Sign in to use this feature.

Years

Between: -

Subjects

remove_circle_outline
remove_circle_outline
remove_circle_outline
remove_circle_outline
remove_circle_outline
remove_circle_outline
remove_circle_outline
remove_circle_outline
remove_circle_outline

Journals

remove_circle_outline
remove_circle_outline
remove_circle_outline
remove_circle_outline
remove_circle_outline

Article Types

Countries / Regions

remove_circle_outline
remove_circle_outline
remove_circle_outline
remove_circle_outline
remove_circle_outline

Search Results (362)

Search Parameters:
Keywords = IDPS

Order results
Result details
Results per page
Select all
Export citation of selected articles as:
13 pages, 778 KB  
Article
The Effect of Serum Carnosinase on the Tissue Distribution of Imidazole Dipeptides After Their Oral Administration in Golden Hamsters
by Shigenobu Shiotani, Takumi Kawashima, Chikako Takahashi, Taiken Sakano, Ayumu Kuramoto and Nobuya Yanai
Nutrients 2026, 18(6), 999; https://doi.org/10.3390/nu18060999 - 21 Mar 2026
Viewed by 400
Abstract
Background/Objectives: Imidazole dipeptides (IDPs), carnosine and anserine, are endogenous antioxidants. The metabolism and functions of IDPs have mainly been investigated in rodents. However, the blood of primates, such as humans, contains carnosinase (CN1), which hydrolyzes IDPs. In non-primates, CN1 is absent, allowing [...] Read more.
Background/Objectives: Imidazole dipeptides (IDPs), carnosine and anserine, are endogenous antioxidants. The metabolism and functions of IDPs have mainly been investigated in rodents. However, the blood of primates, such as humans, contains carnosinase (CN1), which hydrolyzes IDPs. In non-primates, CN1 is absent, allowing IDPs to be distributed throughout tissues. There are concerns about whether the results of animal experiments can be directly applied to humans. Therefore, we aimed to investigate the blood change in the concentration and tissue distribution of IDPs following their oral administration to golden hamsters, the only non-primates known to possess CN1. Methods: Plasma CN1 activity was compared between hamsters and humans. Hamsters were administered IDPs (an anserine/carnosine mixture) purified from chicken meat at a dose of 1000 mg/kg. Blood samples were collected at time points up to 6 h after administration. Tissue samples were collected at 6 h after administration to measure the concentrations of IDPs and related substances. Additionally, IDP levels in human and mice tissues from previous studies were compared with that of hamster tissues in this study. Results: Hamster plasma CN1 activity was more than 10 times higher than that in humans. Although IDPs were not detected in IDP-treated hamster plasma, constituent amino acids of IDPs increased up to 1–2 h and Nπ-methyl-histidine (m-His) remained at high levels up to 6 h after administration. IDP levels in control tissues (vehicle) were similar to those in human tissues. In the IDP group, tissue IDPs were higher than those in the vehicle and m-His increased in all tissues. Conclusions: This study indicated that m-His levels increase in hamster tissues following a single oral administration of IDPs and strongly suggest that hamsters should be used in functional studies of IDPs in humans, focusing on the functionality of m-His. Full article
(This article belongs to the Section Proteins and Amino Acids)
Show Figures

