduced extreme events, whereas the lower basin (Hermann, Missouri) shows decreased median flows but higher extremes. Recurrence interval analysis of 2-, 5-, 10-, 50-, 100-, and 500-year flows suggests that 100-year flows may decline by 11% at Bismarck and increase by 37.4% at Hermann. These results highlight the importance of integrating percentile-based and extreme event streamflow analyses with hydrologic modeling for assessing the spatiotemporal streamflow patterns under future climate scenarios in large-scale basins. Quantitative insights into future streamflow variability and its implications for flood risk mitigation, water resources management, and adaptive strategies were gained for one of North America’s largest river systems. Full article
Show Figures

Figure 1

32 pages, 19907 KB  
Article
Global Patterns of Ecosystem Transpiration and Carbon–Water Coupling: An Intercomparison of Four Partitioning Models Using Eddy Covariance Data for Sustainable Water Management
by Haonan Wang, Shanshan Yang, Wilson Kalisa, Ruiyun Zeng, Jingwen Wang, Dan Cao, Sha Zhang, Jiahua Zhang and Ayalkibet M. Seka
Sustainability 2026, 18(7), 3245; https://doi.org/10.3390/su18073245 - 26 Mar 2026
Viewed by 386
Abstract
Ecosystem transpiration (T) is the core process in terrestrial water and carbon cycles. Accurately estimating T is critical to improving evapotranspiration (ET) models and understanding global ecosystem responses to climate change. In this study, we evaluated four ET partitioning methods (TEA, Z16, L19, [...] Read more.
Ecosystem transpiration (T) is the core process in terrestrial water and carbon cycles. Accurately estimating T is critical to improving evapotranspiration (ET) models and understanding global ecosystem responses to climate change. In this study, we evaluated four ET partitioning methods (TEA, Z16, L19, and Y21) using 368 global eddy covariance (EC) sites and 15 sap flow sites. Intercomparison results showed that TEA, Z16, and Y21 maintained good consistency, whereas L19 exhibited lower agreement, primarily due to its high sensitivity to energy closure errors and poor non-linear fitting accuracy under extreme conditions. Validation against sap flow data indicated that Z16 performed best (R2 = 0.45, KGE = 0.52), followed by Y21, while TEA had the lowest accuracy due to systematic overestimation driven by unremoved persistent background soil evaporation in its training dataset. Global analysis revealed that mean annual T ranged from 213 mm yr−1 (Z16) to 294 mm yr−1 (TEA), with annual T/ET varying between 0.45 (Z16) and 0.63 (TEA). Trend analysis further showed consistent increasing trends across all four methods for both annual T (0.33–0.83 mm·yr−2) and annual T/ET (0.0015–0.0019 yr−1). Additionally, a notably stronger relationship was found between gross primary productivity (GPP) and T than between GPP and ET. Despite substantial differences in model structures, these methods effectively capture the temporal dynamics of T and the coupled relationships between ecosystem carbon and water fluxes. Our findings provide critical benchmarks for terrestrial water cycle modeling and sustainable water resource management under a changing climate. Full article
(This article belongs to the Special Issue Agrometeorology Research for Sustainable Development Goals)
Show Figures

