Sign in to use this feature.

Years

Between: -

Subjects

remove_circle_outline
remove_circle_outline
remove_circle_outline
remove_circle_outline
remove_circle_outline
remove_circle_outline
remove_circle_outline
remove_circle_outline
remove_circle_outline

Journals

remove_circle_outline
remove_circle_outline
remove_circle_outline
remove_circle_outline
remove_circle_outline
remove_circle_outline
remove_circle_outline
remove_circle_outline
remove_circle_outline

Article Types

Countries / Regions

remove_circle_outline
remove_circle_outline
remove_circle_outline
remove_circle_outline
remove_circle_outline

Search Results (280)

Search Parameters:
Keywords = HRM practices

Order results
Result details
Results per page
Select all
Export citation of selected articles as:
38 pages, 2678 KB  
Systematic Review
Integration of Artificial Intelligence into Human Resource Management in Manufacturing Enterprises: A Systematic Literature Review of Challenges, Approaches, and Evolution (2000–2025)
by Qunwei Wu, Xudong Gao and Anastassiya Lipovka
Sustainability 2026, 18(5), 2618; https://doi.org/10.3390/su18052618 - 7 Mar 2026
Viewed by 307
Abstract
With the advancement of digital technology and Industry 4.0, artificial intelligence (AI) is gradually embedded in human resource management and has become an important digital foundation to support the sustainable transformation of enterprises. However, the research in the manufacturing context, particularly through the [...] Read more.
With the advancement of digital technology and Industry 4.0, artificial intelligence (AI) is gradually embedded in human resource management and has become an important digital foundation to support the sustainable transformation of enterprises. However, the research in the manufacturing context, particularly through the challenge perspective at different levels, remains fragmented. This work represents a systematic review of 347 articles from Scopus and Web of Science from 2000 to 2025 and employs a dual-method analysis strategy embracing metrics and in-depth coding on 100 core publications. Excel, Bibliometrix, CiteSpace, Latent Dirichlet Allocation (LDA), and VOSviewer were utilized for quantitative analysis, while open–axial–selective coding of the Grounded theory approach was applied to generate qualitative results. The findings revealed six key challenges in integrating AI-HRM within manufacturing and six approaches to solve the identified issues. The Challenge–Approach Matching Matrix was constructed, illustrating the suitability of different pathways for addressing specific challenges. Analysis of thematic evolution in AI-HRM research resulted in the identification of three distinctive phases and demonstrated a consistent shift from technology-centric approaches towards human–machine collaboration. The primary contribution of this research lies in proposing a Multi-Level Embedded Framework providing a complex view of AI-HRM in a manufacturing sector at micro, meso, and macro levels. The absence of sustainable HR transformation through AI integration was identified as the critical challenge at the macro level. This research provides theoretical and practical implications for designing the sustainable HRM system based on ESG principles and favors the United Nations Sustainable Development Goals 9 and 12. Full article
(This article belongs to the Special Issue Achieving Sustainability Goals Through Artificial Intelligence)
Show Figures

Figure 1

27 pages, 623 KB  
Article
Generative Artificial Intelligence in HRM Practice: Patterns, Profiles, and Theoretical Insights
by Nuno Melão and João Reis
Adm. Sci. 2026, 16(3), 113; https://doi.org/10.3390/admsci16030113 - 27 Feb 2026
Viewed by 448
Abstract
Although Generative Artificial Intelligence (GenAI) has the potential to transform Human Resource Management (HRM), empirical research on its actual use is still rare. This study aims to investigate how HR professionals use GenAI in HRM, the benefits and challenges they associate with it, [...] Read more.
Although Generative Artificial Intelligence (GenAI) has the potential to transform Human Resource Management (HRM), empirical research on its actual use is still rare. This study aims to investigate how HR professionals use GenAI in HRM, the benefits and challenges they associate with it, and how these patterns vary with organizational context. An exploratory cross-sectional survey of 150 HR professionals in the UK (n = 70) and the US (n = 80) was conducted to investigate usage patterns. Results show that GenAI is mainly applied in job analysis and design, training and development, and recruitment and selection, but concerns persist around operational and technical difficulties, privacy and ethics, output accuracy, and employee resistance. Cluster analysis revealed four user profiles that represent different ways of reconciling efficiency gains and risks. Viewed through the lens of Diffusion of Innovation, Technology–Organization–Environment, and Task–Technology Fit, the results highlight ethical and legal compatibility as a relevant condition for sustained use, point to the potential importance of the organization’s GenAI governance environment, and reveal a boundary condition when tasks involve consequential decisions. This study provides insights into early patterns of GenAI use in HRM and advances theory with propositions that can guide future confirmatory research on responsible and effective use. Full article
Show Figures

