Simultaneous Stripping of Ammonia from Leachate: Experimental Insights and Key Microbial Players
Abstract
1. Introduction
2. Materials and Methods
2.1. Leachate Sampling
2.2. Experimental Set-Up
2.3. Physio-Chemical Analyzes
2.4. DNA Sampling and Analyses
2.5. Statistical Analysis
3. Results and Discussion
3.1. Removal of Organic and Nitrogen Compounds
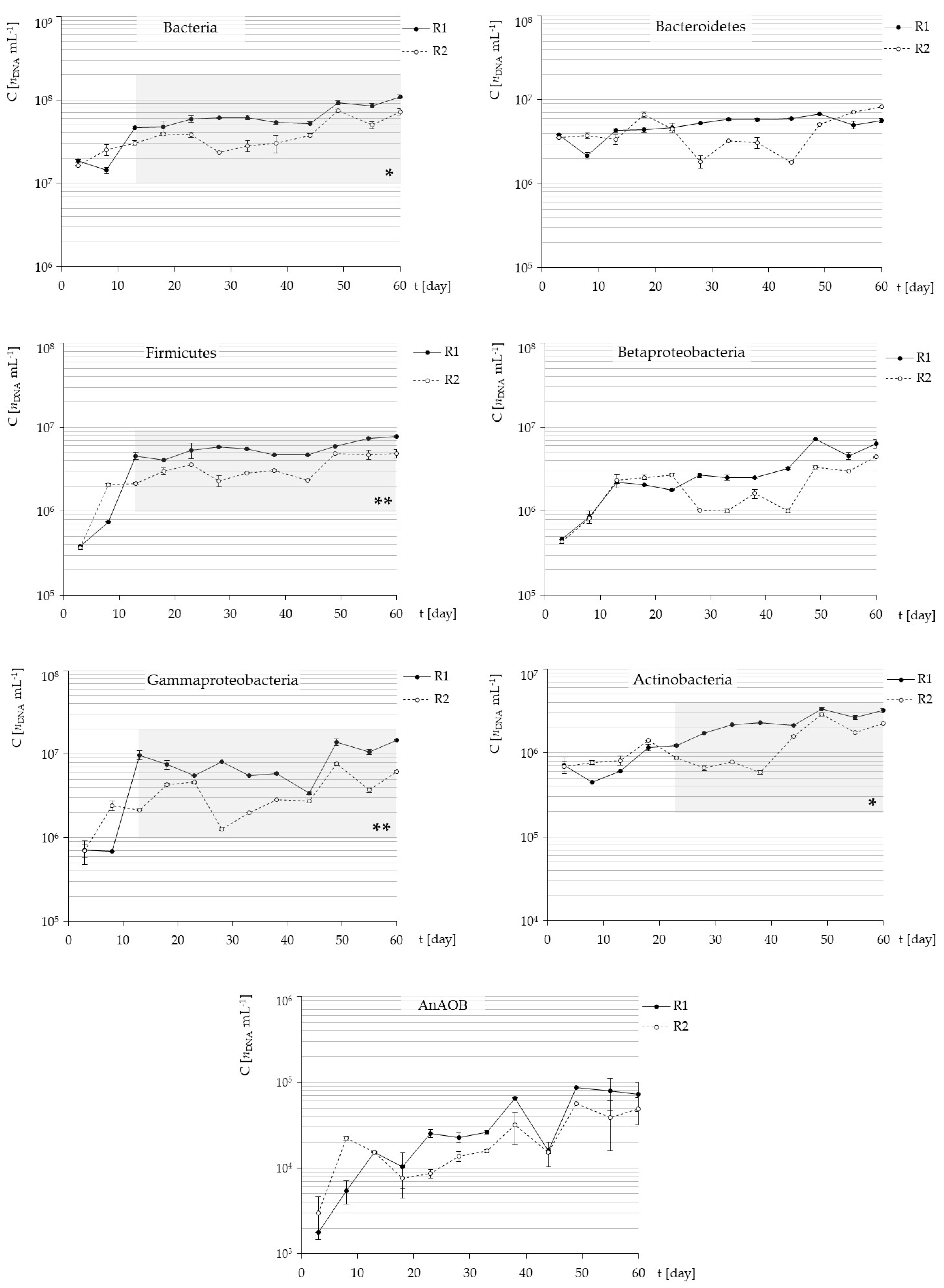
3.2. Quantitative Dynamics of Bacterial Community
3.3. Simultaneous Ammonia Stripping Supporting Biological Ammonium Removal in a Single Reactor
4. Conclusions
Author Contributions
Funding
Conflicts of Interest
Abbreviations
| AnAOB | anaerobic ammonium oxidizers |
| AOB | ammonia-oxidizing bacteria |
| BOD5 | biological oxygen demand in five days |
| COD | chemical oxygen demand |
| DGGE | denaturing gradient electrophoresis |
| DO | dissolved oxygen |
| HRT | hydraulic retention time |
| HS | humic substances |
| HSBR | hybrid sequencing batch reactor |
| LFL | landfill leachate |
| M-W | Mann–Whitney–Wlicoxon statistics |
| MLSS | mixed liquor suspended solids |
| N-FAN | free ammonium nitrogen |
| N-NK | Kjeldahl nitrogen |
| N-Norg | organic nitrogen |
| N-NH4 | ammonia nitrogen |
| N-FNA | free nitrous acid |
| N-NO2 | nitrite nitrogen |
| N-NO3 | nitrate nitrogen |
| N-TAN | total ammonia nitrogen |
| NGC | new generation sequencing |
| NLR | nitrogen loading rate |
| NOB | nitrite-oxidizing bacteria |
| OLR | organic loading rate |
| PCR | polymerase chain reaction |
| PN | part nitrification |
| PU | polyurethane |
| qPCR | quantitative polymerase chain reaction |
| SND | simultaneous nitrification and denitrification |
| SSCP | single-strand conformation polymorphism |
| TGGE | temperature gradient electrophoresis |
| TSS | total suspended solids |
| VFA | volatile facid acid |
| VSS | volatile suspended solids |
References
- Cossu, R. Technical evolution of landfilling. Waste Manag. 2010, 30, 947–948. [Google Scholar] [CrossRef] [PubMed]
- Zhang, Q.-Q.; Tian, B.-H.; Zhang, X.; Ghulam, A.; Fang, C.-R.; He, R. Investigation on characteristics of leachate and concentrated leachate in three landfill leachate treatment plants. Waste Manag. 2013, 33, 2277–2286. [Google Scholar] [CrossRef] [PubMed]
- Jurczyk, Ł.; Koc-Jurczyk, J. Quantitative dynamics of ammonia-oxidizers during biological stabilization of municipal landfill leachate pretreated by Fenton’s reagent at neutral pH. Waste Manag. 2017, 63, 310–326. [Google Scholar] [CrossRef] [PubMed]
- Guo, J.; Zhang, L.; Chen, W.; Ma, F.; Liu, H.; Tian, Y. The regulation and control strategies of a sequencing batch reactor for simultaneous nitrification and denitrification at different temperatures. Bioresour. Technol. 2013, 133, 59–67. [Google Scholar] [CrossRef] [PubMed]
