Sign in to use this feature.

Years

Between: -

Subjects

remove_circle_outline
remove_circle_outline
remove_circle_outline
remove_circle_outline
remove_circle_outline
remove_circle_outline
remove_circle_outline

Journals

Article Types

Countries / Regions

Search Results (12)

Search Parameters:
Keywords = HSBR

Order results
Result details
Results per page
Select all
Export citation of selected articles as:
15 pages, 3256 KB  
Article
Preparation and Properties of Reprocessable Hydrogenated Styrene–Butadiene Rubber
by Tianxi Li, Chaolun Pan and Dongmei Yue
Polymers 2026, 18(6), 688; https://doi.org/10.3390/polym18060688 - 12 Mar 2026
Viewed by 396
Abstract
Styrene–butadiene rubber (SBR) is one of the most widely used synthetic elastomers. However, the unsaturated C=C bonds in its backbone limit its long-term stability under harsh service conditions. Furthermore, conventional sulfur vulcanization forms irreversible covalent crosslinked networks, which fundamentally hinder the recyclability and [...] Read more.
Styrene–butadiene rubber (SBR) is one of the most widely used synthetic elastomers. However, the unsaturated C=C bonds in its backbone limit its long-term stability under harsh service conditions. Furthermore, conventional sulfur vulcanization forms irreversible covalent crosslinked networks, which fundamentally hinder the recyclability and reprocessability of SBR, resulting in resource waste and environmental burdens. In this work, SBR was used as the starting material. Through epoxidation and subsequent hydrogenation, followed by an epoxy ring-opening reaction, 3-aminophenylboronic acid (m-APBA) was introduced into the polymer chains, constructing a novel hydrogenated SBR with reversible dynamic cross-linking characteristics (HESBR-APBA). The resulting material exhibits superior mechanical properties compared to conventional hydrogenated SBR (HSBR) without any external additives. Notably, the HE7.4SBR-0.75APBA sample achieved a tensile strength of up to 14 MPa and retained over 95% of its original strength after multiple reprocessing cycles, demonstrating excellent mechanical stability and reprocessability. This study provides an effective molecular design strategy for balancing high mechanical performance and recyclability in hydrogenated SBR and offers new insights for developing reprocessable rubber material. Full article
(This article belongs to the Section Polymer Processing and Engineering)
Show Figures

Graphical abstract

22 pages, 2998 KB  
Review
Recent Advances in AlN-Based Acoustic Wave Resonators
by Hao Lu, Xiaorun Hao, Ling Yang, Bin Hou, Meng Zhang, Mei Wu, Jie Dong and Xiaohua Ma
Micromachines 2025, 16(2), 205; https://doi.org/10.3390/mi16020205 - 11 Feb 2025
Cited by 18 | Viewed by 6197
Abstract
AlN-based bulk acoustic wave (BAW) filters have emerged as crucial components in 5G communication due to their high frequency, wide bandwidth, high power capacity, and compact size. This paper mainly reviews the basic principles and recent research advances of AlN-based BAW resonators, which [...] Read more.
AlN-based bulk acoustic wave (BAW) filters have emerged as crucial components in 5G communication due to their high frequency, wide bandwidth, high power capacity, and compact size. This paper mainly reviews the basic principles and recent research advances of AlN-based BAW resonators, which are the backbone of BAW filters. We begin by summarizing the epitaxial growth of single-crystal, polycrystalline, and doped AlN films, with a focus on single-crystal AlN and ScAlN, which are currently the most popular. The discussion then extends to the structure and fabrication of BAW resonators, including the basic solidly mounted resonator (SMR) and the film bulk acoustic resonator (FBAR). The new Xtended Bulk Acoustic Wave (XBAW) technology is highlighted as an effective method to enhance filter bandwidth. Hybrid SAW/BAW resonators (HSBRs) combine the benefits of BAW and SAW resonators to significantly reduce temperature drift. The paper further explores the application of BAW resonators in ladder and lattice BAW filters, highlighting advancements in their design improvements. The frequency-reconfigurable BAW filter, which broadens the filter’s application range, has garnered substantial attention from researchers. Additionally, optimization algorithms for designing AlN-based BAW filters are outlined to reduce design time and improve efficiency. This work aims to serve as a reference for future research on AlN-based BAW filters and to provide insight for similar device studies. Full article
(This article belongs to the Special Issue RF and Power Electronic Devices and Applications)
Show Figures