Figure 1

24 pages, 2101 KB  
Article
Human Resource Management, Employees’ Green Behaviour and Organisational Environmental Performance: A Bibliometric Analysis
by Apostolis Gkikas and Ioannis Salmon
World 2026, 7(3), 32; https://doi.org/10.3390/world7030032 - 25 Feb 2026
Viewed by 471
Abstract
This article examines the role of Human Resource Management (HRM) in shaping employees’ green behaviour and its contribution to organisational environmental performance through an original bibliometric analysis of the international literature. The analysis is based on 105 scientific publications retrieved from the Scopus [...] Read more.
This article examines the role of Human Resource Management (HRM) in shaping employees’ green behaviour and its contribution to organisational environmental performance through an original bibliometric analysis of the international literature. The analysis is based on 105 scientific publications retrieved from the Scopus database for the period 2009–2025. Bibliometric techniques were applied using Bibliometrix and VOSviewer to map publication trends, co-authorship networks, thematic clusters, and the maturity of research themes. The results indicate a strong increase in research output after 2019, combined with high levels of international collaboration and a geographical concentration of studies in Asian economies. Keyword co-occurrence analysis identifies Green Human Resource Management (GHRM) and organisational environmental performance as the core conceptual pillars of the field, while employees’ green behaviour emerges as a key mediating mechanism linking HR practices to environmental outcomes. Thematic mapping based on centrality and density suggests that the field has entered a phase of theoretical consolidation, with emerging research directions focusing on behavioural, strategic, and social dimensions of sustainability. Overall, the study provides a structured overview of the GHRM research landscape and highlights important gaps related to causal mechanisms, economic performance, and cross-sectoral and cross-country evidence. The findings also indicate that sectoral applications beyond tourism and hospitality, cross-country comparative studies, and the integration of economic performance indicators with GHRM remain underexplored, highlighting specific directions for future research. The study adopts a bibliometric research design and does not aim to provide a systematic review of empirical findings. Full article
(This article belongs to the Section Climate Transitions and Ecological Solutions)
Show Figures

Figure 1

20 pages, 797 KB  
Article
The Path of Green Human Resource Management and Innovation to Sustainable Business Performance: The Role of Organizational Citizenship Behavior for the Environment
by Rima F. Saleh, Mohamad Abo El-Naga and Abdul Rahman Beydoun
Sustainability 2026, 18(5), 2207; https://doi.org/10.3390/su18052207 - 25 Feb 2026
Viewed by 287
Abstract
The study examines the mechanisms through which Green Human Resource Management (GHRM) and Green Innovation (GI) are associated with Sustainable Business Performance (SBP), with a particular focus on the mediating role of Organizational Citizenship Behavior for the Environment (OCBE). Cross-sectional survey data were [...] Read more.
The study examines the mechanisms through which Green Human Resource Management (GHRM) and Green Innovation (GI) are associated with Sustainable Business Performance (SBP), with a particular focus on the mediating role of Organizational Citizenship Behavior for the Environment (OCBE). Cross-sectional survey data were collected from 500 employees and managers working in organizations participating in the United Nations Global Compact (UNGC) in Lebanon. Structural Equation Modeling (SEM) was employed to test the proposed relationships. The findings suggest that GHRM is positively associated with OCBE and SBP. OCBE was found to be a partial mediator and a key behavioral mechanism linking GHRM systems to sustainability outcomes. While GI shows a positive association with SBP in the initial direct models, this relationship became non-significant in the full structural model, indicating that its contribution largely depends on employee involvement and the presence of GHRM initiatives. The study’s findings position OCBE as a central mechanism that links HRM and sustainability and clarify the conditions under which GI predicts performance. This study extends sustainability research in emerging economies and addresses the necessity of investing in HR practices that actively motivate voluntary OCBE and provides empirical evidence, along with practical and theoretical insights, from a crisis-affected institutional context. Full article
(This article belongs to the Section Sustainable Management)
Show Figures