- Guin, J.P.; Bhardwaj, Y.; Varshney, L. Efficient degradation of butylparaben by gamma radiolysis. Appl. Radiat. Isot. 2017, 122, 21–27. [Google Scholar] [CrossRef] [PubMed]
- Moreira, F.C.; Soler, J.; Fonseca, A.; Saraiva, I.; Boaventura, R.A.R.; Brillas, E.; Vilar, V.J. Electrochemical advanced oxidation processes for sanitary landfill leachate remediation: Evaluation of operational variables. Appl. Catal. B Environ. 2016, 182, 161–171. [Google Scholar] [CrossRef]
- Gong, Y.; Wang, S.; Xu, H.; Guo, Y.; Tang, X. Partial oxidation of landfill leachate in supercritical water: Optimization by response surface methodology. Waste Manag. 2015, 43, 343–352. [Google Scholar] [CrossRef]
- Oloibiri, V.; Ufomba, I.; Chys, M.; Audenaert, W.T.; Demeestere, K.; Van Hulle, S.W. A comparative study on the efficiency of ozonation and coagulation–flocculation as pretreatment to activated carbon adsorption of biologically stabilized landfill leachate. Waste Manag. 2015, 43, 335–342. [Google Scholar] [CrossRef]
- Ferraz, F.; Povinelli, J.; Vieira, E.M. Ammonia removal from landfill leachate by air stripping and absorption. Environ. Technol. 2013, 34, 2317–2326. [Google Scholar] [CrossRef]
- Kurniawan, T.; Lo, W.; Chan, G.Y.S. Physico-chemical treatments for removal of recalcitrant contaminants from landfill leachate. J. Hazard. Mater. 2006, 129, 80–100. [Google Scholar] [CrossRef]
- Müller, G.T.; Giacobbo, A.; Chiaramonte, E.A.D.S.; Rodrigues, M.; Meneguzzi, Á.; Bernardes, A.M. The effect of sanitary landfill leachate aging on the biological treatment and assessment of photoelectrooxidation as a pre-treatment process. Waste Manag. 2015, 36, 177–183. [Google Scholar] [CrossRef]
- Peng, Y.; Zhang, L.; Zeng, W.; Zheng, S.; Mino, T.; Satoh, H. Organic removal by denitritation and methanogenesis and nitrogen removal by nitritation from landfill leachate. Water Res. 2008, 42, 883–892. [Google Scholar] [CrossRef] [PubMed]
- Slack, R.J.; Gronow, J.; Voulvoulis, N. Household hazardous waste in municipal landfills: Contaminants in leachate. Sci. Total. Environ. 2005, 337, 119–137. [Google Scholar] [CrossRef] [PubMed]
- El-Fadel, M.; Bou-Zeid, E.; Chahine, W.; Alayli, B. Temporal variation of leachate quality from pre-sorted and baled municipal solid waste with high organic and moisture content. Waste Manag. 2002, 22, 269–282. [Google Scholar] [CrossRef]
- Jetten, M.; Horn, S.J.; Van Loosdrecht, M.C.M. Towards a more sustainable municipal wastewater treatment system. Water Sci. Technol. 1997, 35, 171–180. [Google Scholar] [CrossRef]
- Schmidt, I.; Sliekers, O.; Schmid, M.; Bock, E.; Fuerst, J.A.; Kuenen, J.G.; Jetten, M.S.M.; Strous, M. New concepts of microbial treatment processes for the nitrogen removal in wastewater. FEMS Microbiol. Rev. 2003, 27, 481–492. [Google Scholar] [CrossRef]
