Sign in to use this feature.

Years

Between: -

Subjects

remove_circle_outline
remove_circle_outline
remove_circle_outline
remove_circle_outline
remove_circle_outline
remove_circle_outline
remove_circle_outline

Journals

Article Types

Countries / Regions

remove_circle_outline
remove_circle_outline
remove_circle_outline

Search Results (305)

Search Parameters:
Keywords = Janus kinase/signal transducer and activator of transcription (JAK/STAT)

Order results
Result details
Results per page
Select all
Export citation of selected articles as:
13 pages, 2663 KB  
Article
Heritability and Transcriptional Impact of JAK3, STAT5A and STAT6 Variants in a Tyrolean Family
by Hye Kyung Lee, Teemu Haikarainen, Yasemin Caf, Priscilla A. Furth, Ludwig Knabl, Olli Silvennoinen and Lothar Hennighausen
Int. J. Mol. Sci. 2026, 27(2), 913; https://doi.org/10.3390/ijms27020913 - 16 Jan 2026
Viewed by 81
Abstract
The Janus Kinase (JAK) and Signal Transducers and Activators of Transcription (STAT) pathways regulate a range of biological processes, including immune response and hematopoiesis. While a major research focus has been on somatic human mutations in disease, less is known about the heritability [...] Read more.
The Janus Kinase (JAK) and Signal Transducers and Activators of Transcription (STAT) pathways regulate a range of biological processes, including immune response and hematopoiesis. While a major research focus has been on somatic human mutations in disease, less is known about the heritability of germline variants and their physiological impact. This study addresses an important issue in population genetics: the context-dependent effects and incomplete penetrance of rare genetic variants in immune pathways. Here we identify the rare JAK3P151R, JAK3R925S, STAT5AV494L, and STAT6Q633H variants in an extended family spanning three generations, integrate in silico analyses and AlphaFold 3 structural predictions, and investigate the immune transcriptomes in probands carrying one or more variants. All four variants are inherited through the germline without any evident clinical or physiological manifestations in the carriers. As individual variants, not all persons carrying a specific variant showed the same immune transcriptome. The presence of activated basal transcriptomes was limited to some, but not all, individuals carrying the above variants. A next step in understanding the role of germline variants will be to understand how and why other factors, including both other germline variants and environmental and developmental factors, influence the likelihood of expression of an activated basal transcriptome. Full article
(This article belongs to the Section Molecular Genetics and Genomics)
Show Figures

Figure 1

23 pages, 1234 KB  
Review
Prostate Cancer, JAK/STAT3 Dysregulation, and Flavonoids: Is There a Possible Link?
by Valentina Uivarosi, Daniela Miricescu, Ileana Adela Vacaroiu, Dan Arsenie Spinu, Constantin Stefani, Silviu Stanciu, Remus Iulian Nica, Iulia-Ioana Stanescu-Spinu, Silviu Constantin Badoiu, Silvia Nica and Viorel Jinga
Int. J. Mol. Sci. 2026, 27(2), 885; https://doi.org/10.3390/ijms27020885 - 15 Jan 2026
Viewed by 193
Abstract
Worldwide, prostate cancer (PC) has a rising incidence and is the sixth leading cause of death globally, especially with increasing cases in developing countries. Risk factors for PC include genetic predisposition, family history, race/ethnicity, and various occupational factors like diet, obesity, smoking, and [...] Read more.
Worldwide, prostate cancer (PC) has a rising incidence and is the sixth leading cause of death globally, especially with increasing cases in developing countries. Risk factors for PC include genetic predisposition, family history, race/ethnicity, and various occupational factors like diet, obesity, smoking, and transmitted diseases. The Janus kinase (JAK)-signal transducer and activator of transcription (STAT) pathway can be activated by hormones, cytokines, and growth factors, and it plays a role in many vital biological processes such as cell growth, differentiation, immune regulation, and apoptosis. Dysregulation of JAK/STAT3 can lead to cancer, inflammation, diabetes, and neurodegenerative disorders. In cancers, including PC, STAT3 promotes cell survival, progression, angiogenesis, and metastasis. Inhibitors targeting JAK and STAT3 tested in vivo have shown potential to inhibit malignant cell growth. Additionally, flavonoids are bioactive plant compounds that are important in preventing inflammation, oxidative stress, and cancer. Research indicates that natural flavonoids can be developed into cancer-preventive and therapeutic agents. Experimental studies have demonstrated that some flavonoids can inhibit PC development. The main goal of this review is to present the incidence and risk factors of PC, the JAK/STAT3 pathway and its inhibitors, and how flavonoids may influence this pathology. Full article
Show Figures