Figure 1

19 pages, 2772 KB  
Article
Inhibitory Effects of Imidazole Dipeptides and 2-Oxo-Imidazole Dipeptides on Intracellular ROS Generation and Degradation of Protein and DNA
by Yasunari Yamada, Kohei Hayashi, Kenji Yoshimochi, Tsunehisa Hirose, Motoshi Shimotsuma, Takefumi Kuranaga, Hideaki Kakeya, Shozo Tomonaga and Makoto Ozaki
AppliedChem 2026, 6(1), 15; https://doi.org/10.3390/appliedchem6010015 - 1 Mar 2026
Viewed by 469
Abstract
Imidazole dipeptides (IDPs), including carnosine, anserine, and balenine, are functional food ingredients found in meats. They have been reported to exhibit high antioxidant activity. 2-Oxo-imidazole dipeptides (2-oxo-IDPs) are present in trace amounts in various tissues and show notably higher antioxidant activity compared with [...] Read more.
Imidazole dipeptides (IDPs), including carnosine, anserine, and balenine, are functional food ingredients found in meats. They have been reported to exhibit high antioxidant activity. 2-Oxo-imidazole dipeptides (2-oxo-IDPs) are present in trace amounts in various tissues and show notably higher antioxidant activity compared with IDPs. Trace amounts of 2-oxo-IDPs are also present in commercial IDP reagents, suggesting that they affect the antioxidant activity of IDPs. Trace amounts of 2-oxo-IDPs were detected in IDP reagents from various manufacturers by HPLC. Some reagents with trace amounts of 2-oxo-IDPs exhibited higher antioxidant activity in a DPPH radical-scavenging assay compared with high-purity IDP reagents devoid of 2-oxo-IDPs. Therefore, it is important to use highly purified IDP reagents to measure antioxidant activity accurately. The antioxidant activity of highly purified IDPs and 2-oxocarnosine (2-oxo-Car) was evaluated through their ability to protect protein and DNA from ROS. 2-Oxo-Car markedly inhibited the protein and DNA degradation by ClO and ONOO compared with IDPs. Moreover, 2-oxo-Car was not cytotoxic, even at high concentrations, and suppressed pyocyanin-induced ROS generation in C2C12 cells compared with IDPs and glutathione. Overall, 2-oxo-IDPs are effective antioxidants and are equivalent or superior to known water-soluble antioxidants, such as glutathione and vitamin C. Full article
Show Figures

Graphical abstract

29 pages, 1253 KB  
Article
Enhancing Federated Data Trading via Trustworthy Identity and Access Management Framework
by Kyriakos Stefanidis, Vasilis Bekos and Dimitris Karadimas
J. Cybersecur. Priv. 2026, 6(2), 41; https://doi.org/10.3390/jcp6020041 - 28 Feb 2026
Viewed by 649
Abstract
Trustworthy Identity and Access Management (IAM) is a foundational requirement for federated data trading platforms, yet existing solutions often rely on centralized Identity Providers (IdPs), lack cross-border interoperability, and offer limited support for user-friendly authorization management. These limitations hinder secure onboarding, fine-grained access [...] Read more.
Trustworthy Identity and Access Management (IAM) is a foundational requirement for federated data trading platforms, yet existing solutions often rely on centralized Identity Providers (IdPs), lack cross-border interoperability, and offer limited support for user-friendly authorization management. These limitations hinder secure onboarding, fine-grained access control, and regulatory compliance, especially within European Union (EU) data spaces governed by the Electronic Identification, Authentication, and Trust Services (eIDAS) 2.0 framework. This work presents a comprehensive IAM framework designed for federated data trading environments, developed within the EU-funded PISTIS project. The framework is based on Keycloak IAM and offers three major capabilities: (i) a novel IAM architecture tailored to distributed data trading scenarios; (ii) full integration of eIDAS-compliant cross-border authentication and initial support for European Digital Identity (EUDI) Wallets; and (iii) a standalone, web-based Access Policy Editor (APE) that abstracts Keycloak’s policy engine and enables non-technical users to define fine-grained, owner-driven access rules. The approach is evaluated across real-world mobility, energy, and automotive industry pilots, demonstrating its effectiveness in enhancing trust, interoperability, and usability within regulated data-sharing ecosystems. Full article
(This article belongs to the Special Issue Building Community of Good Practice in Cybersecurity)
Show Figures