- Kadam, P.C.; Boone, D.R. Influence of pH on Ammonia Accumulation and Toxicity in Halophilic, Methylotrophic Methanogens. Appl. Environ. Microbiol. 1996, 62, 4486–4492. [Google Scholar] [CrossRef]
- Liu, Y.; Ngo, H.H.; Guo, W.; Peng, L.; Wang, D.; Ni, B.-J. The roles of free ammonia (FA) in biological wastewater treatment processes: A review. Environ. Int. 2019, 123, 10–19. [Google Scholar] [CrossRef]
- Kinidi, L.; Tan, I.A.W.; Wahab, N.B.A.; Bin Tamrin, K.F.; Hipolito, C.N.; Salleh, S.F. Recent Development in Ammonia Stripping Process for Industrial Wastewater Treatment. Int. J. Chem. Eng. 2018, 2018, 1–14. [Google Scholar] [CrossRef]
- Huang, J.-C.; Shang, C. Air Stripping. In Advanced Physicochemical Treatment Processes; Springer Science and Business Media LLC: Berlin, Germnay, 2006; pp. 47–79. [Google Scholar]
- Anthonisen, A.C.; Loehr, R.C.; Prakasam, T.B.; Srinath, E.G. Inhibition of nitrification by ammonia and nitrous acid. J. Water Pollut. Control. Fed. 1976, 48, 835–852. [Google Scholar]
- Koc-Jurczyk, J.; Jurczyk, Ł. Biological Treatment of Landfill Leachate at Elevated Temperature in the Presence of Polyurethane Foam of Various Porosity. CLEAN-Soil Air Water 2016, 45, 1500264. [Google Scholar] [CrossRef]
- Schneider, C.A.; Rasband, W.S.; Eliceiri, K.W. NIH Image to ImageJ: 25 years of image analysis. Nat. Methods 2012, 9, 671–675. [Google Scholar] [CrossRef] [PubMed]
- Xu, Z.-Y.; Zeng, G.-M.; Yang, Z.; Xiao, Y.; Cao, M.; Sun, H.-S.; Ji, L.-L.; Chen, Y. Biological treatment of landfill leachate with the integration of partial nitrification, anaerobic ammonium oxidation and heterotrophic denitrification. Bioresour. Technol. 2010, 101, 79–86. [Google Scholar] [CrossRef]
- Klimiuk, E.; Lossow, K.; Bulińska, M. Kinetyka Reakcji i Modelowanie Reaktorów Biochemicznych w Procesach Oczyszczania Ścieków; ART: Olsztyn, Poland, 1995. [Google Scholar]
- PN/90/C-04540.01. Water and Wastewater—Research pH, Acidity and Alkalinity—Determination of pH of Water and Wastewater for Electrolytic Conductivity of 10 microsiemens / cm and above Electrometric Method; Polish Committee for Standardization: Warsaw, Poland, 1990. [Google Scholar]
- PN-EN 27888:1999. Water Quality—Determination of the Electrical Conductivity; Polish Committee for Standardization: Warsaw, Poland, 1999. [Google Scholar]
- PN-ISO 6060:2006. Water Quality—Determination of Chemical Oxygen Demand; Polish Committee for Standardization: Warsaw, Poland, 2006. [Google Scholar]
- DIN EN 1899-1/EN 1899-2. Determination of Biochemical Oxygen Demand after n Days (BODn); DIN Standards Committee Textiles and Textile Machinery: Berlin, Germany, 1998. [Google Scholar]