Figure 1

23 pages, 3000 KB  
Article
Intracellular Oxidant Levels Are Crucial for Cell Survival and JAK/STAT Signaling in Classical Hodgkin’s Lymphoma
by Julia Wildfeuer, Rashmi P. Dheenadayalan, Svenja Hartung, Malena Zahn, Timo P. Albrecht, Zhouli Cao, Alexey Ushmorov, Peter Möller, Nadine T. Gaisa and Ralf Marienfeld
Antioxidants 2026, 15(1), 90; https://doi.org/10.3390/antiox15010090 - 9 Jan 2026
Viewed by 334
Abstract
Although oxidants are known to be deleterious for cellular homeostasis by oxidizing macromolecules like DNA or proteins, they are also involved in signaling processes essential for cellular proliferation and survival. Here, we investigated the role of superoxide anion (O2) and [...] Read more.
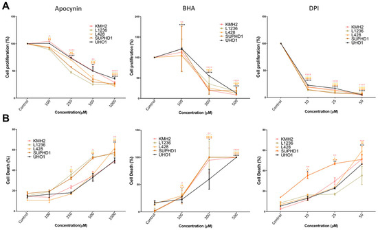
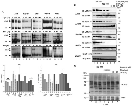
Although oxidants are known to be deleterious for cellular homeostasis by oxidizing macromolecules like DNA or proteins, they are also involved in signaling processes essential for cellular proliferation and survival. Here, we investigated the role of superoxide anion (O2) and hydrogen peroxide (H2O2) homeostasis for the proliferation and survival of classical Hodgkin’s lymphoma (cHL) cell lines. Inhibition of NADPH oxidases (NOX) using apocynin (Apo) and diphenylene iodonium (DPI), or treatment with the antioxidant butylated hydroxyanisole (BHA), significantly reduced proliferation and induced apoptosis in HL cell lines. These effects correlated with transcriptomic alterations involving redox regulation, immune signaling, and cell cycle control. Interestingly, treatment with DPI or antioxidants attenuated constitutive Signal Transducer and Activator of Transcription (STAT) activity, as seen by decreased phospho-STAT6 levels and reduced STAT6 DNA binding. This suggests a sensitivity of the Janus kinase (JAK)/STAT pathway in cHL cell lines to O2 and H2O2 depletion. Functional assays confirmed this by demonstrating partial restoration of proliferation or apoptosis in L428 cells that expressed constitutively active STAT6 or were transfected with small interfering RNAs (siRNAs) that targeted STAT regulators. These findings highlight that oxidants, particularly H2O2, act as both general oxidative stressors and essential modulators of oncogenic signaling pathways. Specifically, maintenance of oxidant homeostasis is critical for sustaining JAK/STAT-mediated growth and survival programs in cHL cells. Targeting redox homeostasis might offer a promising therapeutic strategy to impair JAK/STAT-driven proliferation and survival in cHL. Full article
(This article belongs to the Section Health Outcomes of Antioxidants and Oxidative Stress)
Show Figures

Figure 1

18 pages, 3064 KB  
Article
Inhibition of Tumor Microenvironment-Driven JAK-STAT Signaling Enhances Response to Arginine Deprivation Therapy in Triple-Negative Breast Cancer
by Hila Tishler, Shahar Ziman, Kuoyuan Cheng, Kun Wang, Neel Sanghvi, Lital Adler, Gil Stelzer, Hillary Maniriho, Bareket Dassa, Elizabeta Bab-Dinitz, Michal Levi, Sivan Galai, Omer Goldman, Yarden Ariav, Naama Darzi, Saar Ezagouri, Nitsan Nimni, Nataly Rosenfeld, Ron Rotkopf, Alexander Brandis, Tevie Mehlman, Roni Oren, Mirie Zerbib, Yuri Kuznetsov, Sara Donzelli, Giovanni Blandino, Rony Seger, Eytan Ruppin and Ayelet Erezadd Show full author list remove Hide full author list
Cells 2026, 15(1), 25; https://doi.org/10.3390/cells15010025 - 23 Dec 2025
Viewed by 607
Abstract
Argininosuccinate synthetase 1 (ASS1) expression and arginine availability are key metabolic determinants that influence tumor fitness and regulate immune interactions within the tumor microenvironment (TME). Using an orthotopic triple-negative breast cancer (TNBC) model, we demonstrate that arginine deprivation heightens tumor dependence on the [...] Read more.
Argininosuccinate synthetase 1 (ASS1) expression and arginine availability are key metabolic determinants that influence tumor fitness and regulate immune interactions within the tumor microenvironment (TME). Using an orthotopic triple-negative breast cancer (TNBC) model, we demonstrate that arginine deprivation heightens tumor dependence on the TME for survival. Mechanistically, fibroblasts sustain tumor viability by supplying arginine, whereas macrophages cooperate with stromal cues to activate Janus kinase-signal transducer and activator of transcription (JAK-STAT) signaling, thereby enhancing tumor survival. Concordantly, a JAK-STAT gene-expression signature correlates with ASS1 levels in human TNBC datasets. Translationally, combined pharmacological inhibition of JAK signaling with arginine deprivation markedly suppresses tumor growth. Together, these findings reveal a TME-driven, targetable stromal–immune circuit that enables tumors to withstand arginine deficiency-induced metabolic stress. Broadly, our work highlights that mapping and strategically inducing metabolic dependencies can reveal actionable compensatory pathways, offering opportunities to improve cancer therapy. Full article
(This article belongs to the Special Issue Decoding Cancer Metabolism: Recent Insights and Future Directions)
Show Figures