Figure 1

16 pages, 375 KB  
Article
Bridging ESG and Sustainable HRM: Evidence from Lebanon’s Crisis-Driven Work Environment
by Mohammad Makki, Nada Jabbour Al Maalouf, Mary Jane Chouaa and Sibelle Freiha
Adm. Sci. 2026, 16(3), 108; https://doi.org/10.3390/admsci16030108 - 25 Feb 2026
Viewed by 395
Abstract
The concept of Environmental, Social, and Governance (ESG) has emerged as a central framework for organizational sustainability, alongside employee performance and retention as critical human capital outcomes. This study addresses a notable gap in the literature by situating ESG practices within the field [...] Read more.
The concept of Environmental, Social, and Governance (ESG) has emerged as a central framework for organizational sustainability, alongside employee performance and retention as critical human capital outcomes. This study addresses a notable gap in the literature by situating ESG practices within the field of sustainable human resource management and examining their role in the Lebanese cultural settings, characterized by a vulnerable institutional ecosystem and crisis-driven work environments. A quantitative method was employed using a structured questionnaire, yielding a sample of 495 respondents. The results showed that environmental and governance practices significantly influenced employee performance, whereas social responsibility initiatives did not have a statistically significant effect on performance. All ESG dimensions significantly influenced employee retention. This study advances ESG and sustainable HRM research by providing employee-level empirical evidence from a crisis-affected economy, demonstrating how ESG practices function as internal performance and retention mechanisms rather than solely as external legitimacy tools. Full article
Show Figures

Figure 1

25 pages, 7450 KB  
Article
Estimation of Topsoil Moisture on Bare Agricultural Soils at the Intra-Plot Spatial Scale Using a Statistical Algorithm and X- and C-Bands SAR Satellite Data
by Remy Fieuzal and Frédéric Baup
Remote Sens. 2026, 18(4), 639; https://doi.org/10.3390/rs18040639 - 19 Feb 2026
Viewed by 224
Abstract
Accurate estimation of topsoil moisture (TSM) is essential for optimizing agricultural practices, particularly in the context of precision farming. This study evaluates the use of high-resolution synthetic aperture radar (SAR) imagery from TerraSAR-X (X-band) and Radarsat-2 (C-band) for estimating TSM over bare agricultural [...] Read more.
Accurate estimation of topsoil moisture (TSM) is essential for optimizing agricultural practices, particularly in the context of precision farming. This study evaluates the use of high-resolution synthetic aperture radar (SAR) imagery from TerraSAR-X (X-band) and Radarsat-2 (C-band) for estimating TSM over bare agricultural soils, at both plot and intra-plot spatial scales. The experiment was conducted over a 420 km2 area in southwest France, comprising 29 agricultural plots with varying topography, soil texture, and land management practices. Extensive in situ measurements of TSM, soil texture, and surface roughness were collected over multiple dates. A random forest regression model was developed to estimate soil moisture, using radar backscatter coefficients, incidence angles, soil texture components (clay, silt, sand), and roughness parameters (Hrms, correlation length) as input features. The modeling approach was applied at multiple spatial scales by extracting satellite signals within circular buffers of varying radius (5 to 30 m), as well as at the plot scale. Results indicate that estimation performance improves with increasing buffer size, with the best results achieved at the 30 m intra-plot scale (R2 > 0.8, RMSE < 4 m3·m−3), outperforming plot-scale estimates. Both C-band and X-band data provided reliable results, with a slight advantage when combining data from multiple incidence angles. The inclusion of surface roughness and soil texture significantly improved model accuracy, underlining the importance of accounting for local soil properties in radar-based moisture retrieval. The intra-plot variability of TSM was found to be substantial, often exceeding inter-plot differences, highlighting the necessity for high spatial resolution in moisture monitoring. This study demonstrates the value of combining ground observations with multi-frequency SAR data and machine learning for high-resolution soil moisture mapping. The approach supports more precise water management strategies and contributes to sustainable agricultural development through informed decision-making. Full article
Show Figures