Figure 1

11 pages, 1445 KB  
Article
Hydrogenation of Styrene-Butadiene Rubber Catalyzed by Tris(triisopropylphosphine)hydridorhodium(I)
by Minghui Liu, Wenxin Li, Chengzhuo Zheng, Fei Yuan, Hui Wang, Chengdong Wang, Qinmin Pan and Garry L. Rempel
Catalysts 2024, 14(2), 143; https://doi.org/10.3390/catal14020143 - 13 Feb 2024
Cited by 3 | Viewed by 3960
Abstract
The hydrogenation of C=C bonds in styrene−butadiene rubber (SBR), catalyzed by RhH(P(i-Pr)3)3, was experimentally investigated. Tris(triisopropylphosphine)hydridorhodium(I), RhH(P(i-Pr)3)3 (i-Pr=CH(CH3)2) was prepared by using rhodium chloride (RhCl3), tetrahydrofuran (THF), triisopropylphosphine (P(i-Pr)3 [...] Read more.
The hydrogenation of C=C bonds in styrene−butadiene rubber (SBR), catalyzed by RhH(P(i-Pr)3)3, was experimentally investigated. Tris(triisopropylphosphine)hydridorhodium(I), RhH(P(i-Pr)3)3 (i-Pr=CH(CH3)2) was prepared by using rhodium chloride (RhCl3), tetrahydrofuran (THF), triisopropylphosphine (P(i-Pr)3) and a sodium mercury amalgam. The effect of catalyst/polymer ratio, reaction temperature, and hydrogen pressure on the reactivity of the catalytic system has been studied. The optimal experimental condition was obtained. The hydrogenated styrene-butadiene rubber (HSBR) was analyzed by FT-IR and 1H-NMR. In the absence of any additives, the conversion of C=C bonds in SBR could easily reach 95% in a short period of time, and no obvious cross-linking was observed. The dynamic properties of SBR did not change after the hydrogenation of the unsaturated C=C bonds. A preliminary reaction mechanism was also proposed. This study provides a new route, not only for the chemical modification of SBR by using a rhodium complex but also for the hydrogenation of other unsaturated polymers, such as diene-based rubbers. Full article
(This article belongs to the Section Catalysis in Organic and Polymer Chemistry)
Show Figures

