Hydrogenation of Styrene-Butadiene Rubber Catalyzed by Tris(triisopropylphosphine)hydridorhodium(I)
Abstract
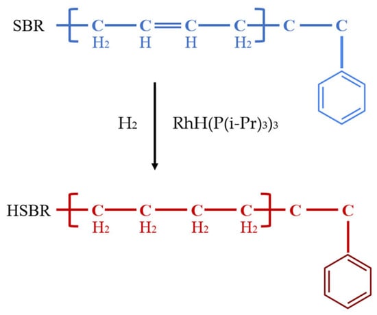
1. Introduction
2. Results and Discussion
2.1. Analysis of HSBR (Hydrogenated SBR)
2.2. Activity Testing
2.3. Preliminary Study of Proposed Mechanism
3. Materials and Methods
3.1. Materials
3.2. Apparatus
3.3. Hydrogenation Procedure
3.4. Determination of the Degree of Hydrogenation
3.5. Synthetic Procedure of RhH(P(i-Pr)3)3
3.6. Cross-Linking or Gel Formation Determination
4. Conclusions
Author Contributions
Funding
Data Availability Statement
Acknowledgments
Conflicts of Interest
References
- Yin, C.; Zhang, Q.; Gu, J.; Zhang, J.; Shi, Y.; Wang, Y. Cure Characteristics and Mechanical Properties of Styrene-Butadiene Rubber/Hydrogenated Acrylonitrile-Butadiene Rubber/Silica Composites. J. Polym. Res. 2011, 18, 2487–2494. [Google Scholar]
- Diez, J.; Bellas, R.; Lopez, J.; Santoro, G.; Marco, C.; Ellis, G. Study of the Crosslink Density, Dynamo-Mechanical Behaviour and Microstructure of Hot and Cold SBR Vulcanizates. J. Polym. Res. 2010, 17, 99–107. [Google Scholar] [CrossRef]
- Tsiang, R.C.C.; Yang, W.S.; Tsai, M.D. Hydrogenation of Polystyrene-b-polybutadiene-b-polystyrene Block Copolymers using a Metallocene/n-Butyllithium Catalyst—The Role of n-Butyllithium. Polymer 1999, 40, 6351–6360. [Google Scholar] [CrossRef]
- Xie, H.Q.; Li, X.D.; Liu, X.Y.; Guo, J.S. Hydrogenation and Neutralization of Carboxylic Styrene-Butadiene Latex to Form Thermoplastic Elastomer with Excellent Thermooxidation Resistance. J. Appl. Polym. Sci. 2002, 83, 1375–1384. [Google Scholar] [CrossRef]
- He, Y.; Daniels, E.S.; Klein, A.; El Aasser, M.S. Hydrogenation of Styrene-Butadiene Rubber (SBR) Latexes. J. Appl. Polym. Sci. 1997, 64, 2047–2056. [Google Scholar] [CrossRef]
- Jamanek, D.; Wieczorek, Z.; Leszczynska, I.; Skupinski, W. Hydrogenation of C=C Bonds in Styrene-butadiene-styrene Block Copolymers in the Presence of Monocyclopentadienyl Titanium (IV) Catalytic Systems. Polimery 2011, 56, 289–293. [Google Scholar] [CrossRef]
- Watanabe, T.; Kinoshita, T.; Shirai, F. Medical Adhesive Tape or Sheet, and First-Aid Adhesive Tape. US Patent 6805961, 19 October 2004. [Google Scholar]
- Sato, S.; Kubo, H. Resin Composition for Wire and Cable Covering Material. US Patent 7524894, 28 April 2009. [Google Scholar]
- Gonzalez-Aguirre, P.; Medina-Torres, L.; Schrauwen, C.; Fonteix, C.; Pla, F.; Herrera-Najera, R. Morphology and Rheological Behavior of Maltene-polymer Blends. I. Effect of Partial Hydrogenation of Poly(styrene-block-butadiene-block-styrene-block)-Type Copolymers. J. Appl. Polym. Sci. 2009, 112, 1330–1344. [Google Scholar] [CrossRef]
- Yan, J.; Cao, G. Advances in the Catalytic Hydrogenation and Properties of Unsaturated Polymers. Macromolecules 2023, 56, 3774–3808. [Google Scholar] [CrossRef]