- PN-EN 25663:2001. Water Quality—Determination of Kjeldahl Nitrogen—Method after Mineralization with Selenium; Polish Committee for Standardization: Warsaw, Poland, 2001. [Google Scholar]
- PN-ISO 5664:2002. Water Quality—Determination of Ammonium Nitrogen—Method Distillation Titration; Polish Committee for Standardization: Warsaw, Poland, 2002. [Google Scholar]
- EN 26777/1993. Water Quality—Determination of Nitrite—molecular Adsorption Spectrometric Method; Polish Committee for Standardization: Warsaw, Poland, 1993. [Google Scholar]
- PN-82/C-04576/08. Water and Wastewater—Tests for Nitrogen Compounds—Determination of Nitric Colorimetric Method; Polish Committee for Standardization: Warsaw, Poland, 1982. [Google Scholar]
- Xie, B.; Xiong, S.; Liang, S.; Hu, C.; Zhang, Z.; Lu, J. Performance and bacterial compositions of aged refuse reactors treating mature landfill leachate. Bioresour. Technol. 2012, 103, 71–77. [Google Scholar] [CrossRef] [PubMed]
- Xie, Z.; Wang, Z.; Wang, Q.; Zhu, C.; Wu, Z. An anaerobic dynamic membrane bioreactor (AnDMBR) for landfill leachate treatment: Performance and microbial community identification. Bioresour. Technol. 2014, 161, 29–39. [Google Scholar] [CrossRef] [PubMed]
- Xie, B.; Lv, Z.; Hu, C.; Yang, X.; Li, X. Nitrogen removal through different pathways in an aged refuse bioreactor treating mature landfill leachate. Appl. Microbiol. Biotechnol. 2012, 97, 9225–9234. [Google Scholar] [CrossRef]
- Silva, T.F.; Vieira, E.; Lopes, A.R.; Nunes, O.C.; Fonseca, A.; Saraiva, I.; Boaventura, R.A.; Vilar, V.J. How the performance of a biological pre-oxidation step can affect a downstream photo-Fenton process on the remediation of mature landfill leachates: Assessment of kinetic parameters and characterization of the bacterial communities. Sep. Purif. Technol. 2017, 175, 274–286. [Google Scholar] [CrossRef]
- De Gregoris, T.B.; Aldred, N.; Clare, A.S.; Burgess, J.G. Improvement of phylum- and class-specific primers for real-time PCR quantification of bacterial taxa. J. Microbiol. Methods 2011, 86, 351–356. [Google Scholar] [CrossRef]
- Yang, Y.-W.; Chen, M.-K.; Yang, B.-Y.; Huang, X.-J.; Zhang, X.-R.; He, L.-Q.; Zhang, J.; Hua, Z.-C. Use of 16S rRNA Gene-Targeted Group-Specific Primers for Real-Time PCR Analysis of Predominant Bacteria in Mouse Feces. Appl. Environ. Microbiol. 2015, 81, 6749–6756. [Google Scholar] [CrossRef]
- Ni, B.-J.; Ruscalleda, M.; Smets, B. Evaluation on the microbial interactions of anaerobic ammonium oxidizers and heterotrophs in Anammox biofilm. Water Res. 2012, 46, 4645–4652. [Google Scholar] [CrossRef]
- Gel Analyzer 2010. Freeware 1D Gel Electrophoresis Image Analysis Software. Available online: http://www.gelanalyzer.com (accessed on 5 May 2012).