Figure 1

20 pages, 3322 KB  
Article
Parametric Finite Element Evaluation of Load Redistribution Under Progressive Lumbar Disc Degeneration
by Oleg Ardatov, Sofia Rita Fernandes, Artūras Kilikevičius and Vidmantas Alekna
Bioengineering 2026, 13(2), 234; https://doi.org/10.3390/bioengineering13020234 - 17 Feb 2026
Viewed by 563
Abstract
This study presents a finite element (FE) investigation of intervertebral disc (IVD) degeneration in the human lumbar spine (L1–L3 segment). The model, based on CT-derived geometry and isotropic hyperelastic representation of disc tissues, incorporates controlled simplifications, detailed in the limitations section. Degenerative changes [...] Read more.
This study presents a finite element (FE) investigation of intervertebral disc (IVD) degeneration in the human lumbar spine (L1–L3 segment). The model, based on CT-derived geometry and isotropic hyperelastic representation of disc tissues, incorporates controlled simplifications, detailed in the limitations section. Degenerative changes were parametrically simulated across healthy, mild, moderate, and severe stages by reducing disc height (up to 60%), nucleus pulposus volume (up to 70%), and adjusting tissue stiffness to reflect dehydration and fibrosis. Displacement-controlled compressive loading was applied to assess von Mises stress distributions, reaction forces, and load transfer mechanisms. Results indicate significant load redistribution: annulus fibrosus stresses increased by up to 175% in severe degeneration, while nucleus pulposus stresses decreased by ~70%, indicating a diminished compressive load-bearing contribution of the nucleus. Model predictions were validated against cadaveric and in vivo data, confirming trends in intradiscal pressure (IDP) reductions (40–70%) and stress elevations. The parametric framework elucidates interactions between geometric and material changes, providing clinicians with insights into degeneration progression and guiding biomedical engineers in implant design and interventions. Full article
(This article belongs to the Special Issue Spine Biomechanics)
Show Figures

Graphical abstract

16 pages, 2949 KB  
Article
Missense Constraint in Intrinsically Disordered Proteins Enhances Missense Variant Interpretation in Neurodevelopmental Disorders
by Nazareth D. J. Robles, Silvio C. E. Tosatto and Maria Cristina Aspromonte
Genes 2026, 17(2), 219; https://doi.org/10.3390/genes17020219 - 10 Feb 2026
Viewed by 471
Abstract
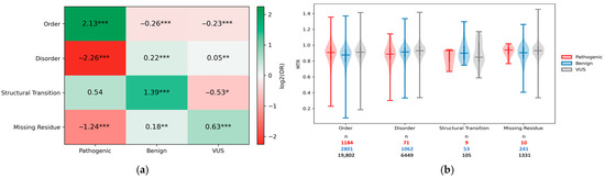
Background/Objectives: Interpreting missense variants in intrinsically disordered proteins (IDPs) remains a major challenge, as these proteins lack stable structure and are under-represented in experimental and clinical annotations. Variants occurring in IDPs are disproportionately classified as variants of uncertain significance (VUS), reflecting the absence [...] Read more.
Background/Objectives: Interpreting missense variants in intrinsically disordered proteins (IDPs) remains a major challenge, as these proteins lack stable structure and are under-represented in experimental and clinical annotations. Variants occurring in IDPs are disproportionately classified as variants of uncertain significance (VUS), reflecting the absence of appropriate predictive tools rather than true biological neutrality. Here, we address this challenge using a curated dataset of neurodevelopmental disorder (NDD)-associated proteins. Methods: We integrated curated and predicted disorder annotations from DisProt and MobiDB to characterize the structural landscape of 339 NDD-associated proteins. To quantify a regional genetic constraint, we recalculated the Missense Tolerance Ratio (MTR) using a published framework adapted to the recent gnomAD release (v4.1.0). Integration with 33,124 ClinVar-reported missense variants revealed that, while mean constraint levels differ only modestly across structural states, ordered and structural transition regions show the strongest depletion of missense variation. Results: MTR identifies localized low-tolerance subregions within IDRs, indicating that these regions are not uniformly permissive and can harbor functionally essential elements. Conclusions: Overall, our results demonstrate that missense constraint in NDD proteins is highly localized and context-dependent, and that integrating high-quality disorder annotations with updated MTR profiles can improve the prioritization and interpretation of missense variants in IDRs and IDPs. Full article
(This article belongs to the Section Bioinformatics)
Show Figures