- Feng, M.; Luo, Z.; Chen, R.; Yi, S.; Lu, H.; Cao, G.; Lu, C.; Feng, S.; Li, C. Palladium supported on carbon nanotube modified nickel foam as a structured catalyst for polystyrene hydrogenation. Appl. Catal. A Gen. 2019, 570, 329–338. [Google Scholar] [CrossRef]
- Shaya, J.; Correia, G.; Heinrich, B.; Ribierre, J.; Polychronopoulou, K.; Mager Loïc Méry, S. Functionalization of Biphenylcarbazole (CBP) with Siloxane-Hybrid Chains for Solvent-Free Liquid Materials. Molecules 2022, 27, 89. [Google Scholar] [CrossRef] [PubMed]
- Barrios, V.A.E.; Petit, A.; Pla, F.; Najera, R.H. Selective Hydrogenation of Butadiene-Styrene Copolymers using a Ziegler-Natta Type Catalyst 2. Thermal Properties. Eur. Polym. J. 2003, 39, 1151–1167. [Google Scholar] [CrossRef]
- Guo, Y.; Yang, J.; Zhuang, J.; Sun, H.; Zhang, H.; Yue, Y.; Zhu, H.; Bao, X.; Yuan, P. Selectively Catalytic Hydrogenation of Styrene-Butadiene Rubber over Pd/g-C3N4 Catalyst. Appl. Catal. A Gen. 2020, 589, 117312. [Google Scholar] [CrossRef]
- Menossi, M.; Ciolino, A.; Quinzani, L.; Zabaloy, M.; Milanesio, J. Hydrogenation of Polybutadiene at High Pressure. Ind. Eng. Chem. Res. 2022, 61, 236–248. [Google Scholar] [CrossRef]
- Von Holleben, M.; Silva, S.; Mauler, R. Hydrogenation of Styrene-Butadiene Rubber by Hydrogen-Transfer from Limonene. Polym. Bull. 1994, 33, 203–208. [Google Scholar] [CrossRef]
- Dath, J. Polymer Hydrogenation Process. US Patent 7265184, 4 September 2007. [Google Scholar]
- Liu, M. Hydrogenation of Nitrile and Olefinic Groups in Butadiene Rubbers; University of Waterloo: Waterloo, ON, Canada, 2014. [Google Scholar]
- Ko, Y. Process for Removal of Metal Catalyst from Polymer Selectively Hydrogenated using Organotitanium Compound. US Patent 6465609, 15 October 2002. [Google Scholar]
- Wilkey, J.D. Removal of Hydrogenation Catalyst from Polymer Solutions by Treatment with Ammonia and Carbon Dioxide. US Patent 6207795, 27 March 2001. [Google Scholar]
- Yoshida, T.; Okano, T.; Otsuka, S. Activation of Water-Molecules. 4. Generation of Dihydrogen from Water by Rhodium(I) Hydrido and Rhodium(0) Carbonyl-Compounds. J. Am. Chem. Soc. 1980, 102, 5966–5967. [Google Scholar] [CrossRef]
- Yoshida, T.; Okano, T.; Ueda, Y.; Otsuka, S. Activation of the Water Molecule.5. Rhodium(I) Hydride Catalyzed Water Gas Shift Reaction—Identification of the Elemental Reactions Comprising the Catalytic Cycles. J. Am. Chem. Soc. 1981, 103, 3411–3422. [Google Scholar] [CrossRef]
- Morton, D.; Colehamilton, D.J.; Utuk, I.D.; Panequesosa, M.; Lopezpoveda, M. Hydrogen-Production from Ethanol Catalyzed by Group-8 Metal-Complexes. J. Chem. Soc. Dalton Trans. 1989, 3, 489–495. [Google Scholar] [CrossRef]