- Sun, W.; Yue, D.; Song, J.; Nie, Y. Adsorption removal of refractory organic matter in bio-treated municipal solid waste landfill leachate by anion exchange resins. Waste Manag. 2018, 81, 61–70. [Google Scholar] [CrossRef] [PubMed]
- Yang, Y.; Zhang, L.; Han, X.; Zhang, S.; Li, B.; Peng, Y. Determine the operational boundary of a pilot-scale single-stage partial nitritation/anammox system with granular sludge. Water Sci. Technol. 2016, 73, 2085–2092. [Google Scholar] [CrossRef]
- Akgul, D.; Aktan, C.K.; Yapsakli, K.; Mertoglu, B. Treatment of landfill leachate using UASB-MBR-SHARON–Anammox configuration. Biodegradation 2012, 24, 399–412. [Google Scholar] [CrossRef]
- Yusof, N.; Hassan, M.; Phang, L.; Tabatabaei, M.; Othman, M.R.; Mori, M.; Wakisaka, M.; Sakai, K.; Shirai, Y. Nitrification of ammonium-rich sanitary landfill leachate. Waste Manag. 2010, 30, 100–109. [Google Scholar] [CrossRef] [PubMed]
- Rhodes, P.C. Particle Technology, 2nd ed.; John Wiley & Sons: Chippenham, UK, 2008. [Google Scholar]
- Van Dongen, U.; Jetten, M.S.M.; Van Loosdrecht, M.C.M. The SHARON®-Anammox® process for treatment of ammonium rich wastewater. Water Sci. Technol. 2001, 44, 153–160. [Google Scholar] [CrossRef] [PubMed]
- Wang, X.; Han, J.; Chen, Z.; Jian, L.; Gu, X.; Lin, C.-J. Combined processes of two-stage Fenton-biological anaerobic filter–biological aerated filter for advanced treatment of landfill leachate. Waste Manag. 2012, 32, 2401–2405. [Google Scholar] [CrossRef] [PubMed]
- Gu, S.; Wang, S.; Yang, Q.; Yang, P.; Peng, Y. Startup partial nitrification at low temperature with a real-time control strategy based on blower frequency and pH. Bioresour. Technol. 2012, 112, 34–41. [Google Scholar] [CrossRef]
- Ramaswami, S.; Behrendt, J.; Kalyanasundaram, S.; Eggers, S.; Otterpohl, R. Experiences from an investigation on the potential of packed bed reactors for high rate nitrification of mature landfill leachates. J. Water Process. Eng. 2018, 22, 59–65. [Google Scholar] [CrossRef]
- Dechesne, A.; Musovic, S.; Palomo, A.; Diwan, V.; Smets, B. Underestimation of ammonia-oxidizing bacteria abundance by amplification bias in amoA-targeted qPCR. Microb. Biotechnol. 2016, 9, 519–524. [Google Scholar] [CrossRef]
- Peng, F.; Gao, Y.; Zhu, X.; Pang, Q.; Wang, L.; Xu, W.; Yu, J.; Gao, P.; Huang, J.; Cui, Y. Removal of High-Strength Ammonia Nitrogen in Biofilters: Nitrifying Bacterial Community Compositions and Their Effects on Nitrogen Transformation. Water 2020, 12, 712. [Google Scholar] [CrossRef]
- Díaz, A.I.; Oulego, P.; Laca, A.; González, J.M.; Díaz, M. Metagenomic Analysis of Bacterial Communities from a Nitrification–Denitrification Treatment of Landfill Leachates. CLEAN—Soil Air Water 2019, 47. [Google Scholar] [CrossRef]
- Fudala-Ksiazek, S.; Łuczkiewicz, A.; Fitobór, K.; Olańczuk-Neyman, K. Nitrogen removal via the nitrite pathway during wastewater co-treatment with ammonia-rich landfill leachates in a sequencing batch reactor. Environ. Sci. Pollut. Res. 2014, 21, 7307–7318. [Google Scholar] [CrossRef] [PubMed]