Graphical abstract

17 pages, 2263 KB  
Article
Beef Cattle Grazing Native Grasslands May Follow Three Different Supplement Response Patterns
by Fiorella Cazzuli, Martín Durante, Andrés Hirigoyen, Javier Sánchez, Pablo Rovira, Virginia Beretta, Alvaro Simeone, Martín Jaurena, Jean Victor Savian, Dennis Poppi, Fabio Montossi, Ximena Lagomarsino, Santiago Luzardo, Gustavo Brito, José Ignacio Velazco, Fernando Alfredo Lattanzi and Carolina Bremm
Grasses 2023, 2(3), 168-184; https://doi.org/10.3390/grasses2030014 - 7 Aug 2023
Cited by 2 | Viewed by 2846
Abstract
Previous studies on winter supplementation of growing cattle grazing stockpiled native Campos grasslands suggest that forage allowance (FA), herbage mass, and weather conditions before and during the supplementation period could all affect supplement feed efficiency (SFE)—that is, the difference or change in average [...] Read more.
Previous studies on winter supplementation of growing cattle grazing stockpiled native Campos grasslands suggest that forage allowance (FA), herbage mass, and weather conditions before and during the supplementation period could all affect supplement feed efficiency (SFE)—that is, the difference or change in average daily gain (ADG) between supplemented (S) and control (C) animals (ADGchng, kg) per unit (kg) of supplement dry matter (DM) intake. In this study, we analyse data from fifteen collated winter supplementation trials carried out in Uruguay between 2004 and 2018. The working hypotheses of this research paper were: (i) that average substitution rates are positive, and (ii) that ADGchng is not constant throughout the supplementation period and that its variation may be attributed to sward, animal or weather variables. There were two main objectives: (i) to estimate the average supplement substitution rate (sSbR, kg forage, f, dry matter, DM intake reduction: kg supplement DM intake) and potential herbage intake substitution rate (hSbR, kg fDM intake reduction: kg fDM intake of control animals), and its association with SFE, and, (ii) to assess the existence of different phases and supplementation response patterns and its association with other relevant variables. Estimated substitution rates were always positive (sSbR = 0.3–1.1 kg/kg; hSbR = 0.1–0.3 kg/kg) and were negatively and moderately associated with SFE. Supplementation proved to be a dynamic process where three possible supplementation responses over the supplementation period were identified (linear, quadratic and Weibull). While linear patterns did not appear distinctly associated with any particular set of variables, quadratic models were mostly associated with herbage biomass and substitution rates, whereas Weibull models were the clearest in their association with frosts. Regardless of the response pattern, at the beginning of the trials it was the animals’ body weight and supplement quality that most influenced supplement response, whereas towards the end, supplementation intake, supplemented animals’ ADG and forage quality played a more relevant role. The estimated parameters and response patterns are expected to be used as inputs in decision support systems for livestock farmers in the future. Full article
Show Figures

Figure 1

14 pages, 3027 KB  
Article
Development of a Novel Hydrodynamic Sequencing Batch Reactor for Landfill Leachate Treatment by Shortcut Biological Nitrogen Removal
by Minkyung Kim, Kyung Mo, Moonil Kim and Fenghao Cui
Processes 2023, 11(7), 1868; https://doi.org/10.3390/pr11071868 - 21 Jun 2023
Cited by 4 | Viewed by 1824
Abstract
This study introduced an alternative shortcut biological nitrogen removal (SBNR) process for landfill leachate treatment by developing a novel hydrodynamic sequencing batch reactor (H-SBR). The reactor could enhance the oxygen transfer rate (OTR) and nitrite accumulation ratio (NAR) by modifying internal hydrodynamic turbulence [...] Read more.
This study introduced an alternative shortcut biological nitrogen removal (SBNR) process for landfill leachate treatment by developing a novel hydrodynamic sequencing batch reactor (H-SBR). The reactor could enhance the oxygen transfer rate (OTR) and nitrite accumulation ratio (NAR) by modifying internal hydrodynamic turbulence intensity. The average chemical oxygen demand (COD) and total nitrogen (TN) concentrations introduced into the reactor were 660 and 250 mg L−1, respectively, and the average removal efficiencies were 93% (COD) and 96% (TN). The effect of geometric parameters on oxygen transfer was estimated by performing a hydrodynamic model and a nonlinear least square analysis. After correcting the constants (α and β) of mass transfer coefficients (KLa) to values of 0.7361 and 1.2639, the model data fit the experiment well with an R-squared value of 0.99. The OTR improved by up to 30%, and hence, increased the NAR by up to 20% with a reduction of about 0.5 kg N kW−1 for power efficiency. The H-SBR development is innovative because the oxygen transfer efficiency was improved by the hydrodynamic modification of internal turbulence intensity, although not by mechanical equipment or chemical supplements. For the SBNR process, the modification of the reactor configuration for OTR enhancement could significantly improve nitrogen removal efficiency with successful nitrite accumulation. In addition to landfill leachate treatment, the H-SBR process can be employed in the treatment of low C/N ratio wastewaters. Full article
(This article belongs to the Special Issue Advances in Industrial Wastewater Treatment and Reclamation)
Show Figures