Figure 1

21 pages, 43172 KB  
Article
Location-Aware SDN-IDPS Framework for Real-Time DoS Mitigation in Vehicular Networks
by Aung Aung, Kuljaree Tantayakul and Adisak Intana
Future Internet 2026, 18(2), 87; https://doi.org/10.3390/fi18020087 - 6 Feb 2026
Viewed by 1009
Abstract
Integrating Software-Defined Networking (SDN) to enhance mobility management in Vehicular Ad Hoc Networks (VANETs) comes with an additional critical risk. Because centralized controllers are single points of failure, they create the risk that the network will be subject to denial-of-service (DoS) attacks during [...] Read more.
Integrating Software-Defined Networking (SDN) to enhance mobility management in Vehicular Ad Hoc Networks (VANETs) comes with an additional critical risk. Because centralized controllers are single points of failure, they create the risk that the network will be subject to denial-of-service (DoS) attacks during handovers. Most Intrusion Detection and Prevention systems (IDPSs) do not adequately address these risks because they are topology-blind and have excessive processing layers. This article presents a novel Location-Aware SDN-IDPS Framework that employs a hierarchical defense approach to protect vehicular networks against volumetric attacks. This two-plane system operates with the first tier, which uses dynamic host-location mappings to drop spoofed traffic at the switch level (data plane). In contrast, the second tier analyzes confirmed traffic through a Suricata-based engine to identify and respond to complex flood attack patterns. The experimental results from the Mininet-WiFi testbed show that the system provides a significant improvement over the unprotected state, with controller CPU utilization reduced by up to 18 times (from 9.0% to below 0.5%). In addition, the system provides a 2.3 s guaranteed recovery time, service continuity, successful microsecond-level mitigation time, and a packet delivery ratio (PDR) of 99.73% for legitimate safety messages. In control-plane stress testing, the proposed location-aware logic improved throughput stability by approximately 76.26% compared to the baseline. These findings confirm that offloading anti-spoofing logic to the network edge significantly enhances resilience without compromising performance in safety-critical vehicular environments. Full article
Show Figures

Graphical abstract

18 pages, 1316 KB  
Article
Virtual Testbed for Cyber-Physical System Security Research and Education: Design, Evaluation, and Impact
by Minal Akeel, Salaheddin Hosseinzadeh, Muhammad Zeeshan, Hamid Homatash, Nsikak Owoh and Moses Ashawa
Electronics 2026, 15(3), 582; https://doi.org/10.3390/electronics15030582 - 29 Jan 2026
Viewed by 483
Abstract
This article presents the design and implementation of a Virtual Cyber-Physical Testbed (VCPT) for transportation systems, featuring an automated level-crossing process. The proposed design improves network fidelity while keeping the platform lightweight. Key components include the Programmable Logic Controller (PLC), sensors, actuators, the [...] Read more.
This article presents the design and implementation of a Virtual Cyber-Physical Testbed (VCPT) for transportation systems, featuring an automated level-crossing process. The proposed design improves network fidelity while keeping the platform lightweight. Key components include the Programmable Logic Controller (PLC), sensors, actuators, the Supervisory Control and Data Acquisition (SCADA) system, and OPNsense. Guided by NIST SP 800-115, penetration testing revealed several vulnerabilities and weaknesses that can be exploited and mitigated. Six attack scenarios—enumeration, brute force, remote code execution, ARP poisoning, DoS, and command injection—were executed, demonstrating realistic impacts on process safety and availability. Mitigation strategies using custom firewall and Intrusion Detection and Prevention System (IDPS) rules contributed to improving the security posture of VCPT. Educational evaluation with 41 cybersecurity students showed a 24% increase in average scores and a significant rise in top performers, further supported by positive feedback on engagement and realism. These results validate the VCPT as an effective platform for cybersecurity research, training, and experiential learning. Full article
(This article belongs to the Special Issue Trends in Information Systems and Security)
Show Figures