Graphical abstract

29 pages, 3722 KB  
Review
Glial Cells in the Early Stages of Neurodegeneration: Pathogenesis and Therapeutic Targets
by Eugenia Ahremenko, Alexander Andreev, Danila Apushkin and Eduard Korkotian
Int. J. Mol. Sci. 2025, 26(24), 11995; https://doi.org/10.3390/ijms262411995 - 12 Dec 2025
Viewed by 1122
Abstract
Astrocytes and microglia constitute nearly half of all central nervous system cells and are indispensable for its proper function. Both exhibit striking morphological and functional heterogeneity, adopting either neuroprotective (A2, M2) or proinflammatory (A1, M1) phenotypes in response to cytokines, pathogen-associated molecular patterns [...] Read more.
Astrocytes and microglia constitute nearly half of all central nervous system cells and are indispensable for its proper function. Both exhibit striking morphological and functional heterogeneity, adopting either neuroprotective (A2, M2) or proinflammatory (A1, M1) phenotypes in response to cytokines, pathogen-associated molecular patterns (PAMPs)/damage-associated molecular patterns (DAMPs), toll-like receptor 4 (TLR4) activation, and NOD-like receptor family pyrin domain containing 3 (NLRP3) inflammasome signaling. Crucially, many of these phenotypic transitions arise during the earliest stages of neurodegeneration, when glial dysfunction precedes overt neuronal loss and may act as a primary driver of disease onset. This review critically examines glial-centered hypotheses of neurodegeneration, with emphasis on their roles in early disease phases: (i) microglial polarization from an M2 neuroprotective state to an M1 proinflammatory state; (ii) NLRP3 inflammasome assembly via P2X purinergic receptor 7 (P2X7R)-mediated K+ efflux; (iii) a self-amplifying astrocyte–microglia–neuron inflammatory feedback loop; (iv) impaired microglial phagocytosis and extracellular-vesicle–mediated propagation of β-amyloid (Aβ) and tau; (v) astrocytic scar formation driven by aquaporin-4 (AQP4), matrix metalloproteinase-9 (MMP-9), glial fibrillary acidic protein (GFAP)/vimentin, connexins, and janus kinase/signal transducer and activator of transcription 3 (JAK/STAT3) signaling; (vi) cellular reprogramming of astrocytes and NG2 glia into functional neurons; and (vii) mitochondrial dysfunction in glia, including Dynamin-related protein 1/Mitochondrial fission protein 1 (Drp1/Fis1) fission imbalance and dysregulation of the sirtuin 1/peroxisome proliferator-activated receptor gamma coactivator 1-alpha (Sirt1/PGC-1α) axis. Promising therapeutic strategies target pattern-recognition receptors (TLR4, NLRP3/caspase-1), cytokine modulators (interleukin-4 (IL-4), interleukin-10 (IL-10)), signaling cascades (JAK2–STAT, nuclear factor kappa-light-chain-enhancer of activated B cells (NF-κB), phosphoinositide 3-kinase–protein kinase B (PI3K–AKT), adenosine monophosphate-activated protein kinase (AMPK)), microglial receptors (triggering receptor expressed on myeloid cells 2 (TREM2)/spleen tyrosine kinase (SYK)/ DNAX-activating protein 10 (DAP10), siglec-3 (CD33), chemokine C-X3-C motif ligand 1/ CX3C motif chemokine receptor 1 (CX3CL1/CX3CR1), Cluster of Differentiation 200/ Cluster of Differentiation 200 receptor 1 (CD200/CD200R), P2X7R), and mitochondrial biogenesis pathways, with a focus on normalizing glial phenotypes rather than simply suppressing pathology. Interventions that restore neuroglial homeostasis at the earliest stages of disease may hold the greatest potential to delay or prevent progression. Given the complexity of glial phenotypes and molecular isoform diversity, a comprehensive, multitargeted approach is essential for mitigating Alzheimer’s disease and related neurodegenerative disorders. This review not only synthesizes pathogenesis but also highlights therapeutic opportunities, offering what we believe to be the first concise overview of the principal hypotheses implicating glial cells in neurodegeneration. Rather than focusing on isolated mechanisms, our goal is a holistic perspective—integrating diverse glial processes to enable comparison across interconnected pathological conditions. Full article
(This article belongs to the Special Issue Early Molecular Markers of Neurodegeneration)
Show Figures