Figure 1

21 pages, 6399 KB  
Article
Future Hydrological Drought and Water Sustainability in the Sava River Basin: Machine Learning Projections Under Climate Change Scenarios
by Igor Leščešen, Milan Josić, Slobodan Gnjato, Ana M. Petrović and Zbyněk Bajtek
Sustainability 2026, 18(6), 2678; https://doi.org/10.3390/su18062678 - 10 Mar 2026
Viewed by 388
Abstract
Hydrological drought projections are crucial for climate-resilient water management; however, many basins lack calibrated process-based models that can readily be forced with climate scenarios. This study develops a purely data-driven framework to forecast the Streamflow Drought Index (SDI) from standardized meteorological indices and [...] Read more.
Hydrological drought projections are crucial for climate-resilient water management; however, many basins lack calibrated process-based models that can readily be forced with climate scenarios. This study develops a purely data-driven framework to forecast the Streamflow Drought Index (SDI) from standardized meteorological indices and to assess future drought regimes under different emission pathways. We used a 60-year monthly record (1961–2020) of the Standardized Precipitation Index (SPI), the Standardized Temperature Index (STI), the Standardized Precipitation–Evapotranspiration Index (SPEI), and the SDI for the Sava River Basin. Correlation analysis showed that the SDI is primarily controlled by the short-lag SPI (0–1 months), whereas the STI and SPEI play a minor role. Several machine learning models were tested for one-month-ahead SDI prediction; a Random Forest (RF) with hyperparameters optimized by TimeSeriesSplit cross-validation, combined with linear-scaling bias correction, clearly outperformed XGBoost, Elastic Net, support vector regression, and a multilayer perceptron. On the independent test period (2009–2020), the RF achieved MAE ≈ 0.62, RMSE ≈ 0.83, NSE ≈ 0.49, and KGE ≈ 0.65. Using SPI/STI/SPEI projections from RCP2.6, RCP4.5, and RCP8.5, the RF produced monthly SDI projections for 2021–2050, revealing increasingly frequent, severe, and persistent streamflow droughts with higher emissions. The results demonstrate that carefully tuned ensemble tree models driven solely by standardized climate indices can provide skilful and interpretable SDI projections for drought risk assessment, supporting sustainable, climate-resilient water resources planning and adaptation in this transboundary basin. Full article
Show Figures

Figure 1

23 pages, 2368 KB  
Article
Wind Energy Potential over the Eastern Mediterranean During the Summer Season: Evaluation and Future Projections from CMIP6
by Ioannis Logothetis, Maria-Elissavet Koukouli, Athanasios Kerchoulas, Dimitrios-Sotirios Kourkoumpas, Adamantios Mitsotakis, Panagiotis Grammelis, Kleareti Tourpali and Dimitrios Melas
Climate 2026, 14(3), 64; https://doi.org/10.3390/cli14030064 - 5 Mar 2026
Viewed by 638
Abstract
Renewables are key pillars of the European Union’s (EU) strategy for green transition and climate neutrality. In particular, wind energy lies at the core of a sustainable framework regarding the energy policy (i.e., European Green Deal and REPowerEU plan) supporting clean, secure, and [...] Read more.
Renewables are key pillars of the European Union’s (EU) strategy for green transition and climate neutrality. In particular, wind energy lies at the core of a sustainable framework regarding the energy policy (i.e., European Green Deal and REPowerEU plan) supporting clean, secure, and affordable electricity for a resilient future. In this study, Global Climate Models (GCMs) simulations were used to investigate the efficiency of GCMs to capture and reproduce the spatial and temporal features of Wind Energy Potential (WEP). The GCMs that have been used in this study are available in the context of the Coupled Model Intercomparison Project Phase 6 (CMIP6). The analysis focuses on high-interest regions of the Eastern Mediterranean (EMed) during the summer season (JJA). The ERA5 reanalysis dataset was used as a reference data set. Furthermore, projected changes in WEP were calculated under two Shared Socioeconomic Pathways (the “moderate”, SSP2-4.5 and the “fossil-fueled development”, SSP5-8.5 scenarios), covering the period from 1970 to 2099. The results indicate that most GCMs underestimate mean WEP, with model performance ranging from “poor” to “good” scores based on the Kling–Gupta Efficiency index (−0.45 < KGE < 0.5). Future WEP projections show no consistent spatial patterns among GCMs. By the late 21st century, WEP is projected to decrease (about 10–15%) over the Southeastern Aegean and increase between Crete and Libya (about 10–15%) relative to the baseline historical period (1970–2000) under both SSP scenarios. Finally, findings provide elements for the WEP evolution over the Eastern Mediterranean, contributing to the EU energy policy. Full article
(This article belongs to the Special Issue Wind‑Speed Variability from Tropopause to Surface)
Show Figures