Figure 1

21 pages, 7464 KB  
Article
Enhanced CenterTrack for Robust Underwater Multi-Fish Tracking
by Jinfeng Wang, Mingrun Lin, Zhipeng Cheng, Renyou Yang and Qiong Huang
Animals 2026, 16(2), 156; https://doi.org/10.3390/ani16020156 - 6 Jan 2026
Viewed by 477
Abstract
Accurate monitoring of fish movement is essential for understanding behavioral patterns and group dynamics in aquaculture systems. Underwater scenes—characterized by dense populations, frequent occlusions, non-rigid body motion, and visually similar appearances—present substantial challenges for conventional multi-object tracking methods. We propose an improved CenterTrack-based [...] Read more.
Accurate monitoring of fish movement is essential for understanding behavioral patterns and group dynamics in aquaculture systems. Underwater scenes—characterized by dense populations, frequent occlusions, non-rigid body motion, and visually similar appearances—present substantial challenges for conventional multi-object tracking methods. We propose an improved CenterTrack-based framework tailored for multi-fish tracking in such environments. The framework integrates three complementary components: a multi-branch feature extractor that enhances discrimination among visually similar individuals, occlusion-aware output heads that estimate visibility states, and a three-stage cascade association module that improves trajectory continuity under abrupt motion and occlusions. To support systematic evaluation, we introduce a self-built dataset named Multi-Fish 25 (MF25), continuous video sequences of 75 individually annotated fish recorded in aquaculture tanks. The experimental results on MF25 show that the proposed method achieves an IDF1 of 82.5%, MOTA of 85.8%, and IDP of 84.7%. Although this study focuses on tracking performance rather than biological analysis, the produced high-quality trajectories form a solid basis for subsequent behavioral studies. The framework’s modular design and computational efficiency make it suitable for practical, online tracking in aquaculture scenarios. Full article
(This article belongs to the Special Issue Fish Cognition and Behaviour)
Show Figures

Figure 1

24 pages, 4306 KB  
Article
New Approach for Targeting Small-Molecule Candidates for Intrinsically Disordered Proteins
by Milan Senćanski
Methods Protoc. 2025, 8(6), 150; https://doi.org/10.3390/mps8060150 - 10 Dec 2025
Viewed by 1146
Abstract
Intrinsically disordered proteins (IDPs), such as the Alzheimer’s-associated tau protein, pose challenges for conventional drug discovery. This study applied the Informational Spectrum Method for Small Molecules (ISM-SM), a computational technique utilizing electron–ion interaction potentials (EIIPs), to identify potential tau modulators. Characteristic interaction frequencies [...] Read more.
Intrinsically disordered proteins (IDPs), such as the Alzheimer’s-associated tau protein, pose challenges for conventional drug discovery. This study applied the Informational Spectrum Method for Small Molecules (ISM-SM), a computational technique utilizing electron–ion interaction potentials (EIIPs), to identify potential tau modulators. Characteristic interaction frequencies derived from known ligands and conserved mammalian tau sequences were used to screen DrugBank and the COCONUT natural product database. The screening identified approved drugs previously reported to indirectly influence tau pathology or Alzheimer’s disease pathways, alongside natural products including Bryostatin-14, which is known to modulate kinases involved in tau phosphorylation. These findings suggest that ISM-SM can serve as an in silico tool to identify candidate small molecules, including repurposed drugs and natural products, with potential relevance to tau function and pathology, complementing other IDP drug discovery strategies. Full article
(This article belongs to the Special Issue Advanced Methods and Technologies in Drug Discovery)
Show Figures

Figure 1

41 pages, 6103 KB  
Article
H-RT-IDPS: A Hierarchical Real-Time Intrusion Detection and Prevention System for the Smart Internet of Vehicles via TinyML-Distilled CNN and Hybrid BiLSTM-XGBoost Models
by Ikram Hamdaoui, Chaymae Rami, Zakaria El Allali and Khalid El Makkaoui
Technologies 2025, 13(12), 572; https://doi.org/10.3390/technologies13120572 - 5 Dec 2025
Viewed by 1071
Abstract
The integration of connected vehicles into smart city infrastructure introduces critical cybersecurity challenges for the Internet of Vehicles (IoV), where resource-constrained vehicles and powerful roadside units (RSUs) must collaborate for secure communication. We propose H-RT-IDPS, a hierarchical real-time intrusion detection and prevention system [...] Read more.
The integration of connected vehicles into smart city infrastructure introduces critical cybersecurity challenges for the Internet of Vehicles (IoV), where resource-constrained vehicles and powerful roadside units (RSUs) must collaborate for secure communication. We propose H-RT-IDPS, a hierarchical real-time intrusion detection and prevention system targeting two high-priority IoV security pillars: availability (traffic overload) and integrity/authenticity (spoofing), with spoofing evaluated across multiple subclasses (GAS, RPM, SPEED, and steering wheel). In the offline phase, deep learning and hybrid models were benchmarked on the vehicular CAN bus dataset CICIoV2024, with the BiLSTM-XGBoost hybrid chosen for its balance between accuracy and inference speed. Real-time deployment uses a TinyML-distilled CNN on vehicles for ultra-lightweight, low-latency detection, while RSU-level BiLSTM-XGBoost performs a deeper temporal analysis. A Kafka–Spark Streaming pipeline supports localized classification, prevention, and dashboard-based monitoring. In baseline, stealth, and coordinated modes, the evaluation achieved accuracy, precision, recall, and F1-scores all above 97%. The mean end-to-end inference latency was 148.67 ms, and the resource usage was stable. The framework remains robust in both high-traffic and low-frequency attack scenarios, enhancing operator situational awareness through real-time visualizations. These results demonstrate a scalable, explainable, and operator-focused IDPS well suited for securing SC-IoV deployments against evolving threats. Full article
(This article belongs to the Special Issue Research on Security and Privacy of Data and Networks)
Show Figures