Figure 1

21 pages, 5800 KB  
Article
Microfluidic Synthesis and Decontamination Evaluation of a Mg/Fe-LDH–Silica Hybrid Composite for Advanced Water Treatment
by Dana-Ionela Tudorache (Trifa), Adelina-Gabriela Niculescu, Alexandra-Cătălina Bîrcă, Alina Moroșan, Alexandra Cristina Burdușel, Roxana Trușcă, Ionela C. Voinea, Miruna S. Stan, Dan Eduard Mihaiescu, Tony Hadibarata and Alexandru Mihai Grumezescu
Int. J. Mol. Sci. 2026, 27(4), 1965; https://doi.org/10.3390/ijms27041965 - 18 Feb 2026
Viewed by 310
Abstract
Water contamination from diverse chemical pollutants has become a major environmental concern, demanding innovative and efficient remediation strategies. In this study, a Mg/Fe-layered double hydroxide (LDH) silica-magnetite hybrid composite was synthesized using a laser-cut microfluidic device to achieve controlled mixing and uniform particle [...] Read more.
Water contamination from diverse chemical pollutants has become a major environmental concern, demanding innovative and efficient remediation strategies. In this study, a Mg/Fe-layered double hydroxide (LDH) silica-magnetite hybrid composite was synthesized using a laser-cut microfluidic device to achieve controlled mixing and uniform particle formation. The obtained hybrid composite was further characterized by XRD, SEM, FT-IR, RAMAN, and DLS, confirming a structurally integrated LDH-silica-Fe3O4 hybrid, stabilized by ionic interactions, hydrogen bonds, and Si-O-Mg interactions. Moreover, biological assays confirmed that the developed material does not exhibit significant cytotoxicity and is potentially safe for environmental applications. Further, the adsorption performance was determined by treating surface water samples containing a mixture of pesticides with the composite material. After magnetic separation, the samples were analyzed by FT-ICR HR-MS, which enabled the detection and discrimination of ions with very close m/z values. The obtained results demonstrate a significant water decontamination capacity for multiple pesticides and facile water removal via magnetic separation, suggesting that these materials and the fast FT-ICR screening method are prospective, practical solutions for environmental protection of water bodies. Full article
Show Figures

Figure 1

24 pages, 1819 KB  
Article
Making Artificial Intelligence Work at Work: The Role of Human Resource Practices and Personal Attitudes in Fostering Meaningful Work with Artificial Intelligence
by Cataldo Giuliano Gemmano, Danila Molinaro, Diego Bellini, Silvia De Simone, Maria Luisa Giancaspro, Marina Mondo, Carmela Buono, Barbara Barbieri, Paola Spagnoli and Amelia Manuti
Behav. Sci. 2026, 16(2), 238; https://doi.org/10.3390/bs16020238 - 8 Feb 2026
Viewed by 572
Abstract
The rapid diffusion of Artificial Intelligence (AI) is transforming job characteristics, raising important questions about how to implement these technologies in organizations in ways that support employee well-being and performance. Drawing on the High-Involvement Management framework, this study examined employee-centered Artificial Intelligence implementation [...] Read more.
The rapid diffusion of Artificial Intelligence (AI) is transforming job characteristics, raising important questions about how to implement these technologies in organizations in ways that support employee well-being and performance. Drawing on the High-Involvement Management framework, this study examined employee-centered Artificial Intelligence implementation (ECAII) practices (defined as transparent communication, consultation, and training initiatives) as strategic levers to foster positive employee outcomes during Artificial Intelligence-driven transformations. Survey data were collected from 168 Italian white-collar employees who actively used Artificial Intelligence in their work. Structural equation modeling was employed to test direct and indirect relationships among employee-centered Artificial Intelligence implementation practices, work meaningfulness, job satisfaction, and job performance, as well as the moderating role of personal attitudes toward AI. Results showed that employee-centered Artificial Intelligence implementation practices had significant direct effects on both job satisfaction and performance, as well as indirect effects through work meaningfulness. Latent moderated mediation analyses further revealed that these indirect effects were stronger among employees with more positive attitudes toward Artificial Intelligence. Overall, the findings highlighted the importance of employee-centered strategies for enhancing meaningfulness and fostering positive outcomes during technological change. This study contributed to Human Resource Management (HRM) and meaningful work research by extending classic theoretical frameworks to Artificial Intelligence-enabled workplaces. Furthermore, from a practical perspective, our findings provided valuable guidance for organizations by highlighting the importance of transparent communication, employee involvement, and targeted training in reducing uncertainty and helping employees perceive their roles as relevant during the implementation of Artificial Intelligence. Full article
(This article belongs to the Section Organizational Behaviors)
Show Figures

