Sign in to use this feature.

Years

Between: -

Subjects

remove_circle_outline
remove_circle_outline
remove_circle_outline
remove_circle_outline
remove_circle_outline
remove_circle_outline
remove_circle_outline
remove_circle_outline
remove_circle_outline

Journals

Article Types

Countries / Regions

Search Results (37)

Search Parameters:
Keywords = IREQ

Order results
Result details
Results per page
Select all
Export citation of selected articles as:
26 pages, 6533 KB  
Article
MPC Design and Comparative Analysis of Single-Phase 7-Level PUC and 9-Level CSC Inverters for Grid Integration of PV Panels
by Raghda Hariri, Fadia Sebaaly, Kamal Al-Haddad and Hadi Y. Kanaan
Energies 2025, 18(19), 5116; https://doi.org/10.3390/en18195116 - 26 Sep 2025
Viewed by 1087
Abstract
In this study, a novel comparison between single phase 7-Level Packed U—Cell (PUC) inverter and single phase 9-Level Cross Switches Cell (CSC) inverter with Model Predictive Controller (MPC) for solar grid-tied applications is presented. Our innovation introduces a unique approach by integrating PV [...] Read more.
In this study, a novel comparison between single phase 7-Level Packed U—Cell (PUC) inverter and single phase 9-Level Cross Switches Cell (CSC) inverter with Model Predictive Controller (MPC) for solar grid-tied applications is presented. Our innovation introduces a unique approach by integrating PV solar panels in PUC and CSC inverters in their two DC links rather than just one which increases power density of the system. Another key benefit for the proposed models lies in their simplified design, offering improved power quality and reduced complexity relative to traditional configurations. Moreover, both models feature streamlined control architectures that eliminate the need for additional controllers such as PI controllers for grid reference current extraction. Furthermore, the implementation of Maximum Power Point Tracking (MPPT) technology directly optimizes power output from the PV panels, negating the necessity for a DC-DC booster converter during integration. To validate the proposed concept’s performance for both inverters, extensive simulations were conducted using MATLAB/Simulink, assessing both inverters under steady-state conditions as well as various disturbances to evaluate its robustness and dynamic response. Both inverters exhibit robustness against variations in grid voltage, phase shift, and irradiation. By comparing both inverters, results demonstrate that the CSC inverter exhibits superior performance due to its booster feature which relies on generating voltage level greater than the DC input source. This primary advantage makes CSC a booster inverter. Full article
(This article belongs to the Section F3: Power Electronics)
Show Figures

Figure 1

18 pages, 2459 KB  
Article
Effect of Moisture and Aging of Kraft Paper Immersed in Mineral Oil and Synthetic Ester on Bubbling Inception Temperature in Power Transformers
by Ghada Gmati, Issouf Fofana, Patrick Picher, Oscar Henry Arroyo-Fernàndez, Djamal Rebaine, Fethi Meghnefi, Youssouf Brahami and Kouba Marie Lucia Yapi
Energies 2025, 18(17), 4579; https://doi.org/10.3390/en18174579 - 29 Aug 2025
Viewed by 602
Abstract
Bubbling Inception Temperature (BIT) is a critical metric that indicates the temperature at which gas bubbles form due to cellulose decomposition in a paper–oil insulation system. It serves as a key indicator of the thermal stability of transformer insulation, offering valuable insights into [...] Read more.
Bubbling Inception Temperature (BIT) is a critical metric that indicates the temperature at which gas bubbles form due to cellulose decomposition in a paper–oil insulation system. It serves as a key indicator of the thermal stability of transformer insulation, offering valuable insights into its performance under elevated temperatures. Building on findings from a companion study that examined the BIT of Kraft paper (KP), thermally upgraded Kraft paper (TUK), and aramid paper in mineral oil, this research expands the analysis to assess the impact of moisture, aging, and alternative dielectric fluids. Using the same customized experimental setup featuring precise dynamic load control, real-time bubble detection, and continuous monitoring of moisture and temperature, this study evaluates BIT across four distinct oil–paper aging stages: new (0 h) and 2 weeks, 4 weeks, and 6 weeks of accelerated thermal aging. This approach enables a comparative analysis of BIT in various paper–oil systems, focusing on both mineral oil and synthetic esters, as well as the influence of different moisture levels in the paper insulation. The results show that BIT decreases with aging, indicating reduced thermal stability. Furthermore, KP impregnated with synthetic ester exhibits a higher BIT than when impregnated with mineral oil, suggesting that synthetic esters may offer better resistance to bubble formation under thermal stress. Based on these results, empirical BIT models were developed as a function of degree of polymerization (DP) and water content in paper (WCP). This study further demonstrates how these models can be applied to quantify safety margins under emergency overloading conditions, providing a practical tool for operational decision-making in transformer thermal risk management. Full article
Show Figures