Figure 1

20 pages, 3345 KB  
Article
Secure Fog Computing for Remote Health Monitoring with Data Prioritisation and AI-Based Anomaly Detection
by Kiran Fahd, Sazia Parvin, Antony Di Serio and Sitalakshmi Venkatraman
Sensors 2025, 25(23), 7329; https://doi.org/10.3390/s25237329 - 2 Dec 2025
Viewed by 845
Abstract
Smart remote health monitoring requires time-critical medical data of patients from IoT-enabled cyber–physical systems (CPSs) to be securely transmitted and analysed in real time for early interventions and personalised patient care. Existing cloud architectures are insufficient for smart health systems due to their [...] Read more.
Smart remote health monitoring requires time-critical medical data of patients from IoT-enabled cyber–physical systems (CPSs) to be securely transmitted and analysed in real time for early interventions and personalised patient care. Existing cloud architectures are insufficient for smart health systems due to their inherent issues with latency, bandwidth, and privacy. Fog architectures using data storage closer to edge devices introduce challenges in data management, security, and privacy for effective monitoring of a patient’s sensitive and critical health data. These gaps found in the literature form the main research focus of this study. As an initial modest step to advance research further, we propose an innovative fog-based framework which is the first of its kind to integrate secure communication with intelligent data prioritisation (IDP) integrated into an AI-based enhanced Random Forest anomaly and threat detection model. Our experimental study to validate our model involves a simulated smart healthcare scenario with synthesised health data streams from distributed wearable devices. Features such as heart rate, SpO2, and breathing rate are dynamically prioritised using AI strategies and rule-based thresholds so that urgent health anomalies are transmitted securely in real time to support clinicians and medical experts for personalised early interventions. We establish a successful proof-of-concept implementation of our framework by achieving high predictive performance measures with an initial high score of 93.5% accuracy, 90.8% precision, 88.7% recall, and 89.7% F1-score. Full article
Show Figures