Figure 1

24 pages, 419 KB  
Article
Employee Benefits Supporting Well-Being at the Intersection of Meaning and Cost: A Sustainability Perspective from Generation Z
by Ümit Deniz İlhan and Damla Nurcan Özkılınç
Sustainability 2026, 18(3), 1692; https://doi.org/10.3390/su18031692 - 6 Feb 2026
Viewed by 391
Abstract
This study examines how employee benefit practices link employee well-being with financial sustainability in sustainable organization management. Focusing on Generation Z, it investigates the intersection between meaning attributed to employee benefits and managerial decision-making guided by financial rationality. Drawing on human resources management [...] Read more.
This study examines how employee benefit practices link employee well-being with financial sustainability in sustainable organization management. Focusing on Generation Z, it investigates the intersection between meaning attributed to employee benefits and managerial decision-making guided by financial rationality. Drawing on human resources management (HRM) and finance perspectives, employee benefits are conceptualized as mechanisms for balancing human-centered value creation and economic resilience. A qualitative design was used, based on semi-structured interviews with 15 Generation Z employees and 20 human resources (HR) and finance managers in Türkiye. Data were analyzed through thematic analysis and the Gioia methodology to develop an inductive, multi-level framework. The findings indicate that Generation Z employees view employee benefits as psychosocial resources reflecting justice, autonomy, psychological safety, and value alignment—core components of subjective and eudaimonic well-being—while managers assess them primarily through financial sustainability logics such as cost control and return on investment. Overall, meaning- and cost-oriented perspectives emerge as mutually reinforcing within sustainable organizational systems. The study proposes the Meaning–Cost Balance (MCB) Framework, conceptualizing employee benefits as a strategic management mechanism aligning employee well-being with financial resilience. Positioned at the intersection of HRM and financial sustainability, the framework contributes to sustainable organization management and offers a transferable basis for future comparative research. Full article
(This article belongs to the Special Issue Sustainable Organization Management and Entrepreneurial Leadership)
Show Figures

Figure 1

21 pages, 1547 KB  
Article
Employee-Centric HPWSs: Building Sustainable Hospitality Through Social Exchange, Empowerment, LMX, and TMX
by Chung-Jen Wang and Chi-Hsun Tsai
Sustainability 2026, 18(3), 1623; https://doi.org/10.3390/su18031623 - 5 Feb 2026
Viewed by 336
Abstract
This study demonstrates that high-performance work systems (HPWSs)—encompassing selective staffing, extensive training, performance incentives, and employee participation—significantly enhance the dimensions of psychological empowerment, including meaning, competence, self-determination, and impact, thereby fully mediating a stronger stay intention. Leader–member exchange (LMX) amplifies both HPWS-to-empowerment and [...] Read more.
This study demonstrates that high-performance work systems (HPWSs)—encompassing selective staffing, extensive training, performance incentives, and employee participation—significantly enhance the dimensions of psychological empowerment, including meaning, competence, self-determination, and impact, thereby fully mediating a stronger stay intention. Leader–member exchange (LMX) amplifies both HPWS-to-empowerment and empowerment-to-stay intention pathways via dyadic trust, while team–member exchange (TMX) strengthens initial resource uptake. Theoretically, based on social exchange theory, the results enhance relational exchange frameworks by emphasizing LMX’s superior function over TMX in high-contact situations, positioning empowerment as the critical mechanism connecting HRM practices to loyalty in service sectors. The cornerstones of sustainable hospitality development include employee-centric strategies that foster empowerment through value-aligned jobs, certifications that enhance skills, independent guest service decision-making, and feedback loops that transform HPWSs into long-lasting retention engines by integrating TMX peer networks for cooperative support with LMX through individualized coaching and feedback that fosters trust. By reducing attrition, stabilizing talent pipelines, and stimulating service quality innovation, these tactics promote robust operations and sustained competitiveness. Full article
(This article belongs to the Section Tourism, Culture, and Heritage)
Show Figures