Figure 1

30 pages, 3033 KB  
Article
On the Effects of Clothing Area Factor and Vapour Resistance on the Evaluation of Cold Environments via IREQ Model
by Francesca Romana d’Ambrosio Alfano, Kalev Kuklane, Boris Igor Palella and Giuseppe Riccio
Int. J. Environ. Res. Public Health 2025, 22(8), 1188; https://doi.org/10.3390/ijerph22081188 - 29 Jul 2025
Viewed by 734
Abstract
The IREQ (Insulation REQuired) index is the only reliable and effective model for predicting and evaluating the protection given by a clothing ensemble in cold environments. Even with the growth of studies aimed at assessing the thermophysical characteristics of clothing, IREQ remained unaltered [...] Read more.
The IREQ (Insulation REQuired) index is the only reliable and effective model for predicting and evaluating the protection given by a clothing ensemble in cold environments. Even with the growth of studies aimed at assessing the thermophysical characteristics of clothing, IREQ remained unaltered from Holmér’s original formulation four decades prior. This paper focuses on the effect of the evaluation of the clothing area factor and the resultant vapour resistance on the assessment of cold environments via IREQ. Obtained results reveal meaningful variations in the duration limit exposure (up to 5 h), whereas IREQ values remain unchanged. Observed phenomena could be interesting when discussing the revision of the ISO 11079 standard, which prescribes using IREQ for the determination and interpretation of cold stress. Full article
(This article belongs to the Section Environmental Health)
Show Figures

Figure 1

13 pages, 1343 KB  
Article
The Human Thermal Load of Mornings with Clear Skies in the Hungarian Lowland
by Ferenc Ács, Erzsébet Kristóf and Annamária Zsákai
Atmosphere 2025, 16(6), 647; https://doi.org/10.3390/atmos16060647 - 27 May 2025
Viewed by 765
Abstract
The climate of the Hungarian lowland (Central European region, Pannonian Plain area) can be characterized by Köppen’s Cfb climate formula (C—warm temperate, f—no seasonality in the annual course of precipitation, b—warm summer). This characterization does not provide information about the human thermal load [...] Read more.
The climate of the Hungarian lowland (Central European region, Pannonian Plain area) can be characterized by Köppen’s Cfb climate formula (C—warm temperate, f—no seasonality in the annual course of precipitation, b—warm summer). This characterization does not provide information about the human thermal load and thermal perception. The aim of this work is to fill this gap. We focused on the morning, clear-sky periods of the day, when the heat supply provided by the weather is the lowest. The human thermal load of clear-sky mornings was estimated using the new clothing thermal resistance–operative temperature (rclTo) model. In contrast to IREQ-type (Required Clothing Insulation) models, this model parametrizes the total metabolic heat flux density (M) as a function of anthropometric data (body mass, height, sex, age). In the simulations, the selected persons walk (M values range between 135 and 170 W m−2) or stand (M values range between 84 and 96 W m−2), while their body mass index (BMI) varies between 25 and 37 kg m−2. The following main results should be highlighted: (1) Human activity has a significant impact on rcl; it ranges between 0 and 3.5 clo during walking and between 0 and 6.7 clo during standing. (2) The interpersonal variability of rcl increases with increasing heat deficit accordingly; in the case of a walking person, it is around 1 clo in the largest heat deficits and around 0 clo in the smallest heat deficits. Since, in general, anticyclones increase the heat deficit while cyclones reduce it, extreme thermal loads are associated with anticyclones. It should be mentioned that the interpersonal variability of the human thermal load cannot be analyzed without databases containing people’s anthropometric data. Full article
(This article belongs to the Section Biometeorology and Bioclimatology)
Show Figures