Figure 1

18 pages, 466 KB  
Article
Unpacking Post-Traumatic Stress Disorder and Mental Health in Internally Displaced Persons: A Mediation-Moderation Model of Psychological Capital and Perceived Social Support
by Adane Kefale Melese
Int. J. Environ. Res. Public Health 2025, 22(12), 1788; https://doi.org/10.3390/ijerph22121788 - 26 Nov 2025
Viewed by 1307
Abstract
Internally displaced persons (IDPs) face severe physical, emotional, and social challenges due to conflict, climate change, and other crises. Ethiopia has the highest number of IDPs in Africa, primarily due to ethnic conflicts and climate-related disasters, placing them at a high risk for [...] Read more.
Internally displaced persons (IDPs) face severe physical, emotional, and social challenges due to conflict, climate change, and other crises. Ethiopia has the highest number of IDPs in Africa, primarily due to ethnic conflicts and climate-related disasters, placing them at a high risk for post-traumatic stress disorder (PTSD) and psychological distress (anxiety, emotional well-being, and depression, referred to as mental health (MH)). This study examines PTSD’s direct predictive role on IDPs’ (MH) in Debre Berhan Town, Ethiopia, the mediating role of psychological capital (PsyCap), and the moderating role of perceived social support (PSS). It also explores the interaction between PSS and PsyCap in the PTSD and MH relationship. A sample of 273 IDPs (129 females, 144 males) was selected using simple random sampling from a total population of 19,349 IDPs. Data were collected using validated instruments, including the PTSD Checklist-Civilian Version (PCL-C), PsyCap, PSS, and the General Health Questionnaire (GHQ). A structural equation modeling (SEM) analysis revealed that PTSD significantly and negatively predicts the MH of IDPs. Additionally, PsyCap positively influences their mental well-being and partially mediates the relationship between PTSD and depressive symptoms. Furthermore, PSS moderates the PTSD and MH relationship, reducing its negative impact. The finding concludes that despite PTSD directly predicting the MH of IDPs, PsyCap helps mitigate these effects. Key components of PsyCap, including hope, resilience, self-efficacy, and optimism, buffer the adverse effects of PTSD on MH. IDPs with stronger psychological resources are less likely to experience psychological distress. PSS further weakens PTSD’s negative impact, as individuals with higher PSS are less likely to suffer from trauma-related distress or depression after displacement. This study highlights the importance of PsyCap in enhancing the mental well-being of IDPs. Future research should expand on these findings and explore the integration of PsyCap-based interventions into IDP mental health programs. Strengthening social support can also provide vital support in helping IDPs cope with trauma and improve their overall psychological health. Full article
Show Figures

Figure 1

19 pages, 3546 KB  
Article
Molecular Dynamics Study of α-Synuclein Domain Deletion Mutant Monomers
by Noriyo Onishi, Nicodemo Mazzaferro, Špela Kunstelj, Daisy A. Alvarado, Anna M. Muller and Frank X. Vázquez
Biomolecules 2025, 15(11), 1577; https://doi.org/10.3390/biom15111577 - 10 Nov 2025
Cited by 1 | Viewed by 866
Abstract
Aggregates of misfolded α-synuclein proteins are key markers of Parkinson’s disease. The protein α-synuclein (aSyn) is an intrinsically disordered protein (IDP) and therefore lacks a single stable 3D structure, instead sampling multiple conformations in solution. It is primarily located in presynaptic terminals and [...] Read more.
Aggregates of misfolded α-synuclein proteins are key markers of Parkinson’s disease. The protein α-synuclein (aSyn) is an intrinsically disordered protein (IDP) and therefore lacks a single stable 3D structure, instead sampling multiple conformations in solution. It is primarily located in presynaptic terminals and is thought to help regulate synaptic vesicle trafficking and neurotransmitter release. ASyn proteins have three domains: an N-terminal domain, a hydrophobic non-amyloid-β component (NAC) core implicated in aggregation, and a proline-rich C-terminal domain. Asyn proteins with truncated C-terminal domains are known to be prone to aggregation and suggest that understanding domain–domain interactions in aSyn monomers could help elucidate the role of the flanking domains in modulating protein structure. To this end, we used Gaussian accelerated molecular dynamics (GAMD) to simulate wild-type (WT), N-terminal truncated (ΔN), C-terminal truncated (ΔC), and isolated NAC domain (isoNAC) aSyn protein variants. Using clustering and contact analysis, we found that removal of the N-terminal domain led to increased contacts between NAC and C-terminal domains and the formation of inter-domain β-sheets. Removal of either flanking domain also resulted in increased compactness of every domain. We also found that the contacts between flanking domains in the WT protein result in an electrostatic potential (ESP) that may lead to favorable interactions with anionic lipid membranes. Removal of the C-terminal domain disrupts the ESP in a way that could result in over-stabilized protein–membrane interactions. These results suggest that cooperation between the flanking domains may modulate the protein’s structure in a way that helps maintain elongation and creates an ESP that may aid favorable interactions with the membrane. Full article
(This article belongs to the Section Molecular Biophysics: Structure, Dynamics, and Function)
Show Figures