- Delgado-Lieta, E.; Luke, M.A.; Jones, R.F.; Cole-Hamilton, D.J. The Photochemical Decomposition of Alcohols Catalysed by Tri(isopropyl)phosphine Complexes of Rhodium(I). Polyhedron 1982, 1, 839–840. [Google Scholar] [CrossRef]
- Khoee, S.; Sorkhi, M. Microstructure Analysis of Brominated Styrene-Butadiene Rubber. Polym. Eng. Sci. 2007, 47, 87–94. [Google Scholar] [CrossRef]
- Yoshida, T.; Okano, T.; Otsuka, S.; Miura, I.; Kubota, T.; Kafuku, K.; Nakatsu, K. Reaction Patterns of Hydrido(phosphine)rhodium(I) Compounds with Electrophilic Olefins and Molecular Structure of a Product Formed from Trans-RhH(N2)[PPh(tert-Bu)2]2 and Dimethyl Fumarate. Inorg. Chim. Acta 1985, 100, 7–16. [Google Scholar] [CrossRef]
- Yoshida, T.; Thorn, D.L.; Okano, T.; Ibers, J.A.; Otsuka, S. Hydration and Reduction of Carbon-Dioxide by Rhodium Hydride Compounds—Preparation and Reactions of Rhodium Bicarbonate and Formate Complexes, and the Molecular-Structure of RhH2(O2COH)(P(i-Pr)3)2. J. Am. Chem. Soc. 1979, 101, 4212–4221. [Google Scholar] [CrossRef]
- Singha, N.; Sivaram, S. Homogeneous Catalytic-Hydrogenation of Poly(styrene-Co-Butadiene) using a Ruthenium Based Wilkinson Catalyst. Polym. Bull. 1995, 35, 121–128. [Google Scholar] [CrossRef]
- Liu, Y.; Wei, Z.; Pan, Q.; Rempel, G.L. Hydrogenation of Acrylonitrile-butadiene Rubber Latex Using in-situ Synthesized RhCl(PPh3)3 Catalyst. Appl. Catal. A Gen. 2013, 457, 62. [Google Scholar] [CrossRef]
- Nelson, D.; Li, R.; Brammer, C. Using Correlations to Compare Additions to Alkenes: Homogeneous Hydrogenation by Using Wilkinson’s Catalyst. J. Org. Chem. 2005, 70, 761–767. [Google Scholar] [CrossRef]
- Mao, T.; Rempel, G.L. Catalytic Hydrogenation of Acrylonitrile–Butadiene Copolymers by a Series of Osmium Complexes. J. Mol. Catal. A Chem. 2000, 153, 63. [Google Scholar] [CrossRef]
- McManus, N.T.; Rempel, G.L. Chemical Modification of Polymers—Catalytic-Hydrogenation and Related Reactions. J. Macromol. Sci. Rev. Macromol. Chem. Phys. 1995, 35, 239–285. [Google Scholar] [CrossRef]
- Yoshida, T.; Okano, T.; Thorn, D.L.; Tulip, T.H.; Otsuka, S.; Ibers, J.A. Preparations and Reactions of Some Hydridodinitrogentrialkylphosphine Complexes of Rhodium(I)—Structure of a Dinitrogen-Bridged Rhodium(I) Dimer, [RhH(P(i-Pr)3)2]2(μ-N2). J. Organomet. Chem. 1979, 181, 183–201. [Google Scholar] [CrossRef]
- Marshall, A.J.; Jobe, I.R.; Dee, T.; Taylor, C. Determination of the Degree of Hydrogenation in Hydrogenated Nitrile Butadiene Rubber (HNBR). Rubber Chem. Technol. 1990, 63, 244–255. [Google Scholar] [CrossRef]
- Hunig, S.; Muller, H.R. Reductions with Diimide. Angew. Chem. Int. Ed. 1962, 74, 215. [Google Scholar] [CrossRef]
- Mango, L.A.; Lenz, R.W. Hydrogenation of Unsaturated Polymers with Diimide. Macromol. Chem. Phys. 1973, 163, 13–36. [Google Scholar] [CrossRef]