Figure 1

18 pages, 1578 KB  
Article
Leveraging Failure Modes and Effect Analysis for Technical Language Processing
by Mathieu Payette, Georges Abdul-Nour, Toualith Jean-Marc Meango, Miguel Diago and Alain Côté
Mach. Learn. Knowl. Extr. 2025, 7(2), 42; https://doi.org/10.3390/make7020042 - 9 May 2025
Cited by 2 | Viewed by 2066
Abstract
With the evolution of data collection technologies, sensor-generated data have become the norm. However, decades of manually recorded maintenance data still hold untapped value. Natural Language Processing (NLP) offers new ways to extract insights from these historical records, especially from short, unstructured maintenance [...] Read more.
With the evolution of data collection technologies, sensor-generated data have become the norm. However, decades of manually recorded maintenance data still hold untapped value. Natural Language Processing (NLP) offers new ways to extract insights from these historical records, especially from short, unstructured maintenance texts often accompanying structured database fields. While NLP has shown promise in this area, technical texts pose unique challenges, particularly in preprocessing and manual annotation. This study proposes a novel methodology combining Failure Mode and Effect Analysis (FMEA), a reliability engineering tool, into the NLP pipeline to enhance Named Entity Recognition (NER) in maintenance records. By leveraging the structured and domain-specific knowledge encapsulated in FMEAs, the annotation process becomes more systematic, reducing the need for exhaustive manual effort. A case study using real-world data from a major electrical utility demonstrates the effectiveness of this approach. The custom NER model, trained using FMEA-informed annotations, achieves high precision, recall, and F1 scores, successfully identifying key reliability elements in maintenance text. The integration of FMEA not only improves data quality but also supports more informed asset management decisions. This research introduces a novel cross-disciplinary framework combining reliability engineering and NLP. It highlights how domain expertise can be used to streamline annotation, improve model accuracy, and unlock actionable insights from legacy maintenance data. Full article
(This article belongs to the Section Data)
Show Figures

Figure 1

25 pages, 3127 KB  
Article
The Strategic Selection of Concentrated Solar Thermal Power Technologies in Developing Countries Using a Fuzzy Decision Framework
by Abdulrahman AlKassem, Kamal Al-Haddad, Dragan Komljenovic and Andrea Schiffauerova
Energies 2025, 18(8), 1957; https://doi.org/10.3390/en18081957 - 11 Apr 2025
Cited by 1 | Viewed by 758
Abstract
Relative to other renewable energy technologies, concentrated solar power (CSP) is only in the beginning phases of large-scale deployment. Its incorporation into national grids is steadily growing, with anticipation of its substantial contribution to the energy mix. A number of emerging economies are [...] Read more.
Relative to other renewable energy technologies, concentrated solar power (CSP) is only in the beginning phases of large-scale deployment. Its incorporation into national grids is steadily growing, with anticipation of its substantial contribution to the energy mix. A number of emerging economies are situated in areas that receive abundant amounts of direct normal irradiance (DNI), which translates into expectations of significant effectiveness for CSP. However, any assessment related to the planning of CSP facilities is challenging because of the complexity of the associated criteria and the number of stakeholders. Additional complications are the differing concepts and configurations for CSP plants available, a dearth of related experience, and inadequate amounts of data in some developing countries. The goal of the work presented in this paper was to evaluate the practical CSP implementation options for such parts of the world. Ambiguity and imprecision issues were addressed through the application of multi-criteria decision-making (MCDM) in a fuzzy environment. Six technology combinations, involving dry cooling and varied installed capacity levels, were examined: three parabolic trough collectors with and without thermal storage, two solar towers with differing storage levels, and a linear Fresnel with direct steam generation. The in-depth performance analysis was based on 4 main criteria and 29 sub-criteria. Quantitative and qualitative data, plus input from 44 stakeholders, were incorporated into the proposed fuzzy analytic hierarchy process (AHP) model. In addition to demonstrating the advantages and drawbacks of each scenario relative to the local energy sector requirements, the model’s results also provide accurate recommendation guidelines for integrating CSP technology into national grids while respecting stakeholders’ priorities. Full article
(This article belongs to the Section A2: Solar Energy and Photovoltaic Systems)
Show Figures