Graphical abstract

26 pages, 13046 KB  
Article
Augmented Therapeutic Potential of EC-Synthetic Retinoids in Caco-2 Cancer Cells Using an In Vitro Approach
by Mohamed R. Abdelaal, Esraa Ibrahim, Mohamed R. Elnagar, Sameh H. Soror and Hesham Haffez
Int. J. Mol. Sci. 2022, 23(16), 9442; https://doi.org/10.3390/ijms23169442 - 21 Aug 2022
Cited by 20 | Viewed by 4360
Abstract
Colorectal cancer therapies have produced promising clinical responses, but tumor cells rapidly develop resistance to these drugs. It has been previously shown that EC19 and EC23, two EC-synthetic retinoids, have single-agent preclinical anticancer activity in colorectal carcinoma. Here, isobologram analysis revealed that they [...] Read more.
Colorectal cancer therapies have produced promising clinical responses, but tumor cells rapidly develop resistance to these drugs. It has been previously shown that EC19 and EC23, two EC-synthetic retinoids, have single-agent preclinical anticancer activity in colorectal carcinoma. Here, isobologram analysis revealed that they have synergistic cytotoxicity with retinoic acid receptor (RAR) isoform-selective agonistic retinoids such as AC261066 (RARβ2-selective agonist) and CD437 (RARγ-selective agonist) in Caco-2 cells. This synergism was confirmed by calculating the combination index (lower than 1) and the dose reduction index (higher than 1). Flow cytometry of combinatorial IC50 (the concentration causing 50% cell death) confirmed the cell cycle arrest at the SubG0-G1 phase with potentiated apoptotic and necrotic effects. The reported synergistic anticancer activity can be attributed to their ability to reduce the expression of ATP-binding cassette (ABC) transporters including P-glycoprotein (P-gp1), breast cancer resistance protein (BCRP) and multi-drug resistance-associated protein-1 (MRP1) and Heat Shock Protein 70 (Hsp70). This adds up to the apoptosis-promoting activity of EC19 and EC23, as shown by the increased Caspase-3/7 activities and DNA fragmentation leading to DNA double-strand breaks. This study sheds the light on the possible use of EC-synthetic retinoids in the rescue of multi-drug resistance in colorectal cancer using Caco-2 as a model and suggests new promising combinations between different synthetic retinoids. The current in vitro results pave the way for future studies on these compounds as possible cures for colorectal carcinoma. Full article
(This article belongs to the Special Issue Cancer Targeted Small Molecules)
Show Figures

Figure 1

29 pages, 5304 KB  
Article
Revealing the Potential Application of EC-Synthetic Retinoid Analogues in Anticancer Therapy
by Mohamed R. Abdelaal, Sameh H. Soror, Mohamed R. Elnagar and Hesham Haffez
Molecules 2021, 26(2), 506; https://doi.org/10.3390/molecules26020506 - 19 Jan 2021
Cited by 20 | Viewed by 5426
Abstract
(1) Background and Aim: All-trans retinoic acid (ATRA) induces differentiation and inhibits growth of many cancer cells. However, resistance develops rapidly prompting the urgent need for new synthetic and potent derivatives. EC19 and EC23 are two synthetic retinoids with potent stem cell [...] Read more.
(1) Background and Aim: All-trans retinoic acid (ATRA) induces differentiation and inhibits growth of many cancer cells. However, resistance develops rapidly prompting the urgent need for new synthetic and potent derivatives. EC19 and EC23 are two synthetic retinoids with potent stem cell neuro-differentiation activity. Here, these compounds were screened for their in vitro antiproliferative and cytotoxic activity using an array of different cancer cell lines. (2) Methods: MTT (3-(4,5-dimethylthiazol-2-yl)-2,5-diphenyltetrazolium bromide) assay, AV/PI (annexin V-fluorescein isothiocyanate (FITC)/propidium iodide (PI)), cell cycle analysis, immunocytochemistry, gene expression analysis, Western blotting, measurement of glutamate and total antioxidant concentrations were recruited. (3) Results: HepG2, Caco-2, and MCF-7 were the most sensitive cell lines; HepG2 (ATRA; 36.2, EC19; 42.2 and EC23; 0.74 µM), Caco-2 (ATRA; 58.0, EC19; 10.8 and EC23; 14.7 µM) and MCF-7 (ATRA; 99.0, EC19; 9.4 and EC23; 5.56 µM). Caco-2 cells were selected for further biochemical investigations. Isobologram analysis revealed the combined synergistic effects with 5-fluorouracil with substantial reduction in IC50. All retinoids induced apoptosis but EC19 had higher potency, with significant cell cycle arrest at subG0-G1, -S and G2/M phases, than ATRA and EC23. Moreover, EC19 reduced cellular metastasis in a transwell invasion assay due to overexpression of E-cadherin, retinoic acid-induced 2 (RAI2) and Werner (WRN) genes. (4) Conclusion: The present study suggests that EC-synthetic retinoids, particularly EC19, can be effective, alone or in combinations, for potential anticancer activity to colorectal cancer. Further in vivo studies are recommended to pave the way for clinical applications. Full article
(This article belongs to the Section Chemical Biology)
Show Figures