Figure 1

23 pages, 3685 KB  
Article
Decomposition–Quantum Hybrid Model for Accurate Reservoir Inflow Prediction: A Case Study on Khoda Afarin Dam
by Erfan Abdi, Mohammad Taghi Sattari, Saeed Samadianfard and Sajjad Ahmad
Earth 2026, 7(2), 35; https://doi.org/10.3390/earth7020035 - 1 Mar 2026
Viewed by 621
Abstract
Reservoir management, flood control, and operational planning are the benefits of dam inflow forecasting. Decomposition algorithms can decompose complex inflow data into intrinsic components and reduce noise and fluctuations, while quantum machine learning models use features such as superposition and entanglement to manage [...] Read more.
Reservoir management, flood control, and operational planning are the benefits of dam inflow forecasting. Decomposition algorithms can decompose complex inflow data into intrinsic components and reduce noise and fluctuations, while quantum machine learning models use features such as superposition and entanglement to manage large datasets and capture nonlinear hydrological behaviors. This study used three models: random forest (RF) as a classical benchmark, hybrid quantum neural network (HQNN) as a quantum approach, and sequential variational mode decomposition with HQNN (SVMD-HQNN) that integrates decomposition and quantum learning. The modeling was applied to forecast the inflow to Khoda Afarin Dam over 16 years (2009–2024) in two scenarios that included hydrological parameters (precipitation and evaporation) and reservoir parameters (water level, volume, and surface area). The data was divided into training and testing sets in a ratio of 70:30. The results showed that SVMD-HQNN achieved higher accuracy than the other two models with RMSE = 34.51, R2 = 0.93, NSE = 0.91, MAPE = 11.48%, and KGE = 0.89 in scenario (i) and RMSE = 25.74, R2 = 0.95, NSE = 0.94, MAPE = 8.98%, and KGE = 0.93 in scenario (ii). In the first scenario, this approach increased the prediction accuracy by 43.71%, and in the second scenario, it increased the prediction accuracy by 45.47% compared to the HQNN model. The proposed SVMD-HQNN framework is particularly effective under climate change conditions, where inflow fluctuations and instability are significant, and provides robust and generalizable predictions for reservoirs in similar environments. Full article
Show Figures

Figure 1

20 pages, 13668 KB  
Article
Assessing National Water Model Soil Moisture Performance in Puerto Rico Using In Situ and Satellite Observations
by Gerardo Trossi-Torres, Jonathan Muñoz-Barreto, Luisa I. Feliciano-Cruz and Tarendra Lakhankar
Water 2026, 18(5), 590; https://doi.org/10.3390/w18050590 - 28 Feb 2026
Viewed by 369
Abstract
Soil moisture and saturation are crucial hydrological variables for understanding the soil’s condition and modeling improvement. The National Water Model (NWM), a large-scale model, simulates the hydrologic cycle across the Contiguous United States, Hawaii, and Puerto Rico. The study’s objective was to evaluate [...] Read more.
Soil moisture and saturation are crucial hydrological variables for understanding the soil’s condition and modeling improvement. The National Water Model (NWM), a large-scale model, simulates the hydrologic cycle across the Contiguous United States, Hawaii, and Puerto Rico. The study’s objective was to evaluate the NWM’s performance in estimating and forecasting soil moisture in Puerto Rico from the year 2021 to 2023. The datasets used included in situ stations, model outputs, and remotely sensed data from the Soil Moisture Active Passive (SMAP) mission. Then, we used Volumetric bias (Vbias), Mean Absolute Error (MAE), and Kling–Gupta Efficiency (KGE) to measure performance. The analysis assimilation results showed that three stations in each dataset had an inversely predominant error equal to 25% or less. This low error was reflected in the obtained Vbias and MAE results. Meanwhile, the KGE analysis indicated that the NWM achieves low to moderate soil moisture performance, with better agreement against SMAP than in situ observations. However, the forecasted datasets did not produce satisfactory results. Short-range forecasts exhibited negative KGE values, highlighting the importance of data assimilation, the persistent influence of bias, and scale mismatch. Although the NWM’s primary focus is streamflow forecast, these findings highlight the potential application of the model beyond its primary focus. Full article
Show Figures