Figure 1

26 pages, 609 KB  
Review
Generative Behavioral Explanation in Micro-Foundational HRM: A Functional Architecture for the Safety–CLB Recursive Mechanism
by Manabu Fujimoto
Adm. Sci. 2026, 16(2), 77; https://doi.org/10.3390/admsci16020077 - 4 Feb 2026
Viewed by 359
Abstract
Micro-foundational HRM has advanced our understanding of how employees perceive and respond to HR practices, yet explanations of how HR systems can generate and sustain coordinated action in day-to-day work remain underspecified. This article presents a theory-building integrative review that specifies a constrained, [...] Read more.
Micro-foundational HRM has advanced our understanding of how employees perceive and respond to HR practices, yet explanations of how HR systems can generate and sustain coordinated action in day-to-day work remain underspecified. This article presents a theory-building integrative review that specifies a constrained, generative mechanism grounded in observable interaction episodes. We propose a functional architecture that assigns constructs to distinct explanatory roles: enabling states (Role A), interaction episodes as the behavioral engine (Role B), and emergent coordination products (Role C). Psychological safety is positioned as an enabling condition that shifts the likelihood and quality of enactment, whereas collective leadership behavior (CLB) is defined as response-inclusive influence episodes (an influence attempt plus an observable response such as uptake, contestation, neglect, or sanction). We formalize a recursive safety–CLB cycle in which response patterns update subsequent safety and influence dispersion over time, which can yield divergent coordination trajectories even when HR conditions are broadly similar. The framework generates discriminant predictions about response profiles, dispersion versus centralization of influence, and temporal signatures, and it clarifies minimal design requirements for testing recursion with episode-level and intensive longitudinal evidence. We discuss implications for micro-foundational HRM, measurement alignment, and testable design-relevant implications for HR system design as an interaction-relevant cue environment. Full article
Show Figures

Figure 1

44 pages, 18737 KB  
Article
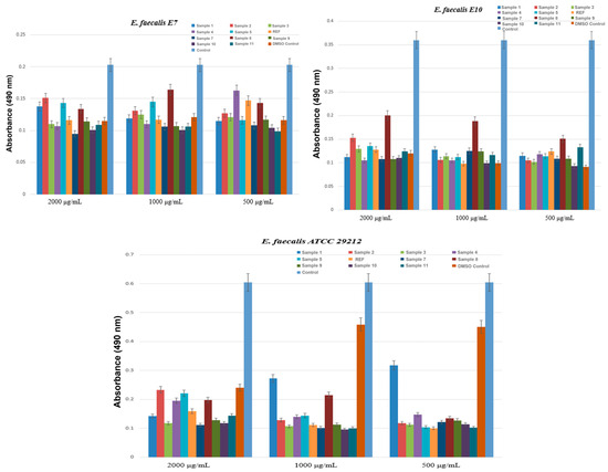
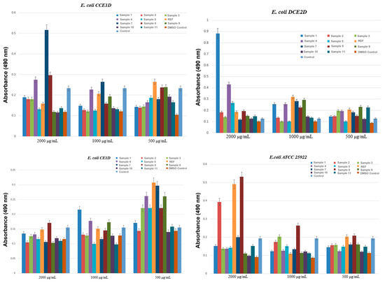
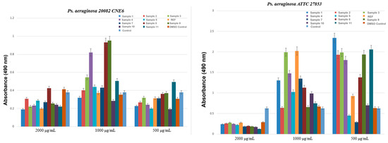
Optimized Microfluidic Synthesis of Magnesium Magnetic Silica-Based Aerogels for Pesticide Removal and Antimicrobial Water Treatment
by Dana-Ionela Tudorache (Trifa), Alexandra-Cătălina Bîrcă, Alexandra Cristina Burdușel, Adelina-Gabriela Niculescu, Elena-Theodora Moldoveanu, Ionela C. Voinea, Miruna S. Stan, Roxana Trușcă, Bogdan Purcăreanu, Tony Hadibarata, Marius Rădulescu, Alina Maria Holban, Dan Eduard Mihaiescu, Valentin Crăciun and Alexandru Mihai Grumezescu
Int. J. Mol. Sci. 2026, 27(3), 1456; https://doi.org/10.3390/ijms27031456 - 1 Feb 2026
Cited by 1 | Viewed by 294
Abstract
Water represents the fundamental source of life for all human and animal populations; however, its consumption has become increasingly hazardous due to high levels of pollution. Modern agricultural practices rely heavily on pesticides, which significantly contribute to water contamination and imbalances in aquatic [...] Read more.
Water represents the fundamental source of life for all human and animal populations; however, its consumption has become increasingly hazardous due to high levels of pollution. Modern agricultural practices rely heavily on pesticides, which significantly contribute to water contamination and imbalances in aquatic ecosystems. Moreover, another critical category of pollutants consists of pathogenic bacteria that proliferate in aquatic environments, mainly originating from hospital and urban wastewater because of human activity. Considering these major environmental and health challenges, the present study aims to develop an optimized method for water treatment by synthesizing magnetic silica-based aerogels using a microfluidic vortex chip and systematically varying synthesis parameters to enhance material performance. The physicochemical properties of the aerogels were characterized using XRD, FTIR, SEM, EDS, and BET. The pesticide adsorption capacity of the materials was evaluated using FT-ICR HR-MS analysis, which demonstrated the high efficiency of the aerogels in removing a complex mixture of pesticides. In parallel, antimicrobial efficacy was assessed against E. faecalis, E. coli, and P. aeruginosa isolated from surface water, hospital wastewater, and the influent of a well-known wastewater treatment plant in Bucharest, as well as against ATCC reference strains. Additionally, the study investigated the biocompatibility and biological responses of magnetic aerogels using MTT assays, nitric oxide production, lactate dehydrogenase release, intracellular ROS levels, and quantification of total protein, malondialdehyde, and reduced glutathione in HaCaT and HEK293 cell lines. The results confirm the efficiency and application potential of the developed materials and emphasize the importance of optimizing synthesis to achieve high-performance aerogels for effective decontamination of polluted waters. Full article
Show Figures