Graphical abstract

22 pages, 2171 KB  
Article
Simultaneous Stripping of Ammonia from Leachate: Experimental Insights and Key Microbial Players
by Łukasz Jurczyk, Justyna Koc-Jurczyk and Adam Masłoń
Water 2020, 12(9), 2494; https://doi.org/10.3390/w12092494 - 7 Sep 2020
Cited by 15 | Viewed by 3627
Abstract
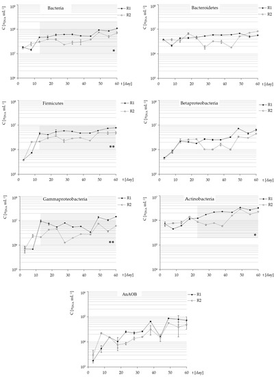
Air stripping is commonly used to remove the ammonia in multistage treatment systems for municipal landfill leachate (LFL). This paper proposes a novel approach combining the process of stripping with biological removal of ammonia, based on simultaneous nitrification and denitrification (SND) in a [...] Read more.
Air stripping is commonly used to remove the ammonia in multistage treatment systems for municipal landfill leachate (LFL). This paper proposes a novel approach combining the process of stripping with biological removal of ammonia, based on simultaneous nitrification and denitrification (SND) in a single hybrid sequencing batch reactor (HSBR). To avoid the accumulation of free ammonia (N-FAN), the shallow aeration system was used for the treatment of raw LFL with N-TAN level of 1520 mg/L and pH 9.24. The mean N-FAN removal efficiency of 69% with the reaction rate of 55 mg L−1 h−1 and mean ammonium (N-NH4+) removal efficiency of 84% with the reaction rate of 44 mg L−1 h−1 were achieved within a month in such an HSBR (R1). The comparative HSBR (R2), with conventional aeration system maintaining the same concentration of dissolved oxygen (DO ≤ 1 mg/L), was removing only trace amounts of N-FAN and 48% of N-NH4+. The quantitative analysis of 16S rRNA genes indicated that the number of total bacteria, Actinobacteria, Bacteroidetes, Firmicutes, and Beta- and Gammaproteobacteria increased during the operation of both HSBRs, but was always higher in R1. Moreover, the bacterial community shift was observed since the beginning of the experiment; the relative abundance of Firmicutes, and Beta- and Gammaproteobacteria increased by 5.01, 3.25 and 9.67% respectively, whilst the abundance of Bacteroidetes and Actinobacteria decreased by 15.59 and 0.95%. All of the surveyed bacteria groups, except Gammaproteobacteria, correlated significantly negatively (p < 0.001) with the concentrations of N-NH4+ in the outflows from R1. The results allow us to suppose that simultaneous stripping and SND in a single reactor could be a promising, cost-effective and easy-to-operate solution for LFL treatment. Full article
(This article belongs to the Section Wastewater Treatment and Reuse)
Show Figures