Figure 1

26 pages, 4291 KB  
Article
Simulation of Extreme Flood Events Based on Precipitation Fusion: A Multi-Method Fusion Framework Combining RF and BMA
by Lijun Chao, Tingting Hou, Chao Yu, Sheng Wang, Ke Zhang, Guoqing Wang and Zhijia Li
Remote Sens. 2026, 18(5), 715; https://doi.org/10.3390/rs18050715 - 27 Feb 2026
Viewed by 263
Abstract
Precipitation is a key input for hydrological modeling, and high-resolution, accurate data are essential for flood forecasting and water resource management. This study presents a Hybrid Downscaling and Multi-source Precipitation Fusion (HDMPF) framework to improve the spatial resolution and accuracy of precipitation estimates [...] Read more.
Precipitation is a key input for hydrological modeling, and high-resolution, accurate data are essential for flood forecasting and water resource management. This study presents a Hybrid Downscaling and Multi-source Precipitation Fusion (HDMPF) framework to improve the spatial resolution and accuracy of precipitation estimates and enhance simulations of extreme precipitation and hydrological responses. HDMPF combines a Radial Basis Function network and Random Forest for downscaling, and applies Bayesian Model Averaging to fuse multiple satellite precipitation products. The fused dataset was used to drive the Grid-Xin’anjiang model for extreme flood simulations. The results show that HDMPF significantly improves spatiotemporal precipitation accuracy, increasing the KGE to 0.90–0.95 and reducing the RMSE to below 0.3 mm/h. The framework accurately reproduces precipitation cores, peak intensities, flood peaks, timing, and multi-peak hydrographs, demonstrating strong potential for improving basin-scale modeling and flood early warning. Full article
Show Figures

Figure 1

21 pages, 5509 KB  
Article
Runoff Modeling in Northern Tianshan Glacial Basins Based on Multi-Source Precipitation Products
by Jing He, Haoran Zhang, Chunmei Guo, Tianyu Huang, Chubo Wang, Qixiang Zhou and Libing Song
Water 2026, 18(5), 568; https://doi.org/10.3390/w18050568 - 27 Feb 2026
Viewed by 324
Abstract
Precipitation data is a primary influencing factor in hydrological modeling. However, the sparse distribution of surface hydrological stations and the lack of available data constrain the development of watershed models and the management and allocation of water resources. This study employs statistical metrics [...] Read more.
Precipitation data is a primary influencing factor in hydrological modeling. However, the sparse distribution of surface hydrological stations and the lack of available data constrain the development of watershed models and the management and allocation of water resources. This study employs statistical metrics to evaluate discrepancies between observed precipitation data and multi-source precipitation products (CMADS, ERA5, GPM IMERG, and TRMM). It identifies highly sensitive parameters in the SWAT model established using observed hydrological data and quantitatively assesses runoff simulation performance in the Manas River Basin using the coefficient of determination and Nash index. Results indicate the following: (1) CMADS and TRMM exhibit good overall trends within a year. For multi-year monthly precipitation averages, CMADS performs best at monthly and seasonal scales (CC > 0.7), while TRMM performs best at the annual scale (CC > 0.75). (2) At spatial scales, IMERG shows the poorest performance compared to observed stations, and ERA5 exhibits anomalous points. (3) TRMM achieved the best monthly runoff simulation performance in the Manas River Basin, with an average NSE value of 0.73, average R2 of 0.80, and average KGE of 0.80. This study provides valuable scientific support for hydrological forecasting in data-scarce regions with complex topography and similar climate variability. Full article
Show Figures