Figure 1

29 pages, 3408 KB  
Review
Advancing Bongkrekic Acid Detection: From Conventional Instrumental Analysis to Advanced Biosensing for Cross-Toxin Applications
by Zhen Chen, Danni He, Wenhan Yu, Xianshu Fu, Lingling Zhang, Mingzhou Zhang, Xiaoping Yu and Zihong Ye
Foods 2026, 15(3), 476; https://doi.org/10.3390/foods15030476 - 30 Jan 2026
Viewed by 386
Abstract
Bongkrekic acid (BKA), a highly lethal toxin, has been implicated in frequent poisoning incidents in recent years, posing a serious threat to global food safety and creating an urgent need for rapid and sensitive detection methods. This review provides a systematic analysis of [...] Read more.
Bongkrekic acid (BKA), a highly lethal toxin, has been implicated in frequent poisoning incidents in recent years, posing a serious threat to global food safety and creating an urgent need for rapid and sensitive detection methods. This review provides a systematic analysis of the entire BKA detection technologies, covering sample pretreatment techniques, instrumental analysis, immunoassays, and biosensing methods. It assesses the merits of key methods and also explores the strategic cross-application of detection paradigms developed for analogous toxins. This review delivers a comprehensive and critical evaluation of BKA detection technologies. First, it discusses sample pretreatment strategies, notably solid-phase extraction (SPE) and QuEChERS. Subsequently, it analyzes the principles, performance, and applications of core detection methods, including high-performance liquid chromatography–tandem mass spectrometry (HPLC-MS/MS), high-resolution mass spectrometry (HRMS), time-resolved fluorescence immunoassay (TRFIA), dual-mode immunosensors and nanomaterial-based sensors. Instrumental methods (e.g., HRMS) offer unmatched sensitivity [with a limit of detection (LOD) as low as 0.01 μg/kg], yet remain costly and laboratory-dependent. Immunoassay and biosensor approaches (TRFIA and dual-mode sensors) enable rapid on-site detection with high sensitivity (ng/mL to pg/mL), though challenges in stability and specificity remain. Looking forward, the development of next-generation BKA detection could be accelerated by cross-applying cutting-edge strategies proven for toxins—such as Fumonisin B1 (FB1), Ochratoxin A (OTA), and Aflatoxin B1 (AFB1)—including nanobody technology, CRISPR-Cas-mediated signal amplification, and multimodal integrated platforms. To translate this potential into practical tools, future research should prioritize the synthesis of high-specificity recognition elements, innovative signal amplification strategies, and integrated portable devices, aiming to establish end-to-end biosensing systems capable of on-site rapid detection through multitechnology integration. Full article
(This article belongs to the Special Issue Mycotoxins in Foods: Occurrence, Detection, and Control)
Show Figures