Figure 1

13 pages, 370 KB  
Article
Problematic Use of Smartphones and Social Media on Sleep Quality of High School Students in Mexico City
by Cristopher Martín Olivares-Guido, Silvia Aracely Tafoya, Mónica Beatriz Aburto-Arciniega, Benjamín Guerrero-López and Claudia Diaz-Olavarrieta
Int. J. Environ. Res. Public Health 2024, 21(9), 1177; https://doi.org/10.3390/ijerph21091177 - 4 Sep 2024
Cited by 1 | Viewed by 7544
Abstract
Background: Smartphones, internet access, and social media represent a new form of problematic behavior and can affect how teens sleep. Methods: A cross-sectional design was employed to examine the prevalence and association of problematic internet use and problematic smartphone use with sleep quality [...] Read more.
Background: Smartphones, internet access, and social media represent a new form of problematic behavior and can affect how teens sleep. Methods: A cross-sectional design was employed to examine the prevalence and association of problematic internet use and problematic smartphone use with sleep quality in a non-probability sample of 190 high school students in Mexico. The internet-related experiences questionnaire (IREQ), the mobile-related experiences questionnaire (MREQ), and the Pittsburgh Sleep Quality Index (PSQI) were used. Results: The study revealed that 66% of participants exhibited some form of problematic internet use, primarily in the form of social media use; 68% had some form of problematic smartphone use, and 84% reported poor sleep quality. The PSQI score was most accurately predicted by problematic smartphone use (MREQ), followed by enrollment in the morning school shift, participation in sports, the father’s education level, and knowledge that “smartphone use disturbs sleep”, which together explained 23% of the variation in sleep quality. Conclusions: Excessive smartphone use may negatively affect sleep quality in adolescents. We recommended that interventions be implemented to educate adolescents about appropriate and healthy use of technology, in parallel with the promotion of preventive sleep habits. Full article
(This article belongs to the Section Behavioral and Mental Health)
22 pages, 6954 KB  
Article
Development of a Flow Rule Based on a Unified Plasticity Model for 13Cr-4Ni Low-Carbon Martensitic Stainless Steel Subject to Post-Weld Heat Treatment
by Mir Mehrdad Hosseini, Jacques Lanteigne, Carlo Baillargeon, Mohammad Jahazi and Henri Champliaud
Metals 2024, 14(7), 834; https://doi.org/10.3390/met14070834 - 21 Jul 2024
Viewed by 1684
Abstract
This study aims to develop a flow rule for evaluating the relaxation and redistribution of residual stresses during the post-weld heat treatment (PWHT) of hydroelectric runners made from low-carbon martensitic stainless steel (13Cr-4Ni composition). During the PWHT, austenite reforms in the filler metal [...] Read more.
This study aims to develop a flow rule for evaluating the relaxation and redistribution of residual stresses during the post-weld heat treatment (PWHT) of hydroelectric runners made from low-carbon martensitic stainless steel (13Cr-4Ni composition). During the PWHT, austenite reforms in the filler metal and surrounding areas of the base metal near welded joints. The evolving inelastic strain rate with reformed austenite led to defining two distinct flow rules in the pure martensitic (α′) and austenitic (γ) phases. A linear rule of mixture was then applied to assess global effective stress based on the inelastic strain rate and current austenite fraction during the PWHT. A unified constitutive model incorporating drag stress and back stress, evolving with creep and plastic deformation mechanisms during the PWHT, described the stress–strain behavior. To validate this analysis, a third flow rule was determined in the 18% tempered austenitic microstructure, compared with the rule of mixture’s effective stress contribution from each phase on the inelastic strain rate. Isothermal constant strain rate tests in stabilized crystalline microstructures evaluated constants specific to their respective flow rules. This study demonstrates the stability of reformed austenite at elevated temperatures during slow cooling and its significant influence on the mechanical properties of 13Cr-4Ni steels. The effectiveness of estimating yield stress using the rule of mixture based on individual phase behaviors is also confirmed. Full article
Show Figures