Graphical abstract

23 pages, 2060 KB  
Review
Targeting the JAK/STAT Signaling Pathway in Breast Cancer: Leaps and Hurdles
by Simon Aho, Clio Coste, Luiza Purcari, Olivier Trédan, Coralie Poulard, Benoite Mery, François-Michel Boisvert and Muriel Le Romancer
Biomedicines 2025, 13(12), 3061; https://doi.org/10.3390/biomedicines13123061 - 12 Dec 2025
Cited by 1 | Viewed by 778
Abstract
The JAK/STAT (Janus kinase/signal transducer and activator of transcription) signaling pathway transfers signals at the surface of cell membranes to the nucleus, triggering the expression of a myriad of factors implicated in immunity, cell proliferation, and apoptosis. Owing to this central role in [...] Read more.
The JAK/STAT (Janus kinase/signal transducer and activator of transcription) signaling pathway transfers signals at the surface of cell membranes to the nucleus, triggering the expression of a myriad of factors implicated in immunity, cell proliferation, and apoptosis. Owing to this central role in cell homeostasis, its dysregulation is extensively reported in tumorigenesis, particularly in hematological cancers, justifying the development of specific inhibitors. It has more recently also been implicated in the development of solid cancers, including breast cancer. However, so far, clinical trials testing drugs targeting actors of JAK/STAT signaling yielded disappointing results, advocating in favor of a better understanding of this pathway in breast cancer. Herein, we exhaustively reviewed the current tools available to target this pathway in clinical trials and we offer several perspectives to gain further insight into the role of JAK2 in breast cancer and more particularly in the resistance to endocrine therapy in hormone-dependent breast cancers. Full article
(This article belongs to the Special Issue Breast Cancer Research: Charting Future Directions)
Show Figures

Figure 1

18 pages, 5065 KB  
Article
Effects of Cinnamon Essential Oil on Intestinal Flora Regulation of Ulcerative Colitis Mice Colonized by Candida albicans
by Yuan Gao, Silin Liu, Jinhe Wang, Yan Xu, Yuyang Guo, Zesen Fang, Fuling Wang, Jianghan Luo and Lijun Yan
Microorganisms 2025, 13(12), 2724; https://doi.org/10.3390/microorganisms13122724 - 28 Nov 2025
Viewed by 553
Abstract
Cinnamon essential oil (CEO), a safe, medicinal, and edible Traditional Chinese Medicine (TCM) component, was investigated for its anti-Candida albicans property and ability to relieve intestinal inflammation. The anti-Candida albicans ability of CEO was evaluated by Minimum Inhibitory Concentration (MIC), 2,3-Bis-(2-Methoxy-4-nitro-5-sulfophenyl)-2H-tetrazolium-5-carboxanilide [...] Read more.
Cinnamon essential oil (CEO), a safe, medicinal, and edible Traditional Chinese Medicine (TCM) component, was investigated for its anti-Candida albicans property and ability to relieve intestinal inflammation. The anti-Candida albicans ability of CEO was evaluated by Minimum Inhibitory Concentration (MIC), 2,3-Bis-(2-Methoxy-4-nitro-5-sulfophenyl)-2H-tetrazolium-5-carboxanilide (XTT), and Scanning Electron Microscope (SEM) methods. By constructing ulcerative colitis (UC) mice intestinally colonized by C. albicans, the CEO effects on the regulation of flora, the relief of intestinal inflammation, and possible related signal pathway were discussed. The results showed that CEO has a significant effect on inhibiting C. albicans, where the MIC80 value was 265 μg/mL, and the Sessile Minimum Inhibitory Concentration (SMIC)80 value was 530 μg/mL. SEM showed the CEO could inhibit C. albicans mycelium growth and biofilm formation. CEO can regulate the flora disturbance, reduce inflammatory factors level, and play a protective role in intestinal mucosal damage. Network pharmacology predicts CEO may be associated with Janus Kinase-Signal Transducer and Activator of Transcription (JAK-STAT) pathway. It was proved that CEO had an inhibitory effect on the JAK-STAT pathway by qPCR determination. These findings suggest CEO may have therapeutic potential for C. albicans–associated UC. Full article
(This article belongs to the Section Gut Microbiota)
Show Figures