Figure 1

19 pages, 3251 KB  
Article
A Hyperspectral Bidirectional Reflectance Model for Land Surface
by Qiguang Yang, Xu Liu and Wan Wu
Sensors 2020, 20(16), 4456; https://doi.org/10.3390/s20164456 - 10 Aug 2020
Cited by 14 | Viewed by 6338
Abstract
A hyperspectral bidirectional reflectance (HSBR) model for land surface has been developed in this work. The HSBR model includes a very diverse land surface bidirectional reflectance distribution function (BRDF) database with ~40,000 spectra. The BRDF database is saved as Ross-Li parameters, which can [...] Read more.
A hyperspectral bidirectional reflectance (HSBR) model for land surface has been developed in this work. The HSBR model includes a very diverse land surface bidirectional reflectance distribution function (BRDF) database with ~40,000 spectra. The BRDF database is saved as Ross-Li parameters, which can generate hyperspectral reflectance spectra at different sensor and solar observation geometries. The HSBR model also provides an improved method for generating hyperspectral surface reflectance using multiband satellite measurements. It is shown that the land surface reflective spectrum can be easily simulated using BRDF parameters or reflectance at few preselected wavelengths. The HSBR model is validated using the U.S. Geological Survey (USGS) vegetation database and the AVIRIS reflectance product. The simulated reflective spectra fit the measurements very well with standard deviations normally smaller than 0.01 in the unit of reflectivity. The HSBR model could be used to significantly improve the quality of the reflectance products of satellite and airborne sensors. It also plays important role for intercalibration among space-based instruments and other land surface related applications. Full article
(This article belongs to the Special Issue Hyperspectral Remote Sensing of the Earth)
Show Figures

Figure 1

23 pages, 3002 KB  
Article
1H-Imidazole-2,5-Dicarboxamides as NS4A Peptidomimetics: Identification of a New Approach to Inhibit HCV-NS3 Protease
by Abdelsattar M. Omar, Mahmoud A. Elfaky, Stefan T. Arold, Sameh H. Soror, Maan T. Khayat, Hani Z. Asfour, Faida H. Bamane and Moustafa E. El-Araby
Biomolecules 2020, 10(3), 479; https://doi.org/10.3390/biom10030479 - 21 Mar 2020
Cited by 5 | Viewed by 5670
Abstract
The nonstructural (NS) protein NS3/4A protease is a critical factor for hepatitis C virus (HCV) maturation that requires activation by NS4A. Synthetic peptide mutants of NS4A were found to inhibit NS3 function. The bridging from peptide inhibitors to heterocyclic peptidomimetics of NS4A has [...] Read more.
The nonstructural (NS) protein NS3/4A protease is a critical factor for hepatitis C virus (HCV) maturation that requires activation by NS4A. Synthetic peptide mutants of NS4A were found to inhibit NS3 function. The bridging from peptide inhibitors to heterocyclic peptidomimetics of NS4A has not been considered in the literature and, therefore, we decided to explore this strategy for developing a new class of NS3 inhibitors. In this report, a structure-based design approach was used to convert the bound form of NS4A into 1H-imidazole-2,5-dicarboxamide derivatives as first generation peptidomimetics. This scaffold mimics the buried amino acid sequence Ile-25` to Arg-28` at the core of NS4A21`–33` needed to activate the NS3 protease. Some of the synthesized compounds (Coded MOC) were able to compete with and displace NS4A21`–33` for binding to NS3. For instance, N5-(4-guanidinobutyl)-N2-(n-hexyl)-1H-imidazole-2,5-dicarboxamide (MOC-24) inhibited the binding of NS4A21`–33` with a competition half maximal inhibitory concentration (IC50) of 1.9 ± 0.12 µM in a fluorescence anisotropy assay and stabilized the denaturation of NS3 by increasing the aggregation temperature (40% compared to NS4A21`–33`). MOC-24 also inhibited NS3 protease activity in a fluorometric assay. Molecular dynamics simulations were conducted to rationalize the differences in structure–activity relationship (SAR) between the active MOC-24 and the inactive MOC-26. Our data show that MOC compounds are possibly the first examples of NS4A peptidomimetics that have demonstrated promising activities against NS3 proteins. Full article
Show Figures