- Wei, D.; Du, B.; Xue, X.; Dai, P.; Zhang, J. Analysis of factors affecting the performance of partial nitrification in a sequencing batch reactor. Appl. Microbiol. Biotechnol. 2014, 98, 1863–1870. [Google Scholar] [CrossRef] [PubMed]
- Wang, L.-K.; Zeng, G.; Yang, Z.-H.; Luo, L.-L.; Xu, H.-Y.; Huang, J. Operation of partial nitrification to nitrite of landfill leachate and its performance with respect to different oxygen conditions. Biochem. Eng. J. 2014, 87, 62–68. [Google Scholar] [CrossRef]
- Liang, Z.; Liu, J.-X.; Li, J. Decomposition and mineralization of aquatic humic substances (AHS) in treating landfill leachate using the Anammox process. Chemosphere 2009, 74, 1315–1320. [Google Scholar] [CrossRef]
- Gabarró, J.; Amo, E.H.-D.; Gich, F.; Ruscalleda, M.; Balaguer, M.D.; Colprim, J. Nitrous oxide reduction genetic potential from the microbial community of an intermittently aerated partial nitritation SBR treating mature landfill leachate. Water Res. 2013, 47, 7066–7077. [Google Scholar] [CrossRef]
- Cheung, K.C.; Chu, L.M.; Wong, M.H. Ammonia stripping as a pretreatment for landfill leachate. Water Air Soil Pollut. 1997, 94, 209–221. [Google Scholar] [CrossRef]
- Smaoui, Y.; Bouzid, J.; Sayadi, S. Combination of air stripping and biological processes for landfill leachate treatment. Environ. Eng. Res. 2019, 25, 80–87. [Google Scholar] [CrossRef]
- Gonzalez, N.F.; Pedizzi, C.; Lema, J.M.; Carballa, M. Air-side ammonia stripping coupled to anaerobic digestion indirectly impacts anaerobic microbiome. Microb. Biotechnol. 2019, 12, 1403–1416. [Google Scholar] [CrossRef]
- Yao, Y.; Yu, L.; Ghogare, R.; Dunsmoor, A.; Davaritouchaee, M.; Chen, S. Simultaneous ammonia stripping and anaerobic digestion for efficient thermophilic conversion of dairy manure at high solids concentration. Energy 2017, 141, 179–188. [Google Scholar] [CrossRef]
- Drewnowski, J.; Remiszewska-Skwarek, A.; Duda, S.; Łagód, G. Aeration Process in Bioreactors as the Main Energy Consumer in a Wastewater Treatment Plant. Review of Solutions and Methods of Process Optimization. Processes 2019, 7, 311. [Google Scholar] [CrossRef]
- Fernandez-Álvarez, G.; Pérez, J.I.P.; Gómez, M. Optimization of Reactor Depth in Membrane Bioreactors for Municipal Wastewater Treatment. J. Environ. Eng. 2014, 140, 04014019. [Google Scholar] [CrossRef]
- Matsunaga, N.; Kano, K.; Maki, Y.; Dobashi, T. Estimation of dissolved carbon dioxide stripping in a large bioreactor using model medium. J. Biosci. Bioeng. 2009, 107, 419–424. [Google Scholar] [CrossRef] [PubMed]
- Hellinga, C.; Schellen, A.A.J.C.; Mulder, J.W.; van Loosdrecht, M.C.M.; Heijnen, J.J. The SHARON Process: An Innovative Method for Nitrogen Removal From Ammonium-Rich Waste Water. Water Sci. Technol. 1998, 37, 135–142. [Google Scholar] [CrossRef]