Figure 1

16 pages, 11473 KB  
Article
Integrated Transcriptomics and Network Pharmacology Reveal the Mechanism of Poplar-Type Propolis on the Mouse Mastitis Model
by Meifei Zhu, Ruike Wei, Bin Yuan, Shanshan Li and Fuliang Hu
Nutrients 2025, 17(23), 3683; https://doi.org/10.3390/nu17233683 - 25 Nov 2025
Cited by 1 | Viewed by 566
Abstract
Background/Objectives: Mastitis adversely affects human lactation, and there is a need for effective natural therapeutic agents. Poplar-type propolis is known for its anti-inflammatory properties, but its protective effects and mechanisms against mastitis remain unclear. This study aimed to investigate the therapeutic potential and [...] Read more.
Background/Objectives: Mastitis adversely affects human lactation, and there is a need for effective natural therapeutic agents. Poplar-type propolis is known for its anti-inflammatory properties, but its protective effects and mechanisms against mastitis remain unclear. This study aimed to investigate the therapeutic potential and underlying mechanisms of ethanol extract of Chinese propolis (EECP) against lipopolysaccharide (LPS)-induced mastitis. Methods: An integrated approach combining network pharmacology and transcriptomics was employed. In vivo validation was conducted using an LPS-induced mouse mastitis model in female BALB/c mice. Molecular docking was used to confirm interactions between key EECP components and core targets. Results: Network pharmacology identified 36 potential targets, primarily involved in inflammatory and immune pathways such as tumor necrosis factor (TNF), nuclear factor kappa B (NF-κB), janus kinase-signal transducers and activators of transcription (JAK-STAT), phosphatidylinositol 3-kinase/protein kinase B (PI3K-AKT), and interleukin (IL)-17 pathways. In vivo experiments demonstrated that EECP significantly alleviated LPS-induced histopathological damage, reduced neutrophil infiltration, and decreased the expression of proinflammatory cytokines (TNFα, IL1β, and IL6). Furthermore, EECP restored the expression and distribution of tight junction proteins (ZO-1 and occludin), thereby preserving blood–milk barrier integrity. Transcriptomic analysis confirmed that EECP reversed LPS-induced gene expression changes and downregulated key inflammation-related pathways, including TNF, NF-κB, JAK-STAT, and IL-17. Integrated analysis identified TNF, IL6, IL1B, interferon gamma (IFNG), STAT3, and CXCL8 as core targets. Molecular docking confirmed strong binding interactions between characteristic propolis polyphenols (e.g., chrysin, CAPE, and galangin) and these core targets. Conclusions: EECP exerts protective effects against LPS-induced mastitis through the synergistic actions of multiple components. This study lays the preclinical foundation for considering poplar-type propolis as a candidate for the prevention or alleviation of mastitis, meriting further evaluation. Full article
(This article belongs to the Special Issue Modern Trends in Nutrition of Animal Products)
Show Figures

Figure 1

43 pages, 1639 KB  
Review
The Type I Interferon Axis in Systemic Autoimmune Diseases: From Molecular Pathways to Targeted Therapy
by Ryuhei Ishihara, Ryu Watanabe, Mayu Shiomi, Yuya Fujita, Masao Katsushima, Kazuo Fukumoto, Shinsuke Yamada and Motomu Hashimoto
Biomolecules 2025, 15(11), 1586; https://doi.org/10.3390/biom15111586 - 12 Nov 2025
Cited by 1 | Viewed by 3358
Abstract
Type I interferons (IFN-I) are pivotal effectors of innate immunity and constitute a central axis of host defense against pathogens. Sensing of exogenous or endogenous nucleic acids by pattern-recognition receptors—exemplified by Toll-like receptors—triggers transcriptional induction of IFN-I. Engagement of the heterodimeric IFN-I receptor [...] Read more.
Type I interferons (IFN-I) are pivotal effectors of innate immunity and constitute a central axis of host defense against pathogens. Sensing of exogenous or endogenous nucleic acids by pattern-recognition receptors—exemplified by Toll-like receptors—triggers transcriptional induction of IFN-I. Engagement of the heterodimeric IFN-I receptor on nucleated cells reprograms cellular states via canonical Janus kinase–signal transducer and activator of transcription (JAK–STAT) signaling as well as STAT-independent, noncanonical pathways. This axis is tempered by multilayered regulatory mechanisms, including epigenetic remodeling, and important aspects remain incompletely defined. Dysregulation of IFN-I activity underlies diverse autoimmune disorders, notably systemic lupus erythematosus, wherein IFN-responsive gene signatures stratify disease endotypes, reflect disease activity trajectories, and predict therapeutic responsiveness. In recent years, therapeutic strategies targeting this pathway are now available: anti-IFN-I receptor therapy for systemic lupus erythematosus (SLE) and JAK inhibition for rheumatoid arthritis (RA) and giant cell arteritis (GCA). Altogether, a refined understanding of the IFN-I axis furnishes a pragmatic framework for patient stratification, response prediction, and mechanism-informed therapy design across immune-mediated diseases. Full article
(This article belongs to the Section Biological Factors)
Show Figures

Figure 1

17 pages, 8704 KB  
Article
Thymol Mitigates Oxidative Stress-Induced Ovarian Aging and Restores Steroidogenesis via the JAK1–STAT3 Pathway
by Junjie Deng, Chen Luo, Chen Xie and Heng Duan
Curr. Issues Mol. Biol. 2025, 47(11), 910; https://doi.org/10.3390/cimb47110910 - 2 Nov 2025
Viewed by 2744
Abstract
Premature ovarian failure (POF) is characterized by oxidative stress, cellular senescence, and impaired steroidogenesis, yet current therapies remain limited in effectiveness. Thymol, a natural monoterpene, exhibits antioxidant and anti-inflammatory properties. Network pharmacology and molecular docking identified multiple potential targets, notably the Janus kinase [...] Read more.
Premature ovarian failure (POF) is characterized by oxidative stress, cellular senescence, and impaired steroidogenesis, yet current therapies remain limited in effectiveness. Thymol, a natural monoterpene, exhibits antioxidant and anti-inflammatory properties. Network pharmacology and molecular docking identified multiple potential targets, notably the Janus kinase 1 (JAK1)-signal transducer and activator of transcription 3 (STAT3) pathway. In tert-butyl hydroperoxide (t-BHP)-induced human granulosa-like tumor cells (n = 3), 40 μg/mL thymol increased cell viability by approximately 45%, restored superoxide dismutase, catalase, and glutathione peroxidase activities to nearly twice those of the model group, and reduced reactive oxygen species accumulation by about 35% (p < 0.05). It also decreased senescence markers p53, p21, and p16 by 40–60% and inhibited JAK1–STAT3 phosphorylation (n = 3, p < 0.05). In aged pregnant mice (n = 4 per group), thymol increased viable fetus numbers by about 40%, elevated serum estradiol and progesterone levels to 1.6–1.8-fold of aged controls, and downregulated ovarian aging markers (p < 0.05). Collectively, these findings indicate that thymol mitigates oxidative stress-induced ovarian aging by modulating JAK1–STAT3 signaling and restoring steroidogenic function, supporting its potential as a natural candidate for delaying ovarian senescence. Full article
(This article belongs to the Section Biochemistry, Molecular and Cellular Biology)
Show Figures