Graphical abstract

12 pages, 2879 KB  
Article
Photoinduced Metal-Free Surface Initiated ATRP from Hollow Spheres Surface
by Chun-Na Yan, Qian Liu, Lin Xu, Li-Ping Bai, Li-Ping Wang and Guang Li
Polymers 2019, 11(4), 599; https://doi.org/10.3390/polym11040599 - 2 Apr 2019
Cited by 17 | Viewed by 5414
Abstract
Well-defined amphiphilic diblock copolymer poly (methyl methacrylate)-b-poly (N-isopropylacrylamide) grafted hollow spheres (HS-g-PMMA-b-PNIPAM) hybrid materials were synthesized via metal-free surface-initiated atom transfer radical polymerization (SI-ATRP). The ATRP initiators α-Bromoisobutyryl bromide (BIBB) were attached onto hollow sphere surfaces through [...] Read more.
Well-defined amphiphilic diblock copolymer poly (methyl methacrylate)-b-poly (N-isopropylacrylamide) grafted hollow spheres (HS-g-PMMA-b-PNIPAM) hybrid materials were synthesized via metal-free surface-initiated atom transfer radical polymerization (SI-ATRP). The ATRP initiators α-Bromoisobutyryl bromide (BIBB) were attached onto hollow sphere surfaces through esterification of acyl bromide groups and hydroxyl groups. The synthetic ATRP initiators (HS-Br) were further used for the metal-free SI-ATRP of methyl methacrylate (MMA) and N-isopropyl acrylamide (NIPAM) using 10-phenylphenothiazine (PTH) as the photocatalyst. The molecular weight of the polymers, structure, morphology, and thermal stability of the hybrid materials were characterized via gel permeation chromatography (GPC), X-ray photoelectron spectroscopy (XPS), 1H-nuclear magnetic resonance spectroscopy (1H NMR), transmission electron microscopy (TEM), Fourier transform infrared spectroscopy (FT-IR), and thermogravimetric analysis (TGA), respectively. The results indicated that the ATRP initiator had been immobilized onto HS surfaces successfully followed by metal-free SI-ATRP of MMA and NIPAM, the Br atom had located at the end of the main PMMA polymer chain, and the polymerization process possessed the characteristic of controlled/“living” polymerization. The thermal stability of the hybrid materials was increased significantly compared to the pure PMMA and PNIPAM. Full article
Show Figures

Graphical abstract

33 pages, 772 KB  
Review
Advances in Mathematical Modeling of Gas-Phase Olefin Polymerization
by Mohd Farid Atan, Mohd Azlan Hussain, Mohammad Reza Abbasi, Mohammad Jakir Hossain Khan and Muhamad Fazly Abdul Patah
Processes 2019, 7(2), 67; https://doi.org/10.3390/pr7020067 - 30 Jan 2019
Cited by 21 | Viewed by 7489
Abstract
Mathematical modeling of olefin polymerization processes has advanced significantly, driven by factors such as the need for higher-quality end products and more environmentally-friendly processes. The modeling studies have had a wide scope, from reactant and catalyst characterization and polymer synthesis to model validation [...] Read more.
Mathematical modeling of olefin polymerization processes has advanced significantly, driven by factors such as the need for higher-quality end products and more environmentally-friendly processes. The modeling studies have had a wide scope, from reactant and catalyst characterization and polymer synthesis to model validation with plant data. This article reviews mathematical models developed for olefin polymerization processes. Coordination and free-radical mechanisms occurring in different types of reactors, such as fluidized bed reactor (FBR), horizontal-stirred-bed reactor (HSBR), vertical-stirred-bed reactor (VSBR), and tubular reactor are reviewed. A guideline for the development of mathematical models of gas-phase olefin polymerization processes is presented. Full article
(This article belongs to the Special Issue Computational Methods for Polymers)
Show Figures

Figure 1

Back to TopTop