Graphical abstract

15 pages, 2049 KB  
Article
Rapid Authentication of Flowers of Panax ginseng and Panax notoginseng Using High-Resolution Melting (HRM) Analysis
by Menghu Wang, Wenpei Li, Yafeng Zuo, Qianqian Jiang, Jincai Li, Wenhai Zhang and Xiangsong Meng
Molecules 2026, 31(3), 441; https://doi.org/10.3390/molecules31030441 - 27 Jan 2026
Viewed by 396
Abstract
The flowers of Panax ginseng C. A. Mey. (PG) and Panax notoginseng (Burkill) F. H. Chen ex C. H. Chow (PN) are morphologically indistinguishable after drying, leading to prevalent adulteration that compromises product quality and consumer safety. To address this issue, we developed [...] Read more.
The flowers of Panax ginseng C. A. Mey. (PG) and Panax notoginseng (Burkill) F. H. Chen ex C. H. Chow (PN) are morphologically indistinguishable after drying, leading to prevalent adulteration that compromises product quality and consumer safety. To address this issue, we developed a rapid, closed-tube molecular authentication method based on high-resolution melting (HRM) analysis. Species-specific primer pairs were designed to target the conserved ITS and rbcL-accD regions, with PNG-2 selected as the optimal candidate owing to its stable genotyping performance and moderate GC content. Our results established GC content, rather than amplicon length, as the primary determinant of the melting temperature (Tm). Notably, the experimentally measured Tm values were consistently 0.7–1.5 °C higher than theoretical predictions, a discrepancy attributable to the stabilizing effect of the saturated fluorescent dye. To ensure maximum diagnostic reliability, the HRM results were cross-validated through a three-tier system comprising ITS2 phylogenetic analysis, agarose gel electrophoresis, and Sanger sequencing. The practical utility and matrix robustness of the assay were further verified using a diversified validation cohort of 30 commercial samples, including 24 floral batches and 6 root-derived products (root slices and ultramicro powders). The HRM profiles demonstrated 100% concordance with DNA barcoding results, effectively identifying mislabeled products across different botanical matrices and processing forms. This methodology, which can be completed within 3 h, provides a significantly more cost-effective and rapid alternative to traditional sequencing-based methods for large-scale market surveillance and industrial quality control. Full article
Show Figures

Graphical abstract

22 pages, 3291 KB  
Article
Integrating Knowledge Management, Project Management, and Human Resource Management for Organisational Resilience in the Construction Industry
by Justin J. Cotter, Fergal O’Brien and Éamonn V. Kelly
Buildings 2026, 16(3), 511; https://doi.org/10.3390/buildings16030511 - 27 Jan 2026
Viewed by 530
Abstract
Knowledge management (KM) is crucial for organisational success in volatile, uncertain, and ambiguous environments. However persistent operationalization issues hinder its interaction with Project Management (PM) and Human Resource Management (HRM). In construction, skill shortages, demographic shifts, rapid technological breakthroughs, and project complexity disrupt [...] Read more.
Knowledge management (KM) is crucial for organisational success in volatile, uncertain, and ambiguous environments. However persistent operationalization issues hinder its interaction with Project Management (PM) and Human Resource Management (HRM). In construction, skill shortages, demographic shifts, rapid technological breakthroughs, and project complexity disrupt organisational knowledge systems. This study examines the growth of KM in construction research and how its integration with PM and HRM might improve organisational resilience. This staged review included bibliometric analysis and narrative synthesis. A bibliometric mapping of Scopus and Web of Science peer reviewed literature (1998–2024) identified publishing trends and thematic clusters, followed by rigorous screening and narrative synthesis of the final corpus. Analysis showed a considerable growth in KM-related construction research since 2016. A repository-focused strategy is giving way to interconnected, human-centred frameworks that highlight social interaction, governance, and digital capability development. Five literature gaps remain: (1) limited operationalisation of core KM constructs like trust, socialisation, and knowledge transfer; (2) misalignment between KM, PM, and HRM domains; (3) inadequate integration of human-centred knowledge practices with emerging digital technologies; (4) a lack of cross-regional comparative research; and (5) a weak theory–practice bridge for KM implementation in construction organisations. Through gap synthesis, this work provides an organised approach for future research, along with practical advice on KM-PM and HRM integration for organisational resilience. Full article
(This article belongs to the Special Issue Knowledge Management in the Building and Construction Industry)
Show Figures

Figure 1

Back to TopTop