Figure 1

20 pages, 5811 KB  
Article
Real-Time Implementation of Three-Phase Z Packed U-Cell Modular Multilevel Grid-Connected Converter Using CPU and FPGA
by Sandy Atanalian, Fadia Sebaaly, Rawad Zgheib and Kamal AL-Haddad
Electronics 2024, 13(11), 2186; https://doi.org/10.3390/electronics13112186 - 4 Jun 2024
Cited by 1 | Viewed by 1774
Abstract
The Modular Multilevel Converter (MMC) is a promising converter for medium-/high voltage applications due to its various features. The waveform quality could be enhanced further by expanding the number of generated voltage levels, which increases the number of submodules (SMs); however, this improvement [...] Read more.
The Modular Multilevel Converter (MMC) is a promising converter for medium-/high voltage applications due to its various features. The waveform quality could be enhanced further by expanding the number of generated voltage levels, which increases the number of submodules (SMs); however, this improvement enlarges the size and cost of the converter, posing a persistent challenge. Hence, there exists a trade-off between power quality and the size and complexity of the converter. To verify the performance of such a complex converter and to validate the effectiveness of the control system, especially in the absence of a physical system, Real-Time (RT) simulation becomes crucial. However, the large number of components of a MMC creates important numerical challenges and computational difficulties in RT simulation. This paper proposes a grid-connected MMC employing a Z Packed U-Cell converter as a SM to generate a higher number of voltage levels while minimizing the required number of SMs. The ZPUC-MMC is implemented on an FPGA-based RT simulation platform using Electric Hardware Solver to reduce computational burden and simulation time, while improving the accuracy of the obtained results. Conventional controllers of MMCs are applied to assess the effectiveness and robustness of the proposed system during steady-state and dynamic operations. Full article
Show Figures

Figure 1

20 pages, 15717 KB  
Article
Using Deep Learning to Detect Anomalies in On-Load Tap Changer Based on Vibro-Acoustic Signal Features
by Fataneh Dabaghi-Zarandi, Vahid Behjat, Michel Gauvin, Patrick Picher, Hassan Ezzaidi and Issouf Fofana
Energies 2024, 17(7), 1665; https://doi.org/10.3390/en17071665 - 30 Mar 2024
Cited by 9 | Viewed by 1859
Abstract
An On-Load Tap Changer (OLTC) that regulates transformer voltage is one of the most important and strategic components of a transformer. Detecting faults in this component at early stages is, therefore, crucial to prevent transformer outages. In recent years, Hydro Quebec initiated a [...] Read more.
An On-Load Tap Changer (OLTC) that regulates transformer voltage is one of the most important and strategic components of a transformer. Detecting faults in this component at early stages is, therefore, crucial to prevent transformer outages. In recent years, Hydro Quebec initiated a project to monitor the OLTC’s condition in power transformers using vibro-acoustic signals. A data acquisition system has been installed on real OLTCs, which has been continuously measuring their generated vibration signal envelopes over the past few years. In this work, the multivariate deep autoencoder, a reconstruction-based method for unsupervised anomaly detection, is employed to analyze the vibration signal envelopes generated by the OLTC and detect abnormal behaviors. The model is trained using a dataset obtained from the normal operating conditions of the transformer to learn patterns. Subsequently, kernel density estimation (KDE), a nonparametric method, is used to fit the reconstruction errors (regarding normal data) obtained from the trained model and to calculate the anomaly scores, along with the static threshold. Finally, anomalies are detected using a deep autoencoder, KDE, and a dynamic threshold. It should be noted that the input variables responsible for anomalies are also identified based on the value of the reconstruction error and standard deviation. The proposed method is applied to six different real datasets to detect anomalies using two distinct approaches: individually on each dataset and by comparing all six datasets. The results indicate that the proposed method can detect anomalies at an early stage. Also, three alarms, including ignorable anomalies, long-term changes, and significant alterations, were introduced to quantify the OLTC’s condition. Full article
(This article belongs to the Topic High Voltage Engineering)
Show Figures

Figure 1

20 pages, 2730 KB  
Review
Distributed Energy Resources Management System (DERMS) and Its Coordination with Transmission System: A Review and Co-Simulation
by Pouya Pourghasem Gavgani, Salar Baghbannovin, Seyed Masoud Mohseni-Bonab and Innocent Kamwa
Energies 2024, 17(6), 1353; https://doi.org/10.3390/en17061353 - 12 Mar 2024
Cited by 7 | Viewed by 3705
Abstract
Ever-increasing penetration of distributed energy resources (DERs) in the power grids, alongside their numerous benefits, brings new challenges that call for enhanced solutions in the field of control and management of power grids. The majority of the available research have considered either distribution [...] Read more.
Ever-increasing penetration of distributed energy resources (DERs) in the power grids, alongside their numerous benefits, brings new challenges that call for enhanced solutions in the field of control and management of power grids. The majority of the available research have considered either distribution or transmission grids in their studies. In this paper, a comprehensive review of the effects of DERs on the distribution and transmission grids is performed. The focus of this paper is on hierarchical management methods in order to categorize different approaches and highlight the gaps. Moreover, a review is conducted in the field of the newly introduced distributed energy resources management system (DERMS) concept. A DERMS can facilitate the hierarchical energy management procedure due to its functionalities and broad capabilities. Hence, its implementation in energy management and its impact on the power grid will be assessed with the aid of a co-simulation platform that considers both transmission and distribution grids. Full article
Show Figures