Figure 1

18 pages, 6702 KB  
Article
A Global Benchmark of the Vector-Based Routing Model MizuRoute: Similarities and Divergent Patterns in Simulated River Discharge
by Shuyuan Xu, Haodong Sun, Li Tang and Xiaohui Sun
Water 2026, 18(4), 485; https://doi.org/10.3390/w18040485 - 13 Feb 2026
Viewed by 353
Abstract
Large-scale river modeling has transitioned toward vector-based routing, yet the global fidelity of standalone frameworks like mizuRoute remains poorly characterized due to fragmented observation networks and unquantified systematic biases. This study addresses this gap by establishing a comprehensive global benchmark using a harmonized [...] Read more.
Large-scale river modeling has transitioned toward vector-based routing, yet the global fidelity of standalone frameworks like mizuRoute remains poorly characterized due to fragmented observation networks and unquantified systematic biases. This study addresses this gap by establishing a comprehensive global benchmark using a harmonized database of 12,115 in situ gauging stations integrated with multi-dimensional catchment attributes. Simulations utilize the 5 km MERIT-Hydro network driven by ERA5-Land runoff from 1980 to 2024. Our results reveal a robust global median Pearson correlation of 0.53, though simulation efficiency is highly bifurcated with a median Kling–Gupta Efficiency (KGE) of 0.17. High fidelity is concentrated in humid temperate and cold regions, whereas performance collapses in arid zones (median KGE = −0.15) due to the structural omission of channel transmission losses. Attribution analysis identifies the aridity–moisture gradient and vegetation density as primary drivers of model skill, while topographic complexity is well-preserved by the vector framework. Furthermore, anthropogenic regulation significantly degrades accuracy; in basins with high reservoir density, naturalized routing fails to capture regulated flow signatures, leading to a sharp decline in efficiency. This work provides the first global appraisal of the mizuRoute framework and highlights that integrating dryland-specific loss functions and reservoir modules is essential for the next generation of global hydrological reconstructions. Full article
(This article belongs to the Section Hydrology)
Show Figures

Figure 1

35 pages, 5155 KB  
Article
Hydrological Model Calibration in Data-Scarce Mediterranean Catchments: A Comparative Assessment of Three Strategies
by Afshin Jahanshahi, Felice D. Pacia, Pasquale Perrini, Angelo Avino, Awais Naeem Sarwar, Ruodan Zhuang, Umberto Terracciano, Pasquale Coccaro, Luciana Giuzio and Salvatore Manfreda
Hydrology 2026, 13(2), 66; https://doi.org/10.3390/hydrology13020066 - 9 Feb 2026
Viewed by 874
Abstract
Hydrological calibration in data-scarce catchments is challenged by non-stationary regimes, fragmented data, and systematic measurement errors. Conventional calibration approaches often assume continuous records and rely on standard performance metrics, which can bias calibration toward high flows and exacerbate parameter equifinality—ultimately reducing robustness under [...] Read more.
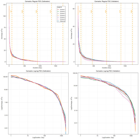
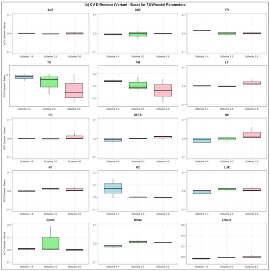
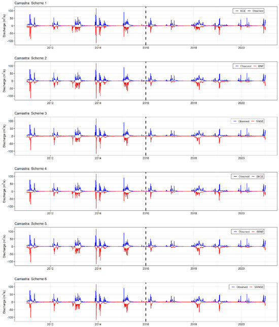
Hydrological calibration in data-scarce catchments is challenged by non-stationary regimes, fragmented data, and systematic measurement errors. Conventional calibration approaches often assume continuous records and rely on standard performance metrics, which can bias calibration toward high flows and exacerbate parameter equifinality—ultimately reducing robustness under data limitations. This study provides a systematic comparison of three calibration strategies—Kling–Gupta Efficiency (KGE), a non-parametric variant (RNP), and Flow Duration Curve (FDC)-based calibration—together with their time-consistent counterparts (SKGE, SRNP, and SRMSE). All schemes are implemented for the lumped HBV-type TUW model across nine catchments in southern Italy and evaluated using independent metrics targeting overall hydrograph agreement, high-flow behavior, and FDC quantile matching (Q5–Q95). The results reveal that the time-consistent KGE-based strategy excels during in calibration (NSE = 0.56, RMSE = 4.65 m3/s) but shows notable declines in validation (NSE = 0.40, RMSE = 3.91 m3/s), indicating sensitivity to non-stationarity. The RNP-based approach demonstrates enhanced validation robustness (NSE = 0.51, RMSE = 3.60 m3/s) and low-flow accuracy, with NSElnQ = 0.30 and low-flow accuracy, leveraging its non-parametric structure. The SRNP variant further enhances performance in validation (NSE = 0.52, RMSE = 3.42 m3/s), along with superior low-flow performance (NSElnQ = 0.48). The FDC-based strategy effectively reproduces flow distributions during calibration (NSE = 0.41, minimal PBIAS = −0.03%) but exhibits limited temporal transferability (validation NSE = 0.25, RMSE = 4.50 m3/s). Time-consistent variants reduce parameter dispersion by approximately 2–8% (relative to full-period calibration) and improve validation metrics by 5–15% across all catchments. Overall, time-consistent calibration provides a practical pathway to increase robustness under non-stationary, data-scarce Mediterranean conditions, highlighting a systematic trade-off between calibration accuracy and validation reliability. Full article
Show Figures