- Lim, J.-W.; Seng, C.-E.; Lim, P.-E.; Ng, S.-L.; Sujari, A.-N.A. Nitrogen removal in moving bed sequencing batch reactor using polyurethane foam cubes of various sizes as carrier materials. Bioresour. Technol. 2011, 102, 9876–9883. [Google Scholar] [CrossRef]
- Mulder, J.W.; van Kempen, R. N-removal by SHARON. Water Qual. Int. 1997, 2, 30–31. [Google Scholar]
- Al-Ahmady, K.K. Analysis of Oxygen Transfer Performance on Sub-surface Aeration Systems. Int. J. Environ. Res. Public Health 2006, 3, 301–308. [Google Scholar] [CrossRef]
- Bakker, A.; Van den Akker, H.E.A. Gas-Liquid Contacting with Axial Flow Impellers. Chem. Eng. Res. Design 1994, 72, 573–582. [Google Scholar]
- Stevenson, P. Gas-Liquid Mass Transfer in Foam. In Foam Engineering: Fundamentals and Applications, 1st ed.; Stevenson, A., Ed.; John Wiley & Sons, Ltd.: Hoboken, NJ, USA, 2012; pp. 331–353. ISBN 9781119954620. [Google Scholar]






| Parameters | Units | |
|---|---|---|
| Material | Reticulated (Open Cell) | Polyurethane (Polyether) |
| Porosity (linear) declared by manufacturer | ppi | 30 |
| Size of one component (cuboid) | cm | 3 × 3 × 10 |
| Number of cuboids in bed | - | 6 |
| Cuboids geometrical area and volume | cm2/cm3 | 828/540 |
| Measured mean strut length | Mm | 1.278 (0.366) |
| kA (pore opening coefficient) | - | 0.272 |
| Estimated single cell volume | cm3 | 0.015 |
| Estimated single cell surface area | cm2 | 0.088 |
| Est. total inner surface area | cm2 | 3168 |
| Est. specific surface area | cm2/cm3 | 5.867 |
| Est. total outer surface area | cm2 | 400.575 |
| Est. total area of biomass carriers | cm2 | 3568.575 |
| Parameter | Method | Description, Device and Reference to Analytical Standard |
|---|---|---|
| pH | Potentiometric | Elmetron CPC-401, [26] |
| κ | Conductometric | Elmetron CPC-401, [27] |
| DO | Membrane electrode | Elmetron CX 105 |
| COD | Colourimetric. | Oxidation of organic substances with K2Cr2O7 and H2SO4 in the presence of Ag2SO4 as a catalyst, at 172 °C, [28] |
| BOD5 | Respirometric | Measurement of negative pressure at constant temperature of 20 °C and dark in presence of N-allythiourea as nitrification inhibitor, OxiTop®, [29] |
| N-NK | Colourimetric. | Oxidation of nitrogen containing compounds in concentrated H2SO4 in presence of K2SO4/HgO catalyst, [30] |
| N-NH4 | Colourimetric. | Distillation of sample in weakly alkaline conditions and titration with Tashiro’s indicator, VELP, [31] |
| N-NO2 | Spectrophotometric | Absorbance for λ = 520 nm with sulfanilic acid and N-(1-Naphthyl)ethylenediamine dihydrochloride, Shimadzu, [32] |
| N-NO3 | Spectrophotometric | Absorbance for λ = 410 nm with phenol disulfonic acid, Shimadzu, [33] |
| TSS | Weighing | Residuals after 2 h at 105 °C, Radwag |
| VSS | Weighing | Residuals after incineration for 2 h, at 550 °C, Radwag |
| SBR 1 | SBR 2 | |||||
|---|---|---|---|---|---|---|
| N-TAN | N-FAN | N-NH4 | N-TAN | N-FAN | N-NH4 | |
| C0 [mg L−1] | 440 | 275 | 160 | 150 | 205 | 45 |
| k [h−1] | 0.1 | 0.2 | 0.13 | 0.48 | 1.4 | 0.22 |
| r [mg L−1 h−1] | 44 | 55 | 20.8 | 72 | 287 | 9.9 |