- De Sarkar, M.; De, P.P.; Bhowmick, A.K. Influence of Styrene Content on the Hydrogenation of Styrene-Butadiene Copolymer. J. Appl. Polym. Sci. 1999, 71, 1581–1595. [Google Scholar] [CrossRef]
- Pan, Q.M.; Rempel, G.L. Hydrogenation of Styrene-Butadiene Rubber Catalyzed by Ru(CH=CHPh)Cl(CO)(PCy3)2. Macromol. Rapid Commun. 2004, 25, 843–847. [Google Scholar] [CrossRef]







| Entry | [Rh] (mmol) | Rh (wt%) | Temperature (°C) | Pressure (psig) | Hydrogenation Degree (mol%) |
|---|---|---|---|---|---|
| 1 | 0.1 | 4.63 | 60 | 500 | 88 |
| 2 | 0.1 | 4.63 | 80 | 500 | 90 |
| 3 | 0.1 | 4.63 | 100 | 500 | 92 |
| 4 | 0.1 | 4.63 | 120 | 500 | 92 |
| 5 | 0.1 | 4.63 | 140 | 500 | 63 |
| 6 | 0.025 | 1.16 | 100 | 500 | 71 |
| 7 | 0.05 | 2.315 | 100 | 500 | 73 |
| 8 | 0.075 | 3.47 | 100 | 500 | 92 |
| 9 | 0.1 | 4.63 | 100 | 500 | 92 |
| 10 | 0.125 | 5.79 | 100 | 500 | 92 |
| 11 | 0.15 | 6.95 | 100 | 500 | 94 |
| 12 | 0.175 | 8.10 | 100 | 500 | 95 |
| 13 | 0.2 | 9.26 | 100 | 500 | 95 |
| 14 | 0.1 | 4.63 | 100 | 100 | 87 |
| 15 | 0.1 | 4.63 | 100 | 300 | 90 |
| 16 | 0.1 | 4.63 | 100 | 500 | 94 |
| 17 | 0.1 | 4.63 | 100 | 700 | 94 |
| 18 | 0.1 | 4.63 | 100 | 900 | 91 |
| 19 | 0.1 | 4.63 | 100 | 1100 | 91 |
Disclaimer/Publisher’s Note: The statements, opinions and data contained in all publications are solely those of the individual author(s) and contributor(s) and not of MDPI and/or the editor(s). MDPI and/or the editor(s) disclaim responsibility for any injury to people or property resulting from any ideas, methods, instructions or products referred to in the content. |
© 2024 by the authors. Licensee MDPI, Basel, Switzerland. This article is an open access article distributed under the terms and conditions of the Creative Commons Attribution (CC BY) license (https://creativecommons.org/licenses/by/4.0/).
Share and Cite
Liu, M.; Li, W.; Zheng, C.; Yuan, F.; Wang, H.; Wang, C.; Pan, Q.; Rempel, G.L. Hydrogenation of Styrene-Butadiene Rubber Catalyzed by Tris(triisopropylphosphine)hydridorhodium(I). Catalysts 2024, 14, 143. https://doi.org/10.3390/catal14020143
Liu M, Li W, Zheng C, Yuan F, Wang H, Wang C, Pan Q, Rempel GL. Hydrogenation of Styrene-Butadiene Rubber Catalyzed by Tris(triisopropylphosphine)hydridorhodium(I). Catalysts. 2024; 14(2):143. https://doi.org/10.3390/catal14020143
Chicago/Turabian StyleLiu, Minghui, Wenxin Li, Chengzhuo Zheng, Fei Yuan, Hui Wang, Chengdong Wang, Qinmin Pan, and Garry L. Rempel. 2024. "Hydrogenation of Styrene-Butadiene Rubber Catalyzed by Tris(triisopropylphosphine)hydridorhodium(I)" Catalysts 14, no. 2: 143. https://doi.org/10.3390/catal14020143
APA StyleLiu, M., Li, W., Zheng, C., Yuan, F., Wang, H., Wang, C., Pan, Q., & Rempel, G. L. (2024). Hydrogenation of Styrene-Butadiene Rubber Catalyzed by Tris(triisopropylphosphine)hydridorhodium(I). Catalysts, 14(2), 143. https://doi.org/10.3390/catal14020143