Graphical abstract

24 pages, 17936 KB  
Article
Remote-Sensing Estimation of Evapotranspiration for Multiple Land Cover Types Based on an Improved Canopy Conductance Model
by Jianfeng Wang, Xiaozhou Xin, Zhiqiang Ye, Shihao Zhang, Tianci Li and Shanshan Yu
Remote Sens. 2026, 18(3), 513; https://doi.org/10.3390/rs18030513 - 5 Feb 2026
Viewed by 473
Abstract
Evapotranspiration (ET) links the water cycle with the energy balance and serves as a key driving process for ecosystem functioning and water resource management. Canopy conductance (Gc) plays a central role in regulating transpiration, but many models inadequately represent its regulatory mechanisms and [...] Read more.
Evapotranspiration (ET) links the water cycle with the energy balance and serves as a key driving process for ecosystem functioning and water resource management. Canopy conductance (Gc) plays a central role in regulating transpiration, but many models inadequately represent its regulatory mechanisms and show varying applicability across different land cover types. This study develops a remote-sensing ET estimation approach suitable for large scales and diverse land cover types and proposes an improved canopy conductance model for daily latent heat flux (LE) estimation. By integrating the canopy radiation transfer concept from the K95 model into the multiplicative Jarvis framework, an improved canopy conductance model is developed that includes limiting effects from photosynthetically active radiation (PAR), vapor pressure deficit (VPD), air temperature (T), and soil moisture (θ). Eighteen combinations of limiting functions are designed to evaluate structural performance differences. Using observations from 79 global flux sites during 2015–2023 and integrating multi-source datasets, including ERA5, MODIS, and SMAP, a two-stage parameter optimization was applied to determine the optimal limiting function combination for each land cover type. And nine sites from nine different land cover types were selected for independent spatial validation. Temporal validation within the optimization sites shows that, at the daily scale, the model achieves a Kling–Gupta efficiency (KGE) of 0.82, a correlation coefficient (R) of 0.82, and a Root Mean Square Error (RMSE) of 27.83 W/m2, demonstrating strong temporal stability. Spatial validation over independent holdout sites achieved KGE = 0.84, R = 0.84, and RMSE = 22.53 W/m2. At the 8-day scale, when evaluated over the holdout sites, the model achieves KGE = 0.87, R = 0.88, and RMSE = 18.74 W/m2. Compared with the K95 and Jarvis models, KGE increases by about 34% and 15%, while RMSE decreases by about 38% and 12%, respectively. Relative to the MOD16 and PML-V2 products, KGE increases by about 32% and 16%, while RMSE decreases by about 33% and 17%, respectively. Comprehensive comparisons show that explicitly coupling canopy structure with multiple environmental constraints within the Jarvis framework, together with structure optimization across land cover types, can markedly improve large-scale remote-sensing ET retrieval accuracy while maintaining physical consistency and physiological rationality. This provides an effective pathway and parameterization scheme for producing ET products applicable across ecosystems. Full article
Show Figures