Graphical abstract

19 pages, 6283 KB  
Article
Scorpion Venom Heat-Resistant Synthetic Peptide Alleviates DSS-Induced Colitis via α7nAChR-Mediated Modulation of the JAK2/STAT3 Pathway
by Kang Cheng, Guangbo He, Xiaxia Li, Yuqian Li, Xiaolin Cui, Xuefei Wu, Jau-Shyong Hong, Jie Zhao, Sheng Li and Yanjie Guo
Antioxidants 2025, 14(11), 1296; https://doi.org/10.3390/antiox14111296 - 28 Oct 2025
Viewed by 821
Abstract
Background: Inflammatory bowel disease (IBD) is a chronic relapsing inflammatory disorder with limited treatment options. Emerging evidence reveals bidirectional crosstalk between gut and brain through inflammatory signaling, leading us to hypothesize that anti-neuroinflammatory agents may concurrently ameliorate intestinal inflammation. The scorpion venom-derived heat-resistant [...] Read more.
Background: Inflammatory bowel disease (IBD) is a chronic relapsing inflammatory disorder with limited treatment options. Emerging evidence reveals bidirectional crosstalk between gut and brain through inflammatory signaling, leading us to hypothesize that anti-neuroinflammatory agents may concurrently ameliorate intestinal inflammation. The scorpion venom-derived heat-resistant synthetic peptide (SVHRSP), a bioactive peptide initially identified in scorpion venom and subsequently synthesized by our laboratory, possesses neuroprotective, anti-inflammatory, and antioxidative activities. Its properties make SVHRSP a promising candidate for investigating the therapeutic potential of anti-neuroinflammatory strategies in mitigating intestinal inflammation. Methods: Using a chronic dextran sodium sulfate (DSS)-induced colitis model in wild-type and α7 nicotinic acetylcholine receptor (α7nAChR) knockout mice, along with lipopolysaccharide (LPS)-stimulated RAW264.7 macrophages, we assessed SVHRSP’s effects on inflammation, histopathology, gut permeability, oxidative stress markers, and α7nAChR-Janus kinase 2 (JAK2)/signal transducer and activator of transcription 3 (STAT3) signaling. Results: SVHRSP treatment significantly ameliorated colitis symptoms in wild-type mice by reducing inflammation, repairing histological damage, restoring gut barrier function, and attenuating oxidative stress, with these effects abolished in α7nAChR knockout mice. Mechanistically, SVHRSP activated JAK2/STAT3 signaling through α7nAChR engagement, suppressing proinflammatory cytokine production in macrophages. Conclusion: These results demonstrated that SVHRSP alleviated intestinal inflammation via α7nAChR-dependent JAK2/STAT3 activation. Combined with its known neuroprotective properties, our findings support the repurposing of this neuroactive peptide, SVHRSP, for treating intestinal inflammatory disorders. Full article
(This article belongs to the Section Health Outcomes of Antioxidants and Oxidative Stress)
Show Figures