Figure 1

17 pages, 813 KB  
Article
Nk Static Security Assessment for Power Transmission System Planning Using Machine Learning
by David L. Alvarez, Mohamed Gaha, Jacques Prévost, Alain Côté, Georges Abdul-Nour and Toualith Jean-Marc Meango
Energies 2024, 17(2), 292; https://doi.org/10.3390/en17020292 - 6 Jan 2024
Cited by 7 | Viewed by 1827
Abstract
This paper presents a methodology for static security assessment of transmission network planning using machine learning (ML). The objective is to accelerate the probabilistic risk assessment of the Hydro-Quebec (HQ) TransÉnergie transmission grid. The model takes the expected power supply and the status [...] Read more.
This paper presents a methodology for static security assessment of transmission network planning using machine learning (ML). The objective is to accelerate the probabilistic risk assessment of the Hydro-Quebec (HQ) TransÉnergie transmission grid. The model takes the expected power supply and the status of the elements in a Nk contingency scenario as inputs. The output is the reliability metric Expecting Load Shedding Cost (ELSC). To train and test the regression model, stochastic data are performed, resulting in a set of Nk and k=1,2,3 contingency scenarios used as inputs. Subsequently, the output is computed for each scenario by performing load shedding using an optimal power flow algorithm, with the objective function of minimizing ELSC. Experimental results on the well-known IEEE-39 bus test system and PEGASE-1354 system demonstrate the potential of the proposed methodology in generalizing ELSC during an Nk contingency. For up to k=3 the coefficient of determination R2 obtained was close to 98% for both case studies, achieving a speed-up of over four orders of magnitude with the use of a Multilayer Perceptron (MLP). This approach and its results have not been addressed in the literature, making this methodology a contribution to the state of the art. Full article
(This article belongs to the Special Issue Advanced Artificial Intelligence Application for Power Systems)
Show Figures

Figure 1

16 pages, 8123 KB  
Article
Power Transformers OLTC Condition Monitoring Based on Feature Extraction from Vibro-Acoustic Signals: Main Peaks and Euclidean Distance
by Fataneh Dabaghi-Zarandi, Vahid Behjat, Michel Gauvin, Patrick Picher, Hassan Ezzaidi and Issouf Fofana
Sensors 2023, 23(16), 7020; https://doi.org/10.3390/s23167020 - 8 Aug 2023
Cited by 19 | Viewed by 3438
Abstract
The detection of On-Load Tap-Changer (OLTC) faults at an early stage plays a significant role in the maintenance of power transformers, which is the most strategic component of the power network substations. Among the OLTC fault detection methods, vibro-acoustic signal analysis is known [...] Read more.
The detection of On-Load Tap-Changer (OLTC) faults at an early stage plays a significant role in the maintenance of power transformers, which is the most strategic component of the power network substations. Among the OLTC fault detection methods, vibro-acoustic signal analysis is known as a performant approach with the ability to detect many faults of different types. Extracting the characteristic features from the measured vibro-acoustic signal envelopes is a promising approach to precisely diagnose OLTC faults. The present research work is focused on developing a methodology to detect, locate, and track changes in on-line monitored vibro-acoustic signal envelopes based on the main peaks extraction and Euclidean distance analysis. OLTC monitoring systems have been installed on power transformers in services which allowed the recording of a rich dataset of vibro-acoustic signal envelopes in real time. The proposed approach was applied on six different datasets and a detailed analysis is reported. The results demonstrate the capability of the proposed approach in recognizing, following, and localizing the faults that cause changes in the vibro-acoustic signal envelopes over time. Full article
(This article belongs to the Section Physical Sensors)
Show Figures