Figure 1

35 pages, 7867 KB  
Article
Inter-Comparison of Deep Learning Models for Flood Forecasting in Ethiopia’s Upper Awash Basin
by Girma Moges Mengistu, Addisu G. Semie, Gulilat T. Diro, Natei Ermias Benti, Emiola O. Gbobaniyi and Yonas Mersha
Water 2026, 18(3), 397; https://doi.org/10.3390/w18030397 - 3 Feb 2026
Viewed by 1590
Abstract
Flood events driven by climate variability and change pose significant risks for socio-economic activities in the Awash Basin, necessitating advanced forecasting tools. This study benchmarks five deep learning (DL) architectures, Convolutional Neural Network (CNN), Long Short-Term Memory (LSTM), Gated Recurrent Unit (GRU), Bidirectional [...] Read more.
Flood events driven by climate variability and change pose significant risks for socio-economic activities in the Awash Basin, necessitating advanced forecasting tools. This study benchmarks five deep learning (DL) architectures, Convolutional Neural Network (CNN), Long Short-Term Memory (LSTM), Gated Recurrent Unit (GRU), Bidirectional LSTM (BiLSTM), and a Hybrid CNN–LSTM, for daily discharge forecasting for the Hombole catchment in the Upper Awash Basin (UAB) using 40 years of hydrometeorological observations (1981–2020). Rainfall, lagged discharge, and seasonal indicators were used as predictors. Model performance was evaluated against two baseline approaches, a conceptual HBV rainfall–runoff model as well as a climatology, using standard and hydrological metrics. Of the two baselines (climatology and HBV), the climatology showed limited skill with large bias and negative NSE, whereas the HBV model achieved moderate skill (NSE = 0.64 and KGE = 0.82). In contrast, all DL models substantially improved predictive performance, achieving test NSE values above 0.83 and low overall bias. Among them, the Hybrid CNN–LSTM provided the most balanced performance, combining local temporal feature extraction with long-term memory and yielding stable efficiency (NSE ≈ 0.84, KGE ≈ 0.90, and PBIAS ≈ −2%) across flow regimes. The LSTM and GRU models performed comparably, offering strong temporal learning and robust daily predictions, while BiLSTM improved flood timing through bidirectional sequence modeling. The CNN captured short-term variability effectively but showed weaker representation of extreme peaks. Analysis of peak-flow metrics revealed systematic underestimation of extreme discharge magnitudes across all models. However, a post-processing flow-regime classification based on discharge quantiles demonstrated high extreme-event detection skill, with deep learning models exceeding 89% accuracy in identifying extreme-flow occurrences on the test set. These findings indicate that, while magnitude errors remain for rare floods, DL models reliably discriminate flood regimes relevant for early warning. Overall, the results show that deep learning models provide clear improvements over climatology and conceptual baselines for daily streamflow forecasting in the UAB, while highlighting remaining challenges in peak-flow magnitude prediction. The study indicates promising results for the integration of deep learning methods into flood early-warning workflows; however, these results could be further improved by adopting a probabilistic forecasting framework that accounts for model uncertainty. Full article
(This article belongs to the Section Hydrology)
Show Figures