Figure 1

17 pages, 4026 KB  
Article
Integrated Whole-Transcriptome Analysis to Elucidate the Core Regulatory Network of circRNA Involved in Ovarian Development and Reproductive Capacity Differences in Sheep: circRNA2058-miR-9226-5p-MET Axis
by Bo Gu, Anqi Wang, Xinmiao Yu, Ying Li, Yao Cong and Huaizhi Jiang
Animals 2025, 15(21), 3077; https://doi.org/10.3390/ani15213077 - 23 Oct 2025
Viewed by 499
Abstract
(1) Background: This study aims to systematically identify key candidate genes and the regulatory networks governing ovarian development in sheep breeds with divergent fecundity. Focusing on elucidating the central regulatory roles of these factors during distinct ovarian developmental stages in highly prolific breeds, [...] Read more.
(1) Background: This study aims to systematically identify key candidate genes and the regulatory networks governing ovarian development in sheep breeds with divergent fecundity. Focusing on elucidating the central regulatory roles of these factors during distinct ovarian developmental stages in highly prolific breeds, the research seeks to reveal the mechanism by which multilevel regulatory networks synergistically determine ewe reproductive capacity. (2) Methods: This study utilized the ovaries from the low-fecundity sheep breed Ujumqin sheep, the high-fecundity breed small-tailed Han sheep, and various developmental stages of small-tailed Han sheep as research subjects. Through whole-transcriptome sequencing analysis, differentially expressed mRNAs(DEGs) and non-coding RNAs (ncRNAs) were screened, and a ceRNA regulatory network was constructed and subjected to bioinformatic analysis. The dual-luciferase reporter gene detection system was employed to validate the targeting relationships within the obtained key circRNA-miRNA-mRNA networks. Finally, qRT-PCR was used to verify the accuracy of the sequencing results. (3) Results: Our analysis constructed two distinct ceRNA networks: one from different fecundity groups (116 DECs, 46 DEMs, 82 DEGs) and another from different ovarian stages (186 DECs, 143 DEMs, 338 DEGs). Functional enrichment revealed key reproduction-related pathways, including Mitogen-Activated Protein Kinase(MAPK), Janus Kinase-Signal Transducer and Activator of Transcription(JAK-STAT), and WNT signaling in the fecundity comparison, and MAPK, Ras, WNT, Hippo signaling in the developmental stage comparison. Integrated analysis identified a core circRNA-miRNA-mRNA network, pinpointing circRNA2058-miR-9226-5p-MET as a central regulatory axis. The dual-luciferase assay confirmed that circRNA2058 acts as a sponge for miR-9226-5p, thereby mediating MET expression. qRT-PCR validation of randomly selected RNAs confirmed the sequencing reliability. (4) Conclusions: this study deciphers a synergistic regulatory network and identifies, for the first time, the pivotal circRNA2058-miR-9226-5p-MET ceRNA axis as an potential critical molecular switch driving follicular dominance in sheep. This discovery provides a molecular foundation for targeting core regulators of ovine reproductive efficiency and offers significant insights for innovative strategies in enhancing sheep reproduction. Full article
(This article belongs to the Section Small Ruminants)
Show Figures

Figure 1

19 pages, 7006 KB  
Article
Dynamic Reprogramming of Immune-Related Signaling During Progression to Enzalutamide Resistance in Prostate Cancer
by Pengfei Xu, Huan Qu, Joy C. Yang, Fan Wei, Junwei Zhao, Menghuan Tang, Leyi Wang, Christopher Nip, Henson Li, Allen C. Gao, Kit Lam, Marc Dall'Era, Yuanpei Li and Chengfei Liu
Cancers 2025, 17(19), 3187; https://doi.org/10.3390/cancers17193187 - 30 Sep 2025
Viewed by 1050
Abstract
Background: Treatment with androgen receptor (AR) signaling inhibitors, such as enzalutamide, can induce neural lineage plasticity in prostate cancer, potentially progressing to t-NEPC. However, the molecular mechanisms underlying this enzalutamide-driven plasticity, particularly the contribution of immune signaling pathways, remain poorly understood. Methods: We [...] Read more.
Background: Treatment with androgen receptor (AR) signaling inhibitors, such as enzalutamide, can induce neural lineage plasticity in prostate cancer, potentially progressing to t-NEPC. However, the molecular mechanisms underlying this enzalutamide-driven plasticity, particularly the contribution of immune signaling pathways, remain poorly understood. Methods: We analyzed transcriptomic profiles of patient samples and prostate cancer cell lines to investigate changes in immune signaling pathways. Interferon gamma (IFNγ), interferon alpha (IFNα), and interleukin 6 (IL6)-Janus kinase (JAK)-signal transducer and activator of transcription 3 (STAT3) signaling were assessed in enzalutamide-sensitive and -resistant prostate cancer cells. Functional assays were conducted to examine cell responsiveness to cytokine stimulation and susceptibility to STAT1 inhibition using fludarabine. Results: Immune-related pathways, including IFNγ, IFNα, IL6-JAK-STAT3, and inflammatory responses, were significantly suppressed in NEPC patient samples compared to those with castration-resistant prostate cancer (CRPC). Enzalutamide-resistant and NEPC cells exhibited markedly impaired IFNγ and IL6 signaling. In contrast, early-stage enzalutamide treatment paradoxically enhanced IFNγ and IL6 responsiveness. Transcriptomic profiling revealed coordinated upregulation of E2F target genes and activation of IFNα/IFNγ and JAK/STAT signaling pathways during early treatment. Importantly, these early-stage cells remained highly sensitive to IFNγ and IL6 stimulation and showed increased susceptibility to STAT1 inhibition by fludarabine, a sensitivity that was lost in resistant cells. Conclusions: Early enzalutamide treatment enhances immune responsiveness, while the development of resistance is associated with suppressed immune signaling and increased lineage plasticity. These results suggest a therapeutic window where combining enzalutamide with STAT inhibitors may delay or prevent lineage plasticity and resistance. Full article
Show Figures