Figure 1

21 pages, 2012 KB  
Review
Integrated Demand Response Programs in Energy Hubs: A Review of Applications, Classifications, Models and Future Directions
by Innocent Kamwa, Leila Bagherzadeh and Atieh Delavari
Energies 2023, 16(11), 4443; https://doi.org/10.3390/en16114443 - 31 May 2023
Cited by 13 | Viewed by 3230
Abstract
In the traditional power system, customers respond to their primary electricity consumption pattern based on price or incentive to take additional advantages. By developing energy hubs (EHs) where electricity, heat, natural gas and other forms of energy are coupled together, all types of [...] Read more.
In the traditional power system, customers respond to their primary electricity consumption pattern based on price or incentive to take additional advantages. By developing energy hubs (EHs) where electricity, heat, natural gas and other forms of energy are coupled together, all types of energy customers, even the inelastic loads, can participate in the demand response (DR) program. This novel vision has led to the concept of “integrated demand response (IDR)”. IDR programs (IDRPs) in EHs involve coordinating multiple DR activities across different energy systems, such as buildings, industrial complexes and transportation networks. The main purpose of IDR is so that multi-energy users can respond not only by shifting or reducing their energy consumption from the demand side, but also by changing the type of energy consumed in response to the dispatching center. The integration of IDRPs in EHs can help to reduce energy costs, improve grid stability and increase the penetration of renewable energy sources (RES) in the power system. Moreover, by synchronizing DR activities across different energy systems, IDRPs can provide additional benefits, such as improved energy efficiency, reduced greenhouse gas emissions and increased resilience to power outages and other disruptions. In this paper, we provide an overview of the IDRP across EH areas, encompassing different aspects of it. First, the nature behind IDRP and its basic concept is introduced. Then, a categorization of fundamental principles within the IDRP is undertaken. Furthermore, modelling formulation and optimization techniques of IDRP in EHs are conducted. In addition to the IDRP content and model, this article deals with the research performed in this field from different perspectives. Finally, the advantages and prospect challenges of IDRPs are discussed. Full article
Show Figures

Figure 1

14 pages, 6155 KB  
Article
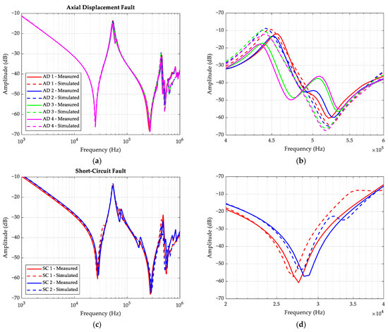
Reproducing Transformers’ Frequency Response from Finite Element Method (FEM) Simulation and Parameters Optimization
by Regelii Suassuna de Andrade Ferreira, Patrick Picher, Fethi Meghnefi, Issouf Fofana, Hassan Ezzaidi, Christophe Volat and Vahid Behjat
Energies 2023, 16(11), 4364; https://doi.org/10.3390/en16114364 - 27 May 2023
Cited by 11 | Viewed by 2402
Abstract
Frequency response analysis (FRA) is being employed worldwide as one of the main methods for the internal condition assessment of transformers due to its capability of detecting mechanical changes. Nonetheless, the objective interpretation of FRA measurements is still a challenge for the industry. [...] Read more.
Frequency response analysis (FRA) is being employed worldwide as one of the main methods for the internal condition assessment of transformers due to its capability of detecting mechanical changes. Nonetheless, the objective interpretation of FRA measurements is still a challenge for the industry. This is mainly attributable to the lack of complete data from the same or similar units. A large database of FRA measurements can contribute to improving classification algorithms and lead to a more objective interpretation. Due to their destructive nature, mechanical deformations cannot be performed on real transformers to collect data from different scenarios. The use of simulation and laboratory transformer models is necessary. This research contribution is based on a new method using Finite Element Method simulation and a lumped element circuit to obtain FRA traces from a laboratory model at healthy and faulty states, along with an optimization method to improve capacitive parameters from estimated values. The results show that measured and simulated FRA traces are in good agreement. Furthermore, the faulty FRA traces were analyzed to obtain the characterization of faults based on the variation of the lumped element’s parameters. This supports the use of the proposed method in the generation of faulty frequency response traces and its further use in classifying and localizing faults in the transformer windings. The proposed approach is therefore tailored for generating a larger and unique database of FRA traces with industrial importance and academic significance. Full article
Show Figures

Figure 1

Back to TopTop