Figure 1

23 pages, 16558 KB  
Article
Hydrological Impacts of LULC Change in High-Andean Basins: An Integrated SWAT–MOLUSCE Modeling Approach
by Abner S. Rivera-Fernandez, Jhon A. Zabaleta-Santisteban, Angel J. Medina-Medina, Katerin M. Tuesta-Trauco, Teodoro B. Silva-Melendez, Marlen A. Grandez-Alberca, Rolando Salas Lopez, Manuel Oliva-Cruz, Cecibel Portocarrero, Nilton B. Rojas-Briceño, Elgar Barboza and Jhonsy O. Silva-López
Water 2026, 18(3), 365; https://doi.org/10.3390/w18030365 - 31 Jan 2026
Viewed by 1142
Abstract
Watershed planning in the Andean–Amazonian headwaters requires an understanding of how land use/land cover (LULC) affects hydrological regimes. This study integrates MOLUSCE-based LULC simulations (2020–2050) with the SWAT model to quantify the effects of deforestation, agricultural expansion, and pine forestation in the Leimebamba [...] Read more.
Watershed planning in the Andean–Amazonian headwaters requires an understanding of how land use/land cover (LULC) affects hydrological regimes. This study integrates MOLUSCE-based LULC simulations (2020–2050) with the SWAT model to quantify the effects of deforestation, agricultural expansion, and pine forestation in the Leimebamba and Molinopampa basins (northeastern Peru). Model performance was robust despite limited hydro-meteorological data (KGE = 0.74–0.79; PBIAS = 7.2–4.2%). By 2050, projections indicate faster runoff generation, with decreases in percolation (12–13%) and lateral flow (1.8–3.2%), surface runoff increases (≈13%; up to +36% under agricultural expansion), and groundwater contribution declines (up to 28%). These shifts intensify low-flow deficits (−39 to −45%) and slightly increase wet-season peaks (>5%). Pine forestation shows modest and mixed hydrological effects. Identifying sensitive sub-basins provides key information for watershed management. In general, combining LULC scenarios with hydrological modeling allows us to have a technical–scientific tool to plan the territory with an emphasis on water security, prioritizing the conservation of native forests at the headwaters of the basin and ensuring the hydrological resilience of the high Andean regions. Full article
(This article belongs to the Special Issue Applications of GIS and Remote Sensing in Hydrology and Hydrogeology)
Show Figures

Graphical abstract

23 pages, 5082 KB  
Article
Applicability of the Lumped GR4J Model for Modeling the Hydrology of the Inland Valleys of the Sudanian Zones of Benin
by Akominon M. Tidjani, Quentin F. Togbévi, Pierre G. Tovihoudji, P. B. Irénikatché Akponikpè and Marnik Vanclooster
Water 2026, 18(3), 340; https://doi.org/10.3390/w18030340 - 29 Jan 2026
Viewed by 503
Abstract
Achieving sustainable agricultural intensification in inland valleys while limiting the adverse environmental impacts and uncertainties related to water availability requires an analysis of the long-term hydrological behavior of the catchment. Such a task is particularly challenging in West Africa and Benin due to [...] Read more.
Achieving sustainable agricultural intensification in inland valleys while limiting the adverse environmental impacts and uncertainties related to water availability requires an analysis of the long-term hydrological behavior of the catchment. Such a task is particularly challenging in West Africa and Benin due to the limited availability of climate and hydrological data. This study evaluates the applicability of the lumped GR4J model for simulating streamflow in three inland valleys of the Sudanian zone of Benin (Lower-Sowé, Bahounkpo and Nalohou). Additionally, we test the reliability of satellite-based rainfall data (GPM-IMERG, CHIRPS or GSMAP) in modeling hydrological dynamics in these small catchments. The results demonstrate that the GR4J model is effective in simulating daily discharge in the three inland valleys (KGE > 0.5 during both calibration and validation periods), with particularly interesting performance in mean-flow conditions. The modeling using GPM-IMERG and GSMAP rainfall data shows mitigated results with acceptable performance at Nalohou and less accurate results at Bahounkpo and Lower-Sowé. CHIRPS emerged as the most consistent among the evaluated products, providing a sound basis for reconstructing general trends and seasonal variations in historical streamflow time series. The approach of combining historical CHIRPS data and the GR4J model provides insights and can support decision-making related to water resource management in terms of resource capacity and volume in the study area. Except for Nalohou (KGE = 0.19 with GPM-IMERG data), we observe limitations in predicting high flows with satellite-based climatic data at Bahounkpo (KGE = 0.02 with GPM-IR) and Lower-Sowé (KGE = −0.01 with CHIRPS), where the near-zero KGE scores indicate marginal improvement over a mean-flow benchmark. Future work should explore how hybrid or flexible modeling approaches can improve the accuracy of runoff simulations in inland valleys, particularly for extreme (low- and high-) flow conditions. Additionally, the analysis of the trends of indicators of hydrological alteration (IHA) must be deepened in these important ecosystems, especially under climate and land-use change scenarios. Full article
(This article belongs to the Special Issue Advances in Ecohydrology in Arid Inland River Basins, 2nd Edition)
Show Figures

Figure 1

Back to TopTop