Figure 1

23 pages, 1110 KB  
Article
Human Security Under Siege: Displacement, Deprivation and Agony Among Internally Displaced Persons (IDPs) in Tigray, Ethiopia
by Gebrehawerya Haile Hadgu, Hafte Gebreselassie Gebrihet, Mhrtay Adisalem Tikue, Tewelde Gebresslase Haile, Girmay Tadele Assefa and Gebregewergis Alemu Gebremedhn
Soc. Sci. 2025, 14(11), 653; https://doi.org/10.3390/socsci14110653 - 6 Nov 2025
Viewed by 2273
Abstract
This study examines the multidimensional human security challenges faced by internally displaced persons (IDPs) in Adigrat City, Tigray, Ethiopia, in the context of conflict-induced displacement. Guided by the Human Security Framework, the analysis addresses threats across economic, food, health, environmental, personal, community, and [...] Read more.
This study examines the multidimensional human security challenges faced by internally displaced persons (IDPs) in Adigrat City, Tigray, Ethiopia, in the context of conflict-induced displacement. Guided by the Human Security Framework, the analysis addresses threats across economic, food, health, environmental, personal, community, and political domains. Data were collected through a cross-sectional survey using structured questionnaires administered to a stratified sample of 349 IDPs, and analysed through descriptive statistics. Content analysis was conducted on interviews from 17 respondents who were selected purposefully, and secondary data was collected to understand IDPs’ experiences and institutional responses. The findings reveal severe and overlapping forms of deprivation: IDPs reside in overcrowded and inadequate shelters, face chronic food insecurity, and lack access to clean water, healthcare, and education. These conditions are compounded by psychosocial distress, including trauma, anxiety, and the erosion of social cohesion. The study finds that governmental and international responses remain limited, poorly coordinated, and insufficiently responsive to the complex needs of displaced people. While the voluntary, safe, and dignified return of displaced populations to their areas of origin should remain the ultimate objective, this outcome could be realized by fully implementing the Pretoria Cessation of Hostilities Agreement. Responses including improved shelter, essential services access, livelihood recovery, and mental health support systems are essential to address urgent needs. Full article
Show Figures

Figure 1

12 pages, 1866 KB  
Article
Biomechanical Effects of Cement Augmentation and Prophylactic Vertebroplasty on Adjacent Segment Stability in Multilevel Spinal Fusion: A Finite Element Analysis
by Jae Won Shin, Dae Hyeon Kim, Ki Mun Kang, Tae Hyun Park, Yu Rim Oh, Sung Jae Lee and Byung Ho Lee
Bioengineering 2025, 12(10), 1071; https://doi.org/10.3390/bioengineering12101071 - 1 Oct 2025
Cited by 1 | Viewed by 1393
Abstract
Background: Multilevel posterior spinal fusion to T10 often encounters complications such as screw loosening and proximal junctional kyphosis. Cement augmentation or prophylactic vertebroplasty is used to prevent these, but their biomechanical effects remain unclear. Methods: A validated finite element model (T8–pelvis) from CT [...] Read more.
Background: Multilevel posterior spinal fusion to T10 often encounters complications such as screw loosening and proximal junctional kyphosis. Cement augmentation or prophylactic vertebroplasty is used to prevent these, but their biomechanical effects remain unclear. Methods: A validated finite element model (T8–pelvis) from CT data of a 57-year-old male was tested in five configurations: fusion only, fusion with cement augmentation at T10, T10–T11, T10–T11 plus T9 vertebroplasty, and T10–T11 plus T8–T9 vertebroplasty. Range of motion (ROM), intradiscal pressure (IDP), posterior ligament/facet stress, and cement–bone interface stresses were analyzed under a 400 N follower load and 10 N·m moments. Results: Cement augmentation at the upper instrumented vertebra produced <5% changes in ROM, IDP, and posterior ligament/facet stresses compared with fusion only, indicating preserved stability. Prophylactic vertebroplasty redistributed stress proximally, with elevated cement–bone interface stresses localized at T9 when vertebroplasty was performed at a single adjacent level (T9) and distributed to both T8 and T9 when performed at two adjacent levels (T8–9)—with T9 stressed mainly during lateral bending and extension, and T8 during flexion and lateral bending. Conclusion: Cement augmentation alone did not compromise adjacent-level biomechanics, but prophylactic vertebroplasty created abnormal stress concentrations at adjacent interfaces, potentially increasing fracture risk. These findings highlight the need for careful patient selection and further studies in osteoporotic populations. Full article
Show Figures

Figure 1

Back to TopTop