Figure 1

38 pages, 1248 KB  
Review
Targeting Inflammation with Natural Products: A Mechanistic Review of Iridoids from Bulgarian Medicinal Plants
by Rositsa Mihaylova, Viktoria Elincheva, Reneta Gevrenova, Dimitrina Zheleva-Dimitrova, Georgi Momekov and Rumyana Simeonova
Molecules 2025, 30(17), 3456; https://doi.org/10.3390/molecules30173456 - 22 Aug 2025
Cited by 3 | Viewed by 2625
Abstract
Chronic, low-grade inflammation is a key contributor to the development of numerous non-communicable diseases (NCDs), including cardiovascular, metabolic, and neurodegenerative disorders. Conventional anti-inflammatory drugs, such as nonsteroidal anti-inflammatory drugs (NSAIDs) and corticosteroids, often present safety concerns with prolonged use, highlighting the need for [...] Read more.
Chronic, low-grade inflammation is a key contributor to the development of numerous non-communicable diseases (NCDs), including cardiovascular, metabolic, and neurodegenerative disorders. Conventional anti-inflammatory drugs, such as nonsteroidal anti-inflammatory drugs (NSAIDs) and corticosteroids, often present safety concerns with prolonged use, highlighting the need for safer, multi-targeted therapeutic options. Iridoids, a class of monoterpenoid compounds abundant in several medicinal plants, have emerged as promising bioactive agents with diverse pharmacological properties. They exert anti-inflammatory and metabolic regulatory effects by modulating key signaling pathways, including nuclear factor kappa B (NF-κB), mitogen-activated protein kinase (MAPK), Janus kinase/signal transducer and activator of transcription (JAK/STAT), adenosine monophosphate-activated protein kinase (AMPK), and peroxisome proliferator-activated receptor (PPAR) pathways. This review provides a comprehensive summary of the major iridoid metabolites derived from ten Bulgarian medicinal plant species, along with mechanistic insights from in vitro and in vivo studies. Documented biological activities include anti-inflammatory, antioxidant, immunomodulatory, antifibrotic, organoprotective, antibacterial, antiviral, analgesic, and metabolic effects. By exploring their phytochemical profiles and pharmacodynamics, we underscore the therapeutic potential of iridoid-rich Bulgarian flora in managing inflammation-related and metabolic diseases. These findings support the relevance of iridoids as complementary or alternative agents to conventional therapies and highlight the need for further translational and clinical research. Full article
(This article belongs to the Special Issue Role of Natural Products in Inflammation)
Show Figures

Figure 1

29 pages, 1420 KB  
Review
Immunomodulation in Respiratory Syncytial Virus Infection: Mechanisms, Therapeutic Targets, and Clinical Implications
by Vasiliki Epameinondas Georgakopoulou and Vassiliki C. Pitiriga
Microorganisms 2025, 13(8), 1876; https://doi.org/10.3390/microorganisms13081876 - 12 Aug 2025
Cited by 1 | Viewed by 3087
Abstract
Respiratory syncytial virus (RSV) remains a leading cause of acute lower respiratory tract infections globally, particularly affecting infants, older adults, and immunocompromised individuals. While recent advances in prophylaxis, such as long-acting monoclonal antibodies and maternal immunization, offer promise for prevention, therapeutic options for [...] Read more.
Respiratory syncytial virus (RSV) remains a leading cause of acute lower respiratory tract infections globally, particularly affecting infants, older adults, and immunocompromised individuals. While recent advances in prophylaxis, such as long-acting monoclonal antibodies and maternal immunization, offer promise for prevention, therapeutic options for active infection remain limited. Severe RSV disease is often driven not solely by viral replication but by dysregulated host immune responses, including excessive cytokine production, T helper type 2 (Th2) and T helper type 17 (Th17) cell polarization, and impaired interferon signaling. RSV has evolved sophisticated immune evasion strategies, such as inhibition of dendritic cell maturation, degradation of signal transducer and activator of transcription 2 (STAT2) via nonstructural proteins 1 and 2 (NS1/NS2), and interference with pattern recognition receptor signaling, particularly Toll-like receptors (TLRs) and retinoic acid-inducible gene I (RIG-I)-like receptors. These mechanisms result in attenuated innate immune responses and defective adaptive immunity, contributing to viral persistence, immunopathology, and recurrent infections. Moreover, age-dependent vulnerabilities, such as immune immaturity in infants and immunosenescence in older adults, exacerbate disease severity. Excessive immune activation leads to bronchiolitis, airway remodeling, and long-term sequelae including wheezing and asthma. Emerging immunomodulatory therapies aim to restore immune balance, targeting cytokines (e.g., interleukin-6 [IL-6], interleukin-1 beta [IL-1β]), the Janus kinase–signal transducer and activator of the transcription (JAK-STAT) pathway, or inflammasome activity. Host-directed therapies and direct-acting antivirals are also under investigation. A better understanding of RSV–host immune interactions is critical for optimizing therapeutic strategies and designing effective vaccines. This review synthesizes current knowledge on RSV immunopathogenesis and highlights immunomodulation as a promising frontier for therapeutic intervention. Full article
(This article belongs to the Special Issue The Microbial Pathogenesis)
Show Figures

Figure 1

Back to TopTop