| conformity factor | 0.0286 | 0.0446 | 0.022 | 0.077 | 0.0446 | 0.0138 |
| correlation coefficient | 0.876 | 0.872 | 0.88 | 0.679 | 0.484 | 0.75 |
| Bacteria | Bacteroidetes | Firmicutes | Gammaproteobacteria | Betaproteobacteria | Actinobacteria | AnAOB | ||||
|---|---|---|---|---|---|---|---|---|---|---|
| 3rd d | R1 | nDNA mL−1 | 1.85 × 107 | 3.85 × 106 | 3.82 × 105 | 7.08 × 105 | 4.68 × 105 | 7.20 × 105 | 1.80 × 103 | |
| R2 | 1.63 × 107 | 3.54 × 106 | 3.68 × 105 | 6.98 × 105 | 4.34 × 105 | 6.94 × 105 | 3.01 × 103 | |||
| 33rd d | R1 | 6.15 × 107 | 5.86 × 106 | 5.50 × 106 | 5.58 × 106 | 2.50 × 106 | 2.18 × 106 | 2.63 × 104 | ||
| R2 | 2.81 × 107 | 3.27 × 106 | 2.83 × 106 | 2.01 × 106 | 1.01 × 106 | 7.81 × 105 | 1.58 × 104 | |||
| 60th d | R1 | 1.09 × 108 | 5.69 × 106 | 7.72 × 106 | 1.47 × 107 | 6.31 × 106 | 3.21 × 106 | 7.24 × 104 | ||
| R2 | 7.18 × 107 | 8.21 × 106 | 4.87 × 106 | 6.25 × 106 | 4.42 × 106 | 2.25 × 106 | 4.89 × 104 | |||
| N-TAN | R1 | p = | 0.024 | <0.001 | 0.024 | 0.217 | 0.003 | 0.001 | 0.008 | |
| R = | −0.767 | −0.769 | −0.88 | −0.6 | −0.65 | −0.755 | −0.636 | |||
| R2 | p = | <0.001 | 0.248 | <0.001 | 0.006 | 0.007 | 0.013 | 0.042 | ||
| R = | −0.679 | −0.383 | −0.816 | −0.649 | −0.593 | −0.591 | −0.535 | |||
| N-FAN | R 1 | p = | 0.042 | 0.002 | 0.045 | 0.391 | 0.022 | 0.004 | 0.008 | |
| R = | −0.721 | −0.806 | −0.856 | −0.563 | −0.573 | −0.706 | −0.591 | |||
| R2 | p = | 0.366 | 0.863 | 0.443 | 0.265 | 0.795 | 0.897 | 0.633 | ||
| R = | −0.036 | −0.047 | −0.256 | −0.234 | −0.126 | 0.062 | 0.152 | |||
| N-NH4 | R 1 | p = | <0.001 | <0.001 | <0.001 | 0.020 | <0.001 | <0.001 | <0.001 | |
| R = | −0.902 | −0.832 | −0.881 | −0.657 | −0.944 | −0.944 | −0.888 | |||
| R2 | p = | 0.018 | 0.366 | 0.002 | 0.0512 | 0.015 | 0.04 | 0.08 | ||
| R = | −0.664 | −0.287 | −0.797 | −0.573 | −0.678 | −0.587 | −0.517 | |||
© 2020 by the authors. Licensee MDPI, Basel, Switzerland. This article is an open access article distributed under the terms and conditions of the Creative Commons Attribution (CC BY) license (http://creativecommons.org/licenses/by/4.0/).
Share and Cite
Jurczyk, Ł.; Koc-Jurczyk, J.; Masłoń, A. Simultaneous Stripping of Ammonia from Leachate: Experimental Insights and Key Microbial Players. Water 2020, 12, 2494. https://doi.org/10.3390/w12092494
Jurczyk Ł, Koc-Jurczyk J, Masłoń A. Simultaneous Stripping of Ammonia from Leachate: Experimental Insights and Key Microbial Players. Water. 2020; 12(9):2494. https://doi.org/10.3390/w12092494
Chicago/Turabian StyleJurczyk, Łukasz, Justyna Koc-Jurczyk, and Adam Masłoń. 2020. "Simultaneous Stripping of Ammonia from Leachate: Experimental Insights and Key Microbial Players" Water 12, no. 9: 2494. https://doi.org/10.3390/w12092494
APA StyleJurczyk, Ł., Koc-Jurczyk, J., & Masłoń, A. (2020). Simultaneous Stripping of Ammonia from Leachate: Experimental Insights and Key Microbial Players. Water, 12(9), 2494. https://doi.org/10.3390/w12092494

